Are Adolescents with Higher Openness More Creative Under Stress? The Mediating Role of Stress Perception and Cognitive Flexibility
Abstract
1. Introduction
1.1. The Effect of Stressors on Creative Tendency
1.1.1. The Mediating Role of Stress Perception in the Effect of Stressors on Creative Tendency
1.1.2. The Mediating Role of Cognitive Flexibility in the Effect of Stressors on Creative Tendency
1.2. Moderate Role of Openness in the Effect of Stressors on Creative Tendency
1.2.1. The Effect of Openness on Stressors and Stress Perception
1.2.2. The Effect of Openness on Cognitive Flexibility and Creative Tendency
1.3. The Present Study
2. Materials and Methods
2.1. Participants
2.2. Measures
2.2.1. Stressors
2.2.2. Creative Tendency
2.2.3. Openness in Personality
2.2.4. Perceived Stress
2.2.5. Cognitive Flexibility
2.3. Data Analysis
3. Results
3.1. Confirmatory Factor Analysis
3.2. Common Method Bias Test
3.3. Correlation Analysis
3.4. Mediation Analysis
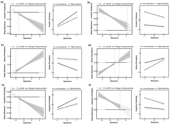
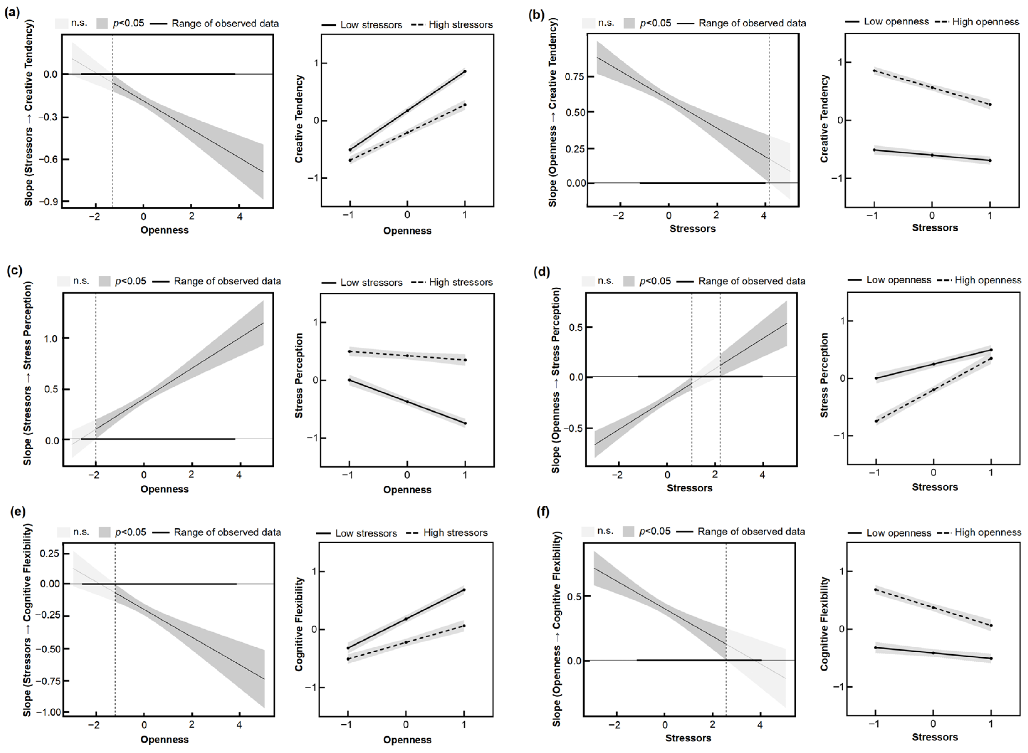
3.5. Testing for the Moderated Mediation Model
3.6. Full Structural Model Analysis
4. Discussion
4.1. The Negative Effect of Stressors on Creative Tendency
4.2. Openness Buffered the Negative Impact of Stressors on Creative Tendency
4.3. Limitations and Future Directions
5. Conclusions
Supplementary Materials
Author Contributions
Funding
Institutional Review Board Statement
Informed Consent Statement
Data Availability Statement
Acknowledgments
Conflicts of Interest
References
- Abu Raya, M., Ogunyemi, A. O., Rojas Carstensen, V., Broder, J., Illanes-Manrique, M., & Rankin, K. P. (2023). The reciprocal relationship between openness and creativity: From neurobiology to multicultural environments. Frontiers in Neurology, 14, 1235348. [Google Scholar] [CrossRef]
- Agbaria, Q., & Mokh, A. A. (2022). Coping with stress during the coronavirus outbreak: The contribution of big five personality traits and social support. International Journal of Mental Health and Addiction, 20(3), 1854–1872. [Google Scholar] [CrossRef]
- Alexander, J. K., Hillier, A., Smith, R. M., Tivarus, M. E., & Beversdorf, D. Q. (2007). Beta-adrenergic modulation of cognitive flexibility during stress. Journal of Cognitive Neuroscience, 19(3), 468–478. [Google Scholar] [CrossRef] [PubMed]
- Anderson, N., De Dreu, C. K. W., & Nijstad, B. A. (2004). The routinization of innovation research: A constructively critical review of the state-of-the-science. Journal of Organizational Behavior, 25(2), 147–173. [Google Scholar] [CrossRef]
- Asquith, S. L., Wang, X., Quintana, D. S., & Abraham, A. (2024). Predictors of change in creative thinking abilities in young people: A longitudinal study. The Journal of Creative Behavior, 58(2), 262–278. [Google Scholar] [CrossRef]
- Atta, M. H. R., Amin, S. M., Hamad, N. I. M., Othman, A. A., Sayed, Y. M., Sanad, H. S., & El-Sayed, A. A. I. (2025). The role of perceived social support in the association between stress and creativity self-efficacy among adolescents with attention deficit hyperactivity disorder. Journal of Psychiatric and Mental Health Nursing, 32, 897–909. [Google Scholar] [CrossRef]
- Baas, M., Roskes, M., Sligte, D., Nijstad, B. A., & De Dreu, C. K. W. (2013). Personality and creativity: The dual pathway to creativity model and a research agenda. Social and Personality Psychology Compass, 7(10), 732–748. [Google Scholar] [CrossRef]
- Barańczuk, U. (2019). The five factor model of personality and emotion regulation: A meta-analysis. Personality and Individual Differences, 139, 217–227. [Google Scholar] [CrossRef]
