Study of Defects and Nano-patterned Substrate Regulation Mechanism in AlN Epilayers
Abstract
1. Introduction
2. Materials and Methods
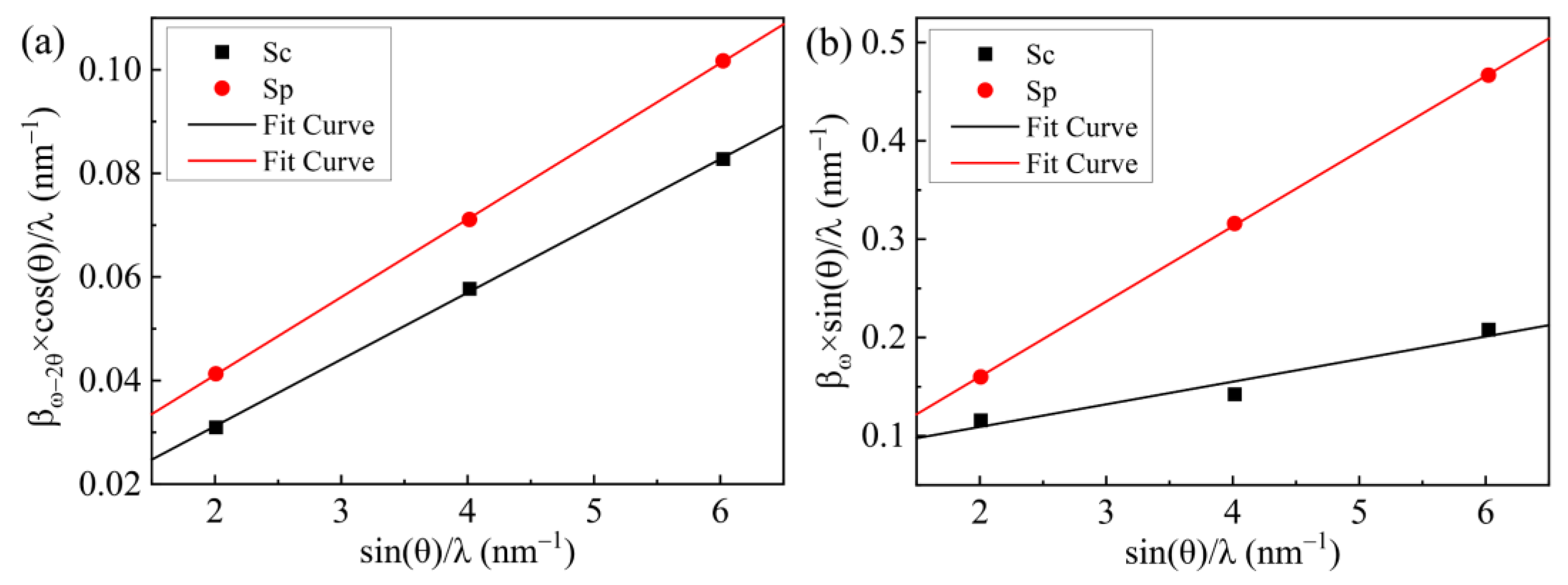
3. Results and Discussion
4. Conclusions
Author Contributions
Funding
Institutional Review Board Statement
Informed Consent Statement
Data Availability Statement
Conflicts of Interest
References
- Würtele, M.A.; Kolbe, T.; Lipsz, M.; Külberg, A.; Weyers, M.; Kneissl, M.; Jekel, M. Application of GaN-based ultraviolet-C light emitting diodes UV LEDs for water disinfection. Water Res. 2011, 45, 1481–1489. [Google Scholar] [CrossRef] [PubMed]
- Bryan, I.; Bryan, Z.; Washiyama, S.; Reddy, P.; Gaddy, B.; Sarkar, B.; Breckenridge, M.H.; Guo, Q.; Bobea, M.; Tweedie, J.; et al. Doping and compensation in Al-rich AlGaN grown on single crystal AlN and sapphire by MOCVD. Appl. Phys. Lett. 2018, 112, 062102. [Google Scholar] [CrossRef]
- Bryan, I.; Bryan, Z.; Mita, S.; Rice, A.; Hussey, L.; Shelton, C.; Tweedie, J.; Maria, J.-P.; Collazo, R.; Sitar, Z. The role of surface kinetics on composition and quality of AlGaN. J. Cryst. Growth 2016, 451, 65–71. [Google Scholar] [CrossRef]
- Tang, B.; Hu, H.; Wan, H.; Zhao, J.; Gong, L.; Lei, Y.; Zhao, Q.; Zhou, S. Growth of high-quality AlN films on sapphire substrate by introducing voids through growth-mode modification. Appl. Surf. Sci. 2020, 518, 146218. [Google Scholar] [CrossRef]
- Wang, M.X.; Xu, F.J.; Xie, N.; Sun, Y.H.; Liu, B.Y.; Ge, W.K.; Kang, X.N.; Qin, Z.X.; Yang, X.L.; Wang, X.Q.; et al. High-temperature annealing induced evolution of strain in AlN epitaxial films grown on sapphire substrates. Appl. Phys. Lett. 2019, 114, 112105. [Google Scholar] [CrossRef]
- Hagedorn, S.; Knauer, A.; Mogilatenko, A.; Richter, E.; Weyers, M. AlN growth on nano-patterned sapphire: A route for cost efficient pseudo substrates for deep UV LEDs. Phys. Status Solidi A 2016, 213, 3178–3185. [Google Scholar] [CrossRef]
- Su, X.; Zhang, J.; Huang, J.; Zhang, J.; Wang, J.; Xu, K. Defect structure of high temperature hydride vapor phase epitaxy–grown epitaxial (0001) AlN/sapphire using growth mode modification process. J. Cryst. Growth 2017, 467, 82–87. [Google Scholar] [CrossRef]
- Zhang, L.; Xu, F.; Wang, J.; He, C.; Guo, W.; Wang, M.; Sheng, B.; Lu, L.; Qin, Z.; Wang, X.; et al. High-quality AlN epitaxy on nano-patterned sapphire substrates prepared by nano-imprint lithography. Sci. Rep. 2016, 6, 35934. [Google Scholar] [CrossRef]
- Wang, T.-Y.; Tasi, C.-T.; Lin, K.-Y.; Ou, S.-L.; Horng, R.-H.; Wuu, D.-S. Surface evolution and effect of V/III ratio modulation on etch-pit-density improvement of thin AlN templates on nano-patterned sapphire substrates by metalorganic chemical vapor deposition. Appl. Surf. Sci. 2018, 455, 1123–1130. [Google Scholar] [CrossRef]
