Structure Modification, Evolution, and Compositional Changes of Highly Conductive La:BaSnO3 Thin Films Annealed in Vacuum and Air Atmosphere
Abstract
:1. Introduction
2. Materials and Methods
3. Results and Discussions
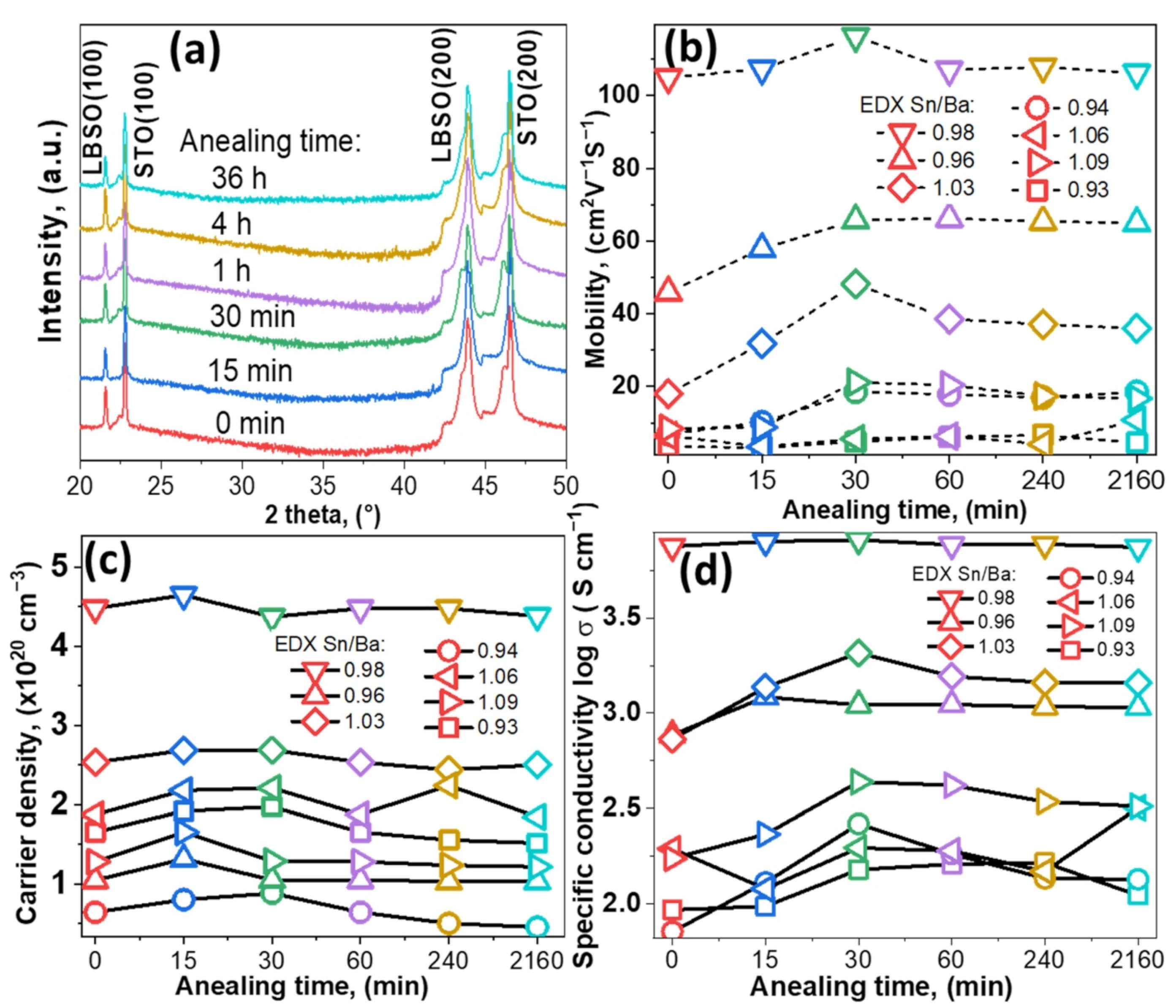
3.1. Time-Dependent LBSO Film Annealing in Vacuum
3.2. LBSO Film High-Temperature Annealing in Air
4. Conclusions
Author Contributions
Funding
Institutional Review Board Statement
Informed Consent Statement
Data Availability Statement
Acknowledgments
Conflicts of Interest
References
- Prakash, A.; Xu, P.; Faghaninia, A.; Shukla, S.; Iii, J.W.A.; Lo, C.S.; Jalan, B. Wide bandgap BaSnO3 films with room temperature conductivity exceeding 104 S cm−1. Nat. Commun. 2017, 8, 15167. [Google Scholar] [CrossRef] [PubMed] [Green Version]
- Kim, H.J.; Kim, U.; Kim, T.H.; Kim, J.; Kim, H.M.; Jeon, B.-G.; Lee, W.-J.; Mun, H.S.; Hong, K.T.; Yu, J.; et al. Physical properties of transparent perovskite oxides (Ba,La)SnO3 with high electrical mobility at room temperature. Phys. Rev. B 2012, 86, 165205. [Google Scholar] [CrossRef] [Green Version]
- Joon, K.H.; Useong, K.; Min, K.H.; Hoon, K.T.; Sik, M.H.; Byung-Gu, J.; Taek, H.K.; Woong-Jhae, L.; Chanjong, J.; Hoon, K.K.; et al. High Mobility in a Stable Transparent Perovskite Oxide. Appl. Phys. Express 2012, 5, 061102. [Google Scholar]
- Raghavan, S.; Schumann, T.; Kim, H.; Zhang, J.Y.; Cain, T.A.; Stemmer, S. High-mobility BaSnO3 grown by oxide molecular beam epitaxy. APL Mater. 2016, 4, 016106. [Google Scholar] [CrossRef] [Green Version]
- Paik, H.; Chen, Z.; Lochocki, E.; Ariel, H.S.; Verma, A.; Tanen, N.; Park, J.; Uchida, M.; Shang, S.; Zhou, B.-C.; et al. Adsorption-controlled growth of La-doped BaSnO3 by molecular-beam epitaxy. APL Mater. 2017, 5, 116107. [Google Scholar] [CrossRef] [Green Version]
- Tchiomo, A.P.N.; Braun, W.; Doyle, B.P.; Sigle, W.; van Aken, P.; Mannhart, J.; Ngabonziza, P. High-temperature-grown buffer layer boosts electron mobility in epitaxial La-doped BaSnO3/SrZrO3 heterostructures. APL Mater. 2019, 7, 041119. [Google Scholar] [CrossRef] [Green Version]
- Lee, W.J.; Kim, H.J.; Sohn, E.; Kim, T.H.; Park, J.Y.; Park, W.; Jeong, H.; Lee, T.; Kim, J.H.; Choi, K.Y.; et al. Enhanced electron mobility in epitaxial (Ba,La)SnO3 films on BaSnO3(001) substrates. Appl. Phys. Lett. 2016, 108, 082105. [Google Scholar] [CrossRef]
- Yoon, D.; Yu, S.; Son, J. Oxygen vacancy-assisted recovery process for increasing electron mobility in n-type BaSnO3 epitaxial thin films. NPG Asia Mater. 2018, 10, 363–371. [Google Scholar] [CrossRef]
- Ganguly, K.; Prakash, A.; Jalan, B.; Leighton, C. Mobility-electron density relation probed via controlled oxygen vacancy doping in epitaxial BaSnO3. APL Mater. 2017, 5, 056102. [Google Scholar] [CrossRef] [Green Version]
