Heteroatom-Doped Molybdenum Disulfide Nanomaterials for Gas Sensors, Alkali Metal-Ion Batteries and Supercapacitors
Abstract
1. Introduction
2. Foreign Elements in MoS2
2.1. Theoretical Aspects
2.1.1. Molybdenum Replacement
2.1.2. Sulfur Replacement
2.1.3. Dual Replacement in MoS2
2.2. Experimental Detection
3. Gas Sensors
3.1. Undoped MoS2
3.2. Heteroatom-Doped MoS2
3.2.1. Experimental Data
3.2.2. DFT Calculation of the Adsorption Energy
4. Electrochemical Energy Storage
4.1. Lithium-Ion Batteries
4.2. Sodium-Ion and Potassium-Ion Batteries
4.3. Supercapacitors
5. Conclusions
Author Contributions
Funding
Data Availability Statement
Conflicts of Interest
References
- Dickinson, R.G.; Pauling, L. The crystal structure of molybdenite. J. Am. Chem. Soc. 1923, 45, 1466–1471. [Google Scholar] [CrossRef]
- Song, I.; Park, C.; Choi, H.C. Synthesis and properties of molybdenum disulphide: From bulk to atomic layers. RSC Adv. 2015, 5, 7495–7514. [Google Scholar] [CrossRef]
- Frondel, J.; Wickman, F. Molybdenite polytypes in theory and occurrence. II. Some naturally-occurring polytypes of molybdenite. Am. Miner. 1970, 55, 1857–1875. [Google Scholar]
- Winer, W.O. Molybdenum disulfide as a lubricant: A review of the fundamental knowledge. Wear 1967, 10, 422–452. [Google Scholar] [CrossRef]
- Furimsky, E. Role of MoS2 and WS2 in Hydrodesulfuritation. Catal. Rev. 1980, 22, 371–400. [Google Scholar] [CrossRef]
- Benavente, E. Intercalation chemistry of molybdenum disulfide. Coord. Chem. Rev. 2002, 224, 87–109. [Google Scholar] [CrossRef]
- Laman, F.C.; Stiles, J.A.R.; Shank, R.J.; Brandt, K. Rate limiting mechanisms in lithium—Molybdenum disulfide batteries. J. Power Sources 1985, 14, 201–207. [Google Scholar] [CrossRef]
- Imanishi, N.; Kanamura, K.; Takehara, Z. Synthesis of MoS2 Thin Film by Chemical Vapor Deposition Method and Discharge Characteristics as a Cathode of the Lithium Secondary Battery. J. Electrochem. Soc. 1992, 139, 2082–2087. [Google Scholar] [CrossRef]
- Reddy, M.V.; Mauger, A.; Julien, C.M.; Paolella, A.; Zaghib, K. Brief History of Early Lithium-Battery Development. Materials 2020, 13, 1884. [Google Scholar] [CrossRef]
- Stephenson, T.; Li, Z.; Olsen, B.; Mitlin, D. Lithium ion battery applications of molybdenum disulfide (MoS2) nanocomposites. Energy Environ. Sci. 2014, 7, 209–231. [Google Scholar] [CrossRef]
- Frindt, R.F. Single Crystals of MoS2 Several Molecular Layers Thick. J. Appl. Phys. 1966, 37, 1928–1929. [Google Scholar] [CrossRef]
- Bodenmann, A.K.; MacDonald, A.H. Graphene: Exploring carbon flatland. Phys. Today 2007, 60, 35–41. [Google Scholar] [CrossRef]
- Novoselov, K.S.; Jiang, D.; Schedin, F.; Booth, T.J.; Khotkevich, V.V.; Morozov, S.V.; Geim, A.K. Two-dimensional atomic crystals. Proc. Natl. Acad. Sci. USA 2005, 102, 10451–10453. [Google Scholar] [CrossRef] [PubMed]
- Rao, C.N.R.; Maitra, U.; Waghmare, U.V. Extraordinary attributes of 2-dimensional MoS2 nanosheets. Chem. Phys. Lett. 2014, 609, 172–183. [Google Scholar] [CrossRef]
- Mak, K.F.; Lee, C.; Hone, J.; Shan, J.; Heinz, T.F. Atomically ThinMoS2: A New Direct-Gap Semiconductor. Phys. Rev. Lett. 2010, 105, 136805. [Google Scholar] [CrossRef]
- Yazyev, O.V.; Kis, A. MoS2 and semiconductors in the flatland. Mater. Today 2015, 18, 20–30. [Google Scholar] [CrossRef]
- Ganatra, R.; Zhang, Q. Few-Layer MoS2: A Promising Layered Semiconductor. ACS Nano 2014, 8, 4074–4099. [Google Scholar] [CrossRef]
- Amaral, L.O.; Daniel-da-Silva, A.L. MoS2 and MoS2 Nanocomposites for Adsorption and Photodegradation of Water Pollutants: A Review. Molecules 2022, 27, 6782. [Google Scholar] [CrossRef]
- Liu, C.; Wang, Q.; Jia, F.; Song, S. Adsorption of heavy metals on molybdenum disulfide in water: A critical review. J. Mol. Liq. 2019, 292, 111390. [Google Scholar] [CrossRef]
- Singh Rana, D.; Thakur, N.; Singh, D.; Sonia, P. Molybdenum and tungsten disulfide based nanocomposites as chemical sensor: A review. Mater. Today Proc. 2022, 62, 2755–2761. [Google Scholar] [CrossRef]
- Zhang, G.; Liu, H.; Qu, J.; Li, J. Two-dimensional layered MoS2: Rational design, properties and electrochemical applications. Energy Environ. Sci. 2016, 9, 1190–1209. [Google Scholar] [CrossRef]
- Sinha, A.; Dhanjai; Tan, B.; Huang, Y.; Zhao, H.; Dang, X.; Chen, J.; Jain, R. MoS2 nanostructures for electrochemical sensing of multidisciplinary targets: A review. TrAC Trends Anal. Chem. 2018, 102, 75–90. [Google Scholar] [CrossRef]
- Xu, D.; Duan, L.; Yan, S.; Wang, Y.; Cao, K.; Wang, W.; Xu, H.; Wang, Y.; Hu, L.; Gao, L. Monolayer MoS2-Based Flexible and Highly Sensitive Pressure Sensor with Wide Sensing Range. Micromachines 2022, 13, 660. [Google Scholar] [CrossRef]
- Varghese, S.; Varghese, S.; Swaminathan, S.; Singh, K.; Mittal, V. Two-Dimensional Materials for Sensing: Graphene and Beyond. Electronics 2015, 4, 651–687. [Google Scholar] [CrossRef]
- Yang, S.; Jiang, C.; Wei, S. Gas sensing in 2D materials. Appl. Phys. Rev. 2017, 4, 021304. [Google Scholar] [CrossRef]
- Samy, O.; El Moutaouakil, A. A Review on MoS2 Energy Applications: Recent Developments and Challenges. Energies 2021, 14, 4586. [Google Scholar] [CrossRef]
- He, Z.; Que, W. Molybdenum disulfide nanomaterials: Structures, properties, synthesis and recent progress on hydrogen evolution reaction. Appl. Mater. Today 2016, 3, 23–56. [Google Scholar] [CrossRef]
- Ding, Q.; Song, B.; Xu, P.; Jin, S. Efficient Electrocatalytic and Photoelectrochemical Hydrogen Generation Using MoS2 and Related Compounds. Chem 2016, 1, 699–726. [Google Scholar] [CrossRef]
- Vazirisereshk, M.R.; Martini, A.; Strubbe, D.A.; Baykara, M.Z. Solid Lubrication with MoS2: A Review. Lubricants 2019, 7, 57. [Google Scholar] [CrossRef]
- Balasubramaniam, B.; Singh, N.; Kar, P.; Tyagi, A.; Prakash, J.; Gupta, R.K. Engineering of transition metal dichalcogenide-based 2D nanomaterials through doping for environmental applications. Mol. Syst. Des. Eng. 2019, 4, 804–827. [Google Scholar] [CrossRef]
- Liu, M.; Zhang, C.; Han, A.; Wang, L.; Sun, Y.; Zhu, C.; Li, R.; Ye, S. Modulation of morphology and electronic structure on MoS2-based electrocatalysts for water splitting. Nano Res. 2022, 15, 6862–6887. [Google Scholar] [CrossRef]
- Agrawal, A.V.; Kumar, N.; Kumar, M. Strategy and Future Prospects to Develop Room-Temperature-Recoverable NO2 Gas Sensor Based on Two-Dimensional Molybdenum Disulfide. Nano-Micro Lett. 2021, 13, 38. [Google Scholar] [CrossRef] [PubMed]
- Walton, A.S.; Lauritsen, J.V.; Topsøe, H.; Besenbacher, F. MoS2 nanoparticle morphologies in hydrodesulfurization catalysis studied by scanning tunneling microscopy. J. Catal. 2013, 308, 306–318. [Google Scholar] [CrossRef]
- Tedstone, A.A.; Lewis, D.J.; O’Brien, P. Synthesis, Properties, and Applications of Transition Metal-Doped Layered Transition Metal Dichalcogenides. Chem. Mater. 2016, 28, 1965–1974. [Google Scholar] [CrossRef]
- Loh, L.; Zhang, Z.; Bosman, M.; Eda, G. Substitutional doping in 2D transition metal dichalcogenides. Nano Res. 2021, 14, 1668–1681. [Google Scholar] [CrossRef]
- Sovizi, S.; Szoszkiewicz, R. Single atom doping in 2D layered MoS2 from a periodic table perspective. Surf. Sci. Rep. 2022, 77, 100567. [Google Scholar] [CrossRef]
- Yee, K.A.; Hughbanks, T. Utility of semilocalized bonding schemes in extended systems: Three-center metal-metal bonding in molybdenum sulfide (MoS2), niobium tantalum sulfide bronze (Hx(Nb,Ta)S2), and zirconium sulfide (ZrS). Inorg. Chem. 1991, 30, 2321–2328. [Google Scholar] [CrossRef]
- Ding, Y.; Wang, Y.; Ni, J.; Shi, L.; Shi, S.; Tang, W. First principles study of structural, vibrational and electronic properties of graphene-like MX2 (M = Mo, Nb, W, Ta; X = S, Se, Te) monolayers. Phys. B Condens. Matter 2011, 406, 2254–2260. [Google Scholar] [CrossRef]
- Hu, A.-M.; Wang, L.; Meng, B.; Xiao, W.-Z. Ab initio study of magnetism in nonmagnetic metal substituted monolayer MoS2. Solid State Commun. 2015, 220, 67–71. [Google Scholar] [CrossRef]
- Abidi, N.; Bonduelle-Skrzypczak, A.; Steinmann, S.N. How to dope the basal plane of 2H-MoS2 to boost the hydrogen evolution reaction? Electrochim. Acta 2023, 439, 141653. [Google Scholar] [CrossRef]
- Menezes, M.G.; Ullah, S. Unveiling the multi-level structure of midgap states in Sb-doped MoX2 (X = S, Se, Te) monolayers. Phys. Rev. B 2021, 104, 125438. [Google Scholar] [CrossRef]
- Sahoo, A.R.; Jaya, S.M. Structural stability and electronic structure of Cr substituted MoS2: An ab-initio study. AIP Conf. Proc. 2019, 2115, 030393. [Google Scholar]
- Andriambelaza, N.F.; Mapasha, R.E.; Chetty, N. First-principles studies of chromium line-ordered alloys in a molybdenum disulfide monolayer. J. Phys. Condens. Matter 2017, 29, 325504. [Google Scholar] [CrossRef]
- Xi, J.; Zhao, T.; Wang, D.; Shuai, Z. Tunable Electronic Properties of Two-Dimensional Transition Metal Dichalcogenide Alloys: A First-Principles Prediction. J. Phys. Chem. Lett. 2014, 5, 285–291. [Google Scholar] [CrossRef]
