Photothermal Responsivity of van der Waals Material-Based Nanomechanical Resonators
Abstract
:1. Introduction
2. Materials and Methods
2.1. Device Design and Fabrication
2.2. Electromotive Actuation and Optical Detection Scheme
2.3. Photothermal Effect
2.4. Determination of Fabry–Pérot Absorbance via Multilayer Interference Approach
3. Results and Discussion
3.1. Measured Mechanical Spectra
3.2. Concept and Theory
3.3. Effect of Static Displacement on the Measured Photothermal Responsivities of NbSe2 Drums
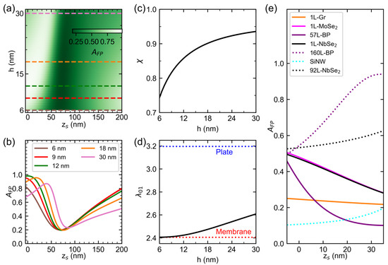
3.4. Simulated Effect of Drumhead Thickness on the Photothermal Responsivity Profile of NbSe2 Drums
3.5. Comparison with Reported Results of Various NMRs from Literature
4. Conclusions
Supplementary Materials
Author Contributions
Funding
Institutional Review Board Statement
Informed Consent Statement
Data Availability Statement
Acknowledgments
Conflicts of Interest
References
- Aspelmeyer, M.; Kippenberg, T.J.; Marquardt, F. Cavity Optomechanics. Rev. Mod. Phys. 2014, 86, 1391–1452. [Google Scholar] [CrossRef]
- Davidovikj, D.; Alijani, F.; Cartamil-Bueno, S.J.; van der Zant, H.S.J.; Amabili, M.; Steeneken, P.G. Nonlinear Dynamic Characterization of Two-Dimensional Materials. Nat. Commun. 2017, 8, 1253. [Google Scholar] [CrossRef] [PubMed]
- Morell, N.; Tepsic, S.; Reserbat-Plantey, A.; Cepellotti, A.; Manca, M.; Epstein, I.; Isacsson, A.; Marie, X.; Mauri, F.; Bachtold, A. Optomechanical Measurement of Thermal Transport in Two-Dimensional MoSe2 Lattices. Nano Lett. 2019, 19, 3143–3150. [Google Scholar] [CrossRef] [Green Version]
- Waitz, R.; Nößner, S.; Hertkorn, M.; Schecker, O.; Scheer, E. Mode Shape and Dispersion Relation of Bending Waves in Thin Silicon Membranes. Phys. Rev. B 2012, 85, 035324. [Google Scholar] [CrossRef]
- Wang, Z.; Lee, J.; Feng, P.X. Spatial Mapping of Multimode Brownian Motions in High-Frequency Silicon Carbide Microdisk Resonators. Nat. Commun. 2014, 5, 5158. [Google Scholar] [CrossRef] [Green Version]
- Davidovikj, D.; Slim, J.J.; Cartamil-Bueno, S.J.; van der Zant, H.S.; Steeneken, P.G.; Venstra, W.J. Visualizing the Motion of Graphene Nanodrums. Nano Lett. 2016, 16, 2768–2773. [Google Scholar] [CrossRef] [PubMed]
- Kim, S.; Yu, J.; van der Zande, A.M. Nano-Electromechanical Drumhead Resonators from Two-Dimensional Material Bimorphs. Nano Lett. 2018, 18, 6686–6695. [Google Scholar] [CrossRef]
- Esmenda, J.C.; Aguila, M.A.C.; Wang, J.; Lee, T.; Yang, C.; Lin, K.; Chang-Liao, K.; Katz, N.; Kafanov, S.; Pashkin, Y.A.; et al. Imaging Off-Resonance Nanomechanical Motion as Modal Superposition. Adv. Sci. 2021, 8, 2005041. [Google Scholar] [CrossRef]
- Purdy, T.P.; Grutter, K.E.; Srinivasan, K.; Taylor, J.M. Quantum Correlations from a Room-Temperature Optomechanical Cavity. Science 2017, 356, 1265–1268. [Google Scholar] [CrossRef] [PubMed] [Green Version]
