Magnetic Nanoparticles with Dual Surface Functions—Efficient Carriers for Metalloporphyrin-Catalyzed Drug Metabolite Synthesis in Batch and Continuous-Flow Reactors
Abstract
1. Introduction
2. Materials and Methods
2.1. Materials
2.2. Methods
2.2.1. Synthesis of Magnetic Nanoparticles (MNPs)
2.2.2. Coating of MNPs with Silica Layer (MNPs-TEOS)
2.2.3. Surface Functionalization of MNPs-TEOS with Binary Mixture of Aminopropyltrimethoxy-silane and Methyltrimethoxysilane (Ap/Me-MNPs)
2.2.4. Covalent Immobilization of FeTPFP on Functionalized MNPs (MNPs-FeTPFP)
2.2.5. Ionic Immobilization of FeTPPS on Functionalized MNPs (FeTPPS-MNPs)
2.2.6. Ninhydrin Assay for Determination of Amin-Content of Functionalized MNPs
2.2.7. Zeta-Potential Analysis
2.2.8. Analysis of Particle Size Distribution
2.2.9. Immobilization Yield of MNP-Porphyrins
2.2.10. General Method of Homogeneous Biomimetic Oxidation of Amlodipine Catalyzed by Non-Immobilized Metalloporphyrin in Batch Mode
2.2.11. General Method of Biomimetic Oxidation of Amlodipine Catalyzed by Immobilized Metalloporphyrin on Functionalized Magnetic Nanoparticles in Batch Mode
2.2.12. General Method of the Microfluidic Biomimetic Oxidation
2.2.13. Liquid Chromatography (LC) Method for Determination of Amlodipine and Its Metabolite
2.2.14. Liquid Chromatography Coupled to Mass Spectrometry (LC-DAD-MS) Parameters for Determination of Amlodipine and Its Metabolite
2.2.15. Liquid Chromatography Coupled to High-Resolution Mass Spectrometry (LC-HRMS/MS) Parameters for Determination of Amlodipine and Its Metabolite
2.2.16. Nuclear Magnetic Resonance (NMR) Measurements
2.2.17. Calculation of Biomimetic Reaction Parameters
3. Results
3.1. Characterization of Magnetic Nanoparticle Carriers with Different Aminopropyl- and Methyl- Functionalized Surface
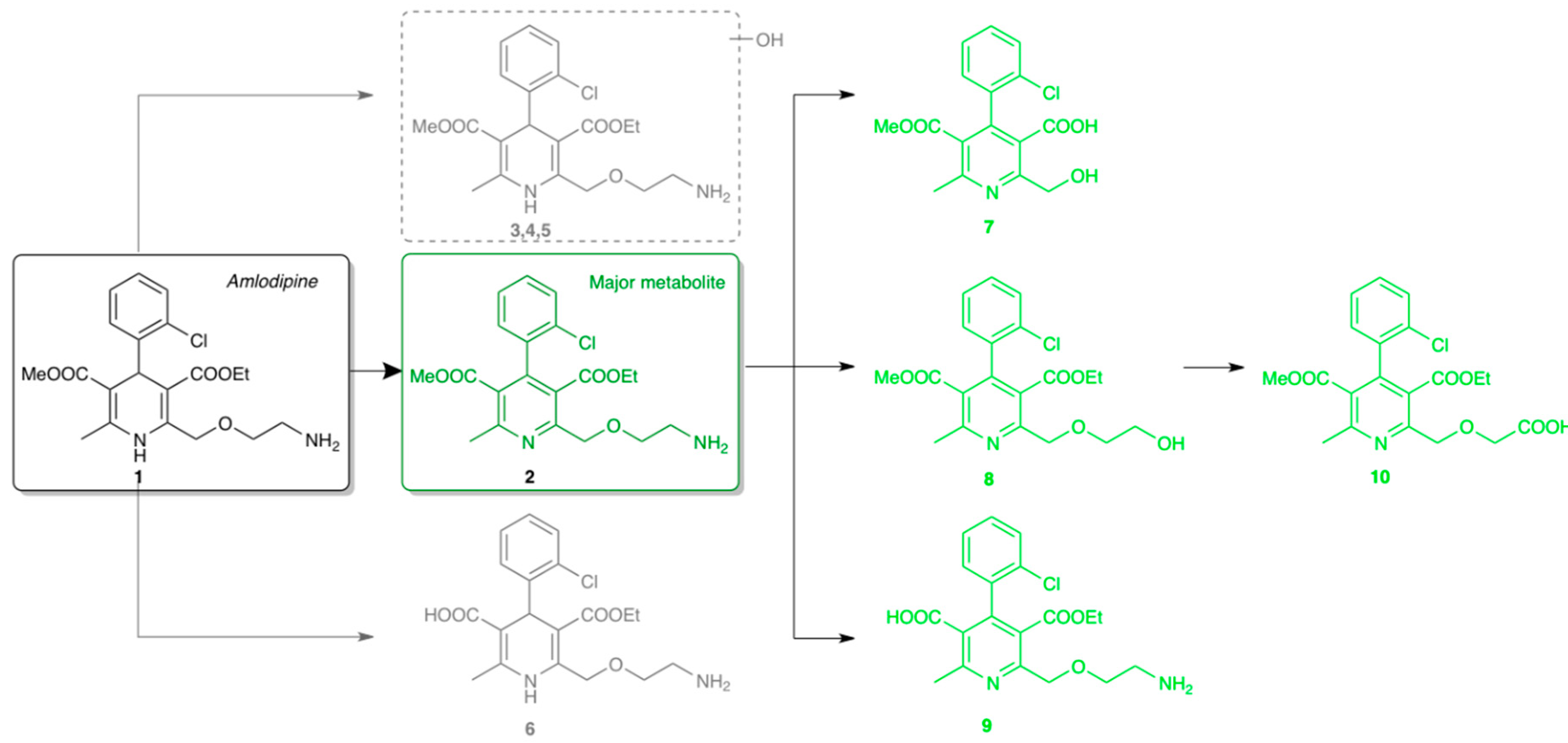
3.2. Investigation of Metalloporphyrins (FeTPFP and FeTPPS) for Biomimetic Oxidation of Amlodipine
3.3. Biomimetic Oxidation of Amlodipine Catalyzed by FeTPFP Metalloporphyrin Immobilized on Dual-Grafted MNPs (FeTPFP-MNPs) in Batch Mode
3.4. Biomimetic Oxidation of Amlodipine Catalyzed by FeTPPS Metalloporphyrin Immobilized on Dual Grafted MNPs (FeTPPS-MNPs) in Batch Mode
3.5. Continuous-Flow Biomimetic Oxidation Catalyzed by FeTPPS-MNPs in a Microfluidic Magnetic Chip-Reactor
3.6. Comparison of the Space Time Yield (STY) Values of the Biomimetic Reactions
4. Discussion
5. Conclusions
Supplementary Materials
Author Contributions
Funding
Acknowledgments
Conflicts of Interest
References