- Beaty, R. E., Benedek, M., Barry Kaufman, S., & Silvia, P. J. (2015). Default and executive network coupling supports creative idea production. Scientific Reports, 5(1), 10964. [Google Scholar] [CrossRef]
- Beaty, R. E., Chen, Q., Christensen, A. P., Qiu, J., Silvia, P. J., & Schacter, D. L. (2018a). Brain networks of the imaginative mind: Dynamic functional connectivity of default and cognitive control networks relates to openness to experience. Human Brain Mapping, 39(2), 811–821. [Google Scholar] [CrossRef]
- Beaty, R. E., Kaufman, S. B., Benedek, M., Jung, R. E., Kenett, Y. N., Jauk, E., Neubauer, A. C., & Silvia, P. J. (2016). Personality and complex brain networks: The role of openness to experience in default network efficiency. Human Brain Mapping, 37(2), 773–779. [Google Scholar] [CrossRef]
- Beaty, R. E., Kenett, Y. N., Christensen, A. P., Rosenberg, M. D., Benedek, M., Chen, Q., Fink, A., Qiu, J., Kwapil, T. R., Kane, M. J., & Silvia, P. J. (2018b). Robust prediction of individual creative ability from brain functional connectivity. Proceedings of the National Academy of Sciences of the United States of America, 115(5), 1087–1092. [Google Scholar] [CrossRef]
- Besser, A., & Shackelford, T. K. (2007). Mediation of the effects of the big five personality dimensions on negative mood and confirmed affective expectations by perceived situational stress: A quasi-field study of vacationers. Personality and Individual Differences, 42(7), 1333–1346. [Google Scholar] [CrossRef]
- Beversdorf, D. Q. (2019). Neuropsychopharmacological regulation of performance on creativity-related tasks. Current Opinion in Behavioral Sciences, 27, 55–63. [Google Scholar] [CrossRef] [PubMed]
- Bibbey, A., Carroll, D., Roseboom, T. J., Phillips, A. C., & De Rooij, S. R. (2013). Personality and physiological reactions to acute psychological stress. International Journal of Psychophysiology, 90(1), 28–36. [Google Scholar] [CrossRef]
- Boot, N., Baas, M., Van Gaal, S., Cools, R., & De Dreu, C. K. W. (2017). Creative cognition and dopaminergic modulation of fronto-striatal networks: Integrative review and research agenda. Neuroscience & Biobehavioral Reviews, 78, 13–23. [Google Scholar] [CrossRef] [PubMed]
- Byron, K., Khazanchi, S., & Nazarian, D. (2010). The relationship between stressors and creativity: A meta-analysis examining competing theoretical models. Journal of Applied Psychology, 95(1), 201–212. [Google Scholar] [CrossRef]
- Carver, C. S. (2004). Negative affects deriving from the behavioral approach system. Emotion, 4(1), 3–22. [Google Scholar] [CrossRef]
- Chen, L. (1999). Creative thinking and teaching. Chinese Light Industry Press. [Google Scholar]
- Chen, P.-Z., Chang, T.-C., & Wu, C.-L. (2020). Effects of gamified classroom management on the divergent thinking and creative tendency of elementary students. Thinking Skills and Creativity, 36, 100664. [Google Scholar] [CrossRef]
- Chen, Q., Kenett, Y. N., Cui, Z., Takeuchi, H., Fink, A., Benedek, M., Zeitlen, D. C., Zhuang, K., Lloyd-Cox, J., Kawashima, R., Qiu, J., & Beaty, R. E. (2025). Dynamic switching between brain networks predicts creative ability. Communications Biology, 8(1), 54. [Google Scholar] [CrossRef]
- Chen, X., He, J., & Fan, X. (2022). Relationships between openness to experience, cognitive flexibility, self-esteem, and creativity among bilingual college students in the U.S. International Journal of Bilingual Education and Bilingualism, 25(1), 342–354. [Google Scholar] [CrossRef]
- Cheng, T., Cheng, N., Wang, M., & Wang, Z. (2022). Toddlers’ anxiety predicts their creativity at the age of five: The chain mediation effects of general cognition and mastery motivation. Acta Psychologica Sinica, 54(7), 799–812. [Google Scholar] [CrossRef]
