Relationship between the Persian Gulf Sea-Level Fluctuations and Meteorological Forcing
Abstract
1. Introduction
2. Materials and Methods
2.1. Study Area
2.2. Data Sources
3. Results
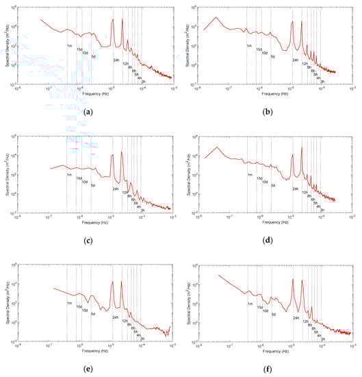
3.1. Spectral Analysis
3.2. Characteristics of the Tide
4. Discussion
4.1. Wavelet Analysis
4.2. Low-Pass Filtering
4.3. Cross-Correlation between Parameters
5. Conclusions
Author Contributions
Funding
Conflicts of Interest
References
- Pugh, D.; Woodworth, P. Sea-Level Science: Understanding Tides, Surges, Tsunamis and Mean Sea-Level Changes; Cambridge University Press: Cambridge, MA, USA, 2012; ISBN 9781139235778. [Google Scholar]
- Pattiaratchi, C.B. Coastal Tide Gauge Observations: Dynamic Processes Present in the Fremantle Record; Schiller, A., Brassington, G.B., Eds.; Operational Oceanography in the 21st Century; Springer: Dordrecht, The Netherlands, 2011; pp. 185–202. [Google Scholar]
- Woodworth, P.L.; Melet, A.; Marcos, M.; Ray, R.D.; Wöppelmann, G.; Sasaki, Y.N.; Cirano, M.; Hibbert, A.; Huthnance, J.M.; Monserrat, S. Forcing factors affecting sea level changes at the coast. Surv. Geophys. 2019, 40, 1351–1397. [Google Scholar] [CrossRef]
- Goring, D.G. Short-term variations in sea level (2–15 days) in the New Zealand region. N. Z. J. Mar. Freshw. Res. 1995, 29, 69–82. [Google Scholar] [CrossRef]
- Pasarić, M.; Pasarić, Z.; Orlić, M. Response of the Adriatic sea level to the air pressure and wind forcing at low frequencies (0.01–0.1 cpd). J. Geophys. Res. Ocean. 2000, 105, 11423–11439. [Google Scholar] [CrossRef]
- Raicich, F. On the contributions of atmospheric pressure and wind to daily sea level in the northern Adriatic Sea. Cont. Shelf Res. 2010, 30, 1575–1581. [Google Scholar] [CrossRef]
- Sammari, C.; Koutitonsky, V.G.; Moussa, M. Sea level variability and tidal resonance in the Gulf of Gabes, Tunisia. Cont. Shelf Res. 2006, 26, 338–350. [Google Scholar] [CrossRef]
- Pattiaratchi, C.; Eliot, M. Sea Level Variability in South-West Australia: From Hours to Decades. In Coastal Engineering 2008: (In 5 Volumes), Proceedings of the Thirty-First International Conference, Hamburg, Germany, 31 August–5 September 2008; World Scientific: Singapore, 2009; pp. 1186–1198. [Google Scholar]
- Afshar-Kaveh, N.; Ghaheri, A.; Chegini, V.; Nazarali, M. Prediction of nontidal sea level variations in the Persian Gulf using data assimilation techniques. Coast. Eng. J. 2018, 60, 340–355. [Google Scholar] [CrossRef]
- Siek, M.; Solomatine, D. Nonlinear Multi-Model Ensemble Prediction Using Dynamic Neural Network with Incremental Learning. In Proceedings of the 2011 International Joint Conference on Neural Networks, San Jose, CA, USA, 31 July–5 August 2011; IEEE: Piscataway, NJ, USA, 2011; pp. 2873–2880. [Google Scholar]
- Oddo, P.; Bonaduce, A.; Pinardi, N.; Guarnieri, A. Sensitivity of the Mediterranean sea level to atmospheric pressure and free surface elevation numerical formulation in NEMO. Geosci. Model. Dev. 2014, 7, 3001–3015. [Google Scholar] [CrossRef]
- Afshar-Kaveh, N.; Ghaheri, A.; Chegini, V.; Etemad-Shahidi, A.; Nazarali, M. Evaluation of different wind fields for storm surge modeling in the Persian Gulf. J. Coast. Res. 2017, 33, 596–606. [Google Scholar]
- Šepić, J.; Vilibić, I.; Jordà, G.; Marcos, M. Mediterranean Sea level forced by atmospheric pressure and wind: Variability of the present climate and future projections for several period bands. Glob. Planet. Chang. 2012, 86, 20–30. [Google Scholar] [CrossRef]
- Lin, N.; Emanuel, K. Grey swan tropical cyclones. Nat. Clim. Chang. 2016, 6, 106–111. [Google Scholar] [CrossRef]
- Pattiaratchi, C.B.; Wijeratne, E.M.S. Are meteotsunamis an underrated hazard? Philos. Trans. R. Soc. A 2015, 373. [Google Scholar] [CrossRef] [PubMed]
- Heidarzadeh, M.; Šepić, J.; Rabinovich, A.; Allahyar, M.; Soltanpour, A.; Tavakoli, F. Meteorological tsunami of 19 March 2017 in the Persian Gulf: Observations and analyses. Pure Appl. Geophys. 2019, 1–29. [Google Scholar] [CrossRef]
- NOAA’s FTP Servers. Available online: ftp://ftp.ncdc.noaa.gov/pub/data/noaa (accessed on 1 June 2019).
