Experimental and Estimation Studies of Resilient Modulus of Marine Coral Sand under Cyclic Loading
Abstract
1. Introduction
2. Materials and Methods
2.1. Test Materials and Sample Preparation
2.2. Test Methods
3. Results
3.1. Particle Breakage under Cyclic Loading
3.2. Resilient Behavior under Cyclic Loading
4. Discussion
5. Conclusions
- (1)
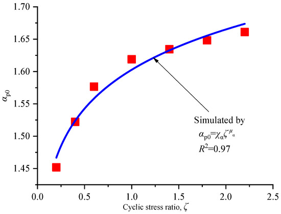
- The change of fractal dimension αc can reflect the rule of particle breakage evolution. The αc of coral sand shows a tendency of almost maintaining stable and then increasing rapidly with the increase of mean effective stress p0 under each cyclic stress ratio ζ. There is a threshold of p0, when the p0 exceed s this threshold, αc will increase significantly with the increase of p0. The actual project needs to pay attention to the adverse effect of the rapid increase of particle breakage on the engineering safety when p0 is greater than the threshold.
- (2)
- The resilient modulus Mr of coral sand under cyclic loading first increases with the number of cycles N, and then due to the continuous accumulation of particle breakage, the Mr will decrease to some extent in the later stage as N increases. Under the long-term cyclic loading, the Mr will finally tend to a stable value. The increase of p0 has a beneficial effect on the improvement of the Mr, and the increase of p0 will lead to the increase of Mr uniformly. The increase of ζ has both beneficial and detrimental effects on the improvement of the Mr, and the increase of ζ will cause the increase or decrease of Mr. The effect of ζ on the resilient modulus of coral sand is different from that of terrestrial granular materials, which is caused by the special material properties of coral sand.
- (3)
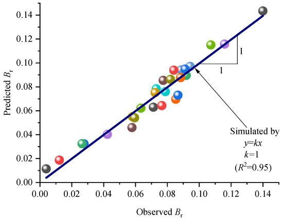
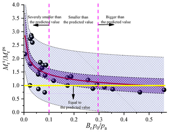
- A new empirical prediction model of the Mr considering particle breakage was established, which can better predict the Mr of coral sand in the whole stress interval. Particle breakage has a significant effect on the prediction model of the Mr. It was found that if the particle breakage was not considered as an influencing factor in the empirical model, the predicted value of the Mr would deviate greatly from the measured value. Therefore, it is necessary to consider the effect of particle breakage when establishing a resilient modulus prediction model for the coral sand.
Author Contributions
Funding
Acknowledgments
Conflicts of Interest
References
- Wang, X.; Jiao, Y.; Wang, R.; Hu, M.; Meng, Q.; Tian, F. Engineering characteristics of the calcareous sand in Nansha Islands, South China Sea. Eng. Geol. 2011, 120, 40–47. [Google Scholar] [CrossRef]
- Shahnazari, H.; Rezvani, R. Effective parameters for the particle breakage of calcareous sands: An experimental study. Eng. Geol. 2013, 159, 98–105. [Google Scholar] [CrossRef]
- Wang, X.Z.; Wang, X.; Jin, Z.; Zhu, C.; Wang, R.; Meng, Q. Investigation of engineering characteristics of calcareous soils from fringing reef. Ocean Eng. 2017, 134, 77–86. [Google Scholar] [CrossRef]
- Jafarian, Y.; Javdanian, H.; Haddad, A. Strain-dependent dynamic properties of Bushehr siliceous-carbonate sand: Experimental and comparative study. Soil Dyn. Earthq. Eng. 2018, 107, 339–349. [Google Scholar] [CrossRef]
- Yang, S.; Liu, W. Research on Unconstrained Compressive Strength and Microstructure of Calcareous Sand with Curing Agent. J. Mar. Sci. Eng. 2019, 7, 294. [Google Scholar] [CrossRef]
- Wu, Q.; Ding, X.; Zhang, Y.; Chen, Z. Comparative Study on Seismic Response of Pile Group Foundation in Coral Sand and Fujian Sand. J. Mar. Sci. Eng. 2020, 8, 189. [Google Scholar] [CrossRef]
- Shahnazari, H.; Rezvani, R.; Tutunchian, M.A. Post-cyclic volumetric strain of calcareous sand using hollow cylindrical torsional shear tests. Soil Dyn. Earthq. Eng. 2019, 124, 162–171. [Google Scholar] [CrossRef]