- Chiappelli, J., Kvarta, M., Bruce, H., Chen, S., Kochunov, P., & Hong, L. E. (2021). Stressful life events and openness to experience: Relevance to depression. Journal of Affective Disorders, 295, 711–716. [Google Scholar] [CrossRef]
- Christensen, A. P., Kenett, Y. N., Cotter, K. N., Beaty, R. E., & Silvia, P. J. (2018). Remotely close associations: Openness to experience and semantic memory structure. European Journal of Personality, 32(4), 480–492. [Google Scholar] [CrossRef]
- Cohen, S., Kamarck, T., & Mermelstein, R. (1983). A global measure of perceived stress. Journal of Health and Social Behavior, 24(4), 385. [Google Scholar] [CrossRef] [PubMed]
- Conner, T. S., & Silvia, P. J. (2015). Creative days: A daily diary study of emotion, personality, and everyday creativity. Psychology of Aesthetics, Creativity, and the Arts, 9(4), 463–470. [Google Scholar] [CrossRef]
- Cools, R., & D’Esposito, M. (2011). Inverted-U–shaped dopamine actions on human working memory and cognitive control. Biological Psychiatry, 69(12), e113–e125. [Google Scholar] [CrossRef] [PubMed]
- Costa, P. T., & McCrae, R. R. (1976). Age differences in personality structure: A cluster analytic approach. Journal of Gerontology, 31(5), 564–570. [Google Scholar] [CrossRef] [PubMed]
- Costa, P. T., & McCrae, R. R. (1992). Four ways five factors are basic. Personality and Individual Differences, 13(6), 653–665. [Google Scholar] [CrossRef]
- Dai, D. Y., & Shen, J. (2008). Cultivating creative potential during adolescence: A developmental and educational perspective. Korean Journal of Thinking & Problem Solving, 18(1), 83–92. [Google Scholar]
- Danese, A., & McEwen, B. S. (2012). Adverse childhood experiences, allostasis, allostatic load, and age-related disease. Physiology & Behavior, 106(1), 29–39. [Google Scholar] [CrossRef]
- Davis, M. A. (2009). Understanding the relationship between mood and creativity: A meta-analysis. Organizational Behavior and Human Decision Processes, 108(1), 25–38. [Google Scholar] [CrossRef]
- De Dreu, C. K. W., Baas, M., & Nijstad, B. A. (2008). Hedonic tone and activation level in the mood-creativity link: Toward a dual pathway to creativity model. Journal of Personality and Social Psychology, 94(5), 739–756. [Google Scholar] [CrossRef]
- DeYoung, C. G., Grazioplene, R. G., & Peterson, J. B. (2012). From madness to genius: The openness/intellect trait domain as a paradoxical simplex. Journal of Research in Personality, 46(1), 63–78. [Google Scholar] [CrossRef]
- DeYoung, C. G., Peterson, J. B., & Higgins, D. M. (2005). Sources of openness/intellect: Cognitive and neuropsychological correlates of the fifth factor of personality. Journal of Personality, 73(4), 825–858. [Google Scholar] [CrossRef]
- Dreu, C. K. W. D., Nijstad, B. A., & Baas, M. (2011). Behavioral activation links to creativity because of increased cognitive flexibility. Social Psychological and Personality Science, 2(1), 72–80. [Google Scholar] [CrossRef]
- Duan, H., Wang, X., Hu, W., & Kounios, J. (2020). Effects of acute stress on divergent and convergent problem-solving. Thinking & Reasoning, 26(1), 68–86. [Google Scholar] [CrossRef]
- Duan, H., Wang, X., Wang, Z., Xue, W., Kan, Y., Hu, W., & Zhang, F. (2019). Acute stress shapes creative cognition in trait anxiety. Frontiers in Psychology, 10, 1517. [Google Scholar] [CrossRef]
- Dwertmann, D. J. G., Boehm, S. A., McAlpine, K. L., & Kulkarni, M. (2025). Organizational burden or catalyst for ideas? Disability as a driver of cognitive flexibility and creativity. Administrative Science Quarterly, 70, 00018392251326110. [Google Scholar] [CrossRef]
- Eiland, L., & Romeo, R. D. (2013). Stress and the developing adolescent brain. Neuroscience, 249, 162–171. [Google Scholar] [CrossRef]