- Delic, U.; Reseinbauer, M.; Dare, K.; Grass, D.; Vuletic, V.; Kiesel, N.; Aspelmeyer, M. Cooling of a Levitated Nanoparticle to the Motional Quantum Ground State. Science 2020, 367, 892–895. [Google Scholar] [CrossRef] [Green Version]
- Bagci, T.; Simonsen, A.; Schmid, S.; Villanueva, L.G.; Zeuthen, E.; Appel, J.; Taylor, J.M.; Sørensen, A.; Usami, K.; Schliesser, A.; et al. Optical Detection of Radio Waves Through a Nanomechanical Transducer. Nature 2014, 507, 81–85. [Google Scholar] [CrossRef] [PubMed] [Green Version]
- Andrews, R.W.; Peterson, R.W.; Purdy, T.P.; Cicak, K.; Simmonds, R.W.; Regal, C.A.; Lehnert, K.W. Bidirectional and Efficient Conversion between Microwave and Optical Light. Nat. Phys. 2014, 10, 321–326. [Google Scholar] [CrossRef] [Green Version]
- Higginbotham, A.P.; Burns, P.S.; Urmey, M.D.; Peterson, R.W.; Kampel, N.S.; Brubaker, B.M.; Smith, G.; Lehnert, K.W.; Regal, C.A. Harnessing Electro-Optic Correlations in an Efficient Mechanical Converter. Nat. Phys. 2018, 14, 1038–1042. [Google Scholar] [CrossRef] [Green Version]
- Azak, N.O.; Shagam, M.Y.; Karabacak, D.M.; Ekinci, K.L.; Kim, D.H.; Jang, D.Y. Nanomechanical Displacement Detection Using Fiber-Optic Interferometry. Appl. Phys. Lett. 2007, 91, 093112. [Google Scholar] [CrossRef]
- Metzger, C.; Favero, I.; Ortlieb, A.; Karrai, K. Optical Self Cooling of a Deformable Fabry-Perot Cavity in the Classical Limit. Phys. Rev. B 2008, 78, 035309. [Google Scholar] [CrossRef] [Green Version]
- Flowers-Jacobs, N.E.; Hoch, S.W.; Sankey, J.C.; Kashkanova, A.; Jayich, A.M.; Deutsch, C.; Reichel, J.; Harris, J.G.E. Fiber-Cavity-Based Optomechanical Device. Appl. Phys. Lett. 2012, 101, 221109. [Google Scholar] [CrossRef] [Green Version]
- Basarir, O.; Bramhavar, S.; Ekinci, K.L. Motion Transduction in Nanoelectromechanical Systems (NEMS) Arrays Using Near-Field Optomechanical Coupling. Nano Lett. 2012, 12, 534–539. [Google Scholar] [CrossRef]
- Vainsencher, A.; Satzinger, K.J.; Peairs, G.A.; Cleland, A.N. Bi-Directional Conversion Between Microwave and Optical Frequencies in a Piezoelectric Optomechanical Device. Appl. Phys. Lett. 2016, 109, 033107. [Google Scholar] [CrossRef] [Green Version]
- Midolo, L.; Schliesser, A.; Fiore, A. Nano-Opto-Electro-Mechanical Systems. Nat. Nanotechnol. 2018, 13, 11–18. [Google Scholar] [CrossRef] [Green Version]
- Chen, F.; Yang, C.; Mao, W.; Lu, H.; Schädler, K.G.; Reserbat-Plantey, A.; Osmond, J.; Cao, G.; Li, X.; Wang, C.; et al. Vibration Detection Schemes Based on Absorbance Tuning in Monolayer Molybdenum Disulfide Mechanical Resonators. 2D Mater. 2018, 6, 011003. [Google Scholar] [CrossRef]
- Barton, R.A.; Storch, I.R.; Adiga, V.P.; Sakakibara, R.; Cipriany, B.R.; Ilic, B.; Wang, S.P.; Ong, P.; McEuen, P.L.; Parpia, J.M.; et al. Photothermal Self-Oscillation and Laser Cooling of Graphene Optomechanical Systems. Nano Lett. 2012, 12, 4681–4686. [Google Scholar] [CrossRef] [PubMed]