- Yang, J.-H.; Yakobson, B.I. Unusual Negative Formation Enthalpies and Atomic Ordering in Isovalent Alloys of Transition Metal Dichalcogenide Monolayers. Chem. Mater. 2018, 30, 1547–1555. [Google Scholar] [CrossRef]
- Atthapak, C.; Ektarawong, A.; Pakornchote, T.; Alling, B.; Bovornratanaraks, T. Effect of atomic configuration and spin–orbit coupling on thermodynamic stability and electronic bandgap of monolayer 2H-Mo1−xWxS2 solid solutions. Phys. Chem. Chem. Phys. 2021, 23, 13535–13543. [Google Scholar] [CrossRef]
- Gan, L.-Y.; Zhang, Q.; Zhao, Y.-J.; Cheng, Y.; Schwingenschlögl, U. Order-disorder phase transitions in the two-dimensional semiconducting transition metal dichalcogenide alloys Mo1−xWxX2 (X = S, Se and Te). Sci. Rep. 2014, 4, 6691. [Google Scholar] [CrossRef]
- Gao, Y.; Liu, J.; Zhang, X.; Lu, G. Unraveling Structural and Optical Properties of Two-Dimensional MoxW1– xS2 Alloys. J. Phys. Chem. C 2021, 125, 774–781. [Google Scholar] [CrossRef]
- Kutana, A.; Penev, E.S.; Yakobson, B.I. Engineering electronic properties of layered transition-metal dichalcogenide compounds through alloying. Nanoscale 2014, 6, 5820–5825. [Google Scholar] [CrossRef]
- Meng, D.; Li, M.; Long, D.; Cheng, Y.; Ye, P.; Fu, W.; E, W.; Luo, W.; He, Y. Electronic structure and dynamic properties of two-dimensional WxMo1−xS2 ternary alloys from first-principles calculations. Comput. Mater. Sci. 2020, 182, 109797. [Google Scholar] [CrossRef]
- Tsuppayakorn-aek, P.; Pungtrakool, W.; Pinsook, U.; Bovornratanaraks, T. The minimal supercells approach for ab-initio calculation in 2D alloying transition metal dichalcoginides with special quasi-random structure. Mater. Res. Express 2020, 7, 086502. [Google Scholar] [CrossRef]
- Tan, W.; Wei, Z.; Liu, X.; Liu, J.; Fang, X.; Fang, D.; Wang, X.; Wang, D.; Tang, J.; Fan, X. Ordered and Disordered Phases in Mo1−xWxS2 Monolayer. Sci. Rep. 2017, 7, 15124. [Google Scholar] [CrossRef] [PubMed]
- Cheng, Y.C.; Zhu, Z.Y.; Mi, W.B.; Guo, Z.B.; Schwingenschlögl, U. Prediction of two-dimensional diluted magnetic semiconductors: Doped monolayer MoS2 systems. Phys. Rev. B 2013, 87, 100401. [Google Scholar] [CrossRef]
- Lu, S.-C.; Leburton, J.-P. Electronic structures of defects and magnetic impurities in MoS2 monolayers. Nanoscale Res. Lett. 2014, 9, 676. [Google Scholar] [CrossRef] [PubMed]
- Chanana, A.; Mahapatra, S. Theoretical Insights to Niobium-Doped Monolayer MoS2 –Gold Contact. IEEE Trans. Electron Devices 2015, 62, 2346–2351. [Google Scholar] [CrossRef]
- Mishra, R.; Zhou, W.; Pennycook, S.J.; Pantelides, S.T.; Idrobo, J.-C. Long-range ferromagnetic ordering in manganese-doped two-dimensional dichalcogenides. Phys. Rev. B 2013, 88, 144409. [Google Scholar] [CrossRef]
- Ramasubramaniam, A.; Naveh, D. Mn-doped monolayer MoS2: An atomically thin dilute magnetic semiconductor. Phys. Rev. B 2013, 87, 195201. [Google Scholar] [CrossRef]
- Yue, Y.; Jiang, C.; Han, Y.; Wang, M.; Ren, J.; Wu, Y. Magnetic anisotropies of Mn-, Fe-, and Co-doped monolayer MoS2. J. Magn. Magn. Mater. 2020, 496, 165929. [Google Scholar] [CrossRef]
- Dolui, K.; Rungger, I.; Das Pemmaraju, C.; Sanvito, S. Possible doping strategies for MoS2 monolayers: An ab initio study. Phys. Rev. B 2013, 88, 075420. [Google Scholar] [CrossRef]
- Tan, A.M.Z.; Freysoldt, C.; Hennig, R.G. First-principles investigation of charged dopants and dopant-vacancy defect complexes in monolayer MoS2. Phys. Rev. Mater. 2020, 4, 114002. [Google Scholar] [CrossRef]
- Ivanovskaya, V.V.; Zobelli, A.; Gloter, A.; Brun, N.; Serin, V.; Colliex, C. Ab initio study of bilateral doping within the MoS2-NbS2 system. Phys. Rev. B 2008, 78, 134104. [Google Scholar] [CrossRef]
- Yoshimura, A.; Koratkar, N.; Meunier, V. Substitutional transition metal doping in MoS2: A first-principles study. Nano Express 2020, 1, 010008. [Google Scholar] [CrossRef]
- Shu, H.; Luo, P.; Liang, P.; Cao, D.; Chen, X. Layer-Dependent Dopant Stability and Magnetic Exchange Coupling of Iron-Doped MoS2 Nanosheets. ACS Appl. Mater. Interfaces 2015, 7, 7534–7541. [Google Scholar] [CrossRef]
- Guerrero, E.; Karkee, R.; Strubbe, D.A. Phase Stability and Raman/IR Signatures of Ni-Doped MoS2 from Density Functional Theory Studies. J. Phys. Chem. C 2021, 125, 13401–13412. [Google Scholar] [CrossRef]
- Han, X.; Benkraouda, M.; Amrane, N. S Vacancy Engineered Electronic and Optoelectronic Properties of Ni-Doped MoS2 Monolayer: A Hybrid Functional Study. J. Electron. Mater. 2020, 49, 3234–3241. [Google Scholar] [CrossRef]
- Liu, G.; Robertson, A.W.; Li, M.M.-J.; Kuo, W.C.H.; Darby, M.T.; Muhieddine, M.H.; Lin, Y.-C.; Suenaga, K.; Stamatakis, M.; Warner, J.H.; et al. MoS2 monolayer catalyst doped with isolated Co atoms for the hydrodeoxygenation reaction. Nat. Chem. 2017, 9, 810–816. [Google Scholar] [CrossRef]
- Kang, J.; Tongay, S.; Li, J.; Wu, J. Monolayer semiconducting transition metal dichalcogenide alloys: Stability and band bowing. J. Appl. Phys. 2013, 113, 143703. [Google Scholar] [CrossRef]
- Komsa, H.-P.; Krasheninnikov, A.V. Two-Dimensional Transition Metal Dichalcogenide Alloys: Stability and Electronic Properties. J. Phys. Chem. Lett. 2012, 3, 3652–3656. [Google Scholar] [CrossRef] [PubMed]
- Kuc, A.; Heine, T. On the Stability and Electronic Structure of Transition-Metal Dichalcogenide Monolayer Alloys Mo1−xXxS2−ySey with X = W, Nb. Electronics 2015, 5, 1. [Google Scholar] [CrossRef]
- Vallinayagam, M.; Posselt, M.; Chandra, S. Electronic structure and thermoelectric properties of Mo-based dichalcogenide monolayers locally and randomly modified by substitutional atoms. RSC Adv. 2020, 10, 43035–43044. [Google Scholar] [CrossRef]
- Andriambelaza, N.F.; Mapasha, R.E.; Chetty, N. First-principles studies of Te line-ordered alloys in a MoS2 monolayer. Phys. B Condens. Matter 2018, 535, 162–166. [Google Scholar] [CrossRef]
- Andriambelaza, N.F.; Mapasha, R.E.; Chetty, N. Band gap engineering of a MoS2 monolayer through oxygen alloying: An ab initio study. Nanotechnology 2018, 29, 505701. [Google Scholar] [CrossRef]
- Enujekwu, F.M.; Zhang, Y.; Ezeh, C.I.; Zhao, H.; Xu, M.; Besley, E.; George, M.W.; Besley, N.A.; Do, H.; Wu, T. N-doping enabled defect-engineering of MoS2 for enhanced and selective adsorption of CO2: A DFT approach. Appl. Surf. Sci. 2021, 542, 148556. [Google Scholar] [CrossRef]
- Nie, S.; Li, Z. Strain Effect on the Magnetism of N-Doped Molybdenum Disulfide. Phys. Status Solidi 2019, 256, 1900110. [Google Scholar] [CrossRef]
- Xiao, W.; Liu, P.; Zhang, J.; Song, W.; Feng, Y.P.; Gao, D.; Ding, J. Dual-Functional N Dopants in Edges and Basal Plane of MoS2 Nanosheets Toward Efficient and Durable Hydrogen Evolution. Adv. Energy Mater. 2017, 7, 1602086. [Google Scholar] [CrossRef]
- Komsa, H.-P.; Kotakoski, J.; Kurasch, S.; Lehtinen, O.; Kaiser, U.; Krasheninnikov, A.V. Two-Dimensional Transition Metal Dichalcogenides under Electron Irradiation: Defect Production and Doping. Phys. Rev. Lett. 2012, 109, 035503. [Google Scholar] [CrossRef] [PubMed]
- Dong, F.; Zhang, M.; Xu, X.; Pan, J.; Zhu, L.; Hu, J. Orbital Modulation with P Doping Improves Acid and Alkaline Hydrogen Evolution Reaction of MoS2. Nanomaterials 2022, 12, 4273. [Google Scholar] [CrossRef]
- Kotsun, A.A.; Alekseev, V.A.; Stolyarova, S.G.; Makarova, A.A.; Grebenkina, M.A.; Zubareva, A.P.; Okotrub, A.V.; Bulusheva, L.G. Effect of molybdenum disulfide doping with substitutional nitrogen and sulfur vacancies on lithium intercalation. J. Alloys Compd. 2023, 947, 169689. [Google Scholar] [CrossRef]
- Miralrio, A.; Rangel, E.; Castro, M. Activation of MoS2 monolayers by substitutional copper and silver atoms embedded in sulfur vacancies: A theoretical study. Appl. Surf. Sci. 2019, 481, 611–624. [Google Scholar] [CrossRef]
- Xiao, J.; Wang, J.; Xue, Z.; Zhang, T.; Wang, J.; Li, Q. The study of oxygen reduction reaction on Ge-doped MoS2 monolayer based on first principle. Int. J. Energy Res. 2021, 45, 13748–13759. [Google Scholar] [CrossRef]
- Susarla, S.; Kutana, A.; Hachtel, J.A.; Kochat, V.; Apte, A.; Vajtai, R.; Idrobo, J.C.; Yakobson, B.I.; Tiwary, C.S.; Ajayan, P.M. Quaternary 2D Transition Metal Dichalcogenides (TMDs) with Tunable Bandgap. Adv. Mater. 2017, 29, 1702457. [Google Scholar] [CrossRef]
- Zhou, J.; Lin, J.; Sims, H.; Jiang, C.; Cong, C.; Brehm, J.A.; Zhang, Z.; Niu, L.; Chen, Y.; Zhou, Y.; et al. Synthesis of Co-Doped MoS2 Monolayers with Enhanced Valley Splitting. Adv. Mater. 2020, 32, 1906536. [Google Scholar] [CrossRef] [PubMed]
- Robertson, A.W.; Lin, Y.-C.; Wang, S.; Sawada, H.; Allen, C.S.; Chen, Q.; Lee, S.; Lee, G.-D.; Lee, J.; Han, S.; et al. Atomic Structure and Spectroscopy of Single Metal (Cr, V) Substitutional Dopants in Monolayer MoS2. ACS Nano 2016, 10, 10227–10236. [Google Scholar] [CrossRef]