- Fiori, M., Fischer, S., & Barabasch, A. (2022). Creativity is associated with higher well-being and more positive COVID-19 experience. Personality and Individual Differences, 194, 111646. [Google Scholar] [CrossRef]
- Gabrys, R. L., Howell, J. W., Cebulski, S. F., Anisman, H., & Matheson, K. (2019). Acute stressor effects on cognitive flexibility: Mediating role of stressor appraisals and cortisol. Stress, 22(2), 182–189. [Google Scholar] [CrossRef]
- Gao, D., Dong, Y., Kong, A., & Li, X. (2024). How does perceived social support impact mental health and creative tendencies among chinese senior high school students? Behavioral Sciences, 14(11), 1002. [Google Scholar] [CrossRef]
- Gilar-Corbi, R., Izquierdo, A., & Castejón, J.-L. (2025). Emotional factors in the psychological well-being of future teachers: A structural model. Journal of Intelligence, 13(6), 70. [Google Scholar] [CrossRef] [PubMed]
- Glandorf, H. L., Coffee, P., & Madigan, D. J. (2022). Team identification and athlete burnout: Testing longitudinal serial mediation via perceived support and stress. Psychology of Sport and Exercise, 63, 102292. [Google Scholar] [CrossRef]
- Goldfarb, E. V., Froböse, M. I., Cools, R., & Phelps, E. A. (2017). Stress and cognitive flexibility: Cortisol increases are associated with enhanced updating but impaired switching. Journal of Cognitive Neuroscience, 29(1), 14–24. [Google Scholar] [CrossRef]
- Guo, X., Wang, Y., Kan, Y., Zhang, J., Ball, L. J., & Duan, H. (2024). How does stress shape creativity? The mediating effect of stress hormones and cognitive flexibility. Thinking Skills and Creativity, 52, 101521. [Google Scholar] [CrossRef]
- Harman, H. H. (1976). Modern factor analysis (3rd rev. ed., pp. xx, 487). University of Chicago Press. [Google Scholar]
- Harms, M. B., Shannon Bowen, K. E., Hanson, J. L., & Pollak, S. D. (2018). Instrumental learning and cognitive flexibility processes are impaired in children exposed to early life stress. Developmental Science, 21(4), e12596. [Google Scholar] [CrossRef]
- Hostinar, C. E., Stellern, S. A., Schaefer, C., Carlson, S. M., & Gunnar, M. R. (2012). Associations between early life adversity and executive function in children adopted internationally from orphanages. Proceedings of the National Academy of Sciences of the United States of America, 109(Suppl. 2), 17208–17212. [Google Scholar] [CrossRef]
- Huang, W., Fang, Y., Tan, X., & Zhao, J. (2024). Childhood trauma, stressful life events, and depression: Exploring the mediating effect of cognitive flexibility. Psychological Trauma: Theory, Research, Practice, and Policy, 16(Suppl. 1), S45–S52. [Google Scholar] [CrossRef]
- Ivcevic, Z., & Brackett, M. A. (2015). Predicting creativity: Interactive effects of openness to experience and emotion regulation ability. Psychology of Aesthetics, Creativity, and the Arts, 9(4), 480–487. [Google Scholar] [CrossRef]
- Jiao, B., Zhang, D., Liang, A., Liang, B., Wang, Z., Li, J., Cai, Y., Gao, M., Gao, Z., Chang, S., Huang, R., & Liu, M. (2017). Association between resting-state brain network topological organization and creative ability: Evidence from a multiple linear regression model. Biological Psychology, 129, 165–177. [Google Scholar] [CrossRef]
- Kalia, V., & Knauft, K. (2020). Emotion regulation strategies modulate the effect of adverse childhood experiences on perceived chronic stress with implications for cognitive flexibility. PLoS ONE, 15(6), e0235412. [Google Scholar] [CrossRef] [PubMed]
- Kapogiannis, D., Sutin, A., Davatzikos, C., Costa, P., & Resnick, S. (2013). The five factors of personality and regional cortical variability in the baltimore longitudinal study of aging. Human Brain Mapping, 34(11), 2829–2840. [Google Scholar] [CrossRef] [PubMed]