- Patel, D.V.; Kumar, R.; Chauhan, K.A.; Patel, S. Experimental and Modeling Studies of Resilient Modulus and Permanent Strain of Stabilized Fly Ash. J. Mater. Civil Eng. 2019, 31, 06019005. [Google Scholar] [CrossRef]
- Chen, W.; Jeng, D.; Chen, W.; Chen, G.; Zhao, H. Seismic-induced dynamic responses in a poro-elastic seabed: Solutions of different formulations. Soil Dyn. Earthq. Eng. 2020, 131, 106021. [Google Scholar] [CrossRef]
- Han, Z.; Vanapalli, S.K. Relationship between resilient modulus and suction for compacted subgrade soils. Eng. Geol. 2016, 211, 85–97. [Google Scholar] [CrossRef]
- Sun, Q.; Indraratna, B.; Nimbalkar, S. Deformation and degradation mechanisms of railway ballast under high frequency cyclic loading. J. Geotech. Geoenviron. 2016, 142, 04015056. [Google Scholar] [CrossRef]
- Miao, Y.; Huang, Y.; Zhang, Q.; Wang, L. Effect of temperature on resilient modulus and shear strength of unbound granular materials containing fine RAP. Constr. Build. Mater. 2016, 124, 1132–1141. [Google Scholar] [CrossRef]
- Hicks, R.G. Factors Influencing the Resilient Properties of Granular Materials. Ph.D. Thesis, Univ.of California, Berkeley, Berkeley, CA, USA, 1970. [Google Scholar]
- Lackenby, J.; Indraratna, B.; McDowell, G.; Christie, D. Effect of confining pressure on ballast degradation and deformation under cyclic triaxial loading. Geotechnique 2007, 57, 527–536. [Google Scholar] [CrossRef]
- Indraratna, B.; Biabani, M.M.; Nimbalkar, S. Behavior of geocell-reinforced subballast subjected to cyclic loading in plane-strain condition. J. Geotech. Geoenviron. 2015, 141, 04014081. [Google Scholar] [CrossRef]
- Donohue, S.; Osullivan, C.; Long, M. Particle breakage during cyclic triaxial loading of a carbonate sand. Geotechnique 2009, 59, 477–482. [Google Scholar] [CrossRef]
- Indraratna, B.; Lackenby, J.; Christie, D. Effect of confining pressure on the degradation of ballast under cyclic loading. Geotechnique 2005, 55, 325–328. [Google Scholar] [CrossRef]
- Indraratna, B.; Tennakoon, N.; Nimbalkar, S.; Rujikiatkamjorn, C. Behavior of clay fouled ballast under drained triaxial testing. Geotechnique 2013, 63, 410–419. [Google Scholar] [CrossRef]
- Cao, Z.; Chen, J.; Cai, Y.; Gu, C.; Wang, J. Effects of moisture content on the cyclic behavior of crushed tuff aggregates by large-scale tri-axial test. Soil Dyn. Earthq. Eng. 2017, 95, 1–8. [Google Scholar] [CrossRef]
- Cao, Z.; Chen, J.; Cai, Y.; Zhao, L.; Gu, C.; Wang, J. Long-term behavior of clay-fouled unbound granular materials subjected to cyclic loadings with different frequencies. Eng. Geol. 2018, 243, 118–127. [Google Scholar] [CrossRef]
- Chen, W.; Yin, J.; Feng, W.; Borana, L.; Chen, R. Accumulated permanent axial strain of a subgrade fill under cyclic high-speed railway loading. Int. J. Geomech. 2018, 18, 04018018. [Google Scholar] [CrossRef]
- Uzan, J. Characterization of granular material. Transp. Res. Rec. 1985, 1022, 52–59. [Google Scholar]
- Jafarian, Y.; Javdanian, H. Small-strain dynamic properties of siliceous-carbonate sand under stress anisotropy. Soil Dyn. Earthq. Eng. 2020, 131, 106045. [Google Scholar] [CrossRef]
- Zheng, Q.; Xia, T.; Ding, Z.; He, S. The effect of periodic intermittency on the cyclic behavior of marine sedimentary clay. Mar. Georesour. Geotechnol. 2018, 15, 1–16. [Google Scholar] [CrossRef]
- Cai, Y.; Hao, B.; Gu, C.; Wang, J.; Pan, L. Effect of anisotropic consolidation stress paths on the undrained shear behavior of reconstituted Wenzhou clay. Eng. Geol. 2018, 242, 23–33. [Google Scholar] [CrossRef]
- Zhi, D.; Kong, B.; Wei, X.; Zhang, M.; Xu, B.; Zhao, F. Laboratory testing to research the micro-structure and dynamic characteristics of frozen-thawed marine soft soil. J. Mater. Civil Eng. 2019, 7, 85. [Google Scholar] [CrossRef]