- Niemeyer, C.M. Nanobiotechnology. In Reviews in Cell Biology and Molecular Medicine; Meyers, R.A., Ed.; Wiley: Hoboken, NJ, USA, 2006. [Google Scholar]
- Mihindukulasuriya, S.D.F.; Lim, L.T. Nanotechnology development in food packaging: A review. Trends Food Sci. Technol. 2014, 40, 149–167. [Google Scholar] [CrossRef]
- Koo, O.M.; Rubinstein, I.; Onyuksel, H. Role of nanotechnology in targeted drug delivery and imaging: A concise review. Nanomedicine 2005, 1, 193–212. [Google Scholar] [CrossRef] [PubMed]
- Sanchez, F.; Sobolev, K. Nanotechnology in concrete—A review. Constr. Build. Mater. 2010, 24, 2060–2071. [Google Scholar] [CrossRef]
- Buzea, C.; Pacheco, I.I.; Robbie, K. Nanomaterials and nanoparticles: Sources and toxicity. Biointerphases 2007, 2, MR17–MR71. [Google Scholar] [CrossRef] [PubMed]
- Bai, C.; Liu, M. From chemistry to nanoscience: Not just a matter of size. Angew. Chemie Int. Ed. 2013, 52, 2678–2683. [Google Scholar] [CrossRef]
- Govan, J.; Gunko, J.K. Recent Advances in the Application of Magnetic Nanoparticles as a Support for Homogeneous Catalysts. Nanomaterials 2014, 4, 222–241. [Google Scholar] [CrossRef]
- Pankhurst, Q.A.; Connolly, J.; Jones, S.K.; Dobson, J. Applications of magnetic nanoparticles in biomedicine. J. Phys. D. Appl. Phys. 2003, 36, 167–181. [Google Scholar] [CrossRef]
- Umut, E. Surface Modification of Nanoparticles Used in Biomedical Applications. In Modern Surface Engineering Treatments; InTech: London, UK, 2013; Volume 391, pp. 79–96. [Google Scholar]
- Faaliyan, K.; Abdoos, H.; Borhani, E.; Afghahi, S.S.S. Magnetite-silica nanoparticles with core-shell structure: Single-step synthesis, characterization and magnetic behavior. J. Sol Gel Sci. Technol. 2018, 88, 609–617. [Google Scholar] [CrossRef]
- Chen, J.P.; Yang, P.C.; Ma, Y.H.; Tu, S.J.; Lu, Y.J. Targeted delivery of tissue plasminogen activator by binding to silica-coated magnetic nanoparticle. Int. J. Nanomed. 2012, 7, 5137–5149. [Google Scholar] [CrossRef]
- Reddy, K.R.; Lee, K.P.; Gopalan, A.I.; Kang, H.D. Organosilane modified magnetite nanoparticles/poly(aniline-co-o/m-aminobenzenesulfonic acid) composites: Synthesis and characterization. React. Funct. Polym. 2007, 67, 943–954. [Google Scholar] [CrossRef]
- Jang, J.H.; Lim, H.B. Characterization and analytical application of surface modified magnetic nanoparticles. Microchem. J. 2010, 94, 148–158. [Google Scholar] [CrossRef]
- Farjadian, F.; Ghasemi, S.; Mohammadi-Samani, S. Hydroxyl-modified magnetite nanoparticles as novel carrier for delivery of methotrexate. Int. J. Pharm. 2016, 504, 110–116. [Google Scholar] [CrossRef] [PubMed]
