Dynamic Behavior of the Deepwater Flexible Pipeline during Pipe Laying Process
Abstract
1. Introduction
2. Mechanical Model
2.1. Basic Assumptions
2.2. Equations for Coupled Model
2.3. Pipelay Vessel Motion
2.4. Metocean Conditions
2.4.1. Wind Conditions
2.4.2. Current Field
2.4.3. Wave Conditions
2.5. Pipeline Model
3. Numerical Implementation and Dynamic Characteristic Analysis
3.1. Operating Parameters
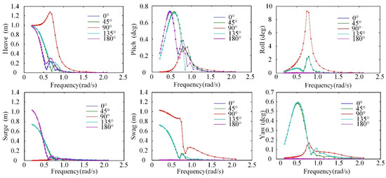
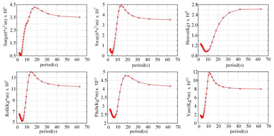
3.2. Vessel Response Parameter
3.3. Dynamic Simulation
4. Influencing Factors of Dynamic Behavior
4.1. Influence of Different Factors
4.2. Influence of Wave Direction
4.3. Influence of Wave Height
4.4. Influence of Spectral Peak Period
5. Conclusions
Author Contributions
Funding
Acknowledgments
Conflicts of Interest
References
- Heerema, E.P. Recent achievements and present trends in deepwater pipe-lay systems. In Proceedings of the Offshore Technology Conference, Houston, TX, USA, 2–5 May 2005. [Google Scholar] [CrossRef]
- Wang, F.; Lang, Y.; Li, J.; Luo, Y. Innovations in a submarine piggyback pipeline project in the East China Sea. Proc. Inst. Civ. Eng. Civ. Eng. 2018, 172, 69–75. [Google Scholar] [CrossRef]
- Punjarat, O.-A.; Chucheepsakul, S. Post-buckling analysis of a uniform self-weight beam with application to catenary riser. Int. J. Struct. Stab. Dyn. 2019, 19, 1950047. [Google Scholar] [CrossRef]
- Jackson, D.; Bullock, E.G.M.L. Versatility in Answering the Challenge of Deepwater Field Developments. In Proceedings of the Offshore Technology Conference, Houston, TX, USA, 2–5 May 2011. [Google Scholar] [CrossRef]
- Simpson, P.S.P. A novel method for coiled tubing installation. In Proceedings of the Offshore Technology Conference, Houston, TX, USA, 5–8 May 2008. [Google Scholar] [CrossRef]
- Ruan, W.; Bai, Y.; Zhang, T.; Cao, Y.; Liu, D. Safety assessment study of a planned offshore floating platform pipelaying test. Ships Offshore Struc. 2018, 13, 202–213. [Google Scholar] [CrossRef]
- Senthil, B.; Selvam, R.P. Dynamic analysis of a J-lay pipeline. Procedia Eng. 2015, 116, 730–737. [Google Scholar] [CrossRef]
- Konuk, I. Higher order approximations in stress analysis of submarine Pipelines. In Proceedings of the Energy-Sources Technology Conference and Exhibition, New Orleans, LA, USA, 3–7 February 1980. [Google Scholar] [CrossRef]
- Lenci, S.; Callegari, M. Simple analytical models for the J-lay problem. Acta Mech. 2005, 178, 23–39. [Google Scholar] [CrossRef]
- Brown, R.J.; Palmer, A. Developing innovative deep water pipeline construction techniques with physical models. J. Offshore Mech. Arct. 2007, 129, 56–60. [Google Scholar] [CrossRef]
- Brewer, W.V.; Dixon, O.A. Influence of lay large motions in a deepwater pipeline lail unler tension. J. Eng. Ind. 1970, 92, 595–604. [Google Scholar] [CrossRef]
- Winget, J.M.; Huston, R.L. Cable dynamics—A finite segment approach. Comput. Struct. 1976, 6, 475–480. [Google Scholar] [CrossRef]
- Santillan, S.T.; Virgin, L.N. Numerical and experimental analysis of the static behavior of highly deformed risers. Ocean Eng. 2011, 38, 1397–1402. [Google Scholar] [CrossRef]
- Hong, D.; Tang, J.; Ren, G. Dynamic modeling of mass-flowing linear medium with large amplitude displacement and rotation. J. Fluid Struct. 2011, 27, 1137–1148. [Google Scholar] [CrossRef]
- Gong, S.; Xu, P. The influence of sea state on dynamic behaviour of offshore pipelines for deepwater S-lay. Ocean Eng. 2016, 111, 398–413. [Google Scholar] [CrossRef]
- Zan, Y.; Yuan, L.; Huang, K.; Ding, S.; Wu, Z. Numerical simulations of dynamic pipeline-vessel response on a deepwater s-laying vessel. Processes 2018, 6, 261. [Google Scholar] [CrossRef]
- Wang, Y.; Tuo, H.; Li, L.; Zhao, Y.; Qin, H.; An, C. Dynamic simulation of installation of the subsea cluster manifold by drilling pipe in deep water based on OrcaFlex. J. Pet. Sci. Eng. 2018, 163, 67–78. [Google Scholar] [CrossRef]
- Zhang, Z.-L.; Wang, L.-Q.; Ci, H.-Y. An apparatus design and testing of a flexible pipe-laying in submarine context. Ocean Eng. 2015, 106, 386–395. [Google Scholar] [CrossRef]