- Lin, B.; Zhang, F.; Feng, D.; Tang, K.; Feng, X. Accumulative plastic strain of thawed saturated clay under long-term cyclic loading. Eng. Geol. 2017, 231, 230–237. [Google Scholar] [CrossRef]
- Wang, J.; Guo, L.; Cai, Y.; Xu, C.; Gu, C. Strain and pore pressure development on soft marine clay in triaxial tests with a large number of cycles. Ocean Eng. 2013, 74, 125–132. [Google Scholar] [CrossRef]
- Ren, X.; Xu, Q.; Xu, C.; Teng, J.; Lv, S. Undrained pore pressure behavior of soft marine clay under long-term low cyclic loads. Ocean Eng. 2018, 150, 60–68. [Google Scholar] [CrossRef]
- Guo, L.; Cai, Y.; Jardine, R.J.; Yang, Z.X.; Wang, J. Undrained behaviour of intact soft clay under cyclic paths that match vehicle loading conditions. Can. Geotech. J. 2018, 55, 90–106. [Google Scholar] [CrossRef]
- Hardin, B.O. Crushing of Soil Particles. J. Geotech. Geoenviron. 1985, 111, 1177–1192. [Google Scholar] [CrossRef]
- Einav, I. Breakage mechanics—Part I: Theory. J. Mech. Phys. Solids. 2007, 55, 1274–1297. [Google Scholar] [CrossRef]
- Malla, R.B.; Joshi, S. Subgrade resilient modulus prediction models for coarse and fine-grained soils based on long-term pavement performance data. Int. J. Pavement Eng. 2008, 9, 431–444. [Google Scholar] [CrossRef]
- Nazzal, M.D.; Mohammad, L.N. Estimation of Resilient Modulus of Subgrade Soils for Design of Pavement Structures. J. Mater. Civil Eng. 2010, 22, 726–734. [Google Scholar] [CrossRef]
- Witczak, M.W.; Uzan, J. The Universal Airport Pavement Design System: Report of IV: Granular Material Characterization; College of Engineering, University of Maryland: College Park, MD, USA, 1988. [Google Scholar]
- Yau, A.; Von Quintus, H. Study of Laboratory Resilient Modulus Test Data and Response Characteristics. Final Rep. FHWA-RD-02-051; Federal Highway Administration, U.S. Dept. of Transportation: Washington, DC, USA, 2002.















| Property | Coral Sand |
|---|---|
| Specific gravity (Gs) | 2.75 |
| Maximum void ratio (emax) | 1.107 |
| Minimum void ratio (emin) | 0.971 |
| Coefficient of uniformity (Cu) | 1.793 |
| Coefficient of curvature (Cc) | 0.781 |
| Relative density of samples (Dr) | 80% |
| Initial Mean Effective Stress, p0(kPa) | Confining Pressure, σ3(kPa) | Initial Static Stress Ratio, ηc | Cyclic Stress Ratio, ζ |
|---|---|---|---|
| 40 | 26.7 | 1.0 | 1.0, 1.4, 1.8, 2.2 |
| 70 | 46.7 | 1.0 | 1.0, 1.4, 1.8, 2.2 |
| 100 | 66.8 | 1.0 | 0.2, 0.4, 0.6, 1.0, 1.8 |
| 200 | 133.3 | 1.0 | 0.2, 0.4, 0.6, 1.0, 1.8 |
| 300 | 150.0 | 1.0 | 0.2, 0.4, 0.6, 1.0, 1.8 |
| 400 | 266.7 | 1.0 | 0.4, 0.6, 1.0, 1.8 |
© 2020 by the authors. Licensee MDPI, Basel, Switzerland. This article is an open access article distributed under the terms and conditions of the Creative Commons Attribution (CC BY) license (http://creativecommons.org/licenses/by/4.0/).
Share and Cite
He, S.-H.; Zhang, Q.-F.; Ding, Z.; Xia, T.-D.; Gan, X.-L. Experimental and Estimation Studies of Resilient Modulus of Marine Coral Sand under Cyclic Loading. J. Mar. Sci. Eng. 2020, 8, 287. https://doi.org/10.3390/jmse8040287
He S-H, Zhang Q-F, Ding Z, Xia T-D, Gan X-L. Experimental and Estimation Studies of Resilient Modulus of Marine Coral Sand under Cyclic Loading. Journal of Marine Science and Engineering. 2020; 8(4):287. https://doi.org/10.3390/jmse8040287
Chicago/Turabian StyleHe, Shao-Heng, Qiong-Fang Zhang, Zhi Ding, Tang-Dai Xia, and Xiao-Lu Gan. 2020. "Experimental and Estimation Studies of Resilient Modulus of Marine Coral Sand under Cyclic Loading" Journal of Marine Science and Engineering 8, no. 4: 287. https://doi.org/10.3390/jmse8040287
APA StyleHe, S.-H., Zhang, Q.-F., Ding, Z., Xia, T.-D., & Gan, X.-L. (2020). Experimental and Estimation Studies of Resilient Modulus of Marine Coral Sand under Cyclic Loading. Journal of Marine Science and Engineering, 8(4), 287. https://doi.org/10.3390/jmse8040287