- Xu, F.J.; Zhang, L.S.; Xie, N.; Wang, M.X.; Sun, Y.H.; Liu, B.Y.; Ge, W.K.; Wang, X.Q.; Shen, B. Realization of low dislocation density AlN on a small-coalescence-area nano-patterned sapphire substrate. CrystEngComm 2019, 21, 2490–2494. [Google Scholar] [CrossRef]
- Lee, D.; Lee, J.W.; Jang, J.; Shin, I.-S.; Jin, L.; Park, J.H.; Kim, J.; Lee, J.; Noh, H.-S.; Kim, Y.-I.; et al. Improved performance of AlGaN-based deep ultraviolet light-emitting diodes with nano-patterned AlN/sapphire substrates. Appl. Phys. Lett. 2017, 110, 191103. [Google Scholar] [CrossRef]
- Chen, Z.; Hoo, J.; Chen, Y.; Wang, V.; Guo, S. Study of AlN based materials grown on nano-patterned sapphire substrates for deep ultraviolet LED applications. Jpn. J. Appl. Phys. 2019, 58, Sc1007. [Google Scholar] [CrossRef]
- Long, H.; Dai, J.; Zhang, Y.; Wang, S.; Tan, B.; Zhang, S.; Xu, L.; Shan, M.; Feng, Z.C.; Kuo, H.-C.; et al. High quality 10.6 μm AlN grown on pyramidal patterned sapphire substrate by MOCVD. Appl. Phys. Lett. 2019, 114, 042101. [Google Scholar] [CrossRef]
- Hagedorn, S.; Walde, S.; Susilo, N.; Netzel, C.; Tillner, N.; Unger, R.-S.; Manley, P.; Ziffer, E.; Wernicke, T.; Becker, C.; et al. Improving AlN Crystal Quality and Strain Management on Nanopatterned Sapphire Substrates by High-Temperature Annealing for UVC Light-Emitting Diodes. Phys. Status Solidi A 2020, 217, 1900796. [Google Scholar] [CrossRef]
- Lu, L.; Gao, Z.Y.; Shen, B.; Xu, F.J.; Huang, S.; Miao, Z.L.; Hao, Y.; Yang, Z.J.; Zhang, G.Y.; Zhang, X.P.; et al. Microstructure and origin of dislocation etch pits in GaN epilayers grown by metal organic chemical vapor deposition. J. Appl. Phys. 2008, 104, 123525. [Google Scholar] [CrossRef]
- Kim, J.; Pyeon, J.; Jeon, M.; Nam, O. Growth and characterization of high quality AlN using combined structure of low temperature buffer and superlattices for applications in the deep ultraviolet. Jpn. J. Appl. Phys. 2015, 54, 081001. [Google Scholar] [CrossRef]
- Tran, B.T.; Maeda, N.; Jo, M.; Inoue, D.; Kikitsu, T.; Hirayama, H. Performance Improvement of AlN Crystal Quality Grown on Patterned Si(111) Substrate for Deep UV-LED Applications. Sci. Rep. 2016, 6, 35681. [Google Scholar] [CrossRef]
- Wei, W.; Peng, Y.; Wang, J.; Farooq Saleem, M.; Wang, W.; Li, L.; Wang, Y.; Sun, W. Temperature Dependence of Stress and Optical Properties in AlN Films Grown by MOCVD. Nanomaterials 2021, 11, 698. [Google Scholar] [CrossRef]
- Madhavi, J.; Prasad, V. ZnS and ZnS/CdS core-shell Nano particles: Synthesis, properties and Perspectives. Surf. Interfaces 2020, 21, 100757. [Google Scholar] [CrossRef]