- Primo, A.G.; Kersul, C.M.; Benevides, R.; Carvalho, N.C.; Ménard, M.; Frateschi, N.C.; de Assis, P.L.; Wiederhecker, G.S.; Mayer Alegre, T.P. Accurate Modeling and Characterization of Photothermal Forces in Optomechanics. APL Photonics 2021, 6, 086101. [Google Scholar] [CrossRef]
- Kippenberg, T.J.; Vahala, K.J. Cavity Optomechanics: Back at the Mesoscale. Science 2008, 321, 1172–1176. [Google Scholar] [CrossRef] [PubMed] [Green Version]
- Barton, R.A.; Ilic, B.; van der Zande, A.M.; Whitney, W.S.; McEuen, P.L.; Parpia, J.M.; Craighead, H.G. High, Size-Dependent Quality Factor in an Array of Graphene Mechanical Resonators. Nano Lett. 2011, 11, 1232–1236. [Google Scholar] [CrossRef] [PubMed]
- Lemme, M.C.; Wagner, S.; Lee, K.; Fan, X.; Verbiest, G.J.; Wittmann, S.; Lukas, S.; Dolleman, R.J.; Niklaus, F.; van der Zant, H.S.J.; et al. Nanoelectromechanical Sensors Based on Suspended 2D Materials. Research 2020, 2020, 8748602. [Google Scholar] [CrossRef] [PubMed]
- Steeneken, P.G.; Dolleman, R.J.; Davidovikj, D.; Alijani, F.; van der Zant, H.S.J. Dynamics of 2D Material Membranes. 2D Mater. 2021, 8, 042001. [Google Scholar] [CrossRef]
- Blaikie, A.; Miller, D.; Aleman, B.J. A Fast and Sensitive Room-Temperature Graphene Nanomechanical Bolometer. Nat. Commun. 2019, 10, 4726. [Google Scholar] [CrossRef] [PubMed] [Green Version]
- Hu, X.; Xu, E.; Xiang, S.; Chen, Z.; Zhou, X.; Wang, N.; Guo, H.; Ruan, L.; Hu, Y.; Li, C.; et al. Synthesis of NbSe2 Single-Crystalline Nanosheet Arrays for UV Photodetectors. CrystEngComm 2020, 22, 5710–5715. [Google Scholar] [CrossRef]
- Orchin, G.J.; De Fazio, D.; Di Bernardo, A.; Hamer, M.; Yoon, D.; Cadore, A.R.; Goykhman, I.; Watanabe, K.; Taniguchi, T.; Robinson, J.W.A.; et al. Niobium Diselenide Superconducting Photodetectors. Appl. Phys. Lett. 2019, 114, 251103. [Google Scholar] [CrossRef] [Green Version]
- Jin, Y.; Ji, Z.; Gu, F.; Xie, B.; Zhang, R.; Wu, J.; Cai, X. Multiple Mechanisms of the Low Temperature Photoresponse in Niobium Diselenide. Appl. Phys. Lett. 2021, 119, 221104. [Google Scholar] [CrossRef]
- Papas, D.; Ou, J.Y.; Plum, E.; Zheludev, N.I. Optomechanical Metamaterial Nanobolometer. APL Photonics 2021, 6, 126110. [Google Scholar] [CrossRef]
- Ferreiro, J.M. Experimental and Simulation Study of Electron and Phonon Properties in Crystalline Materials. Ph.D. Thesis, University of Notre Dame, Notre Dame, IN, USA, 2019. [Google Scholar]
- Sengupta, S.; Solanki, H.S.; Singh, V.; Dhara, S.; Deshmukh, M.M. Electromechanical Resonators as Probes of the Charge Density Wave Transition at the Nanoscale in NbSe2. Phys. Rev. B 2010, 82, 155432. [Google Scholar] [CrossRef] [Green Version]
- Sun, H.; Agrawal, P.; Singh, C.V. A First-Principles Study of the Relationship Between Modulus and Ideal Strength of Single-Layer, Transition Metal Dichalcogenides. Mater. Adv. 2021, 2, 6631–6640. [Google Scholar] [CrossRef]
- Castellanos-Gomez, A.; Agraït, N.; Rubio-Bollinger, G. Optical Identification of Atomically Thin Dichalcogenide Crystals. Appl. Phys. Lett. 2010, 96, 213116. [Google Scholar] [CrossRef]