- Wei, R.; Hu, L.; Shao, C.; Tang, X.; Luo, X.; Dai, J.; Yang, J.; Song, W.; Zhu, X.; Sun, Y. Improved optoelectronic properties in solution-processed epitaxial rare-earth-doped BaSnO3 thin films via grain size engineering. Appl. Phys. Lett. 2019, 115, 162105. [Google Scholar] [CrossRef]
- Kumar, A.; Maurya, S.; Patwardhan, S.; Balasubramaniam, K.R. Opto-electronic properties of poly-crystalline La doped BaSnO3 films deposited on quartz substrates. J. Phys. D Appl. Phys. 2021, 54, 185108. [Google Scholar] [CrossRef]
- Bachelet, R.; Sánchez, F.; Palomares, F.J.; Ocal, C.; Fontcuberta, J. Atomically flat SrO-terminated SrTiO3(001) substrate. Appl. Phys. Lett. 2009, 95, 141915. [Google Scholar] [CrossRef]
- Lee, W.; Han, J.W.; Chen, Y.; Cai, Z.; Yildiz, B. Cation size mismatch and charge interactions drive dopant segregation at the surfaces of manganite perovskites. J. Am. Chem. Soc. 2013, 135, 7909–7925. [Google Scholar] [CrossRef]
- Kövér, L.; Kovács, Z.; Sanjinés, R.; Moretti, G.; Cserny, I.; Margaritondo, G.; Pálinkás, J.; Adachi, H. Electronic structure of tin oxides: High-resolution study of XPS and Auger spectra. Surf. Interface Anal. 1995, 23, 461–466. [Google Scholar] [CrossRef]
- Murauskas, T.; Kubilius, V.; Talaikis, M.; Abrutis, A.; Raudonis, R.; Niaura, G.; Plausinaitiene, V. Precise composition control and cation nonstoichiometry in La-doped BaSnO3 thin films grown by MOCVD. J. Alloys Compd. 2022, 898, 162843. [Google Scholar] [CrossRef]
- Luo, B.; Hu, J. Unraveling the Oxygen Effect on the Properties of Sputtered BaSnO3 Thin Films. ACS Appl. Electron. Mater. 2019, 1, 51–57. [Google Scholar] [CrossRef]
- Cho, H.J.; Onozato, T.; Wei, M.; Sanchela, A.; Ohta, H. Effects of vacuum annealing on the electron mobility of epitaxial La-doped BaSnO3 films. APL Mater. 2019, 7, 022507. [Google Scholar] [CrossRef] [Green Version]
- Yu, S.; Yoon, D.; Son, J. Enhancing electron mobility in La-doped BaSnO3 thin films by thermal strain to annihilate extended defects. Appl. Phys. Lett. 2016, 108, 262101. [Google Scholar] [CrossRef]
- Wood, J.; Howes, M.; Morgan, D. The effect of dislocations on the electron mobility of GaAs. Phys. Status Solidi A 1982, 74, 493–496. [Google Scholar] [CrossRef]
- You, J.H.; Lu, J.-Q.; Johnson, H. Electron scattering due to threading edge dislocations in n-type wurtzite GaN. J. Appl. Phys. 2006, 99, 033706. [Google Scholar] [CrossRef] [Green Version]
- Murauskas, T.; Kubilius, V.; Saltyte, Z.; Plausinaitiene, V. Metalorganic chemical vapor deposition and investigation of nonstoichiometry of undoped BaSnO3 and La-doped BaSnO3 thin films. Thin Solid Film. 2019, 692, 6. [Google Scholar] [CrossRef]
- Forster, M. Theoretical investigation of the system SnOx/Sn for the thermochemical storage of solar energy. Energy 2004, 29, 789–799. [Google Scholar] [CrossRef]