- Tasi, C.T.; Wang, W.K.; Ou, S.L.; Huang, S.Y.; Horng, R.H.; Wuu, D.S. Structural and Stress Properties of AlGaN Epilayers Grown on AlN-Nanopatterned Sapphire Templates by Hydride Vapor Phase Epitaxy. Nanomaterials 2018, 8, 704. [Google Scholar] [CrossRef]
- Balaji, M.; Ramesh, R.; Arivazhagan, P.; Jayasakthi, M.; Loganathan, R.; Prabakaran, K.; Suresh, S.; Lourdudoss, S.; Baskar, K. Influence of initial growth stages on AlN epilayers grown by metal organic chemical vapor deposition. J. Cryst. Growth 2015, 414, 69–75. [Google Scholar] [CrossRef]
- Taniyasu, Y.; Kasu, M.; Makimoto, T. Threading dislocations in heteroepitaxial AlN layer grown by MOVPE on SiC (0001) substrate. J. Cryst. Growth 2007, 298, 310–315. [Google Scholar] [CrossRef]
- Bai, J.; Wang, T.; Parbrook, P.J.; Lee, K.B.; Cullis, A.G. A study of dislocations in AlN and GaN films grown on sapphire substrates. J. Cryst. Growth 2005, 282, 290–296. [Google Scholar] [CrossRef]
- Nechaev, D.V.; Aseev, P.A.; Jmerik, V.N.; Brunkov, P.N.; Kuznetsova, Y.V.; Sitnikova, A.A.; Ratnikov, V.V.; Ivanov, S.V. Control of threading dislocation density at the initial growth stage of AlN on c-sapphire in plasma-assisted MBE. J. Cryst. Growth 2013, 378, 319–322. [Google Scholar] [CrossRef]
- Imura, M.; Nakano, K.; Fujimoto, N.; Okada, N.; Balakrishnan, K.; Iwaya, M.; Kamiyama, S.; Amano, H.; Akasaki, I.; Noro, T. Dislocations in AlN epilayers grown on sapphire substrate by high-temperature metal organic vapor phase epitaxy. Jpn. J. Appl. Phys. 2007, 46, 1458–1462. [Google Scholar] [CrossRef]
- Bai, J.; Dudley, M.; Sun, W.H.; Wang, H.M.; Khan, M.A. Reduction of threading dislocation densities in AlN/sapphire epilayers driven by growth mode modification. Appl. Phys. Lett. 2006, 88, 051903. [Google Scholar] [CrossRef]
- Pantha, B.N.; Dahal, R.; Nakarmi, M.L.; Nepal, N.; Li, J.; Lin, J.Y.; Jiang, H.X.; Paduano, Q.S.; Weyburne, D. Correlation between optoelectronic and structural properties and epilayer thickness of AlN. Appl. Phys. Lett. 2007, 90, 241101. [Google Scholar] [CrossRef]
- Sang, L.W.; Qin, Z.X.; Fang, H.; Dai, T.; Yang, Z.J.; Shen, B.; Zhang, G.Y.; Zhang, X.P.; Xu, J.; Yu, D.P. Reduction in threading dislocation densities in AlN epilayer by introducing a pulsed atomic-layer epitaxial buffer layer. Appl. Phys. Lett. 2008, 93, 122104. [Google Scholar] [CrossRef]
- Imura, M.; Nakano, K.; Fujimoto, N.; Okada, N.; Balakrishnan, K.; Iwaya, M.; Kamiyama, S.; Amano, H.; Akasaki, I.; Noro, T.; et al. High-Temperature Metal-Organic Vapor Phase Epitaxial Growth of AlN on Sapphire by Multi Transition Growth Mode Method Varying V/III Ratio. Jpn. J. Appl. Phys. 2006, 45, 8639–8643. [Google Scholar] [CrossRef]