- Fan, J.; Gao, Y. Nanoparticle-supported catalysts and catalytic reactions—A mini-review. J. Exp. Nanosci. 2006, 1, 457–475. [Google Scholar] [CrossRef]
- Sánta-Bell, E.; Molnár, Z.; Varga, A.; Nagy, F.; Hornyánszky, G.; Paizs, C.; Balogh-Weiser, D.; Poppe, L. Fishing and Hunting—Selective Immobilization of a Recombinant Phenylalanine Ammonia-Lyase from Fermentation Media. Molecules 2019, 24, 4146. [Google Scholar] [CrossRef]
- Weiser, D.; Bencze, L.C.; Bánõczi, G.; Ender, F.; Kiss, R.; Kókai, E.; Szilágyi, A.; Vértessy, B.G.; Farkas, Ö.; Paizs, C.; et al. Phenylalanine Ammonia-Lyase-Catalyzed Deamination of an Acyclic Amino Acid: Enzyme Mechanistic Studies Aided by a Novel Microreactor Filled with Magnetic Nanoparticles. ChemBioChem 2015, 16, 2283–2288. [Google Scholar] [CrossRef]
- Almazroo, O.A.; Miah, M.K.; Venkataramanan, R. Drug Metabolism in the Liver. Clin. Liver Dis. 2017, 21, 1–20. [Google Scholar] [CrossRef]
- Knights, K.M.; Stresser, D.M.; Miners, J.O.; Crespi, C.L. In vitro drug metabolism using liver microsomes. Curr. Protoc. Pharmacol. 2016, 74, 7.8.1–7.8.24. [Google Scholar]
- Nerimetla, R.; Premaratne, G.; Liu, H.; Krishnan, S. Improved electrocatalytic metabolite production and drug biosensing by human liver microsomes immobilized on amine-functionalized magnetic nanoparticles. Electrochim. Acta 2018, 280, 101–107. [Google Scholar] [CrossRef]
- Fődi, T.; Ignácz, G.; Decsi, B.; Béni, Z.; Túrós, G.I.; Kupai, J.; Weiser, D.B.; Greiner, I.; Huszthy, P.; Balogh, G.T. Biomimetic Synthesis of Drug Metabolites in Batch and Continuous-Flow Reactors. Chem. Eur. J. 2018, 24, 9385–9392. [Google Scholar] [CrossRef]
- Cauquis, G.; Cosiner, A.; Deronizer, A.; Galland, D.; Limosin, D.; Moutet, J.C.; Bizot, J.; Deprez, D.; Pulicani, J.P. Poly(pyrrole-manganese porphyrin): A catalytic electrode material as a model system for olefin epoxidation and drug metabolism with molecular oxygen. J. Electroanal. Chem. 1993, 352, 181–195. [Google Scholar] [CrossRef]
- Moreira Meireles, A.; Almedia Lage, A.L.; Martins Ribeiro, J.; Neres de Silva, M.A.; de Souza-Fagundes, E.M.; da Silva Martins, D.C. Synthetic Mn(III) porphyrins as biomimetic catalysts of CYP450: Degradation of antibiotic norfloxacin in aqueous medium. Environ. Res. 2019, 177, 108615. [Google Scholar] [CrossRef] [PubMed]
- Lohmann, W.; Karst, U. Biomimetic modeling of oxidative drug metabolism: Strategies, advantages and limitations. Anal. Bioanal. Chem. 2008, 391, 79–96. [Google Scholar] [CrossRef] [PubMed]