- Karwowski, M., & Lebuda, I. (2016). The big five, the huge two, and creative self-beliefs: A meta-analysis. Psychology of Aesthetics, Creativity, and the Arts, 10(2), 214–232. [Google Scholar] [CrossRef]
- Käckenmester, W., Bott, A., & Wacker, J. (2019). Openness to experience predicts dopamine effects on divergent thinking. Personality Neuroscience, 2, e3. [Google Scholar] [CrossRef]
- Knauft, K., Waldron, A., Mathur, M., & Kalia, V. (2021). Perceived chronic stress influences the effect of acute stress on cognitive flexibility. Scientific Reports, 11(1), 23629. [Google Scholar] [CrossRef]
- Lazarus, R. S., & Folkman, S. (1984). Stress, appraisal, and coping. Springer. [Google Scholar]
- Lewis-Morrarty, E., Dozier, M., Bernard, K., Terracciano, S. M., & Moore, S. V. (2012). Cognitive flexibility and theory of mind outcomes among foster children: Preschool follow-up results of a randomized clinical trial. Journal of Adolescent Health, 51(2), S17–S22. [Google Scholar] [CrossRef]
- Li, L.-N., Huang, J.-H., & Gao, S.-Y. (2022). The relationship between personality traits and entrepreneurial intention among college students: The mediating role of creativity. Frontiers in Psychology, 13, 822206. [Google Scholar] [CrossRef]
- Li, M., Guo, F., Li, Z., Ma, H., & Duffy, V. G. (2024). Interactive effects of users’ openness and robot reliability on trust: Evidence from psychological intentions, task performance, visual behaviours, and cerebral activations. Ergonomics, 67(11), 1612–1632. [Google Scholar] [CrossRef]
- Li, W., Li, X., Huang, L., Kong, X., Yang, W., Wei, D., Li, J., Cheng, H., Zhang, Q., Qiu, J., & Liu, J. (2015). Brain structure links trait creativity to openness to experience. Social Cognitive and Affective Neuroscience, 10(2), 191–198. [Google Scholar] [CrossRef]
- Lin, H., & Vartanian, O. (2018). A neuroeconomic framework for creative cognition. Perspectives on Psychological Science, 13(6), 655–677. [Google Scholar] [CrossRef]
- Lopez-Persem, A., Moreno-Rodriguez, S., Ovando-Tellez, M., Bieth, T., Guiet, S., Brochard, J., & Volle, E. (2024). How subjective idea valuation energizes and guides creative idea generation. American Psychologist, 79(3), 403–422. [Google Scholar] [CrossRef]
- Lü, W., Wang, Z., & Hughes, B. M. (2016). The association between openness and physiological responses to recurrent social stress. International Journal of Psychophysiology, 106, 135–140. [Google Scholar] [CrossRef] [PubMed]
- Malhotra, N. K., Kim, S. S., & Patil, A. (2006). Common method variance in IS research: A comparison of alternative approaches and a reanalysis of past research. Management Science, 52(12), 1865–1883. [Google Scholar] [CrossRef]
- Martin, M. M., & Rubin, R. B. (1995). A new measure of cognitive flexibility. Psychological Reports, 76(2), 623–626. [Google Scholar] [CrossRef]
- Messineo, L., & Tosto, C. (2023). Perceived stress and affective experience in Italian teachers during the COVID-19 pandemic: Correlation with coping and emotion regulation strategies. European Journal of Psychology of Education, 38(3), 1271–1293. [Google Scholar] [CrossRef]
- Mornar, M., Marušić, I., & Šabić, J. (2022). Academic self-efficacy and learning strategies as mediators of the relation between personality and elementary school students’ achievement. European Journal of Psychology of Education, 37(4), 1237–1254. [Google Scholar] [CrossRef]
- OECD. (2008). 21st century learning: Research, innovation and policy: Directions from recent OECD analyses. Available online: https://one.oecd.org/document/EDU/CERI/CD(2008)14/en/pdf (accessed on 10 February 2026).
