Synergistic Effects of Fe2O3 Nanotube/Polyaniline Composites for an Electrochemical Supercapacitor with Enhanced Capacitance
Abstract
1. Introduction
2. Materials and Methods
2.1. Materials
2.2. Synthesis of α-Fe2O3 Nanotubes
2.3. Polyaniline (PANI) Particles Synthesis
2.4. Synthesis of PANI@α-NT-a
2.5. Synthesis of PANI@α-NT-b
2.6. Morphological and Structural Characterization
2.7. Electrochemical Measurements
3. Results and Discussion
3.1. Fabrication of α-Fe2O3 Nanotube and Polyaniline-Combined Structures
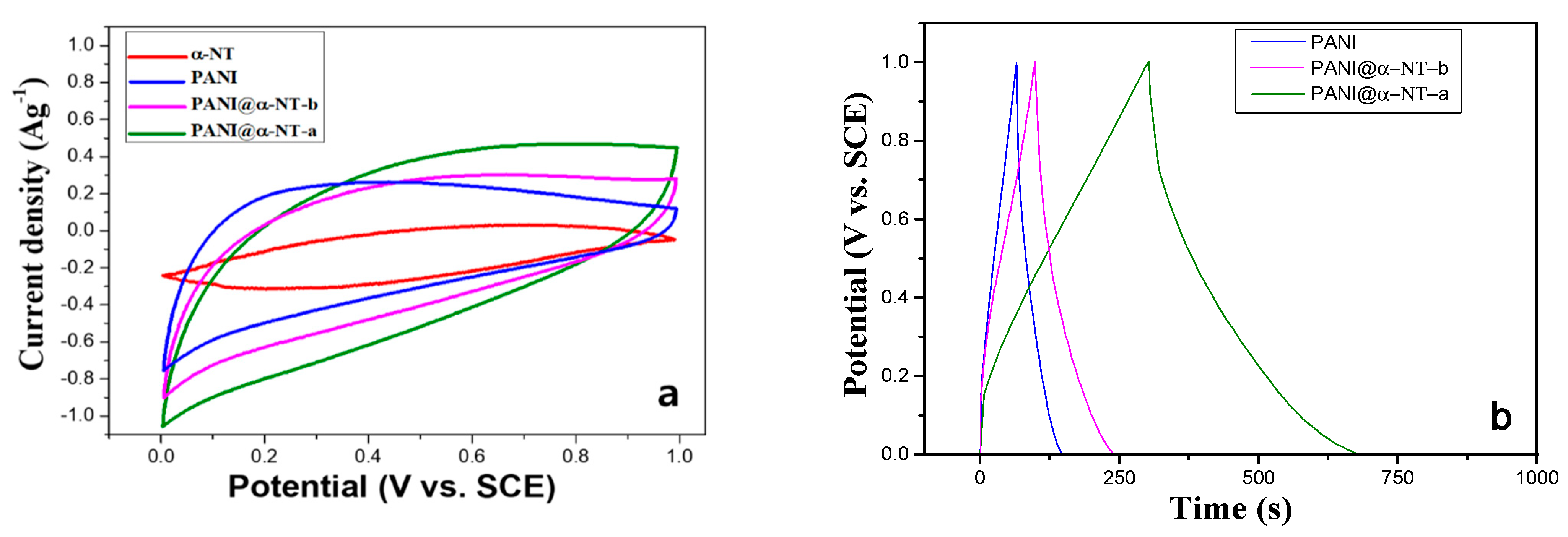
3.2. Electrochemical Properties
4. Conclusions
Supplementary Materials
Author Contributions
Funding
Data Availability Statement
Conflicts of Interest
References
- Shivakumara, S.; Tirupathi, R.P.; Munichandraiah, N. Preparation and electrochemical performance of porous hematite (α-Fe2O3) nanostructures as supercapacitor electrode material. J. Solid State Electrochem. 2013, 13, 235–251. [Google Scholar] [CrossRef]
- Xue, Y.; Wang, Y. A review of the α-Fe2O3 (hematite) nanotube structure: Recent advances in synthesis, characterization, and applications. Nanoscale 2020, 12, 10912. [Google Scholar] [CrossRef]
- Gondal, M.A.; Hameed, A.; Yamani, Z.H.; Suwaiyan, A. Laser induced photo-catalytic oxidation/splitting of water over α-Fe2O3, WO3, TiO2 and NiO catalysts: Activity comparison. Chem. Phys. Lett. 2004, 111, 385. [Google Scholar] [CrossRef]
- Hu, C.C.; Chang, K.H.; Lin, M.C.; Wu, Y.T. Design and tailoring of the nanotubular arrayed architecture of hydrous RuO2 for next generation supercapacitors. Nano Lett. 2006, 6, 2690–2695. [Google Scholar] [CrossRef]
- Park, J.H.; Ko, J.M.; Park, O.O. Carbon nanotube/RuO2 nanocomposite electrodes for supercapacitors. J. Electrochem. Soc. 2003, 150, A864–A867. [Google Scholar] [CrossRef]
- Susanti, D.; Tsai, D.S.; Huang, Y.S.; Korotcov, A.; Chung, W.H. Structures and electrochemical capacitive properties of RuO2 vertical nanorods encased in hydrous RuO2. J. Phys. Chem. C 2007, 111, 9530–9537. [Google Scholar] [CrossRef]
- Xia, X.H.; Tu, J.P.; Wang, X.L.; Gu, C.D.; Zhao, X.B. Hierarchically porous NiO film grown by chemical bath deposition via a colloidal crystal template as an electrochemical pseudocapasitor material. J. Mater. Chem. 2011, 21, 671–679. [Google Scholar] [CrossRef]
- Xia, X.; Tu, J.; Zhang, Y.; Wang, X.; Gu, C.; Zhao, X.; Fan, H.J. High-Quality Metal Oxide Core/Shell Nanowire Arrays on conductive substrates for electrochemical energy storage. ACS Nano 2012, 6, 5531–5538. [Google Scholar] [CrossRef]
- Meher, S.K.; Rao, G.R. Enhanced activity of microwave synthesized hierarchical MnO2 for high performance supercapacitor applications. J. Power Sources 2012, 215, 317–328. [Google Scholar] [CrossRef]
- Li, Z.P.; Mi, Y.J.; Liu, X.H.; Liu, S.; Yang, S.R.; Wang, J.Q. Flexible graphene/MnO2 composite papers for supercapacitor electrodes. J. Mater. Chem. 2011, 21, 14706–14711. [Google Scholar] [CrossRef]
- Muhajir, M.; Puspitasari, P.; Razak, J.A. Synthesis and Applications of Hematite α-Fe2O3: A Review. J. Mech. Eng. Sci. Technol. 2019, 3, 51–58. [Google Scholar] [CrossRef]