- (C3S). ERA5: Fifth Generation of ECMWF Atmospheric Reanalyses of the Global Climate. Copernicus Climate Change Service Climate Data Store (CDS). 2017. Available online: https://cds.climate.copernicus.eu/cdsapp#!/home (accessed on 1 June 2019).
- Walters, K.R.; Sjoberg, W.F. The Persian Gulf Region: A Climatological Study; FMFRP 0-54; Department of the Navy, United States Marine Corps: Washington, DC, USA, 1990.
- Thomson, R.E.; Emery, W.J. Data Analysis Methods in Physical Oceanography, 3rd ed.; Elsevier: Miami, FL, USA, 2014. [Google Scholar]
- Masselink, G.; Pattiaratchi, C.B. Characteristics of the sea breeze system in Perth, Western Australia, and its effect on the nearshore wave climate. J. Coast. Res. 2001, 173–187. [Google Scholar]
- Lisitzin, E. Sea-Level Changes; Elsevier: New York, USA, 1974; ISBN 0080870449. [Google Scholar]
- Rabinovich, A.B. Seiches and Harbour Oscillations. In Handbook of Coastal and Ocean Engineering; Kim, Y.C., Ed.; World Scientific Publishing Co.: Singapore, 2009; pp. 193–236. [Google Scholar]
- Codiga, D.L. Unified Tidal Analysis and Prediction Using the UTide Matlab Functions; Technical Report 2011-01; Graduate School of Oceanography, University of Rhode Island: Narragansett, RI, USA, 2011; 59p. [Google Scholar]
- Kantha, L.H.; Clayson, C.A. Numerical Models of Oceans and Oceanic Processes; Academic Press: Waltham, MA, USA, 2000. [Google Scholar]
- Grinsted, A.; Moore, J.C.; Jevrejeva, S. Application of the cross wavelet transform and wavelet coherence to geophysical time series. Nonlin. Process. Geophys. 2004, 11, 561–566. [Google Scholar] [CrossRef]
- Morlet, J.; Arens, G.; Fourgeau, E.; Glard, D. Wave propagation and sampling theory—Part I: Complex signal and scattering in multilayered media. Geophysics 1982, 47, 203–221. [Google Scholar] [CrossRef]
- Church, J.A.; Gregory, J.M.; Huybrechts, P.; Kuhn, M.; Lambeck, C.; Nhuan, M.T.; Qin, D.; Woodworth, P.L. Changes in sea level. In Climate Change 2001: The Scientific Basis: Contribution of Working Group I to the Third Assessment Report of the Intergovernmental Panel on Climate Change; Houghton, J.T., Ding, Y., Griggs, D.J., Noguer, M., van der Linden, P.J., Dai, X., Maskell, K., Johnson, C.A., Eds.; Cambridge University Press: Cambridge, UK; New York, NY, USA, 2001; Chapter 11; pp. 639–694. [Google Scholar]
- Eliot, M.J.; Pattiaratchi, C.B. Remote forcing of water levels by tropical cyclones in south-west Australia. Cont. Shelf Res. 2010, 30, 1549–1561. [Google Scholar] [CrossRef]















| Station Name | Start | Finish | Time Step (min) | Duration (days) |
|---|---|---|---|---|
| Deylam | 11 July 2010 | 11 February 2011 | 10 | 215 |
| Bushehr | 30 September 2008 | 30 September 2010 | 30 | 729 |
| Lavar | 24 June 2010 | 3 October 2010 | 10 | 101 |
| Kangan | 30 September 2008 | 30 September 2010 | 30 | 729 |
| Javad al-Aemmeh | 14 April 2010 | 5 July 2010 | 10 | 81 |
| Bostaneh | 25 November 2009 | 18 August 2010 | 10 | 265 |
© 2020 by the authors. Licensee MDPI, Basel, Switzerland. This article is an open access article distributed under the terms and conditions of the Creative Commons Attribution (CC BY) license (http://creativecommons.org/licenses/by/4.0/).
Share and Cite
Afshar-Kaveh, N.; Nazarali, M.; Pattiaratchi, C. Relationship between the Persian Gulf Sea-Level Fluctuations and Meteorological Forcing. J. Mar. Sci. Eng. 2020, 8, 285. https://doi.org/10.3390/jmse8040285
Afshar-Kaveh N, Nazarali M, Pattiaratchi C. Relationship between the Persian Gulf Sea-Level Fluctuations and Meteorological Forcing. Journal of Marine Science and Engineering. 2020; 8(4):285. https://doi.org/10.3390/jmse8040285
Chicago/Turabian StyleAfshar-Kaveh, Naghmeh, Mostafa Nazarali, and Charitha Pattiaratchi. 2020. "Relationship between the Persian Gulf Sea-Level Fluctuations and Meteorological Forcing" Journal of Marine Science and Engineering 8, no. 4: 285. https://doi.org/10.3390/jmse8040285
APA StyleAfshar-Kaveh, N., Nazarali, M., & Pattiaratchi, C. (2020). Relationship between the Persian Gulf Sea-Level Fluctuations and Meteorological Forcing. Journal of Marine Science and Engineering, 8(4), 285. https://doi.org/10.3390/jmse8040285