- Yin, G.; Zhu, D.; Lv, D.; Hashemi, A.; Fei, Z.; Lin, F.; Krasheninnikov, A.V.; Zhang, Z.; Komsa, H.-P.; Jin, C. Hydrogen-assisted post-growth substitution of tellurium into molybdenum disulfide monolayers with tunable compositions. Nanotechnology 2018, 29, 145603. [Google Scholar] [CrossRef] [PubMed]
- Sharona, H.; Vishal, B.; Bhat, U.; Paul, A.; Mukherjee, A.; Sarma, S.C.; Peter, S.C.; Datta, R. Rich diversity of crystallographic phase formation in 2D RexMo1–xS2 (x < 0.5) alloy. J. Appl. Phys. 2019, 126, 224302. [Google Scholar] [CrossRef]
- Zhang, K.; Bersch, B.M.; Joshi, J.; Addou, R.; Cormier, C.R.; Zhang, C.; Xu, K.; Briggs, N.C.; Wang, K.; Subramanian, S.; et al. Tuning the Electronic and Photonic Properties of Monolayer MoS2 via In Situ Rhenium Substitutional Doping. Adv. Funct. Mater. 2018, 28, 1706950. [Google Scholar] [CrossRef]
- Gong, Y.; Liu, Z.; Lupini, A.R.; Shi, G.; Lin, J.; Najmaei, S.; Lin, Z.; Elías, A.L.; Berkdemir, A.; You, G.; et al. Band Gap Engineering and Layer-by-Layer Mapping of Selenium-Doped Molybdenum Disulfide. Nano Lett. 2014, 14, 442–449. [Google Scholar] [CrossRef] [PubMed]
- Song, J.-G.; Ryu, G.H.; Lee, S.J.; Sim, S.; Lee, C.W.; Choi, T.; Jung, H.; Kim, Y.; Lee, Z.; Myoung, J.-M.; et al. Controllable synthesis of molybdenum tungsten disulfide alloy for vertically composition-controlled multilayer. Nat. Commun. 2015, 6, 7817. [Google Scholar] [CrossRef]
- Xia, X.; Loh, S.M.; Viner, J.; Teutsch, N.C.; Graham, A.J.; Kandyba, V.; Barinov, A.; Sanchez, A.M.; Smith, D.C.; Hine, N.D.M.; et al. Atomic and electronic structure of two-dimensional Mo(1−x)WxS2 alloys. J. Phys. Mater. 2021, 4, 025004. [Google Scholar] [CrossRef]
- Cai, Z.; Shen, T.; Zhu, Q.; Feng, S.; Yu, Q.; Liu, J.; Tang, L.; Zhao, Y.; Wang, J.; Liu, B.; et al. Dual-Additive Assisted Chemical Vapor Deposition for the Growth of Mn-Doped 2D MoS2 with Tunable Electronic Properties. Small 2019, 16, 1903181. [Google Scholar] [CrossRef]
- Cao, B.; Ma, S.; Wang, W.; Tang, X.; Wang, D.; Shen, W.; Qiu, B.; Xu, B.; Li, G. Charge Redistribution in Mg-Doped p-Type MoS2 /GaN Photodetectors. J. Phys. Chem. C 2022, 126, 18893–18899. [Google Scholar] [CrossRef]
- Zhong, M.; Shen, C.; Huang, L.; Deng, H.-X.; Shen, G.; Zheng, H.; Wei, Z.; Li, J. Electronic structure and exciton shifts in Sb-doped MoS2 monolayer. npj 2D Mater. Appl. 2019, 3, 1. [Google Scholar] [CrossRef]
- Wang, J.; Fang, W.; Hu, Y.; Zhang, Y.; Dang, J.; Wu, Y.; Chen, B.; Zhao, H.; Li, Z. Single atom Ru doping 2H-MoS2 as highly efficient hydrogen evolution reaction electrocatalyst in a wide pH range. Appl. Catal. B Environ. 2021, 298, 120490. [Google Scholar] [CrossRef]
- Mattila, S.; Leiro, J.A.; Heinonen, M.; Laiho, T. Core level spectroscopy of MoS2. Surf. Sci. 2006, 600, 5168–5175. [Google Scholar] [CrossRef]
- Baker, M.; Gilmore, R.; Lenardi, C.; Gissler, W. XPS investigation of preferential sputtering of S from MoS2 and determination of MoSx stoichiometry from Mo and S peak positions. Appl. Surf. Sci. 1999, 150, 255–262. [Google Scholar] [CrossRef]
- Bulusheva, L.G.; Okotrub, A.V.; Yashina, L.V.; Velasco-Velez, J.J.; Usachov, D.Y.; Vyalikh, D.V. X-ray photoelectron spectroscopy study of the interaction of lithium with graphene. Phys. Sci. Rev. 2018, 3, 20180042. [Google Scholar] [CrossRef]
- Lv, K.; Suo, W.; Shao, M.; Zhu, Y.; Wang, X.; Feng, J.; Fang, M.; Zhu, Y. Nitrogen doped MoS2 and nitrogen doped carbon dots composite catalyst for electroreduction CO2 to CO with high Faradaic efficiency. Nano Energy 2019, 63, 103834. [Google Scholar] [CrossRef]
- Li, M.; Yao, J.; Wu, X.; Zhang, S.; Xing, B.; Niu, X.; Yan, X.; Yu, Y.; Liu, Y.; Wang, Y. P-type Doping in Large-Area Monolayer MoS2 by Chemical Vapor Deposition. ACS Appl. Mater. Interfaces 2020, 12, 6276–6282. [Google Scholar] [CrossRef]
- Ledneva, A.Y.; Dalmatova, S.A.; Fedorenko, A.D.; Asanov, I.P.; Enyashin, A.N.; Mazalov, L.N.; Fedorov, V.E. An Xps Study of Solid Solutions Mo1–XNbxS2 (0 < x < 0.15). J. Struct. Chem. 2018, 59, 1833–1840. [Google Scholar] [CrossRef]
- Lee, C.; Yan, H.; Brus, L.E.; Heinz, T.F.; Hone, J.; Ryu, S. Anomalous Lattice Vibrations of Single- and Few-Layer MoS2. ACS Nano 2010, 4, 2695–2700. [Google Scholar] [CrossRef]
- Sharma, R.; Pandey, J.; Sahoo, K.R.; Rana, K.S.; Biroju, R.K.; Theis, W.; Soni, A.; Narayanan, T.N. Spectroscopic correlation of chalcogen defects in atomically thin MoS2(1−x)Se2x alloys. J. Phys. Mater. 2020, 3, 045001. [Google Scholar] [CrossRef]
- Li, H.; Duan, X.; Wu, X.; Zhuang, X.; Zhou, H.; Zhang, Q.; Zhu, X.; Hu, W.; Ren, P.; Guo, P.; et al. Growth of Alloy MoS2 xSe2(1– x) Nanosheets with Fully Tunable Chemical Compositions and Optical Properties. J. Am. Chem. Soc. 2014, 136, 3756–3759. [Google Scholar] [CrossRef] [PubMed]
- Schulpen, J.J.P.M.; Verheijen, M.A.; Kessels, W.M.M.; Vandalon, V.; Bol, A.A. Controlling transition metal atomic ordering in two-dimensional Mo1−xWxS2 alloys. 2D Mater. 2022, 9, 025016. [Google Scholar] [CrossRef]
- Hu, X.; Hemmat, Z.; Majidi, L.; Cavin, J.; Mishra, R.; Salehi-Khojin, A.; Ogut, S.; Klie, R.F. Controlling Nanoscale Thermal Expansion of Monolayer Transition Metal Dichalcogenides by Alloy Engineering. Small 2020, 16, 1905892. [Google Scholar] [CrossRef] [PubMed]
- Hanafusa, S.; Hashimoto, Y.; Ishibashi, K.; Hibino, Y.; Yamazaki, K.; Yokogawa, R.; Wakabayashi, H.; Ogura, A. Evaluation of Mo(1-x)Wxs Alloy Fabricated By Combinatorial Film Deposition. ECS Trans. 2021, 104, 21–28. [Google Scholar] [CrossRef]
- Song, Z.; Li, J.; Davis, K.D.; Li, X.; Zhang, J.; Zhang, L.; Sun, X. Emerging Applications of Synchrotron Radiation X-Ray Techniques in Single Atomic Catalysts. Small Methods 2022, 6, 2201078. [Google Scholar] [CrossRef]
- Zhang, H.; Yu, L.; Chen, T.; Zhou, W.; Lou, X.W.D. Surface Modulation of Hierarchical MoS2 Nanosheets by Ni Single Atoms for Enhanced Electrocatalytic Hydrogen Evolution. Adv. Funct. Mater. 2018, 28, 1807086. [Google Scholar] [CrossRef]
- Suh, J.; Park, T.-E.; Lin, D.-Y.; Fu, D.; Park, J.; Jung, H.J.; Chen, Y.; Ko, C.; Jang, C.; Sun, Y.; et al. Doping against the Native Propensity of MoS2: Degenerate Hole Doping by Cation Substitution. Nano Lett. 2014, 14, 6976–6982. [Google Scholar] [CrossRef]
- Kumar, S.; Meng, G.; Mishra, P.; Tripathi, N.; Bannov, A.G. A systematic review on 2D MoS2 for nitrogen dioxide (NO2) sensing at room temperature. Mater. Today Commun. 2023, 34, 105045. [Google Scholar] [CrossRef]
- Li, H.; Yin, Z.; He, Q.; Li, H.; Huang, X.; Lu, G.; Fam, D.W.H.; Tok, A.I.Y.; Zhang, Q.; Zhang, H. Fabrication of Single- and Multilayer MoS2 Film-Based Field-Effect Transistors for Sensing NO at Room Temperature. Small 2012, 8, 63–67. [Google Scholar] [CrossRef]
- Wang, Z.; Zhang, Y.; Ren, Y.; Wang, M.; Zhang, Z.; Zhao, W.; Yan, J.; Zhai, C.; Yun, J. NO gas adsorption properties of MoS2 from monolayer to trilayer: A first-principles study. Mater. Res. Express 2021, 8, 015024. [Google Scholar] [CrossRef]
- Late, D.J.; Huang, Y.-K.; Liu, B.; Acharya, J.; Shirodkar, S.N.; Luo, J.; Yan, A.; Charles, D.; Waghmare, U.V.; Dravid, V.P.; et al. Sensing Behavior of Atomically Thin-Layered MoS2 Transistors. ACS Nano 2013, 7, 4879–4891. [Google Scholar] [CrossRef]
- Yao, Y.; Tolentino, L.; Yang, Z.; Song, X.; Zhang, W.; Chen, Y.; Wong, C. High-Concentration Aqueous Dispersions of MoS2. Adv. Funct. Mater. 2013, 23, 3577–3583. [Google Scholar] [CrossRef]
- Lee, K.; Gatensby, R.; McEvoy, N.; Hallam, T.; Duesberg, G.S. High-Performance Sensors Based on Molybdenum Disulfide Thin Films. Adv. Mater. 2013, 25, 6699–6702. [Google Scholar] [CrossRef]
- Perkins, F.K.; Friedman, A.L.; Cobas, E.; Campbell, P.M.; Jernigan, G.G.; Jonker, B.T. Chemical Vapor Sensing with Monolayer MoS2. Nano Lett. 2013, 13, 668–673. [Google Scholar] [CrossRef]
- Liu, B.; Chen, L.; Liu, G.; Abbas, A.N.; Fathi, M.; Zhou, C. High-Performance Chemical Sensing Using Schottky-Contacted Chemical Vapor Deposition Grown Monolayer MoS2 Transistors. ACS Nano 2014, 8, 5304–5314. [Google Scholar] [CrossRef]
- Patel, C.; Singh, R.; Dubey, M.; Pandey, S.K.; Upadhyay, S.N.; Kumar, V.; Sriram, S.; Than Htay, M.; Pakhira, S.; Atuchin, V.V.; et al. Large and Uniform Single Crystals of MoS2 Monolayers for ppb-Level NO2 Sensing. ACS Appl. Nano Mater. 2022, 5, 9415–9426. [Google Scholar] [CrossRef]
- Bermudez, V.M. Computational Study of the Adsorption of NO2 on Monolayer MoS2. J. Phys. Chem. C 2020, 124, 15275–15284. [Google Scholar] [CrossRef]
- Koroteev, V.O.; Bulushev, D.A.; Chuvilin, A.L.; Okotrub, A.V.; Bulusheva, L.G. Nanometer-Sized MoS2 Clusters on Graphene Flakes for Catalytic Formic Acid Decomposition. ACS Catal. 2014, 4, 3950–3956. [Google Scholar] [CrossRef]
- Bulusheva, L.G.; Koroteev, V.O.; Stolyarova, S.G.; Chuvilin, A.L.; Plyusnin, P.E.; Shubin, Y.V.; Vilkov, O.Y.; Chen, X.; Song, H.; Okotrub, A.V. Effect of in-plane size of MoS2 nanoparticles grown over multilayer graphene on the electrochemical performance of anodes in Li-ion batteries. Electrochim. Acta 2018, 283, 45–53. [Google Scholar] [CrossRef]