- Aguila, M.A.C.; Esmenda, J.C.; Wang, J.Y.; Lee, T.H.; Yang, C.Y.; Lin, K.H.; Chang-Liao, K.S.; Kafanov, S.; Pashkin, Y.A.; Chen, C.D. Fabry–Perot Interferometric Calibration of Van der Waals Material-Based Nanomechanical Resonators. Nanoscale Adv. 2022, 4, 502–509. [Google Scholar] [CrossRef]
- Pande, G.; Siao, J.Y.; Chen, W.L.; Lee, C.J.; Sankar, R.; Chang, Y.M.; Chen, C.D.; Chang, W.H.; Chou, F.C.; Lin, M.T. Ultralow Schottky Barriers in H-BN Encapsulated Monolayer WSe2 Tunnel Field-Effect Transistors. ACS Appl. Mater. Interfaces 2020, 12, 18667–18673. [Google Scholar] [CrossRef]
- Castellanos-Gomez, A.; Buscema, M.; Molenaar, R.; Singh, V.; Janssen, L.; van der Zant, H.S.J.; Steele, G.A. Deterministic Transfer of Two-Dimensional Materials by All-Dry Viscoelastic Stamping. 2D Mater. 2014, 1, 011002. [Google Scholar] [CrossRef]
- Suzuki, H.; Yamaguchi, N.; Izumi, H. Theoretical and Experimental Studies on the Resonance Frequencies of a Stretched Circular Plate: Application to Japanese Drum Diaphragms. Acoust. Sci. Technol. 2009, 30, 348–354. [Google Scholar] [CrossRef] [Green Version]
- Pini, V.; Ramos, D.; Dominguez, C.M.; Ruz, J.J.; Malvar, O.; Kosaka, P.M.; Davis, Z.J.; Tamayo, J.; Calleja, M. Optimization of the Readout of Microdrum Optomechanical Resonators. Microelectron. Eng. 2017, 183–184, 37–41. [Google Scholar] [CrossRef]
- Baumeister, P.W. Optical Coating Technology; SPIE—The International Society for Optical Engineering: Bellingham, WA USA, 2004; Volume PM137. [Google Scholar] [CrossRef] [Green Version]
- Byrnes, S.J. Multilayer Optical Calculations. arXiv 2016, arXiv:1603.02720v5. [Google Scholar]
- Verbridge, S.S.; Parpia, J.M.; Reichenbach, R.B.; Bellan, L.M.; Craighead, H.G. High Quality Factor Resonance at Room Temperature with Nanostrings under High Tensile Stress. J. Appl. Phys. 2006, 99, 124304. [Google Scholar] [CrossRef] [Green Version]
- Schmid, S.; Villanueva, L.G.; Roukes, M.L. Fundamentals of Nanomechanical Resonators; Springer Nature: Cham, Switzerland, 2016; p. 183. [Google Scholar] [CrossRef]
- Lee, J.; Wang, Z.; He, K.; Shan, J.; Feng, P.X.L. High Frequency MoS2 Nanomechanical Resonators. ACS Nano 2013, 7, 6086–6091. [Google Scholar] [CrossRef] [PubMed]
- Ye, F.; Lee, J.; Feng, P.X. Electrothermally Tunable Graphene Resonators Operating at Very High Temperature up to 1200 K. Nano Lett. 2018, 18, 1678–1685. [Google Scholar] [CrossRef] [PubMed]
- Siskins, M.; Lee, M.; Manas-Valero, S.; Coronado, E.; Blanter, Y.M.; van der Zant, H.S.J.; Steeneken, P.G. Magnetic and Electronic Phase Transitions Probed by Nanomechanical Resonators. Nat. Commun. 2020, 11, 2698. [Google Scholar] [CrossRef]
- Islam, A.; van den Akker, A.; Feng, P.X. Anisotropic Thermal Conductivity of Suspended Black Phosphorus Probed by Opto-Thermomechanical Resonance Spectromicroscopy. Nano Lett. 2018, 18, 7683–7691. [Google Scholar] [CrossRef]