- Ó Súilleabháin, P. S., Howard, S., & Hughes, B. M. (2018). Openness to experience and adapting to change: Cardiovascular stress habituation to change in acute stress exposure. Psychophysiology, 55(5), e13023. [Google Scholar] [CrossRef] [PubMed]
- Passamonti, L., Terracciano, A., Riccelli, R., Donzuso, G., Cerasa, A., Vaccaro, M., Novellino, F., Fera, F., & Quattrone, A. (2015). Increased functional connectivity within mesocortical networks in open people. NeuroImage, 104, 301–309. [Google Scholar] [CrossRef]
- Penley, J. A., & Tomaka, J. (2002). Associations among the Big Five, emotional responses, and coping with acute stress. Personality and Individual Differences, 32(7), 1215–1228. [Google Scholar] [CrossRef]
- Puryear, J. S., Kettler, T., & Rinn, A. N. (2017). Relationships of personality to differential conceptions of creativity: A systematic review. Psychology of Aesthetics, Creativity, and the Arts, 11(1), 59–68. [Google Scholar] [CrossRef]
- Raio, C. M., Orederu, T. A., Palazzolo, L., Shurick, A. A., & Phelps, E. A. (2013). Cognitive emotion regulation fails the stress test. Proceedings of the National Academy of Sciences of the United States of America, 110(37), 15139–15144. [Google Scholar] [CrossRef]
- Runco, M. A., Plucker, J. A., & Lim, W. (2001). Development and psychometric integrity of a measure of ideational behavior. Creativity Research Journal, 13(3–4), 393–400. [Google Scholar] [CrossRef]
- Samimi Dehkordi, S., Radević, I., Černe, M., Božič, K., & Lamovšek, A. (2025). The three-way interaction of autonomy, openness to experience, and techno-invasion in predicting employee creativity. The Journal of Creative Behavior, 59(1), e679. [Google Scholar] [CrossRef]
- Samuel, G., Stella, M., Beaty, R. E., & Kenett, Y. N. (2023). Predicting openness to experience via a multiplex cognitive network approach. Journal of Research in Personality, 104, 104369. [Google Scholar] [CrossRef]
- Sanatkar, S., & Rubin, M. (2020). Openness to experience moderates the association between problem-solving style and negative affect. Journal of Individual Differences, 41(4), 175–189. [Google Scholar] [CrossRef]
- Seery, M. D. (2011). Challenge or threat? Cardiovascular indexes of resilience and vulnerability to potential stress in humans. Neuroscience & Biobehavioral Reviews, 35(7), 1603–1610. [Google Scholar] [CrossRef]
- Shen, J. L., Wang, X., & Shi, B. G. (2005). A study on the structure and development of adolescents’ creative tendencies. Psychological Development and Education, 21(2), 28–33. [Google Scholar]
- Shen, W., Tong, Y., Li, F., Yuan, Y., Hommel, B., Liu, C., & Luo, J. (2018). Tracking the neurodynamics of insight: A meta-analysis of neuroimaging studies. Biological Psychology, 138, 189–198. [Google Scholar] [CrossRef]
- Shi, B., Lu, Y., Dai, D. Y., & Lin, C. (2013). Relationships between migration to urban settings and children’s creative inclinations. Creativity Research Journal, 25(3), 300–311. [Google Scholar] [CrossRef]
- Shine, J. M., Aburn, M. J., Breakspear, M., & Poldrack, R. A. (2018). The modulation of neural gain facilitates a transition between functional segregation and integration in the brain. eLife, 7, e31130. [Google Scholar] [CrossRef]
- Spann, M. N., Mayes, L. C., Kalmar, J. H., Guiney, J., Womer, F. Y., Pittman, B., Mazure, C. M., Sinha, R., & Blumberg, H. P. (2012). Childhood abuse and neglect and cognitive flexibility in adolescents. Child Neuropsychology, 18(2), 182–189. [Google Scholar] [CrossRef]