- Cho, S.-Y.; Kim, S.J.; Lee, Y.; Kim, J.-S.; Jung, W.-B.; Yoo, H.-W.; Kim, J.; Jung, H.-T. Highly Enhanced Gas Adsorption Properties in Vertically Aligned MoS2 Layers. ACS Nano 2015, 9, 9314–9321. [Google Scholar] [CrossRef]
- Annanouch, F.E.; Alagh, A.; Umek, P.; Casanova-Chafer, J.; Bittencourt, C.; Llobet, E. Controlled growth of 3D assemblies of edge enriched multilayer MoS2 nanosheets for dually selective NH3 and NO2 gas sensors. J. Mater. Chem. C 2022, 10, 11027–11039. [Google Scholar] [CrossRef]
- Kumar, R.; Goel, N.; Kumar, M. High performance NO2 sensor using MoS2 nanowires network. Appl. Phys. Lett. 2018, 112, 053502. [Google Scholar] [CrossRef]
- Rezende, N.P.; Cadore, A.R.; Gadelha, A.C.; Pereira, C.L.; Ornelas, V.; Watanabe, K.; Taniguchi, T.; Ferlauto, A.S.; Malachias, A.; Campos, L.C.; et al. Probing the Electronic Properties of Monolayer MoS2 via Interaction with Molecular Hydrogen. Adv. Electron. Mater. 2019, 5, 1800591. [Google Scholar] [CrossRef]
- Keong Koh, E.W.; Chiu, C.H.; Lim, Y.K.; Zhang, Y.-W.; Pan, H. Hydrogen adsorption on and diffusion through MoS2 monolayer: First-principles study. Int. J. Hydrogen Energy 2012, 37, 14323–14328. [Google Scholar] [CrossRef]
- Agrawal, A.V.; Kumar, R.; Venkatesan, S.; Zakhidov, A.; Zhu, Z.; Bao, J.; Kumar, M.; Kumar, M. Fast detection and low power hydrogen sensor using edge-oriented vertically aligned 3-D network of MoS2 flakes at room temperature. Appl. Phys. Lett. 2017, 111, 093102. [Google Scholar] [CrossRef]
- Stolyarova, S.G.; Kotsun, A.A.; Shubin, Y.V.; Koroteev, V.O.; Plyusnin, P.E.; Mikhlin, Y.L.; Mel’gunov, M.S.; Okotrub, A.V.; Bulusheva, L.G. Synthesis of Porous Nanostructured MoS2 Materials in Thermal Shock Conditions and Their Performance in Lithium-Ion Batteries. ACS Appl. Energy Mater. 2020, 3, 10802–10813. [Google Scholar] [CrossRef]
- Pereira, N.M.; Rezende, N.P.; Cunha, T.H.R.; Barboza, A.P.M.; Silva, G.G.; Lippross, D.; Neves, B.R.A.; Chacham, H.; Ferlauto, A.S.; Lacerda, R.G. Aerosol-Printed MoS2 Ink as a High Sensitivity Humidity Sensor. ACS Omega 2022, 7, 9388–9396. [Google Scholar] [CrossRef]
- Tong, Y.; Lin, Z.; Thong, J.T.L.; Chan, D.S.H.; Zhu, C. MoS2 oxygen sensor with gate voltage stress induced performance enhancement. Appl. Phys. Lett. 2015, 107, 123105. [Google Scholar] [CrossRef]
- Tongay, S.; Zhou, J.; Ataca, C.; Liu, J.; Kang, J.S.; Matthews, T.S.; You, L.; Li, J.; Grossman, J.C.; Wu, J. Broad-Range Modulation of Light Emission in Two-Dimensional Semiconductors by Molecular Physisorption Gating. Nano Lett. 2013, 13, 2831–2836. [Google Scholar] [CrossRef]
- Zhou, Q.; Hong, C.; Yao, Y.; Hussain, S.; Xu, L.; Zhang, Q.; Gui, Y.; Wang, M. Hierarchically MoS2 nanospheres assembled from nanosheets for superior CO gas-sensing properties. Mater. Res. Bull. 2018, 101, 132–139. [Google Scholar] [CrossRef]
- Li, H.; Huang, M.; Cao, G. Markedly different adsorption behaviors of gas molecules on defective monolayer MoS2: A first-principles study. Phys. Chem. Chem. Phys. 2016, 18, 15110–15117. [Google Scholar] [CrossRef]
- Zhao, S.; Xue, J.; Kang, W. Gas adsorption on MoS2 monolayer from first-principles calculations. Chem. Phys. Lett. 2014, 595–596, 35–42. [Google Scholar] [CrossRef]
- Shokri, A.; Salami, N. Gas sensor based on MoS2 monolayer. Sens. Actuators B Chem. 2016, 236, 378–385. [Google Scholar] [CrossRef]
- Babar, V.; Vovusha, H.; Schwingenschlögl, U. Density Functional Theory Analysis of Gas Adsorption on Monolayer and Few Layer Transition Metal Dichalcogenides: Implications for Sensing. ACS Appl. Nano Mater. 2019, 2, 6076–6080. [Google Scholar] [CrossRef]
- Yu, L.; Guo, F.; Liu, S.; Qi, J.; Yin, M.; Yang, B.; Liu, Z.; Fan, X.H. Hierarchical 3D flower-like MoS2 spheres: Post-thermal treatment in vacuum and their NO2 sensing properties. Mater. Lett. 2016, 183, 122–126. [Google Scholar] [CrossRef]
- Hung, C.M.; Vuong, V.A.; Van Duy, N.; Van An, D.; Van Hieu, N.; Kashif, M.; Hoa, N.D. Controlled Growth of Vertically Oriented Trilayer MoS2 Nanoflakes for Room-Temperature NO2 Gas Sensor Applications. Phys. Status Solidi 2020, 217, 2000004. [Google Scholar] [CrossRef]
- Hermawan, A.; Septiani, N.L.W.; Taufik, A.; Yuliarto, B.; Suyatman; Yin, S. Advanced Strategies to Improve Performances of Molybdenum-Based Gas Sensors. Nano-Micro Lett. 2021, 13, 207. [Google Scholar] [CrossRef]
- Shao, L.; Wu, Z.; Duan, H.; Shaymurat, T. Discriminative and rapid detection of ozone realized by sensor array of Zn2+ doping tailored MoS2 ultrathin nanosheets. Sens. Actuators B Chem. 2018, 258, 937–946. [Google Scholar] [CrossRef]
- Taufik, A.; Asakura, Y.; Hasegawa, T.; Kato, H.; Kakihana, M.; Hirata, S.; Inada, M.; Yin, S. Surface Engineering of 1T/2H-MoS2 Nanoparticles by O2 Plasma Irradiation as a Potential Humidity Sensor for Breathing and Skin Monitoring Applications. ACS Appl. Nano Mater. 2020, 3, 7835–7846. [Google Scholar] [CrossRef]
- Zhang, D.; Wu, J.; Li, P.; Cao, Y. Room-temperature SO2 gas-sensing properties based on a metal-doped MoS2 nanoflower: An experimental and density functional theory investigation. J. Mater. Chem. A 2017, 5, 20666–20677. [Google Scholar] [CrossRef]
- Bharathi, P.; Harish, S.; Mathankumar, G.; Krishna Mohan, M.; Archana, J.; Kamalakannan, S.; Prakash, M.; Shimomura, M.; Navaneethan, M. Solution processed edge activated Ni-MoS2 nanosheets for highly sensitive room temperature NO2 gas sensor applications. Appl. Surf. Sci. 2022, 600, 154086. [Google Scholar] [CrossRef]
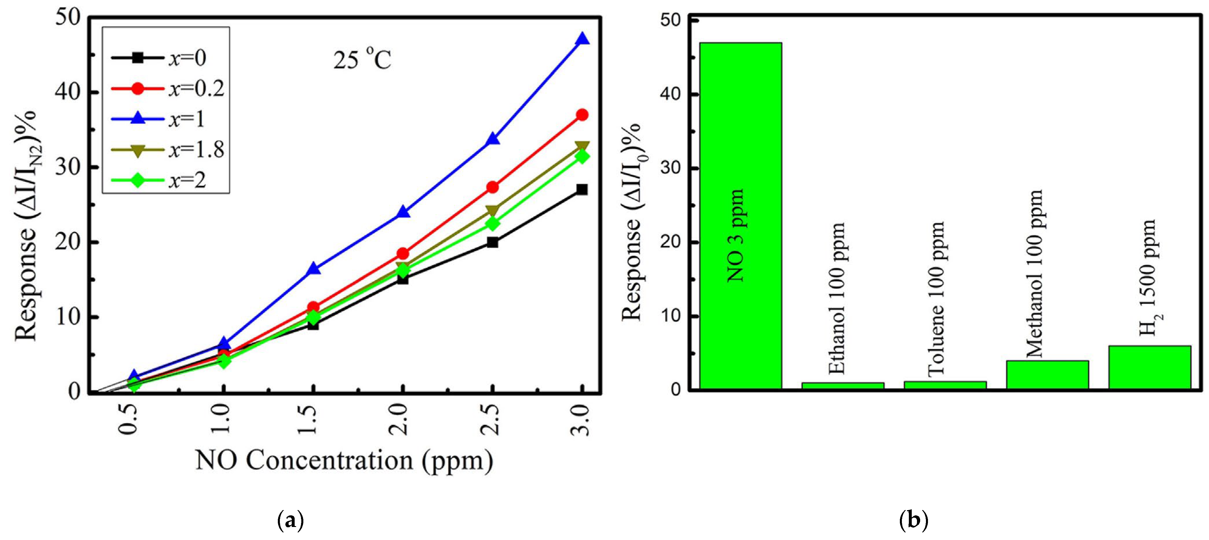
- Taufik, A.; Asakura, Y.; Hasegawa, T.; Yin, S. MoS2–xSex Nanoparticles for NO Detection at Room Temperature. ACS Appl. Nano Mater. 2021, 4, 6861–6871. [Google Scholar] [CrossRef]
- Wu, R.; Hao, J.; Zheng, S.; Sun, Q.; Wang, T.; Zhang, D.; Zhang, H.; Wang, Y.; Zhou, X. N dopants triggered new active sites and fast charge transfer in MoS2 nanosheets for full Response-Recovery NO2 detection at room temperature. Appl. Surf. Sci. 2022, 571, 151162. [Google Scholar] [CrossRef]
- Ramaraj, S.G.; Nundy, S.; Zhao, P.; Elamaran, D.; Tahir, A.A.; Hayakawa, Y.; Muruganathan, M.; Mizuta, H.; Kim, S.-W. RF Sputtered Nb-Doped MoS2 Thin Film for Effective Detection of NO2 Gas Molecules: Theoretical and Experimental Studies. ACS Omega 2022, 7, 10492–10501. [Google Scholar] [CrossRef] [PubMed]
- Zhang, K.; Deng, D.D.; Zheng, B.; Wang, Y.; Perkins, F.K.; Briggs, N.C.; Crespi, V.H.; Robinson, J.A. Tuning Transport and Chemical Sensitivity via Niobium Doping of Synthetic MoS2. Adv. Mater. Interfaces 2020, 7, 2000856. [Google Scholar] [CrossRef]
- Zeng, Y.; Lin, S.; Gu, D.; Li, X. Two-Dimensional Nanomaterials for Gas Sensing Applications: The Role of Theoretical Calculations. Nanomaterials 2018, 8, 851. [Google Scholar] [CrossRef]
- Silvestrelli, P.L.; Ambrosetti, A. Including screening in van der Waals corrected density functional theory calculations: The case of atoms and small molecules physisorbed on graphene. J. Chem. Phys. 2014, 140, 124107. [Google Scholar] [CrossRef]
- Fan, Y.; Zhang, J.; Qiu, Y.; Zhu, J.; Zhang, Y.; Hu, G. A DFT study of transition metal (Fe, Co, Ni, Cu, Ag, Au, Rh, Pd, Pt and Ir)-embedded monolayer MoS2 for gas adsorption. Comput. Mater. Sci. 2017, 138, 255–266. [Google Scholar] [CrossRef]
- Szary, M.J. Adsorption of ethylene oxide on doped monolayers of MoS2: A DFT study. Mater. Sci. Eng. B 2021, 265, 115009. [Google Scholar] [CrossRef]
- Deng, X.; Liang, X.; Ng, S.-P.; Wu, C.-M.L. Adsorption of formaldehyde on transition metal doped monolayer MoS2: A DFT study. Appl. Surf. Sci. 2019, 484, 1244–1252. [Google Scholar] [CrossRef]
- Sharma, A.; Anu; Khan, M.S.; Husain, M.; Khan, M.S.; Srivastava, A. Sensing of CO and NO on Cu-Doped MoS2 Monolayer-Based Single Electron Transistor: A First Principles Study. IEEE Sens. J. 2018, 18, 2853–2860. [Google Scholar] [CrossRef]
- Song, J.; Lou, H. Improvement of gas-adsorption performances of Ag-functionalized monolayer MoS2 surfaces: A first-principles study. J. Appl. Phys. 2018, 123, 175303. [Google Scholar] [CrossRef]
- Salih, E.; Ayesh, A.I. First principle study of transition metals codoped MoS2 as a gas sensor for the detection of NO and NO2 gases. Phys. E Low-Dimens. Syst. Nanostruct. 2021, 131, 114736. [Google Scholar] [CrossRef]
- Zhu, J.; Zhang, H.; Tong, Y.; Zhao, L.; Zhang, Y.; Qiu, Y.; Lin, X. First-principles investigations of metal (V, Nb, Ta)-doped monolayer MoS2: Structural stability, electronic properties and adsorption of gas molecules. Appl. Surf. Sci. 2017, 419, 522–530. [Google Scholar] [CrossRef]
- Gui, Y.; Liu, D.; Li, X.; Tang, C.; Zhou, Q. DFT-based study on H2S and SOF2 adsorption on Si-MoS2 monolayer. Results Phys. 2019, 13, 102225. [Google Scholar] [CrossRef]