- Kurek, M.; Carnoy, M.; Larsen, P.E.; Nielsen, L.H.; Hansen, O.; Rades, T.; Schmid, S.; Boisen, A. Nanomechanical Infrared Spectroscopy with Vibrating Filters for Pharmaceutical Analysis. Angew. Chem. Int. Ed. 2017, 56, 3901–3905. [Google Scholar] [CrossRef] [Green Version]
- Larsen, T.; Schmid, S.; Grönberg, L.; Niskanen, A.O.; Hassel, J.; Dohn, S.; Boisen, A. Ultrasensitive String-Based Temperature Sensors. Appl. Phys. Lett. 2011, 98, 121901. [Google Scholar] [CrossRef]
- De Alba, R.; Massel, F.; Storch, I.R.; Abhilash, T.; Hui, A.; McEuen, P.L.; Craighead, H.G.; Parpia, J.M. Tunable Phonon-Cavity Coupling in Graphene Membranes. Nat. Nanotechnol. 2016, 11, 741–746. [Google Scholar] [CrossRef]
- Ramos, D.; Malvar, O.; Davis, Z.J.; Tamayo, J.; Calleja, M. Nanomechanical Plasmon Spectroscopy of Single Gold Nanoparticles. Nano Lett. 2018, 18, 7165–7170. [Google Scholar] [CrossRef]
- Ferreiro-Vila, E.; Molina, J.; Weituschat, L.M.; Gil-Santos, E.; Postigo, P.A.; Ramos, D. Micro-Kelvin Resolution at Room Temperature Using Nanomechanical Thermometry. ACS Omega 2021, 6, 23052–23058. [Google Scholar] [CrossRef]
- Krauthammer, T.; Ventsel, E. Thin Plates and Shells: Theory, Analysis, and Applications, 1st ed.; CRC Press: Boca Raton, FL, USA, 2001. [Google Scholar] [CrossRef]
- Wong, C.L.; Annamalai, M.; Wang, Z.Q.; Palaniapan, M. Characterization of Nanomechanical Graphene Drum Structures. J. Micromechan. Microeng. 2010, 20, 115029. [Google Scholar] [CrossRef]
- Weber, P.; Guttinger, J.; Noury, A.; Vergara-Cruz, J.; Bachtold, A. Force Sensitivity of Multilayer Graphene Optomechanical Devices. Nat. Commun. 2016, 7, 12496. [Google Scholar] [CrossRef]
- Sazonova, V.A. A Tunable Carbon Nanotube Resonator. PhD Thesis, Cornell University, Ithaca, NY, USA, 2006. [Google Scholar]
- Wu, C.C.; Zhong, Z. Capacitive Spring Softening in Single-Walled Carbon Nanotube Nanoelectromechanical Resonators. Nano Lett. 2011, 11, 1448–1451. [Google Scholar] [CrossRef] [PubMed] [Green Version]
- Hill, H.M.; Rigosi, A.F.; Krylyuk, S.; Tian, J.; Nguyen, N.V.; Davydov, A.V.; Newell, D.B.; Walker, A.R.H. Comprehensive Optical Characterization of Atomically Thin NbSe2. Phys. Rev. B 2018, 98, 165109. [Google Scholar] [CrossRef] [PubMed] [Green Version]
- Weber, J.W.; Calado, V.E.; van de Sanden, M.C.M. Optical Constants of Graphene Measured by Spectroscopic Ellipsometry. Appl. Phys. Lett. 2010, 97, 091904. [Google Scholar] [CrossRef]
- Hsu, C.; Frisenda, R.; Schmidt, R.; Arora, A.; Vasconcellos, S.M.; Bratschitsch, R.; Zant, H.S.J.; Castellanos-Gomez, A. Thickness-Dependent Refractive Index of 1L, 2L, and 3L MoS2, MoSe2, WS2, and WSe2. Adv. Opt. Mater. 2019, 7, 1900239. [Google Scholar] [CrossRef] [Green Version]
- Wang, X.; Lan, S. Optical Properties of Black Phosphorus. Adv. Opt. Photonics 2016, 8, 618–655. [Google Scholar] [CrossRef]
- Palik, E.D.; Prucha, E.J. Handbook of Optical Constants of Solids; Academic Press: Burlington, NJ, USA, 1997. [Google Scholar]