- Zhuang, D.; Edgar, J.H.; Strojek, B.; Chaudhuri, J.; Rek, Z. Defect-selective etching of bulk AlN single crystals in molten KOH/NaOH eutectic alloy. J. Cryst. Growth 2004, 262, 89–94. [Google Scholar] [CrossRef]
- Choi, Y.h.; Baik, K.H.; Choi, R.; Oh, J.; Kim, J. Photo-Enhanced Acid Chemical Etching of High-Quality Aluminum Nitride Grown by Metal-Organic Chemical Vapor Deposition. ECS J. Solid State Sci. Technol. 2019, 8, N42–N46. [Google Scholar] [CrossRef]
- Jung, Y.; Baik, K.H.; Ren, F.; Pearton, S.J.; Kim, J. Effects of Photoelectrochemical Etching of N-Polar and Ga-Polar Gallium Nitride on Sapphire Substrates. J. Electrochem. Soc. 2010, 157, H676. [Google Scholar] [CrossRef]
- Wu, H.; Zhang, K.; He, C.; He, L.; Wang, Q.; Zhao, W.; Chen, Z. Recent Advances in Fabricating Wurtzite AlN Film on (0001)-Plane Sapphire Substrate. Crystals 2022, 12, 38. [Google Scholar] [CrossRef]







| Sample No. | Growth Mode | Precursor | AlN Thickness (µm) | RSM (nm) |
|---|---|---|---|---|
| Sc | Continue | TMAl, NH3 | 3.02 | 2.32 |
| Sp | Continue + Pulse | TMAl, NH3 | 5.12 | 2.36 |
| Sample No. | Dislocation Density (cm−2) by XRD | Dislocation Density (cm−2) by TEM | Etch Pit Density (cm−2) | ||
|---|---|---|---|---|---|
| Screw Type | Edge Type | Screw Type | Edge Type | ||
| Sc | 1.99 × 108 | 1.20 × 109 | 9.15 × 108 | 3.89 × 109 | 1.23 × 109 |
| Sp | 8.80 × 107 | 9.38 × 108 | 4.32 × 108 | 1.58 × 109 | 1.04 × 108 |
Publisher’s Note: MDPI stays neutral with regard to jurisdictional claims in published maps and institutional affiliations. |
© 2022 by the authors. Licensee MDPI, Basel, Switzerland. This article is an open access article distributed under the terms and conditions of the Creative Commons Attribution (CC BY) license (https://creativecommons.org/licenses/by/4.0/).
Share and Cite
Wei, W.; Peng, Y.; Yang, Y.; Xiao, K.; Maraj, M.; Yang, J.; Wang, Y.; Sun, W. Study of Defects and Nano-patterned Substrate Regulation Mechanism in AlN Epilayers. Nanomaterials 2022, 12, 3937. https://doi.org/10.3390/nano12223937
Wei W, Peng Y, Yang Y, Xiao K, Maraj M, Yang J, Wang Y, Sun W. Study of Defects and Nano-patterned Substrate Regulation Mechanism in AlN Epilayers. Nanomaterials. 2022; 12(22):3937. https://doi.org/10.3390/nano12223937
Chicago/Turabian StyleWei, Wenwang, Yi Peng, Yanlian Yang, Kai Xiao, Mudassar Maraj, Jia Yang, Yukun Wang, and Wenhong Sun. 2022. "Study of Defects and Nano-patterned Substrate Regulation Mechanism in AlN Epilayers" Nanomaterials 12, no. 22: 3937. https://doi.org/10.3390/nano12223937
APA StyleWei, W., Peng, Y., Yang, Y., Xiao, K., Maraj, M., Yang, J., Wang, Y., & Sun, W. (2022). Study of Defects and Nano-patterned Substrate Regulation Mechanism in AlN Epilayers. Nanomaterials, 12(22), 3937. https://doi.org/10.3390/nano12223937