- Szary, M.J.; Bąbelek, J.A.; Florjan, D.M. Adsorption and dissociation of NO2 on MoS2 doped wi. Surf. Sci. 2021, 712, 121893. [Google Scholar] [CrossRef]
- Szary, M.J. MoS2 doping for enhanced H2S detection. Appl. Surf. Sci. 2021, 547, 149026. [Google Scholar] [CrossRef]
- Yue, Q.; Shao, Z.; Chang, S.; Li, J. Adsorption of gas molecules on monolayer MoS2 and effect of applied electric field. Nanoscale Res. Lett. 2013, 8, 425. [Google Scholar] [CrossRef]
- Pramudita, J.C.; Sehrawat, D.; Goonetilleke, D.; Sharma, N. An Initial Review of the Status of Electrode Materials for Potassium-Ion Batteries. Adv. Energy Mater. 2017, 7, 1602911. [Google Scholar] [CrossRef]
- Zhang, R.; Qin, Y.; Liu, P.; Jia, C.; Tang, Y.; Wang, H. How does Molybdenum Disulfide Store Charge: A Minireview. ChemSusChem 2020, 13, 1354–1365. [Google Scholar] [CrossRef]
- Afanasiev, P. Synthetic approaches to the molybdenum sulfide materials. Comptes Rendus Chim. 2008, 11, 159–182. [Google Scholar] [CrossRef]
- Wang, H.; Tran, D.; Qian, J.; Ding, F.; Losic, D. MoS2/Graphene Composites as Promising Materials for Energy Storage and Conversion Applications. Adv. Mater. Interfaces 2019, 6, 1900915. [Google Scholar] [CrossRef]
- Xia, D.; Gong, F.; Pei, X.; Wang, W.; Li, H.; Zeng, W.; Wu, M.; Papavassiliou, D.V. Molybdenum and tungsten disulfides-based nanocomposite films for energy storage and conversion: A review. Chem. Eng. J. 2018, 348, 908–928. [Google Scholar] [CrossRef]
- Li, X.L.; Li, T.C.; Huang, S.; Zhang, J.; Pam, M.E.; Yang, H.Y. Controllable Synthesis of Two-Dimensional Molybdenum Disulfide (MoS2) for Energy-Storage Applications. ChemSusChem 2020, 13, 1379–1391. [Google Scholar] [CrossRef] [PubMed]
- Ullah, N.; Guziejewski, D.; Yuan, A.; Shah, S.A. Recent Advancement and Structural Engineering in Transition Metal Dichalcogenides for Alkali Metal Ions Batteries. Materials 2023, 16, 2559. [Google Scholar] [CrossRef]
- Yang, Z.; Zhu, L.; Lv, C.; Zhang, R.; Wang, H.; Wang, J.; Zhang, Q. Defect engineering of molybdenum disulfide for energy storage. Mater. Chem. Front. 2021, 5, 5880–5896. [Google Scholar] [CrossRef]
- Li, B.; Cao, W.; Wang, S.; Cao, Z.; Shi, Y.; Niu, J.; Wang, F. N,S-Doped Porous Carbon Nanobelts Embedded with MoS2 Nanosheets as a Self-Standing Host for Dendrite-Free Li Metal Anodes. Adv. Sci. 2022, 9, 2204232. [Google Scholar] [CrossRef]
- Sen, U.K.; Johari, P.; Basu, S.; Nayak, C.; Mitra, S. An experimental and computational study to understand the lithium storage mechanism in molybdenum disulfide. Nanoscale 2014, 6, 10243–10254. [Google Scholar] [CrossRef]
- Zhang, L.; Sun, D.; Kang, J.; Feng, J.; Bechtel, H.A.; Wang, L.-W.; Cairns, E.J.; Guo, J. Electrochemical Reaction Mechanism of the MoS2 Electrode in a Lithium-Ion Cell Revealed by in Situ and Operando X-ray Absorption Spectroscopy. Nano Lett. 2018, 18, 1466–1475. [Google Scholar] [CrossRef]
- Su, Q.; Wang, S.; Feng, M.; Du, G.; Xu, B. Direct Studies on the Lithium-Storage Mechanism of Molybdenum Disulfide. Sci. Rep. 2017, 7, 7275. [Google Scholar] [CrossRef]
- Li, X.; Zai, J.; Xiang, S.; Liu, Y.; He, X.; Xu, Z.; Wang, K.; Ma, Z.; Qian, X. Regeneration of Metal Sulfides in the Delithiation Process: The Key to Cyclic Stability. Adv. Energy Mater. 2016, 6, 1601056. [Google Scholar] [CrossRef]
- Zhu, Z.; Xi, S.; Miao, L.; Tang, Y.; Zeng, Y.; Xia, H.; Lv, Z.; Zhang, W.; Ge, X.; Zhang, H.; et al. Unraveling the Formation of Amorphous MoS2 Nanograins during the Electrochemical Delithiation Process. Adv. Funct. Mater. 2019, 29, 1904843. [Google Scholar] [CrossRef]
- Stolyarova, S.G.; Koroteev, V.O.; Shubin, Y.V.; Plyusnin, P.E.; Makarova, A.A.; Okotrub, A.V.; Bulusheva, L.G. Pressure-Assisted Interface Engineering in MoS2 /Holey Graphene Hybrids for Improved Performance in Li-ion Batteries. Energy Technol. 2019, 7, 1900659. [Google Scholar] [CrossRef]
- Deng, C.; Wang, Z.; Wang, S.; Yu, J. Inhibition of polysulfide diffusion in lithium–sulfur batteries: Mechanism and improvement strategies. J. Mater. Chem. A 2019, 7, 12381–12413. [Google Scholar] [CrossRef]
- Guo, P.; Sun, K.; Liu, D.; Cheng, P.; Lv, M.; Liu, Q.; He, D. Molybdenum disulfide nanosheets embedded in hollow nitrogen-doped carbon spheres for efficient lithium/sodium storage with enhanced electrochemical kinetics. Electrochim. Acta 2018, 283, 646–654. [Google Scholar] [CrossRef]
- Liu, M.; Fan, H.; Zhuo, O.; Du, X.; Yang, L.; Wang, P.; Yang, L.; Wu, Q.; Wang, X.; Hu, Z. Vertically Grown Few-Layer MoS2 Nanosheets on Hierarchical Carbon Nanocages for Pseudocapacitive Lithium Storage with Ultrahigh-Rate Capability and Long-Term Recyclability. Chem. A Eur. J. 2019, 25, 3843–3848. [Google Scholar] [CrossRef]
- Koroteev, V.O.; Stolyarova, S.G.; Kotsun, A.A.; Modin, E.; Makarova, A.A.; Shubin, Y.; Plyusnin, P.E.; Okotrub, A.V.; Bulusheva, L.G. Nanoscale coupling of MoS2 and graphene via rapid thermal decomposition of ammonium tetrathiomolybdate and graphite oxide for boosting capacity of Li-ion batteries. Carbon N. Y. 2021, 173, 194–204. [Google Scholar] [CrossRef]
- Wang, L.; Zhang, Q.; Zhu, J.; Duan, X.; Xu, Z.; Liu, Y.; Yang, H.; Lu, B. Nature of extra capacity in MoS2 electrodes: Molybdenum atoms accommodate with lithium. Energy Storage Mater. 2019, 16, 37–45. [Google Scholar] [CrossRef]
- Shu, H.; Li, F.; Hu, C.; Liang, P.; Cao, D.; Chen, X. The capacity fading mechanism and improvement of cycling stability in MoS2 -based anode materials for lithium-ion batteries. Nanoscale 2016, 8, 2918–2926. [Google Scholar] [CrossRef]
- Feng, C.; Ma, J.; Li, H.; Zeng, R.; Guo, Z.; Liu, H. Synthesis of molybdenum disulfide (MoS2) for lithium ion battery applications. Mater. Res. Bull. 2009, 44, 1811–1815. [Google Scholar] [CrossRef]
- Liu, Q.; Weijun, X.; Wu, Z.; Huo, J.; Liu, D.; Wang, Q.; Wang, S. The origin of the enhanced performance of nitrogen-doped MoS2 in lithium ion batteries. Nanotechnology 2016, 27, 175402. [Google Scholar] [CrossRef]
- Li, S. N-doped MoS2 Nano-Flowers as High-Performance Anode Electrode for Excellent Lithium Storage. Int. J. Electrochem. Sci. 2019, 14, 7507–7515. [Google Scholar] [CrossRef]
- Jiao, J.; Du, K.; Wang, Y.; Sun, P.; Zhao, H.; Tang, P.; Fan, Q.; Tian, H.; Li, Q.; Xu, Q. N plasma treatment on graphene oxide-MoS2 composites for improved performance in lithium ion batteries. Mater. Chem. Phys. 2020, 240, 122169. [Google Scholar] [CrossRef]
- Tang, P.; Jiao, J.; Fan, Q.; Wang, X.; Agrawal, V.; Xu, Q. Interlayer spacing engineering in N doped MoS2 for efficient lithium ion storage. Mater. Chem. Phys. 2021, 261, 124166. [Google Scholar] [CrossRef]
- Cho, J.; Ryu, S.; Gong, Y.J.; Pyo, S.; Yun, H.; Kim, H.; Lee, J.; Yoo, J.; Kim, Y.S. Nitrogen-doped MoS2 as a catalytic sulfur host for lithium-sulfur batteries. Chem. Eng. J. 2022, 439, 135568. [Google Scholar] [CrossRef]
- Fayed, M.G.; Attia, S.Y.; Barakat, Y.F.; El-Shereafy, E.E.; Rashad, M.M.; Mohamed, S.G. Carbon and nitrogen co-doped MoS2 nanoflakes as an electrode material for lithium-ion batteries and supercapacitors. Sustain. Mater. Technol. 2021, 29, e00306. [Google Scholar] [CrossRef]
- Gong, S.; Zhao, G.; Lyu, P.; Sun, K. A Pseudolayered MoS2 as Li-Ion Intercalation Host with Enhanced Rate Capability and Durability. Small 2018, 14, 1803344. [Google Scholar] [CrossRef]
- Lu, L.; Min, F.; Luo, Z.; Wang, S.; Teng, F.; Li, G.; Feng, C. Synthesis and electrochemical properties of tin-doped MoS2 (Sn/MoS2) composites for lithium ion battery applications. J. Nanoparticle Res. 2016, 18, 357. [Google Scholar] [CrossRef]
- Lei, Y.; Fujisawa, K.; Zhang, F.; Briggs, N.; Aref, A.R.; Yeh, Y.-T.; Lin, Z.; Robinson, J.A.; Rajagopalan, R.; Terrones, M. Synthesis of V-MoS2 Layered Alloys as Stable Li-Ion Battery Anodes. ACS Appl. Energy Mater. 2019, 2, 8625–8632. [Google Scholar] [CrossRef]
- Cai, G.; Peng, L.; Ye, S.; Huang, Y.; Wang, G.; Zhang, X. Defect-rich MoS2(1−x) Se2x few-layer nanocomposites: A superior anode material for high-performance lithium-ion batteries. J. Mater. Chem. A 2019, 7, 9837–9843. [Google Scholar] [CrossRef]
- Wang, S.; Liu, B.; Zhi, G.; Gong, X.; Gao, Z.; Zhang, J. Relaxing volume stress and promoting active sites in vertically grown 2D layered mesoporous MoS2(1-x)Se2x/rGO composites with enhanced capability and stability for lithium ion batteries. Electrochim. Acta 2018, 268, 424–434. [Google Scholar] [CrossRef]
- Francis, M.K.; Rajesh, K.; Bhargav, P.B.; Ahmed, N. Binder-free phosphorus-doped MoS2 flexible anode deposited on carbon cloth for high-capacity Li-ion battery applications. J. Mater. Sci. 2023, 58, 4054–4069. [Google Scholar] [CrossRef]
- Wang, J.; Zhang, L.; Sun, K.; He, J.; Zheng, Y.; Xu, C.; Zhang, Y.; Chen, Y.; Li, M. Improving ionic/electronic conductivity of MoS2 Li-ion anode via manganese doping and structural optimization. Chem. Eng. J. 2019, 372, 665–672. [Google Scholar] [CrossRef]