- Ahmad, W.R.W.; Mamat, M.H.; Zoolfakar, A.S.; Khusaimi, Z.; Rusop, M. A Review on Hematite α-Fe2O3 Focusing on Nanostructures, Synthesis Methods and Applications. In Proceedings of the 2016 IEEE Student Conference on Research and Development (SCOReD), Kuala Lumpur, Malaysia, 13–14 December 2016; pp. 1–6. [Google Scholar] [CrossRef]
- Lorkita, P.; Panapoya, M.; Ksapabutr, B. Iron oxide-based supercapacitor from ferratrane precursor via sol-gel-hydrothermal process. Energy Procedia 2014, 56, 466–473. [Google Scholar] [CrossRef]
- Huo, L.; Li, W.; Lu, L.; Cai, H.; Xi, S.; Wang, J.; Zhao, B.; Shen, Y.; Lu, Z. Preparation, Structure, and properties of Three-Dimensional ordered α-Fe2O3 nanoparticulate film. Chem. Mater. 2000, 12, 790. [Google Scholar] [CrossRef]
- Zhao, X.; Johnston, C.; Patrick, S.G. A novel hybrid supercapacitor with a carbon nanotube cathode and an iron oxide/carbon nanotube composite anode. J. Mater. Chem. 2009, 19, 8755. [Google Scholar] [CrossRef]
- Ge, Y.; Hoque, M.I.; Qu, Q. 1D Hematite-[α-Fe2O3]-nanorods prepared by green fabrication for supercapacitor electrodes. Electrochem. Energy Technol. 2019, 5, 1–6. [Google Scholar] [CrossRef]
- Yang, W.; Gao, Z.; Wang, J.; Wang, B.; Liu, L. Hydrothermal synthesis of reduced graphene sheets/Fe2O3 nanorods composites and their enhanced electrochemical performance for supercapacitors. Solid State Sci. 2013, 20, 46–53. [Google Scholar] [CrossRef]
- Shivakumara, S.; Penki, T.R.; Munichandraiah, N. High specific surface area α-Fe2O3 nanostructures as high performance electrode material for supercapacitors. Mater. Lett. 2014, 15, 100–103. [Google Scholar] [CrossRef]
- Lee, K.K.; Deng, S.; Fan, H.M.; Mhaisalkar, S.; Tan, H.R.; Tok, E.S.; Loh, K.P.; Chin, W.S.; Sow, C.H. α-Fe2O3 nanotubes-reduced graphene oxide composites as synergistic electrochemical capacitor materials. Nanoscale 2012, 4, 2958. [Google Scholar] [CrossRef]
- Xie, K.; Li, J.; Lai, Y.; Lu, W.; Zhang, Z.; Liu, Y.; Zhou, L.; Huang, H. Highly ordered iron oxide nanotube arrays as electrodes for electrochemical energy storage. Electrochem. Commun. 2011, 13, 657–660. [Google Scholar] [CrossRef]
- Chen, J.; Xu, L.; Li, W.; Gou, X. α-Fe2O3 Nanotubes in Gas Sensor and Lithium-Ion Battery Applications. Adv. Mater. 2005, 5, 17. [Google Scholar] [CrossRef]
- Zheng, X.; Yan, X.; Sun, Y.; Yu, Y.; Zhang, G.; Shen, Y.; Liang, Q.; Liao, Q.; Zhang, Y. Temperature-dependent electrochemical capacitive performance of the α-Fe2O3 hollow nanoshuttles as supercapacitor electrodes. J. Colloid Interface Sci. 2016, 466, 291–296. [Google Scholar] [CrossRef] [PubMed]
- Qiu, Z.; Peng, Y.; He, D.; Wang, Y.; Chen, S. Ternary Fe3O4@C@PANi nanocomposites as high performance supercapacitor electrode materials. J. Mater. Sci. 2018, 53, 12322–12333. [Google Scholar] [CrossRef]