- Zhang, W.M.; Yan, H.; Peng, Z.K.; Meng, G. Electrostatic Pull-in Instability in MEMS/NEMS: A Review. Sens. Actuators A Phys. 2014, 214, 187–218. [Google Scholar] [CrossRef]
- Zhou, J.; Moldovan, N.; Stan, L.; Cai, H.; Czaplewski, D.A.; Lopez, D. Approaching the Strain-Free Limit in Ultrathin Nanomechanical Resonators. Nano Lett. 2020, 20, 5693–5698. [Google Scholar] [CrossRef]
- Gil-Santos, E.; Ramos, D.; Pini, V.; Llorens, J.; Fernández-Regúlez, M.; Calleja, M.; Tamayo, J.; San Paulo, A. Optical Back-Action in Silicon Nanowire Resonators: Bolometric versus Radiation Pressure Effects. New J. Phys. 2013, 15, 035001. [Google Scholar] [CrossRef] [Green Version]
- Wang, Z.; Feng, P.X. Interferometric Motion Detection in Atomic Layer 2D Nanostructures: Visualizing Signal Transduction Efficiency and Optimization Pathways. Sci. Rep. 2016, 6, 28923. [Google Scholar] [CrossRef] [PubMed] [Green Version]
- Li, Z.; Chen, F. Ion Beam Modification of Two-Dimensional Materials: Characterization, Properties, and Applications. Appl. Phys. Rev. 2017, 4, 011103. [Google Scholar] [CrossRef]
- Tomori, H.; Hoshi, N.; Inoue, D.; Kanda, A. Influence of Focused-Ion-Beam Microfabrication on Superconducting Transition in Exfoliated Thin Films of Layered Superconductor NbSe2. J. Phys. Conf. Ser. 2019, 1293, 012006. [Google Scholar] [CrossRef] [Green Version]
- Shaw, J.C.; Zhou, H.; Chen, Y.; Weiss, N.O.; Liu, Y.; Huang, Y.; Duan, X. Chemical Vapor Deposition Growth of Monolayer MoSe2 Nanosheets. Nano Res. 2015, 7, 511–517. [Google Scholar] [CrossRef]
- Xia, F.; Wang, H.; Jia, Y. Rediscovering Black Phosphorus as an Anisotropic Layered Material for Optoelectronics and Electronics. Nat. Commun. 2014, 5, 4458. [Google Scholar] [CrossRef] [PubMed] [Green Version]
- Çakır, D.; Peeters, F.M.; Sevik, C. Mechanical and Thermal Properties of h-MX2 (M = Cr, Mo, W; X = O, S, Se, Te) Monolayers: A Comparative Study. Appl. Phys. Lett. 2014, 104, 203110. [Google Scholar] [CrossRef]
- Meerschaut, A.; Deudon, C. Crystal Structure Studies of the 3R-NbSe1.09S2 and the 2H-NbSe2 Compounds: Correlation between Nonstoichiometry and Stacking Type (=Polytypism). Mater. Res. Bull. 2001, 36, 1721–1727. [Google Scholar] [CrossRef]
- MoSe2 Crystal Structure: Datasheet from “PAULING FILE Multinaries Edition—2012” in Springer Materials. Copyright 2016 Springer-Verlag Berlin Heidelberg & Material Phases Data System (MPDS), Switzerland & National Institute for Materials Science (NIMS), Japan. Available online: https://materials.springer.com/isp/crystallographic/docs/sd_0454362 (accessed on 6 July 2022).
- Liu, H.; Du, Y.; Deng, Y.; Ye, P.D. Semiconducting Black Phosphorus: Synthesis, Transport Properties and Electronic Applications. Chem. Soc. Rev. 2015, 44, 2732–2743. [Google Scholar] [CrossRef] [Green Version]
- Persson, K. Materials Data on NbSe2 (SG:194) by Materials Project. 2016. Available online: https://www.osti.gov/biblio/1197331-materials-data-nbse2-materials-project (accessed on 6 July 2022).