- Qi, K.; Yuan, Z.; Hou, Y.; Zhao, R.; Zhang, B. Facile synthesis and improved Li-storage performance of Fe-doped MoS2/reduced graphene oxide as anode materials. Appl. Surf. Sci. 2019, 483, 688–695. [Google Scholar] [CrossRef]
- Xu, S.; Zhu, Q.; Chen, T.; Chen, W.; Ye, J.; Huang, J. Hydrothermal synthesis of Co-doped-MoS2/reduced graphene oxide hybrids with enhanced electrochemical lithium storage performances. Mater. Chem. Phys. 2018, 219, 399–410. [Google Scholar] [CrossRef]
- Li, X.; Feng, Z.; Zai, J.; Ma, Z.-F.; Qian, X. Incorporation of Co into MoS2/graphene nanocomposites: One effective way to enhance the cycling stability of Li/Na storage. J. Power Sources 2018, 373, 103–109. [Google Scholar] [CrossRef]
- Han, M.; Chen, J.; Cai, Y.; Wei, L.; Zhao, T. Magnetic-atom strategy enables unilamellar MoS2-C interoverlapped superstructure with ultrahigh capacity and ultrafast ion transfer capability in Li/Na/K-ion batteries. Chem. Eng. J. 2023, 454, 140137. [Google Scholar] [CrossRef]
- Sun, X.; Wang, Z. Adsorption and diffusion of lithium on heteroatom-doped monolayer molybdenum disulfide. Appl. Surf. Sci. 2018, 455, 911–918. [Google Scholar] [CrossRef]
- Yang, F.; Feng, X.; Glans, P.-A.; Guo, J. MoS2 for beyond lithium-ion batteries. APL Mater. 2021, 9, 050903. [Google Scholar] [CrossRef]
- Li, Q.; Yao, Z.; Wu, J.; Mitra, S.; Hao, S.; Sahu, T.S.; Li, Y.; Wolverton, C.; Dravid, V.P. Intermediate phases in sodium intercalation into MoS2 nanosheets and their implications for sodium-ion batteries. Nano Energy 2017, 38, 342–349. [Google Scholar] [CrossRef]
- Du, X.; Huang, J.; Guo, X.; Lin, X.; Huang, J.-Q.; Tan, H.; Zhu, Y.; Zhang, B. Preserved Layered Structure Enables Stable Cyclic Performance of MoS2 upon Potassium Insertion. Chem. Mater. 2019, 31, 8801–8809. [Google Scholar] [CrossRef]
- Wang, P.; Gou, W.; Jiang, T.; Zhao, W.; Ding, K.; Sheng, H.; Liu, X.; Xu, Q.; Fan, Q. An interlayer spacing design approach for efficient sodium ion storage in N-doped MoS2. Nanoscale Horiz. 2023, 8, 473–482. [Google Scholar] [CrossRef] [PubMed]
- Cai, Y.; Yang, H.; Zhou, J.; Luo, Z.; Fang, G.; Liu, S.; Pan, A.; Liang, S. Nitrogen doped hollow MoS2/C nanospheres as anode for long-life sodium-ion batteries. Chem. Eng. J. 2017, 327, 522–529. [Google Scholar] [CrossRef]
- Tao, P.; He, J.; Shen, T.; Hao, Y.; Yan, J.; Huang, Z.; Xu, X.; Li, M.; Chen, Y. Nitrogen-Doped MoS2 Foam for Fast Sodium Ion Storage. Adv. Mater. Interfaces 2019, 6, 1900460. [Google Scholar] [CrossRef]
- Lim, H.; Kim, H.; Kim, S.-O.; Choi, W. Self-assembled N-doped MoS2/carbon spheres by naturally occurring acid-catalyzed reaction for improved sodium-ion batteries. Chem. Eng. J. 2020, 387, 124144. [Google Scholar] [CrossRef]
- Lim, H.; Yu, S.; Choi, W.; Kim, S.-O. Hierarchically Designed Nitrogen-Doped MoS2/Silicon Oxycarbide Nanoscale Heterostructure as High-Performance Sodium-Ion Battery Anode. ACS Nano 2021, 15, 7409–7420. [Google Scholar] [CrossRef]
- Li, J.; He, T.; Zhao, Y.; Zhang, X.; Zhong, W.; Zhang, X.; Ren, J.; Chen, Y. In-situ N-doped ultrathin MoS2 anchored on N-doped carbon nanotubes skeleton by Mo-N bonds for fast pseudocapacitive sodium storage. J. Alloys Compd. 2022, 897, 163170. [Google Scholar] [CrossRef]
- Liu, Y.; Lei, Z.; Li, X.; Lin, C.; Liu, R.; Cao, C.; Chen, Q.; Wei, M.; Zeng, L.; Qian, Q. Sb-Doped metallic 1T-MoS2 nanosheets embedded in N-doped carbon as high-performance anode materials for half/full sodium/potassium-ion batteries. Dalt. Trans. 2022, 51, 11685–11692. [Google Scholar] [CrossRef]
- Fan, B.-B.; Fan, H.-N.; Chen, X.-H.; Gao, X.-W.; Chen, S.; Tang, Q.-L.; Luo, W.-B.; Deng, Y.; Hu, A.-P.; Hu, W. Metallic-State MoS2 Nanosheets with Atomic Modification for Sodium Ion Batteries with a High Rate Capability and Long Lifespan. ACS Appl. Mater. Interfaces 2021, 13, 19894–19903. [Google Scholar] [CrossRef]
- Zong, J.; Wang, F.; Liu, H.; Zhao, M.; Yang, S. Te-doping induced C@MoS2-xTex@C nanocomposites with improved electronic structure as high-performance anode for sodium-based dual-ion batteries. J. Power Sources 2022, 535, 231462. [Google Scholar] [CrossRef]
- Woo, S.H.; Yadgarov, L.; Rosentsveig, R.; Park, Y.; Song, D.; Tenne, R.; Hong, S.Y. Fullerene-like Re-Doped MoS2 Nanoparticles as an Intercalation Host with Fast Kinetics for Sodium Ion Batteries. Isr. J. Chem. 2015, 55, 599–603. [Google Scholar] [CrossRef]
- Zheng, T.; Li, G.; Dong, J.; Sun, Q.; Meng, X. Self-assembled Mn-doped MoS2 hollow nanotubes with significantly enhanced sodium storage for high-performance sodium-ion batteries. Inorg. Chem. Front. 2018, 5, 1587–1593. [Google Scholar] [CrossRef]
- Yue, X.; Wang, J.; Patil, A.M.; An, X.; Xie, Z.; Hao, X.; Jiang, Z.; Abudula, A.; Guan, G. A novel vanadium-mediated MoS2 with metallic behavior for sodium ion batteries: Achieving fast Na+ diffusion to enhance electrochemical kinetics. Chem. Eng. J. 2021, 417, 128107. [Google Scholar] [CrossRef]
- Yue, X.; Wang, J.; Xie, Z.; He, Y.; Liu, Z.; Liu, C.; Hao, X.; Abudula, A.; Guan, G. Controllable Synthesis of Novel Orderly Layered VMoS2 Anode Materials with Super Electrochemical Performance for Sodium-Ion Batteries. ACS Appl. Mater. Interfaces 2021, 13, 26046–26054. [Google Scholar] [CrossRef]
- Fan, H.; Wang, X.; Yu, H.; Gu, Q.; Chen, S.; Liu, Z.; Chen, X.; Luo, W.; Liu, H. Enhanced Potassium Ion Battery by Inducing Interlayer Anionic Ligands in MoS1.5Se0.5 Nanosheets with Exploration of the Mechanism. Adv. Energy Mater. 2020, 10, 1904162. [Google Scholar] [CrossRef]
- Kang, W.; Wang, Y.; An, C. Interlayer engineering of MoS2 nanosheets for high-rate potassium-ion storage. New J. Chem. 2020, 44, 20659–20664. [Google Scholar] [CrossRef]
- Gao, J.; Wang, G.; Liu, Y.; Li, J.; Peng, B.; Jiao, S.; Zeng, S.; Zhang, G. Ternary molybdenum sulfoselenide based hybrid nanotubes boost potassium-ion diffusion kinetics for high energy/power hybrid capacitors. J. Mater. Chem. A 2020, 8, 13946–13954. [Google Scholar] [CrossRef]
- He, H.; Huang, D.; Gan, Q.; Hao, J.; Liu, S.; Wu, Z.; Pang, W.K.; Johannessen, B.; Tang, Y.; Luo, J.-L.; et al. Anion Vacancies Regulating Endows MoSSe with Fast and Stable Potassium Ion Storage. ACS Nano 2019, 13, 11843–11852. [Google Scholar] [CrossRef]
- Kang, W.; Xie, R.; Wang, Y.; An, C.; Li, C. Te–S covalent bond induces 1T&2H MoS2 with improved potassium-ion storage performance. Nanoscale 2020, 12, 24463–24470. [Google Scholar] [CrossRef]
- Zhang, K.; Zhang, H.; Li, C.; Ma, X. Vertically oriented MoSe0.4S1.6/N-doped C nanostructures directly grown on carbon nanotubes as high-performance anode for potassium-ion batteries. J. Electroanal. Chem. 2022, 923, 116846. [Google Scholar] [CrossRef]
- Raghavendra, K.V.G.; Vinoth, R.; Zeb, K.; Muralee Gopi, C.V.V.; Sambasivam, S.; Kummara, M.R.; Obaidat, I.M.; Kim, H.J. An intuitive review of supercapacitors with recent progress and novel device applications. J. Energy Storage 2020, 31, 101652. [Google Scholar] [CrossRef]
- Mohan, M.; Shetti, N.P.; Aminabhavi, T.M. Phase dependent performance of MoS2 for supercapacitor applications. J. Energy Storage 2023, 58, 106321. [Google Scholar] [CrossRef]
- Koroteev, V.O.; Kuznetsova, I.V.; Kurenya, A.G.; Kanygin, M.A.; Fedorovskaya, E.O.; Mikhlin, Y.L.; Chuvilin, A.L.; Bulusheva, L.G.; Okotrub, A.V. Enhanced supercapacitance of vertically aligned multi-wall carbon nanotube array covered by MoS2 nanoparticles. Phys. Status Solidi 2016, 253, 2451–2456. [Google Scholar] [CrossRef]
- Wang, L.; Wu, J.; Wang, X.; Fu, S. Defect engineering of MoS2-based materials as supercapacitors electrode: A mini review. J. Alloys Compd. 2023, 959, 170548. [Google Scholar] [CrossRef]
- Pisal, K.B.; Babar, B.M.; Mujawar, S.H.; Kadam, L.D. Overview of molybdenum disulfide based electrodes for supercapacitors: A short review. J. Energy Storage 2021, 43, 103297. [Google Scholar] [CrossRef]
- Rohith, R.; Prasannakumar, A.T.; Mohan, R.R.; V., M.; Varma, S.J. Advances in 2D Molybdenum Disulfide-Based Functional Materials for Supercapacitor Applications. ChemistrySelect 2022, 7, e202203068. [Google Scholar] [CrossRef]
- Kanade, C.; Arbuj, S.; Kanade, K.; Kim, K.S.; Yeom, G.Y.; Kim, T.; Kale, B. Hierarchical nanostructures of nitrogen-doped molybdenum sulphide for supercapacitors. RSC Adv. 2018, 8, 39749–39755. [Google Scholar] [CrossRef]
- Le, K.; Zhang, X.; Zhao, Q.; Liu, Y.; Yi, P.; Xu, S.; Liu, W. Controllably Doping Nitrogen into 1T/2H MoS2 Heterostructure Nanosheets for Enhanced Supercapacitive and Electrocatalytic Performance by Low-Power N2 Plasma. ACS Appl. Mater. Interfaces 2021, 13, 44427–44439. [Google Scholar] [CrossRef] [PubMed]
- Singha, S.S.; Rudra, S.; Mondal, S.; Pradhan, M.; Nayak, A.K.; Satpati, B.; Pal, P.; Das, K.; Singha, A. Mn incorporated MoS2 nanoflowers: A high performance electrode material for symmetric supercapacitor. Electrochim. Acta 2020, 338, 135815. [Google Scholar] [CrossRef]