- Nelson, A.J.; Adams, J.J.; Schaffers, K.I. Photoemission investigation of the electronic structure of lanthanum–calcium oxoborate. J. Appl. Phys. 2003, 94, 7493–7495. [Google Scholar] [CrossRef]
- Moulder, J.; Stickle, W.; Sobol, P.; Bomben, K. Handbook of X-ray Photoelectron Spectroscopy; Perkin-Elmer: Eden Prairie, MN, USA, 1992; pp. 1–261. [Google Scholar]
- Wagner, C.; Naumkin, A.; Kraut-Vass, A.; Allison, J.; Powell, C.; Rumble, J., Jr. NIST X-ray Photoelectron Spectroscopy Database, NIST Standard Reference Database 20, Version 3.4 (Web Version); US Department of Commerce: Washington, DC, USA, 2003. [Google Scholar]
- Kövér, L.; Moretti, G.; Kovács, Z.; Sanjinés, R.; Cserny, I.; Margaritondo, G.; Pálinkás, J.; Adachi, H. High resolution photoemission and Auger parameter studies of electronic structure of tin oxides. J. Vac. Sci. Technol. A Vac. Surf. Film. 1995, 13, 1382–1388. [Google Scholar] [CrossRef]
- Schenk-Meuser, K.; Duschner, H. ESCA-analysis of tin compounds on the surface of hydroxyapatite. Fresenius’ J. Anal. Chem. 1997, 358, 265–267. [Google Scholar] [CrossRef]
- Zhu, Y.; Liu, D.; Jing, H.; Zhang, F.; Zhang, X.; Hu, S.; Zhang, L.; Wang, J.; Zhang, L.; Zhang, W.; et al. Oxygen activation on Ba-containing perovskite materials. Sci. Adv. 2022, 8, eabn4072. [Google Scholar] [CrossRef]
- Idriss, H. On the wrong assignment of the XPS O1s signal at 531–532 eV attributed to oxygen vacancies in photo-and electro-catalysts for water splitting and other materials applications. Surf. Sci. 2021, 712, 121894. [Google Scholar] [CrossRef]
- Upadhyay, S.; Sahu, A.K.; Kumar, D.; Parkash, O. Probing electrical conduction behavior of BaSnO3. J. Appl. Phys. 1998, 84, 828–832. [Google Scholar] [CrossRef]
- Setvín, M.; Aschauer, U.; Scheiber, P.; Li, Y.-F.; Hou, W.; Schmid, M.; Selloni, A.; Diebold, U. Reaction of O2 with subsurface oxygen vacancies on TiO2 anatase (101). Science 2013, 341, 988–991. [Google Scholar] [CrossRef] [Green Version]
- Ostrick, B.; Fleischer, M.; Meixner, H. High-Temperature Hall Measurements on BaSnO3 Ceramics. J. Am. Ceram. Soc. 1997, 80, 2153–2156. [Google Scholar] [CrossRef]
- Lu, W.; Jiang, S.; Zhou, D.; Gong, S. Structural and electrical properties of Ba (Sn,Sb)O3 electroceramics materials. Sens. Actuators A Phys. 2000, 80, 35–37. [Google Scholar] [CrossRef]
- Yoon, D.; Yu, S.; Lee, Y.; Park, Y.; Son, J. Simultaneous reduction of multi-dimensional defects in Sn-excess BaSnO3 epitaxial films induced by surface chemical reconstruction. Phys. Rev. Mater. 2021, 5, 014602. [Google Scholar] [CrossRef]
- Yun, H.; Ganguly, K.; Postiglione, W.; Jalan, B.; Leighton, C.; Mkhoyan, K.A.; Jeong, J.S. Microstructure characterization of BaSnO3 thin films on LaAlO3 and PrScO3 substrates from transmission electron microscopy. Sci. Rep. 2018, 8, 10245. [Google Scholar] [CrossRef] [PubMed]