- Persson, K. Materials Data on MoSe2 (SG:194) by Materials Project. 2014. Available online: https://www.osti.gov/dataexplorer/biblio/dataset/1191826 (accessed on 6 July 2022).
- Wei, Q.; Peng, X. Superior Mechanical Flexibility of Phosphorene and Few-Layer Black Phosphorus. Appl. Phys. Lett. 2014, 104, 251915. [Google Scholar] [CrossRef]
- Givens, F.L.; Fredericks, G.E. Thermal Expansion of NbSe2 and TaS2. J. Phys. Chem. Solids 1977, 38, 1363–1365. [Google Scholar] [CrossRef]
- Bao, W.; Miao, F.; Chen, Z.; Zhang, H.; Jang, W.; Dames, C.; Lau, C.N. Controlled Ripple Texturing of Suspended Graphene and Ultrathin Graphite Membranes. Nat. Nanotechnol. 2009, 4, 562–566. [Google Scholar] [CrossRef] [PubMed] [Green Version]
- Lien, H.H. Thermal Conductivity of Thin-Film Niobium Diselenide from Temperature Dependent Raman. Master’s Thesis, Stevens Institute of Technology, Hoboken, NJ, USA, 2017. [Google Scholar]
- Balandin, A.A.; Ghosh, S.; Bao, W.; Calizo, I.; Teweldebrhan, D.; Miao, F.; Lau, C.N. Superior Thermal Conductivity of Single-Layer Graphene. Nano Lett. 2008, 8, 902–907. [Google Scholar] [CrossRef] [PubMed]
- Darvishzadeh, A.; Alharbi, N.; Mosavi, A.; Gorji, N.E. Modeling the Strain Impact on Refractive Index and Optical Transmission Rate. Phys. B Condens. Matter 2018, 543, 14–17. [Google Scholar] [CrossRef]
- Boyd, E.J.; Uttamchandani, D. Measurement of the Anisotropy of Young’s Modulus in Single-Crystal Silicon. J. Microelectromech. Syst. 2012, 21, 243–249. [Google Scholar] [CrossRef]
- Shur, M. Physics of Semiconductor Devices, 1st ed.; Prentice Hall Series in Solid State Electronics; Prentice Hall: Hoboken, NJ, USA, 1990; p. 681. [Google Scholar]
- Zheng, X.Q.; Lee, J.; Feng, P.X.L. Hexagonal Boron Nitride Nanomechanical Resonators with Spatially Visualized Motion. Microsyst. Nanoeng. 2017, 3, 17038. [Google Scholar] [CrossRef] [Green Version]
- Piller, M.; Sadeghi, P.; West, R.G.; Luhmann, N.; Martini, P.; Hansen, O.; Schmid, S. Thermal Radiation Dominated Heat Transfer in Nanomechanical Silicon Nitride Drum Resonators. Appl. Phys. Lett. 2020, 117, 034101. [Google Scholar] [CrossRef]
- Murakami, Y. Theory of Elasticity and Stress Concentration; Wiley: Chichester, UK, 2017. [Google Scholar] [CrossRef]
- Ding, Z.; Jiang, J.W.; Pei, Q.X.; Zhang, Y.W. In-Plane and Cross-Plane Thermal Conductivities of Molybdenum Disulfide. Nanotechnology 2015, 26, 065703. [Google Scholar] [CrossRef] [PubMed]
- Gu, X.; Li, B.; Yang, R. Layer Thickness-Dependent Phonon Properties and Thermal Conductivity of MoS2. J. Appl. Phys. 2016, 119, 085106. [Google Scholar] [CrossRef] [Green Version]
- Sandell, S.; Maire, J.; Chavez-Angel, E.; Torres, C.M.S.; Kristiansen, H.; Zhang, Z.; He, J. Enhancement of Thermal Boundary Conductance of Metal-Polymer System. Nanomaterials 2020, 10, 670. [Google Scholar] [CrossRef] [Green Version]
- Kurek, M. Photothermal IR Spectroscopy with Perforated Membrane Micromechanical Resonators. Ph.D. Thesis, Technical University of Denmark, Lyngby, Denmark, 2017. [Google Scholar]