- Mahmoudian, M.R.; Basirun, W.J.; Sookhakian, M.; Woi, P.M.; Zalnezhad, E.; Hazarkhani, H.; Alias, Y. Synthesis and characterization of α-Fe2O3/polyaniline nanotube composite as electrochemical sensor for uric acid detection. Adv. Powder Technol. 2019, 30, 384–392. [Google Scholar] [CrossRef]
- LaTempa, T.J.; Feng, X.J.; Paulose, M.; Grimes, C.A. Temperature-dependent growth of self-assembled hematite (α-Fe2O3) nanotube arrays: Rapid electrochemical synthesis and photoelectrochemical properties. J. Phys. Chem. C 2009, 113, 16293. [Google Scholar] [CrossRef]
- Mondal, S.; Rana, U.; Malik, S. Reduced graphene Oxide/Fe3O4/Polyaniline nanostructures as electrode materials for an all-solid-state hybrid supercapacitor. J. Phys. Chem. C 2017, 121, 7573–7583. [Google Scholar] [CrossRef]
- Lokhande, B.J.; Ambare, R.C.; Bharadwaj, S.R. Thermal optimization and supercapacitive application of electrodeposited Fe2O3 thin films. Measurement 2014, 47, 427–432. [Google Scholar] [CrossRef]
- Yang, P.; Ding, Y.; Lin, Z.; Chen, Z.; Li, Y.; Qiang, P.; Ebrahimi, M.; Mai, W.; Wong, C.P.; Wang, Z.L. Low-Cost high-performance solid-state asymmetric supercapacitors based on MnO2 nanowires and Fe2O3 nanotubes. Nano Lett. 2014, 14, 731–736. [Google Scholar] [CrossRef]
- Xie, K.; Guo, M.; Huang, H.; Liu, Y. Fabrication of iron oxide nanotube arrays by electrochemical anodization. Corros. Sci. 2014, 88, 66–75. [Google Scholar] [CrossRef]
- Soudagar, N.M.; Pandit, V.K.; Pujari, R.B.; Chorghade, K.B.; Lokhande, C.D.; Joshi, S.S. Chemically Synthesized Polyaniline Supercapacitor. J. Eng. Res. Technol. 2017, 1, 10. [Google Scholar]
- Gustavo, M.N.; Marcia, L.A.T. Studies on the resonance Raman spectra of polyaniline obtained with near-IR excitation. J. Raman Spectrosc. 2008, 39, 772–778. [Google Scholar] [CrossRef]
- Liqun, W.; Xuegang, L.; Chang, H.; Ruie, L.; Sen, Y.; Xiaoping, S. Electrospun hollow cage-like α-Fe2O3 microspheres: Synthesis, formation mechanism, and morphology-preserved conversion to Fe nanostructures. CrystEngComm 2014, 16, 10618. [Google Scholar] [CrossRef]
- Lee, S.; Kim, H.; Jung, H.M. Interfacial generation of plates assembled with α-Fe2O3 nano-flakes for electrochemical capacitors. J. Electroanal. Chem. 2016, 770, 44–49. [Google Scholar] [CrossRef]
- Huang, J.; Yang, S.; Xu, Y.; Zhou, X.; Jiang, X.; Shi, N.; Cao, D.; Yin, J.; Wang, G. Fe2O3 sheets grown on nickel foam as electrode material for electrochemical capacitors. J. Electroanal. Chem. 2014, 713, 98–102. [Google Scholar] [CrossRef]
- Geng, L.; Gao, Z.; Deng, D. Electrochemical Performance of Iron Oxide Nanoflakes on Carbon Cloth under an External Magnetic Field. Metals 2018, 8, 939. [Google Scholar] [CrossRef]
- Shivakumara, S.; Penki, T.R.; Munichandraiah, N. Synthesis and Characterization of Porous Flowerlike α-Fe2O3 Nanostructures for supercapacitor Application. Electrochem. Lett. 2013, 2, A60–A62. [Google Scholar] [CrossRef]
- Chen, X.; Chem, K.; Wamg, H.; Xue, D. Composition Design Upon Iron Element Toward Supercapacitor Electrode Materials. Mater. Focus 2015, 4, 78–80. [Google Scholar] [CrossRef]