- Sternberg, R. J. (2025). PTSI: A person × task × situation interaction theory of creativity. The Journal of Creative Behavior, 59(2), e70010. [Google Scholar] [CrossRef]
- Theurer, C., Rogh, W., & Berner, N. (2021). Interdependencies between openness and creativity of fifth graders. Psychology of Aesthetics, Creativity, and the Arts, 15(3), 391–400. [Google Scholar] [CrossRef]
- Wang, M., Takahashi, Y., & Cheung, C. (2024). The interplay between negative activating emotions, family expressiveness, and gender: Implications for creativity. The Journal of Creative Behavior, 58(4), 561–576. [Google Scholar] [CrossRef]
- Wang, Y., Guo, X., Wang, M., Kan, Y., Zhang, H., Zhao, H., Meilin, W., & Duan, H. (2022). Transcranial direct current stimulation of bilateral dorsolateral prefrontal cortex eliminates creativity impairment induced by acute stress. International Journal of Psychophysiology, 171, 1–11. [Google Scholar] [CrossRef] [PubMed]
- Wang, Y., Zhang, J., Li, Y., Qi, S., Zhang, F., Ball, L. J., & Duan, H. (2023). Preventing prefrontal dysfunction by tDCS modulates stress-induced creativity impairment in women: An fNIRS study. Cerebral Cortex, 33(20), 10528–10545. [Google Scholar] [CrossRef] [PubMed]
- Williams, F. (1980). Creativity Assessment Packet (CAP) manual. DOK Publishers. [Google Scholar]
- Wu, C. C., Chen, F. Y., Kuo, C. T., Lin, W. W., Liu, T. H., & Chen, Y. H. (1998). Development of revised creative thinking test. Journal of Student Counseling, 62, 132–147. [Google Scholar]
- Wu, C.-L., Huang, S.-Y., Chen, P.-Z., & Chen, H.-C. (2020). A systematic review of creativity-related studies applying the remote associates test from 2000 to 2019. Frontiers in Psychology, 11, 573432. [Google Scholar] [CrossRef]
- Wu, Y., & Wen, Z.-L. (2011). Item parceling strategies in structural equation modeling. Advances in Psychological Science, 19(12), 1859–1867. Available online: https://journal.psych.ac.cn/xlkxjz/EN/Y2011/V19/I12/1859 (accessed on 10 February 2026).
- Xin, Y., Wu, J., Yao, Z., Guan, Q., Aleman, A., & Luo, Y. (2017). The relationship between personality and the response to acute psychological stress. Scientific Reports, 7(1), 16906. [Google Scholar] [CrossRef] [PubMed]
- Yao, H., Chen, S., & Liu, A. (2023). Exploring the relationship between academic challenge stress and self-rated creativity of graduate students: Mediating effects and heterogeneity analysis of academic self-efficacy and resilience. Journal of Intelligence, 11(9), 176. [Google Scholar] [CrossRef]
- Yao, R. S., & Liang, L. Y. (2010). Analysis of the application of simplified NEO-FFI to undergraduates. Chinese Journal of Clinical Psychology, 18(4), 457. [Google Scholar] [CrossRef]
- Zheng, Q. Q., & Chen, S. L. (1999). Preliminary formulation of a stressor scale for secondary school students. Psychological Development and Education, 4(10), 45–49. [Google Scholar]
- Zhou, S., Guan, Q., Zhou, W., & Jiang, T. (2025). Perceived stress and creativity: The roles of subjective well-being and depression. Humanities and Social Sciences Communications, 12(1), 999. [Google Scholar] [CrossRef]
- Zhou, X., Bambling, M., Bai, X., & Edirippulige, S. (2023). Chinese school adolescents’ stress experience and coping strategies: A qualitative study. BMC Psychology, 11(1), 91. [Google Scholar] [CrossRef]
- Zhou, X., & Huang, S. (2023). A qualitative analysis of stress experiences and coping strategies in adolescents with Crohn’s disease. BMC Psychiatry, 23(1), 768. [Google Scholar] [CrossRef]