- Decsi, B.; Krammer, R.; Hegedűs, K.; Ender, F.; Gyarmati, B.; Szilágyi, A.; Tőtős, R.; Katona, G.; Paizs, C.; Balogh, G.T.; et al. Liver-on-a-Chip-Magnetic nanoparticle bound synthetic metalloporphyrin-catalyzed biomimetic oxidation of a drug in a magnechip reactor. Micromachines 2019, 10, 668. [Google Scholar] [CrossRef] [PubMed]
- Furukawa, T.; Nukada, T.; Suzuki, K.; Fujita, Y.; Mori, Y.; Nishimura, M.; Yamanaka, M. Voltage and pH dependent block of cloned N-type Ca2+ channels by amlodipine. British J. Pharmacol. 1997, 6, 1136–1140. [Google Scholar] [CrossRef] [PubMed]
- Zhu, Y.; Wang, F.; Li, Q.; Zhu, M.; Du, A.; Tang, W.; Chen, W. Amlodipine metabolism in human liver microsomes and roles of CYP3A4/5 in the dihydropyridine dehydrogenation. Drug Metab. Dispos. 2014, 42, 245–249. [Google Scholar] [CrossRef]
- Gerisch, M.; Heinig, R.; Engelen, A.; Lang, D.; Kolkhof, P.; Radtke, M.; Platzek, J.; Lovis, K.; Rohde, G.; Schwarz, T. Biotransformation of finerenone, a novel nonsteroidal mineralocorticoid receptor antagonist, in dogs, rats, and humans, in vivo and in vitro. Drug Metab. Dispos. 2018, 46, 1546–1555. [Google Scholar] [CrossRef]
- Abaházi, E.; Boros, Z.; Poppe, L. Additives enhancing the catalytic properties of lipase from burkholderia cepacia immobilized on mixed-function-grafted mesoporous silica gel. Molecules 2014, 19, 9818–9837. [Google Scholar] [CrossRef]
- Weiser, D.; Nagy, F.; Bánóczi, G.; Oláh, M.; Farkas, A.; Szilágyi, A.; László, K.; Gellért, Á.; Marosi, G.; Kemény, S.; et al. Immobilization engineering—How to design advanced sol-gel systems fo biocatalysis? Green Chem. 2017, 19, 3927–3937. [Google Scholar] [CrossRef]
- Nagy, F.; Tasnádi, G.; Balogh-Weiser, D.; Bell, E.; Hall, M.; Faber, K.; Poppe, L. Smart Nanoparticles for Selective Immobilization of Acid Phosphatases. ChemCatChem 2018, 10, 3490–3499. [Google Scholar] [CrossRef]
- Hagen, J. Industrial Catalysis: A Practical Approach, 3rd ed.; Wiley-VCH: New York, NY, USA, 2015. [Google Scholar]
- Suchanova, B.; Kostiainen, R.; Ketola, R.A. Characterization of the in vitro metabolic profile of amlodipine in rat using liquid chromatography-mass spectrometry. Eur. J. Pharm. Sci. 2008, 33, 91–99. [Google Scholar] [CrossRef]






| Aminopropyl:Methyl Molar Ratio on MNP Surface (n/n) | Mean Particle Diameter (nm) | Quantity of Amino Function a (µmol mg−1) | Zeta-Potential (mV) | YIb (%) | ||
|---|---|---|---|---|---|---|
| for FeTPFP | for FeTPPS | |||||
![]() | bare MNPc | 186 | <0.2 | 16.7 ± 5.6 | n.d. d | n.d. d |
![]() | MNP coated by TEOS e | 218 | <0.2 | −40.9 ± 0.9 | n.d. d | n.d. d |