- Barnes, J.; Stephenson, R.J.; Woodburn, C.N.; O’Shea, S.J.; Welland, M.E.; Rayment, T.; Gimzewski, J.K.; Gerber, C. A Femtojoule Calorimeter using Micromechanical Sensors. Rev. Sci. Instrum. 1994, 65, 3793–3798. [Google Scholar] [CrossRef]
- Babaei Gavan, K.; van der Drift, E.W.J.M.; Venstra, W.J.; Zuiddam, M.R.; van der Zant, H.S.J. Effect of Undercut on the Resonant Behaviour of Silicon Nitride Cantilevers. J. Micromech. Microeng. 2009, 19, 035003. [Google Scholar] [CrossRef] [Green Version]
- Fishlock, S.J.; O’Shea, S.J.; McBride, J.W.; Chong, H.M.H.; Pu, S.H. Fabrication and Characterisation of Nanocrystalline Graphite MEMS Resonators using a Geometric Design to Control Buckling. J. Micromech. Microeng. 2017, 27, 095015. [Google Scholar] [CrossRef]
- Dorgan, V.E.; Behnam, A.; Conley, H.J.; Bolotin, K.I.; Pop, E. High-field Electrical and Thermal Transport in Suspended Graphene. Nano Lett. 2013, 13, 4581–4586. [Google Scholar] [CrossRef] [PubMed] [Green Version]
- Hecht, E. Optics, 5th ed.; Pearson Education Limited: Essex, UK, 2017; p. 67. [Google Scholar]
- Liu, K.; Wu, J. Mechanical Properties of Two-Dimensional Materials and Heterostructures. J. Mater. Res. 2015, 31, 832–844. [Google Scholar] [CrossRef] [Green Version]





Publisher’s Note: MDPI stays neutral with regard to jurisdictional claims in published maps and institutional affiliations. |
© 2022 by the authors. Licensee MDPI, Basel, Switzerland. This article is an open access article distributed under the terms and conditions of the Creative Commons Attribution (CC BY) license (https://creativecommons.org/licenses/by/4.0/).
Share and Cite
Aguila, M.A.C.; Esmenda, J.C.; Wang, J.-Y.; Chen, Y.-C.; Lee, T.-H.; Yang, C.-Y.; Lin, K.-H.; Chang-Liao, K.-S.; Kafanov, S.; Pashkin, Y.A.; et al. Photothermal Responsivity of van der Waals Material-Based Nanomechanical Resonators. Nanomaterials 2022, 12, 2675. https://doi.org/10.3390/nano12152675
Aguila MAC, Esmenda JC, Wang J-Y, Chen Y-C, Lee T-H, Yang C-Y, Lin K-H, Chang-Liao K-S, Kafanov S, Pashkin YA, et al. Photothermal Responsivity of van der Waals Material-Based Nanomechanical Resonators. Nanomaterials. 2022; 12(15):2675. https://doi.org/10.3390/nano12152675
Chicago/Turabian StyleAguila, Myrron Albert Callera, Joshoua Condicion Esmenda, Jyh-Yang Wang, Yen-Chun Chen, Teik-Hui Lee, Chi-Yuan Yang, Kung-Hsuan Lin, Kuei-Shu Chang-Liao, Sergey Kafanov, Yuri A. Pashkin, and et al. 2022. "Photothermal Responsivity of van der Waals Material-Based Nanomechanical Resonators" Nanomaterials 12, no. 15: 2675. https://doi.org/10.3390/nano12152675
APA StyleAguila, M. A. C., Esmenda, J. C., Wang, J.-Y., Chen, Y.-C., Lee, T.-H., Yang, C.-Y., Lin, K.-H., Chang-Liao, K.-S., Kafanov, S., Pashkin, Y. A., & Chen, C.-D. (2022). Photothermal Responsivity of van der Waals Material-Based Nanomechanical Resonators. Nanomaterials, 12(15), 2675. https://doi.org/10.3390/nano12152675