- Zhou, X., Meng, Y., Schmitt, H. S., Montag, C., Kendrick, K. M., & Becker, B. (2020). Cognitive flexibility mediates the association between early life stress and habitual behavior. Personality and Individual Differences, 167, 110231. [Google Scholar] [CrossRef]
- Zhou, Y., Zheng, W., & Gao, X. (2019). The relationship between the big five and cyberbullying among college students: The mediating effect of moral disengagement. Current Psychology, 38(5), 1162. [Google Scholar] [CrossRef]
- Zhu, X., Yan, W., Lin, X., Que, J., Huang, Y., Zheng, H., Liu, L., Deng, J., Lu, L., & Chang, S. (2022). The effect of perceived stress on cognition is mediated by personality and the underlying neural mechanism. Translational Psychiatry, 12(1), 199. [Google Scholar] [CrossRef] [PubMed]





| Models | χ2 | df | χ2/df | CFI | TLI | RMSEA | SRMR |
|---|---|---|---|---|---|---|---|
| 5-Factor Measurement Model | 393.340 | 80 | 4.917 | 0.965 | 0.975 | 0.051 | 0.014 |
| 4-Factor Model a | 2601.413 | 84 | 30.969 | 0.790 | 0.812 | 0.142 | 0.069 |
| 3-Factor Model b | 2916.287 | 87 | 33.521 | 0.769 | 0.796 | 0.148 | 0.070 |
| 2-Factor Model c | 6610.697 | 89 | 74.277 | 0.620 | 0.540 | 0.222 | 0.074 |
| 1-Factor Model d | 12,117.472 | 90 | 134.639 | 0.543 | 0.161 | 0.300 | 0.111 |
| Variables | 1 | 2 | 3 | 4 | 5 | 6 | 7 |
|---|---|---|---|---|---|---|---|
| 1. Gender | – | ||||||
| 2. Age | −0.049 | – | |||||
| 3. Stressors | 0.049 | 0.028 | – | ||||
| 4. Creative tendency | −0.082 ** | −0.083 ** | −0.292 *** | – | |||
| 5. Openness | 0.024 | −0.050 | −0.176 *** | 0.627 *** | – | ||
| 6. Stress perception | 0.132 ** | 0.088 ** | 0.434 *** | −0.574 *** | −0.309 *** | – | |
| 7. Cognitive flexibility | −0.079 ** | −0.125 ** | −0.270 *** | 0.642 *** | 0.441 *** | −0.523 *** | – |
| Mean | 1.52 | 13.65 | 34.93 | 120.35 | 39.42 | 38.95 | 44.23 |
| SD | 0.50 | 0.74 | 29.65 | 16.54 | 5.17 | 7.56 | 5.80 |
Disclaimer/Publisher’s Note: The statements, opinions and data contained in all publications are solely those of the individual author(s) and contributor(s) and not of MDPI and/or the editor(s). MDPI and/or the editor(s) disclaim responsibility for any injury to people or property resulting from any ideas, methods, instructions or products referred to in the content. |
© 2026 by the authors. Licensee MDPI, Basel, Switzerland. This article is an open access article distributed under the terms and conditions of the Creative Commons Attribution (CC BY) license.
Share and Cite
Wang, Y.; Liu, J.; Li, Y.; Duan, H. Are Adolescents with Higher Openness More Creative Under Stress? The Mediating Role of Stress Perception and Cognitive Flexibility. J. Intell. 2026, 14, 32. https://doi.org/10.3390/jintelligence14020032
Wang Y, Liu J, Li Y, Duan H. Are Adolescents with Higher Openness More Creative Under Stress? The Mediating Role of Stress Perception and Cognitive Flexibility. Journal of Intelligence. 2026; 14(2):32. https://doi.org/10.3390/jintelligence14020032
Chicago/Turabian StyleWang, Yifan, Jialing Liu, Yadan Li, and Haijun Duan. 2026. "Are Adolescents with Higher Openness More Creative Under Stress? The Mediating Role of Stress Perception and Cognitive Flexibility" Journal of Intelligence 14, no. 2: 32. https://doi.org/10.3390/jintelligence14020032
APA StyleWang, Y., Liu, J., Li, Y., & Duan, H. (2026). Are Adolescents with Higher Openness More Creative Under Stress? The Mediating Role of Stress Perception and Cognitive Flexibility. Journal of Intelligence, 14(2), 32. https://doi.org/10.3390/jintelligence14020032