- Sun, Q.; Zhou, H.; Gu, Q.; Yuan, H. Study on the wave loads and structural stresses of container ship. In Journal of Physics: Conference Series; IOP Publishing: Bristol, UK, 2018; Volume 1064. [Google Scholar] [CrossRef]
- Taghipour, R.; Perez, T.; Moan, T. Hybrid frequency–time domain models for dynamic response analysis of marine structures. Ocean Eng. 2008, 35, 685–705. [Google Scholar] [CrossRef]
- Wenshan, C. A review of researches on Ship’s wind load with comparison of the calculation methods. J. Shanghai Sci. Res. Inst. Shipp. 2013, 36, 1–6. [Google Scholar] [CrossRef]
- Longuet-Higgins, M.S. On the joint distribution of wave periods and amplitudes in a random wave field. Proc. R. Soc. Lond. A 1983, 389, 241–258. [Google Scholar] [CrossRef]
- Hasselmann, K.; Barnett, T.; Bouws, E.; Carlson, H.; Cartwright, D.; Enke, K.; Ewing, J.; Gienapp, H.; Hasselmann, D. Measurements of Wind-Wave Growth and Swell Decay during the Joint North Sea Wave Project (JONSWAP); Technical Report; Deutches Hydrographisches Institut: Heidelberg, Germany, 1973. [Google Scholar]
- Vaz, M.A.; Rizzo, N.A.S. A finite element model for flexible pipe armor wire instability. Mar. Struct. 2011, 24, 275–291. [Google Scholar] [CrossRef]
- Morooka, C.K.; Tsukada, R.I. Experiments with a steel catenary riser model in a towing tank. Appl. Ocean Res. 2013, 43, 244–255. [Google Scholar] [CrossRef]
- Morison, J.R.; Johnson, J.W.; Schaaf, S.A. The force exerted by surface waves on piles. J. Pet. Technol. 1950, 2, 149–154. [Google Scholar] [CrossRef]
- Zan, Y.-F.; Yang, C.; Han, D.-F.; Yuan, L.-H.; Li, Z.-G. A numerical model for pipelaying on nonlinear soil stiffness seabed. J. Hydrodyn. 2016, 28, 10–22. [Google Scholar] [CrossRef]
- Duan, M.L.; Wang, Y.; Estefen, S.; He, N.; Li, L.N.; Chen, B.M. An installation system of deepwater risers by an S-lay vessel. China Ocean Eng. 2011, 25, 139–148. [Google Scholar] [CrossRef]












| Parameter | Value | Parameter | Value |
|---|---|---|---|
| Depth | 3000 m | Seabed stiffness | 100 kN/m/m2 |
| Sea density | 1025 kg/m3 | Seabed damping | 1.0250 |
| Sea temperature | 15 °C | Surface current velocity | 1.028 m/s |
| Seabed current velocity | 0 m/s | Kinematic viscosity | 1.35 × 10−6 m2/s |
| Air kinematic viscosity | 15 × 10−6 m2/s | Spectral peak period | 6.1~16.2 s |
| Wave height | 1.25–2.5 m | Air density | 1.29 kg/m3 |
| Wave type | JONSWAP | Wind speed | 8.0–10.8 m/s |
| Parameter | Value | Parameter | Value |
|---|---|---|---|
| overall length | 204.65 m | Vertical spacing | 185.00 m |
| molded breadth | 39.20 m | molded depth | 14.00 m |
| structure draft | 11.00 m | operation draft | 7~9.5 m |
| Ship displacement | 59,101 T | deadweight | 34,850 T |
| metacenter height | 8.20 m | Height center | 13.60 m |
| Parameter | Value | Parameter | Value |
|---|---|---|---|
| inner diameter | 254 mm | Tensile stiffness | 3.09 × 108 N/m |
| outer diameter | 352.42 mm | Bending stiffness | 3.21 × 105 N·m |
| Line density | 4437 Kg/m3 | Young modulus | 6.04 × 106 MPa |
| allowable stressed | 31 MPa | Poisson’s ratio | 0.3 |
| Yield strength | 549 MPa | Yield strength | 414 MPa |
© 2020 by the authors. Licensee MDPI, Basel, Switzerland. This article is an open access article distributed under the terms and conditions of the Creative Commons Attribution (CC BY) license (http://creativecommons.org/licenses/by/4.0/).
Share and Cite
Wang, L.; Ju, M.; Xing, X.; Yun, F.; Wang, X. Dynamic Behavior of the Deepwater Flexible Pipeline during Pipe Laying Process. J. Mar. Sci. Eng. 2020, 8, 286. https://doi.org/10.3390/jmse8040286
Wang L, Ju M, Xing X, Yun F, Wang X. Dynamic Behavior of the Deepwater Flexible Pipeline during Pipe Laying Process. Journal of Marine Science and Engineering. 2020; 8(4):286. https://doi.org/10.3390/jmse8040286
Chicago/Turabian StyleWang, Liquan, Ming Ju, Xiaodong Xing, Feihong Yun, and Xiangyu Wang. 2020. "Dynamic Behavior of the Deepwater Flexible Pipeline during Pipe Laying Process" Journal of Marine Science and Engineering 8, no. 4: 286. https://doi.org/10.3390/jmse8040286
APA StyleWang, L., Ju, M., Xing, X., Yun, F., & Wang, X. (2020). Dynamic Behavior of the Deepwater Flexible Pipeline during Pipe Laying Process. Journal of Marine Science and Engineering, 8(4), 286. https://doi.org/10.3390/jmse8040286