- Gallheber, B.C.; Klein, O.; Fischer, M.; Schreck, M. Propagation of threading dislocations in heteroepitaxial diamond films with (111) orientation and their role in the formation of intrinsic stress. J. Appl. Phys. 2017, 121, 225301. [Google Scholar] [CrossRef]
- Anoop, G.; Park, E.Y.; Lee, S.; Jo, J.Y. Structural, electrical, and luminescence characteristics of vacuum-annealed epitaxial (Ba,La)SnO3 thin films. Electron. Mater. Lett. 2015, 11, 565–571. [Google Scholar] [CrossRef]
- Stoecker, H.; Hanzig, J.; Zschornak, M.; Mehner, E.; Jachalke, S.; Richter, C.; Hanzig, F.; Meutzner, F.; Leisegang, T.; Meyer, D.C. Strontium titanate: From symmetry changes to functionality. Cryst. Res. Technol. 2017, 52, 1600222. [Google Scholar] [CrossRef]
- Polkowska, A.; Warmuzek, M.; Kalarus, J.; Polkowski, W.; Sobczak, N. A comparison of various imaging modes in scanning electron microscopy during evaluation of selected Si/refractory sessile drop couples after wettability tests at ultra-high temperature. Pr. Inst. Odlew. 2017, 57, 4. [Google Scholar]
- Lee, S.; Randall, C.A.; Liu, Z.K. Modified phase diagram for the barium oxide–titanium dioxide system for the ferroelectric barium titanate. J. Am. Ceram. Soc. 2007, 90, 2589–2594. [Google Scholar] [CrossRef]





Publisher’s Note: MDPI stays neutral with regard to jurisdictional claims in published maps and institutional affiliations. |
© 2022 by the authors. Licensee MDPI, Basel, Switzerland. This article is an open access article distributed under the terms and conditions of the Creative Commons Attribution (CC BY) license (https://creativecommons.org/licenses/by/4.0/).
Share and Cite
Murauskas, T.; Kubilius, V.; Raudonis, R.; Skapas, M.; Plausinaitiene, V. Structure Modification, Evolution, and Compositional Changes of Highly Conductive La:BaSnO3 Thin Films Annealed in Vacuum and Air Atmosphere. Nanomaterials 2022, 12, 2408. https://doi.org/10.3390/nano12142408
Murauskas T, Kubilius V, Raudonis R, Skapas M, Plausinaitiene V. Structure Modification, Evolution, and Compositional Changes of Highly Conductive La:BaSnO3 Thin Films Annealed in Vacuum and Air Atmosphere. Nanomaterials. 2022; 12(14):2408. https://doi.org/10.3390/nano12142408
Chicago/Turabian StyleMurauskas, Tomas, Virgaudas Kubilius, Rimantas Raudonis, Martynas Skapas, and Valentina Plausinaitiene. 2022. "Structure Modification, Evolution, and Compositional Changes of Highly Conductive La:BaSnO3 Thin Films Annealed in Vacuum and Air Atmosphere" Nanomaterials 12, no. 14: 2408. https://doi.org/10.3390/nano12142408
APA StyleMurauskas, T., Kubilius, V., Raudonis, R., Skapas, M., & Plausinaitiene, V. (2022). Structure Modification, Evolution, and Compositional Changes of Highly Conductive La:BaSnO3 Thin Films Annealed in Vacuum and Air Atmosphere. Nanomaterials, 12(14), 2408. https://doi.org/10.3390/nano12142408