![]() | 1:0 | 231 | 3.6 ± 0.4 | 18.5 ± 1.5 | 42.7 ± 0.9 | 97.4 ± 0.4 |
![]() | 1:1 | 329 | 3.5 ± 0.3 | 10.4 ± 0.8 | 42.7 ± 0.7 | 98.0 ± 0.6 |
![]() | 1:4 | 370 | 1.4 ± 0.2 | −1.5 ± 0.1 | 39.3 ± 0.5 | 97.3 ± 0.6 |
![]() | 1:16 | 335 | 0.9 ± 0.1 | −6.8 ± 0.5 | 30.7 ± 0.7 | 96.9 ± 0.4 |
![]() | 0:1 | 225 | <0.2 | −35.6 ± 2.7 | n.d. d | n.d. d |
| Mode of Biomimetic Oxidation | Homogenous Batch | Heterogenous Batch | Continuous-Flow | ||
|---|---|---|---|---|---|
| FeTPFP | FeTPPS | FeTPFP-MNPs | FeTPPS-MNPs | FeTPPS-MNPs | |
| STY (g L−1 h−1) | 0.49 | 1.67 | 0.31 | 2.25 | 25.5 |
Publisher’s Note: MDPI stays neutral with regard to jurisdictional claims in published maps and institutional affiliations. |
© 2020 by the authors. Licensee MDPI, Basel, Switzerland. This article is an open access article distributed under the terms and conditions of the Creative Commons Attribution (CC BY) license (http://creativecommons.org/licenses/by/4.0/).
Share and Cite
Balogh-Weiser, D.; Decsi, B.; Krammer, R.; Dargó, G.; Ender, F.; Mizsei, J.; Berkecz, R.; Gyarmati, B.; Szilágyi, A.; Tőtős, R.; et al. Magnetic Nanoparticles with Dual Surface Functions—Efficient Carriers for Metalloporphyrin-Catalyzed Drug Metabolite Synthesis in Batch and Continuous-Flow Reactors. Nanomaterials 2020, 10, 2329. https://doi.org/10.3390/nano10122329
Balogh-Weiser D, Decsi B, Krammer R, Dargó G, Ender F, Mizsei J, Berkecz R, Gyarmati B, Szilágyi A, Tőtős R, et al. Magnetic Nanoparticles with Dual Surface Functions—Efficient Carriers for Metalloporphyrin-Catalyzed Drug Metabolite Synthesis in Batch and Continuous-Flow Reactors. Nanomaterials. 2020; 10(12):2329. https://doi.org/10.3390/nano10122329
Chicago/Turabian StyleBalogh-Weiser, Diána, Balázs Decsi, Réka Krammer, Gergő Dargó, Ferenc Ender, János Mizsei, Róbert Berkecz, Benjámin Gyarmati, András Szilágyi, Róbert Tőtős, and et al. 2020. "Magnetic Nanoparticles with Dual Surface Functions—Efficient Carriers for Metalloporphyrin-Catalyzed Drug Metabolite Synthesis in Batch and Continuous-Flow Reactors" Nanomaterials 10, no. 12: 2329. https://doi.org/10.3390/nano10122329
APA StyleBalogh-Weiser, D., Decsi, B., Krammer, R., Dargó, G., Ender, F., Mizsei, J., Berkecz, R., Gyarmati, B., Szilágyi, A., Tőtős, R., Paizs, C., Poppe, L., & Balogh, G. T. (2020). Magnetic Nanoparticles with Dual Surface Functions—Efficient Carriers for Metalloporphyrin-Catalyzed Drug Metabolite Synthesis in Batch and Continuous-Flow Reactors. Nanomaterials, 10(12), 2329. https://doi.org/10.3390/nano10122329