- Wang, Z.; Wang, J.; Wang, F.; Zhang, X.; He, X.; Liu, S.; Zhang, Z.; Zhang, Z.; Wang, X. One-step hydrothermal synthesis of high-performance stable Ni-doped 1T-MoS2 electrodes for supercapacitors. J. Alloys Compd. 2023, 947, 169505. [Google Scholar] [CrossRef]
- Prakash, K.; Harish, S.; Kamalakannan, S.; Logu, T.; Shimomura, M.; Archana, J.; Navaneethan, M. Perspective on ultrathin layered Ni-doped MoS2 hybrid nanostructures for the enhancement of electrochemical properties in supercapacitors. J. Energy Chem. 2023, 80, 335–349. [Google Scholar] [CrossRef]
- Rohith, R.; Manuraj, M.; Jafri, R.I.; Rakhi, R.B. Co-MoS2 nanoflower coated carbon fabric as a flexible electrode for supercapacitor. Mater. Today Proc. 2022, 50, 1–6. [Google Scholar] [CrossRef]
- Sun, A.; Xie, L.; Wang, D.; Wu, Z. Enhanced energy storage performance from Co-decorated MoS2 nanosheets as supercapacitor electrode materials. Ceram. Int. 2018, 44, 13434–13438. [Google Scholar] [CrossRef]
- Pan, U.N.; Sharma, V.; Kshetri, T.; Singh, T.I.; Paudel, D.R.; Kim, N.H.; Lee, J.H. Freestanding 1T-MnxMo1– xS2– ySey and MoFe2S4–zSez Ultrathin Nanosheet-Structured Electrodes for Highly Efficient Flexible Solid-State Asymmetric Supercapacitors. Small 2020, 16, 2001691. [Google Scholar] [CrossRef] [PubMed]
- Sun, T.; Li, Z.; Liu, X.; Ma, L.; Wang, J.; Yang, S. Oxygen-incorporated MoS2 microspheres with tunable interiors as novel electrode materials for supercapacitors. J. Power Sources 2017, 352, 135–142. [Google Scholar] [CrossRef]
- Lee, S.; Hwang, J.; Kim, D.; Ahn, H. Oxygen incorporated in 1T/2H hybrid MoS2 nanoflowers prepared from molybdenum blue solution for asymmetric supercapacitor applications. Chem. Eng. J. 2021, 419, 129701. [Google Scholar] [CrossRef]
- Sellam, A.; Jenjeti, R.N.; Sampath, S. Ultrahigh-Rate Supercapacitors Based on 2-Dimensional, 1T MoS2 xSe2(1– x) for AC Line-Filtering Applications. J. Phys. Chem. C 2018, 122, 14186–14194. [Google Scholar] [CrossRef]
- Manuraj, M.; Mohan, V.V.; Assa Aravindh, S.; Sarath Kumar, S.R.; Narayanan Unni, K.N.; Rakhi, R.B. Can mixed anion transition metal dichalcogenide electrodes enhance the performance of electrochemical energy storage devices? The case of MoS2xSe2(1-x). Chem. Eng. J. 2022, 443, 136451. [Google Scholar] [CrossRef]
- Xu, J.; Dong, L.; Li, C.; Tang, H. Facile synthesis of Mo0.91W0.09S2 ultrathin nanosheets/amorphous carbon composites for high-performance supercapacitor. Mater. Lett. 2016, 162, 126–130. [Google Scholar] [CrossRef]
- Bello, I.T.; Otun, K.O.; Nyongombe, G.; Adedokun, O.; Kabongo, G.L.; Dhlamini, M.S. Synthesis, Characterization, and Supercapacitor Performance of a Mixed-Phase Mn-Doped MoS2 Nanoflower. Nanomaterials 2022, 12, 490. [Google Scholar] [CrossRef]
- Palanisamy, S.; Periasamy, P.; Subramani, K.; Shyma, A.P.; Venkatachalam, R. Ultrathin sheet structure Ni-MoS2 anode and MnO2/water dispersion graphene cathode for modern asymmetrical coin cell supercapacitor. J. Alloys Compd. 2018, 731, 936–944. [Google Scholar] [CrossRef]
- Panchu, S.J.; Raju, K.; Singh, P.; Johnson, D.D.; Swart, H.C. High Mass Loading of Flowerlike Ni-MoS2 Microspheres toward Efficient Intercalation Pseudocapacitive Electrodes. ACS Appl. Energy Mater. 2023, 6, 2187–2198. [Google Scholar] [CrossRef]
- Vikraman, D.; Hussain, S.; Karuppasamy, K.; Kathalingam, A.; Jo, E.-B.; Sanmugam, A.; Jung, J.; Kim, H.-S. Engineering the active sites tuned MoS2 nanoarray structures by transition metal doping for hydrogen evolution and supercapacitor applications. J. Alloys Compd. 2022, 893, 162271. [Google Scholar] [CrossRef]
- Falola, B.D.; Fan, L.; Wiltowski, T.; Suni, I.I. Electrodeposition of Cu-Doped MoS2 for Charge Storage in Electrochemical Supercapacitors. J. Electrochem. Soc. 2017, 164, D674–D679. [Google Scholar] [CrossRef]
- Lu, Q.; Wei, Z.; Liang, J.; Li, L.; Ma, J.; Li, C. Electrochemical properties of Mo0.7Co0.3S2/g-C3N4 nanocomposites prepared by solvothermal method. J. Mater. Sci. Mater. Electron. 2021, 32, 28152–28162. [Google Scholar] [CrossRef]
- Lu, Q.; Wei, Z.; Liang, J.; Li, C.; Li, L.; Ma, J. High-Performance Supercapacitor Electrode Materials of Mo1-xCox S2 Nanoparticles Prepared by Hydrothermal Method. ChemistrySelect 2022, 7, e202102794. [Google Scholar] [CrossRef]
- Shao, J.; Li, Y.; Zhong, M.; Wang, Q.; Luo, X.; Li, K.; Zhao, W. Enhanced-performance flexible supercapacitor based on Pt-doped MoS2. Mater. Lett. 2019, 252, 173–177. [Google Scholar] [CrossRef]













| Nanomaterial | Analyte | Detection Limit, Temperature | Reference |
|---|---|---|---|
| 5% Zn-doped MoS2 nanoparticles | O3 | 17 ppb, 25 °C | [139] |
| NO2 | 215 ppb, 25 °C | ||
| Ni-doped MoS2 nanoparticles | SO2 | 250 ppb, room | [141] |
| 7% Ni-doped MoS2 nanoparticles | NO2 | 311 ppb, room | [142] |
| MoSSe nanoparticles | NO | 270 ppb, 25 °C | [143] |
| N-doped MoS2 nanosheets | NO2 | 125 ppb, 25 °C | [144] |
| Nb-doped MoS2 monolayer | NO2 | 5 ppm, 100 °C | [145] |
| 6% Nb-doped MoS2 monolayer | N(CH2CH3)3 | 15 ppb, room | [146] |
| mechanically detached MoS2 | NO | 800 ppb, room | [110] |
| CVD MoS2 monolayer | NO2 | 1.4 ppb | [117] |
| CVD MoS2 monolayer | NO2 NH3 | 20 ppb, room 1 ppm, room | [116] |
| CVD MoS2 films | NH3 | 300 ppb, room | [114] |
| Edge-enriched MoS2 | NO2 NH3 | 20 ppb, 100 °C 2 ppm, room | [122] |
| MoS2 nanowires | NO2 | 4.6 ppb, 60 °C | [123] |
| mechanically detached MoS2 | N(CH2CH3)3 | ~1 ppm, 20 °C | [115] |
| Heteroatom | Gas Molecule | Eads (eV) | ΔQ (e) | d (Å) | Correction | Reference |
|---|---|---|---|---|---|---|
| metal | ||||||
| Fe | CO | −1.60 | −0.27 | 1.86 | D2 | [149] |
| NO | −2.84 | −0.32 | 1.68 | |||
| O2 | −2.10 | −0.70 | - | |||
| NO2 | −2.29 | −0.66 | 2.11 | |||
| NH3 | −1.52 | 0.16 | 2.12 | |||
| Co | CO | −1.71 | −0.19 | 1.80 | ||
| NO | −2.95 | −0.25 | 1.64 | |||
| O2 | −1.61 | −0.54 | - | |||
| NO2 | −1.79 | −0.62 | 2.04 | |||
| NH3 | −1.38 | 0.14 | 2.07 | |||
| Ni | CO | −1.69 | −0.16 | - | ||
| NO | −1.88 | −0.22 | - | |||
| O2 | −0.98 | −0.44 | - | |||
| NO2 | −1.32 | −0.42 | - | |||
| NH3 | −1.33 | 0.15 | - | |||
| C2H4O | −0.79 | −0.19 | 2.13 | D3 | [150] | |
| CH2O | −1.08 | 0.02 | 1.85 | D2 | [151] | |
| Cu | CO | −1.27 | −0.02 | - | D2 | [149] |
| −1.25 | −0.08 | 1.86 | D2 | [152] | ||
| NO | −1.5 | −0.22 | - | D2 | [149] | |
| −1.44 | −0.26 | 1.81 | D2 | [152] | ||
| O2 | −1.16 | −0.46 | D2 | [149] | ||
| NO2 | −1.88 | −0.64 | - | |||
| NH3 | −1.47 | 0.18 | - | |||
| Ag | CO | −0.79 | −0.01 | - | ||
| −0.81 | 0.02 | 2.09 | D2 | [153] | ||
| NO | −0.98 | −0.20 | - | D2 | [149] | |
| 0.38 | −0.13 | 2.18 | D2 | [154] | ||
| O2 | −0.62 | −0.38 | - | D2 | [149] | |
| NO2 | −1.49 | −0.61 | - | |||
| −1.85 | −0.44 | 2.18 | D2 | [154] | ||
| −2.83 | −0.61 | 2.35 | D2 | [153] | ||
| NH3 | −1.12 | 0.14 | - | D2 | [149] | |
| −1.13 | 0.14 | 2.26 | D2 | [153] | ||
| H2S | −0.85 | 0.19 | 2.52 | |||
| SO2 | −0.71 | −0.35 | 2.44 | |||
| CH2O | −0.73 | 0.01 | 2.27 | |||
| Au | CO | −1.06 | −0.02 | - | D2 | [149] |
| NO | −1.24 | −0.20 | - | |||
| −0.72 | −0.11 | 2.16 | D2 | [154] | ||
| O2 | −0.74 | −0.39 | - | D2 | [149] | |
| NO2 | −1.70 | −0.54 | - | |||
| −1.60 | −0.42 | 2.08 | D2 | [154] | ||
| NH3 | −1.17 | 0.23 | - | D2 | [149] | |
| Au-Ag | NO | −0.55 | −0.22 | 2.17 | D2 | [154] |
| NO2 | −2.60 | −0.45 | 2.19 | |||
| Rh | CO | −1.49 | −0.16 | - | D2 | [149] |
| NO | −2.74 | −0.20 | - | |||
| O2 | −1.29 | −0.45 | - | |||
| NO2 | −1.64 | −0.29 | - | |||
| NH3 | −1.20 | 0.19 | - | |||
| Pd | CO | −1.13 | −0.06 | - | ||
| NO | −1.05 | −0.14 | - | |||
| O2 | −0.39 | −0.17 | - | |||
| NO2 | −0.77 | −0.34 | - | |||
| NH3 | −0.94 | 0.11 | - | |||
| C2H4O | −0.53 | 0.13 | 2.31 | D3 | [150] | |
| CH2O | −0.57 | 0.09 | 2.13 | D2 | [151] | |
| Pt | CO | −1.60 | −0.08 | - | D2 | [149] |
| NO | −1.36 | −0.17 | - | |||
| O2 | −0.47 | −0.26 | - | |||
| NO2 | −0.99 | −0.31 | - | |||
| NH3 | −1.08 | 0.16 | - | |||
| CH2O | −0.73 | −0.03 | 2.1 | D2 | [151] | |
| Ir | CO | −2.04 | −0.16 | - | D2 | [149] |
| NO | −3.36 | −0.26 | - | |||
| O2 | −1.68 | −0.55 | - | |||
| NO2 | −2.08 | −0.40 | - | |||
| NH3 | −1.33 | 0.17 | - | |||
| Ti | C2H4O | −1.23 | 0.28 | 2.09 | D3 | [150] |
| CH2O | −1.59 | −0.37 | 1.86 | D2 | [151] | |
| V | CO | −1.25 | −0.24 | - | D3 | [155] |
| NO2 | −2.59 | −0.66 | - | |||
| H2O | −0.81 | 0.03 | - | |||
| NH3 | −1.30 | 0.1 | - | |||
| Nb | CO | −1.36 | −0.33 | - | ||
| NO2 | −3.88 | −0.69 | - | |||
| H2O | −0.92 | 0.04 | - | |||
| NH3 | −1.24 | 0.1 | - | |||
| Ta | CO | −1.70 | −0.35 | - | ||
| NO2 | −3.64 | −0.72 | - | |||
| H2O | −1.44 | 0.05 | - | |||
| NH3 | −1.71 | 0.1 | - | |||
| non-metal | ||||||
| Si | C2H4O | −1.65 | 0.29 | 1.85 | D3 | [150] |
| H2S | −0.68 | −0.16 | 2.40 | vdW | [156] | |
| SOF2 | −3.63 | 0.83 | 1.64 | |||
| NO2 | −3.56 | −0.30 | 2.37 | D3 | [157] | |
| Ge | C2H4O | −0.24 | 0.02 | 3.23 | D3 | [150] |
| N2 | −0.11 | 0.01 | 3.88 | D3 | [158] | |