- Ding, Y.; Tang, S.; Han, R.; Zhang, S.; Pan, G.; Meng, X. Iron oxides nanobelt arrays rooted in nanoporous surface of carbon tube textile as stretchable and robust electrodes for fexible supercapacitors with ultrahigh areal energy density and remarkable cycling-stability. Sci. Rep. 2020, 10, 11023. [Google Scholar] [CrossRef]
- Wang, S.Y.; Ho, K.C.; Kuo, S.L.; Wu, N.L. Investigation on Capacitance Mechanisms of Fe3O4 Electrochemical Capacitors. J. Electrochem. Soc. 2006, 153, A75–A80. [Google Scholar] [CrossRef]
- Saranyaa, S.; Kalai Selvana, R.; Priyadharsini, N. Synthesis and characterization of Polyaniline/MnWO4 nanocomposites as electrodes for pseudocapacitors. Appl. Surf. Sci. 2012, 258, 4881–4887. [Google Scholar] [CrossRef]
- Arjomandi, J.; Lee, J.Y.; Movafagh, R.; Moghanni-Bavil-Olyaei, H.; Parvin, M.H. Polyaniline/aluminum and iron oxide nanocomposites supercapacitor electrodes with high specific capacitance and surface area. J. Electroanal. Chem. 2018, 810, 100–108. [Google Scholar] [CrossRef]
- Xia, X.; Hao, Q.; Lei, W.; Wang, W.; Sun, D.; Wang, X. Nanostructured ternary composites of graphene/Fe2O3/polyaniline for high-performance supercapacitors. J. Mater. Chem. 2012, 22, 16844. [Google Scholar] [CrossRef]








| Electrode Materials | Specific Capacitance (Fg−1) | Weight % Ratio of the α-NT/PANI in the PANI@ α-NT | ||||
|---|---|---|---|---|---|---|
| Current Density (Ag−1) | ||||||
| 0.5 | 1.0 | 2.0 | 3.0 | 5.0 | ||
| PANI@α-NT-a | 185 (±4) | 175 (±8) | 156 (±7) | 120 (±7) | 66 (±8) | 22/78 |
| PANI@α-NT-b | 62 (±8) | 58 (±6) | 50 (±5) | 36 (±6) | 19 (±5) | 90/10 |
| PANI | 40 (±4) | 25 (±2) | 22 (±3) | 18 (±5) | 12 (±5) | 0/100 |
| α-NT | 8.4 (±2) | - | - | - | - | 100/0 |
Publisher’s Note: MDPI stays neutral with regard to jurisdictional claims in published maps and institutional affiliations. |
© 2021 by the authors. Licensee MDPI, Basel, Switzerland. This article is an open access article distributed under the terms and conditions of the Creative Commons Attribution (CC BY) license (https://creativecommons.org/licenses/by/4.0/).
Share and Cite
Azimov, F.; Kim, J.; Choi, S.M.; Jung, H.M. Synergistic Effects of Fe2O3 Nanotube/Polyaniline Composites for an Electrochemical Supercapacitor with Enhanced Capacitance. Nanomaterials 2021, 11, 1557. https://doi.org/10.3390/nano11061557
Azimov F, Kim J, Choi SM, Jung HM. Synergistic Effects of Fe2O3 Nanotube/Polyaniline Composites for an Electrochemical Supercapacitor with Enhanced Capacitance. Nanomaterials. 2021; 11(6):1557. https://doi.org/10.3390/nano11061557
Chicago/Turabian StyleAzimov, Farkhod, Jihee Kim, Seong Min Choi, and Hyun Min Jung. 2021. "Synergistic Effects of Fe2O3 Nanotube/Polyaniline Composites for an Electrochemical Supercapacitor with Enhanced Capacitance" Nanomaterials 11, no. 6: 1557. https://doi.org/10.3390/nano11061557
APA StyleAzimov, F., Kim, J., Choi, S. M., & Jung, H. M. (2021). Synergistic Effects of Fe2O3 Nanotube/Polyaniline Composites for an Electrochemical Supercapacitor with Enhanced Capacitance. Nanomaterials, 11(6), 1557. https://doi.org/10.3390/nano11061557