| O2 | −0.22 | 0.12 | 2.52 | |||
| H2S | −0.15 | −0.01 | 3.84 | |||
| NO2 | −1.81 | −0.17 | 2.82 | D3 | [157] | |
| P | C2H4O | −0.13 | 0.03 | 2.85 | D3 | [150] |
| N2 | −0.06 | 0.01 | 3.21 | D3 | [158] | |
| O2 | −0.16 | 0.06 | 3.01 | |||
| H2S | −0.37 | −0.20 | 2.84 | |||
| NO2 | −2.49 | −0.66 | 2.42 | D3 | [157] | |
| Cl | C2H4O | −0.21 | 0.02 | 3.26 | D3 | [150] |
| N2 | −0.09 | 0.01 | 3.41 | D3 | [158] | |
| O2 | −0.01 | 0.30 | 2.52 | |||
| H2S | −0.13 | 0.01 | 2.98 | |||
| NO2 | −1.53 | −0.14 | 2.53 | D3 | [157] | |
| Se | NO2 | −0.23 | −0.04 | 2.54 | ||
| Nanomaterial | Initial Specific Capacity (Current Density) | Reversible Capacity (Current Density) | Reference |
|---|---|---|---|
| N-doped MoS2 nanoparticles | 1130.8 mAh∙g−1 (0.2 C) | 800 mAh∙g−1 (0.2 C) after 40 cycles | [182] |
| N-doped MoS2 nanoparticles | 1186 mAh∙g−1 (0.1 C) | 738 mAh∙g−1 (0.5 C) after 100 cycles | [183] |
| N-rGO/MoS2 | 726.9 mAh∙g−1 (1 C) | 592.7 mAh∙g−1 (1 C) after 100 cycles | [184] |
| N-rGO/MoS2 | 1725.6 mAh∙g−1 (0.1 A∙g−1) | ~630 mAh∙g−1 (0.5 A∙g−1) after 400 cycles | [185] |
| N, C-doped MoS2 nanoparticles | 1280 mAh∙g−1 (0.1 A∙g−1) | 400 mAh∙g−1 (0.1 A∙g−1) after 60 cycles | [187] |
| 7.9% Sn-doped MoS2 flowers | 1087 mAh∙g−1 (0.2 A∙g−1) | 1087 mAh∙g−1 (0.2 A∙g−1) after 100 cycles | [189] |
| 17.6% V-doped MoS2 | 814 mAh∙g−1 (1 A∙g−1) | 350 mAh∙g−1 (1 A∙g−1) after 300 cycles | [190] |
| MoS1.75Se0.25 | ~1640 mAh∙g−1 (0.1 C) | 500 mAh∙g−1 (5 C) after 350 cycles | [191] |
| meso-MoS1.12Se0.88/rGO | ~1330 mAh∙g−1 (0.1 A∙g−1) | 830 mAh∙g−1 (0.1 A∙g−1) after 150 cycles | [192] |
| P-doped MoS2/carbon cloth | 2700 mAh∙g−1 (0.1 A∙g−1) | 713 mAh∙g−1 (0.5 A∙g−1) after 500 cycles | [193] |
| Mn-doped MoS2/carbon cloth | ~1280 mAh∙g−1 (0.1 A∙g−1) | ~1130 mAh∙g−1 (0.1 A∙g−1) after 200 cycles | [194] |
| Fe-doped MoS2/rGO | 1671 mAh∙g−1 (0.1 A∙g−1) | 946 mAh∙g−1 (0.1 A∙g−1) after 100 cycles | [195] |
| Co-doped MoS2/rGO | 1385.3 mAh∙g−1 (0.1 A∙g−1) | 1223 mAh∙g−1 (0.1 A∙g−1) after 100 cycles | [196] |
| Co1/3Mo2/3S2/rGO | ~1800 mAh∙g−1 (0.2 A∙g−1) | 1200 mAh∙g−1 (0.2 A∙g−1) after 700 cycles | [197] |
| FeCo-doped MoS2/carbon | 1874.4 mAh∙g−1 (0.1 C) | 971.2 mAh∙g−1 (5 C) after 3000 cycles | [198] |
| Nanomaterial | Initial Specific Capacity (Current Density) | Reversible Capacity (Current Density) | Reference |
|---|---|---|---|
| N-doped MoS2/C hollow nanostructures | 972 mAh∙g−1 (0.1 A∙g−1) | 128 mAh∙g−1 (2 A∙g−1) after 5000 cycles | [204] |
| N-doped MoS2 foam | 1193 mAh∙g−1 (0.02 A∙g−1) | 312.4 mAh∙g−1 (2 A∙g−1) after 100 cycles | [205] |
| N-doped MoS2/C spheres | 745 mAh∙g−1 (0.1 C = 0.067 A∙g−1) | 401 mAh∙g−1 (0.2 C) after 200 cycles | [206] |
| N-doped MoS2/C@SiOC | 716.6 mAh∙g−1 (0.05 A∙g−1) | ~680 mAh∙g−1 (0.1 A∙g−1) after 200 cycles | [207] |
| N-MoS2/N-carbon nanotubes | 658 mAh∙g−1 (0.1 A∙g−1) | 372.3 mAh∙g−1 (2 A∙g−1) after 100 cycles | [208] |
| N-rGO/MoS2 | 1100 mAh∙g−1 (0.1 A∙g−1) | 542 mAh∙g−1 (0.2 A∙g−1) after 300 cycles | [203] |
| Sb-doped MoS2/N-carbon | ~920 mAh∙g−1 (0.1 A∙g−1) | 253 mAh∙g−1 (1 A∙g−1) after 2200 cycles | [209] |
| C@MoS2−xTex@C | 630.7 mAh∙g−1 (0.2 A∙g−1) | 365.3 mAh∙g−1 (1 A∙g−1) after 300 cycles | [211] |
| Re-doped fullerene-like MoS2 | ~160 mAh∙g−1 (0.1 C = 0.02 A∙g−1) | 74 mAh∙g−1 (20 C) after 30 cycles | [212] |
| Mn-doped MoS2 nanotubes | 778 mAh∙g−1 (0.1 A∙g−1) | 160 mAh∙g−1 (1 A∙g−1) after 1000 cycles | [213] |
| VMoS2 flowers | 580.1 mAh∙g−1 (0.1 A∙g−1) | 451.6 mAh∙g−1 (2 A∙g−1) after 800 cycles | [214] |
| orderly layered VMoS2 | 791.8 mAh∙g−1 (0.2 A∙g−1) | 534.1 mAh∙g−1 (2 A∙g−1) after 190 cycles | [215] |
| Co1/3Mo2/3S2/rGO | ~1050 mAh∙g−1 (0.1 A∙g−1) | 529 mAh∙g−1 (1 A∙g−1) after 200 cycles | [197] |
| Ni-MoS2@porous carbon | 930.1 mAh∙g−1 (0.1 A∙g−1) | 337.5 mAh∙g−1 (1 A∙g−1) after 500 cycles | [210] |
| FeCo-doped MoS2/carbon | 982.7 mAh∙g−1 (0.1 C) | 473.3 mAh∙g−1 (5 C) after 3000 cycles | [198] |
| Nanomaterial | Initial Specific Capacity (Current Density) | Reversible Capacity (Current Density) | Reference |
|---|---|---|---|
| 1T Sb-doped MoS2/N-carbon | ~700 mAh∙g−1 (0.1 A∙g−1) | 343 mAh∙g−1 (0.1 A∙g−1) after 100 cycles | [209] |
| Se-doped MoS2 nanosheets | ~320 mAh∙g−1 (0.05 A∙g−1) | 140 mAh∙g−1 (1 A∙g−1) after 100 cycles | [217] |
| MoS1.3Se0.7/N,P-carbon nanotubes | 686 mAh∙g−1 (0.2 A∙g−1) | 237 mAh∙g−1 (0.5 A∙g−1) after 300 cycles | [218] |
| MoS1.5Se0.5/NC | ~880 mAh∙g−1 (0.2 A∙g−1) | 531.6 mAh∙g−1 (0.2 A∙g−1) after 1000 cycles | [216] |
| MoS1.6Se0.4/N-carbon | 1671 mAh∙g−1 (0.1 A∙g−1) | 143.7 mAh∙g−1 (2 A∙g−1) after 1500 cycles | [221] |
| Vacancy-rich MoSSe | 701.6 mAh∙g−1 (0.1 A∙g−1) | ~310 mAh∙g−1 (2 A∙g−1) after 1000 cycles | [219] |
| Te-doped MoS2 | 723.4 mAh∙g−1 (0.1 A∙g−1) | 301 mAh∙g−1 (2 A∙g−1) after 1000 cycles | [220] |
| FeCo-doped MoS2/carbon | 542.3 mAh∙g−1 (0.1 C) | 209.8 mAh∙g−1 (5 C) after 3000 cycles | [198] |
| Nanomaterial | Electrolyte | Specific Capacitance | Energy Density | Power Density | Reference |
|---|---|---|---|---|---|
| N-doped MoS2 | 1 M H2SO4 | 74.4 F∙g−1 at 2 A∙g−1 | – | – | [228] |
| 1T/2H N-doped MoS2 on carbon cloth | 0.5 M H2SO4 | 410 F∙g−1 at 1 A∙g−1 | – | – | [229] |
| N,C-doped MoS2 nanoflakes | 6 M KOH | 1400 F∙g−1 at 1 A∙g−1 | 45 Wh∙kg−1 | 912 W∙kg−1 | [187] |
| O-doped MoS2 microspheres | 1 M KCl | 744.2 F∙g−1 at 1 A∙g−1 | – | – | [236] |
| 1T/2H O-doped MoS2/graphite foil | 1 M Na2SO4 | 280 F∙g−1 at 1 A∙g−1 | 39.7 Wh∙kg−1 | 450 W∙kg−1 | [237] |
| 1T-MoSSe | 6 M KOH | 36 F∙g−1 at 0.5 A∙g−1 | ~12.1 Wh∙kg−1 | ~842.5 W∙kg−1 | [238] |
| MoSSe | 6 M KOH | 1020 F∙g−1 at 10 A∙g−1 | 51 Wh∙kg−1 | 6000 W∙kg−1 | [239] |
| Mo0.91W0.09S2/C4 | 1 M Na2SO4 | 432.7 F∙g−1 at 1 A∙g−1 | – | – | [240] |
| Mn-doped MoS2 nanoflowers | 0.5 M Na2SO4 | 351 F∙g−1 at 1 A∙g−1 | 48.9 Wh∙kg−1 | 5000 W∙kg−1 | [230] |
| binder-free Mn-doped MoS2 | 1 M KOH | 70.37 F∙g−1 at 1 A∙g−1 | 3.14 Wh∙kg−1 | 4346.35 W∙kg−1 | [241] |
| 1T Mn-doped MoS2 | 1 M KOH | 980 F∙g−1 at 1 A∙g−1 | – | – | [231] |
| 1T MnxMo1−xS2−ySey/carbon cloth | 3 M KOH | ~288 mAh∙g−1 at 1 mA cm−2 | ~69 Wh∙kg−1 | 985 W∙kg−1 | [235] |
| Ni-doped MoS2 | 1 M Na2SO4 | 291 F∙g−1 at 0.5 A∙g−1 | – | – | [242] |
| Ni-doped MoS2 microspheres | 1 M Na2SO4 | 425 F∙g−1 at 5 mV∙s−1 | 9 Wh∙kg−1 | 0.5 W∙kg−1 | [243] |
| 6% Ni-doped MoS2 | 3 M KOH | 528.7 F∙g−1 at 1 A∙g−1 | 140.9 Wh∙kg−1 | 11,520 W∙kg−1 | [232] |
| 1T Ni-doped MoS2 | 1 M KOH | 2461.2 F∙g−1 at 1 A∙g−1 | 65.96 Wh∙kg−1 | 700 W∙kg−1 | [231] |
| Ni-doped MoS2 | 6 M KOH | 285 F∙g−1 at 1 A∙g−1 | 4.83 Wh∙kg−1 | 2660 W∙kg−1 | [244] |
| Fe-doped MoS2 | 6 M KOH | 211 F∙g−1 at 1 A∙g−1 | 4.08 Wh∙kg−1 | 6000 W∙kg−1 | [244] |
| Cu-doped MoS2 | 6 M KOH | 353 F∙g−1 at 1 A∙g−1 | 5.58 Wh∙kg−1 | 6000 W∙kg−1 | [244] |
| Cu-doped MoS2 film | 1 M Na2SO4 | 502 F∙g−1 at 1 A∙g−1 | – | – | [245] |
| Co-doped MoS2 | 2 M KOH | 510 F∙g−1 at 1 A∙g−1 | – | – | [234] |
| Mo0.7Co0.3S2/g-C3N4 | 5 M KOH | 1063.22 F∙g−1 at 0.5 A∙g−1 | – | – | [246] |
| Mo0.7Co0.3S2 | 822.1 F∙g−1 at 0.5 A∙g−1 | – | – | [247] | |
| Co-doped MoS2 nanoflowers | 1 M KOH | * 86 F∙g−1 at 1 A∙g−1 | 4.3 Wh∙kg−1 | 600 W∙kg−1 | [233] |
| 1T Co-doped MoS2 | 1 M KOH | 1270.8 F∙g−1 at 1 A∙g−1 | – | – | [231] |
| flexible Pt-doped MoS2 | 1 M Na2SO4 | 250 F∙g−1 at 0.5 A∙g−1 | [248] |
Disclaimer/Publisher’s Note: The statements, opinions and data contained in all publications are solely those of the individual author(s) and contributor(s) and not of MDPI and/or the editor(s). MDPI and/or the editor(s) disclaim responsibility for any injury to people or property resulting from any ideas, methods, instructions or products referred to in the content. |
© 2023 by the authors. Licensee MDPI, Basel, Switzerland. This article is an open access article distributed under the terms and conditions of the Creative Commons Attribution (CC BY) license (https://creativecommons.org/licenses/by/4.0/).
Share and Cite
Bulusheva, L.G.; Semushkina, G.I.; Fedorenko, A.D. Heteroatom-Doped Molybdenum Disulfide Nanomaterials for Gas Sensors, Alkali Metal-Ion Batteries and Supercapacitors. Nanomaterials 2023, 13, 2182. https://doi.org/10.3390/nano13152182
Bulusheva LG, Semushkina GI, Fedorenko AD. Heteroatom-Doped Molybdenum Disulfide Nanomaterials for Gas Sensors, Alkali Metal-Ion Batteries and Supercapacitors. Nanomaterials. 2023; 13(15):2182. https://doi.org/10.3390/nano13152182
Chicago/Turabian StyleBulusheva, Lyubov G., Galina I. Semushkina, and Anastasiya D. Fedorenko. 2023. "Heteroatom-Doped Molybdenum Disulfide Nanomaterials for Gas Sensors, Alkali Metal-Ion Batteries and Supercapacitors" Nanomaterials 13, no. 15: 2182. https://doi.org/10.3390/nano13152182
APA StyleBulusheva, L. G., Semushkina, G. I., & Fedorenko, A. D. (2023). Heteroatom-Doped Molybdenum Disulfide Nanomaterials for Gas Sensors, Alkali Metal-Ion Batteries and Supercapacitors. Nanomaterials, 13(15), 2182. https://doi.org/10.3390/nano13152182

