Robust Classification Method for Underwater Targets Using the Chaotic Features of the Flow Field
Abstract
1. Introduction
2. Signal Acquisition and Processing Methods
2.1. Physical Model
2.2. Numerical Model and Validation
2.3. Signal Fusion Method
3. Target Recognition Strategy
3.1. Feature Selection for Shape Classification
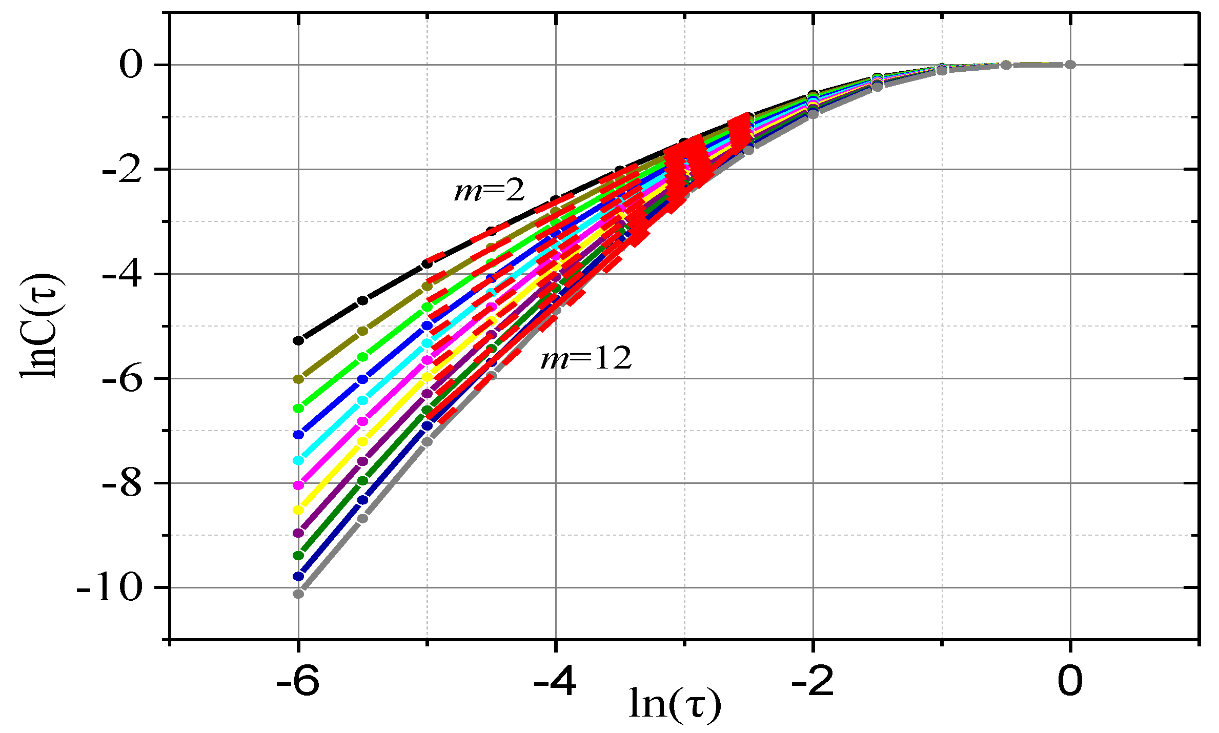
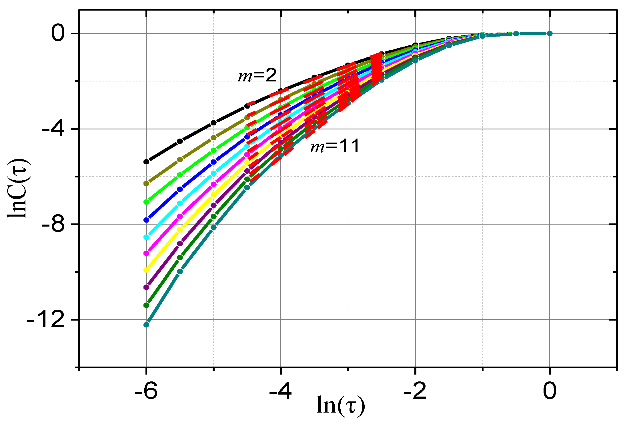
3.1.1. Phase Space Reconstruction
- The optimal delay time will correspond to the first local minimum value times of ;
- The embedding dimension can be obtained from the delay time window , where , and correspond to the minimum value of the quantity .
3.1.2. The Largest Lyapunov Exponent (LLE)
3.1.3. The Saturated Correlation Dimension (SCD)
3.1.4. The Kolmogorov Entropy (KE)
3.2. Feature Selection for Incidence Angle Classification
3.2.1. Analysis of the Chaotic Features
3.2.2. Analysis of the PSD Features
4. Numerical Experiments and Discussion
5. Conclusions
- The flow field around the circular target is periodic, and the systems around the triangle target and square target are chaotic systems. The chaotic features of the pressure signal time series in different flow fields have no overlap, which implies that CF can be used to classify the shapes of targets.
- The relationship between CF and incidence angles is not monotonic, and CF cannot be used to recognize the incidence angles of square targets. However, the number, amplitude, and position of wave crests on the PSD curves have no overlap, and PSD is able to distinguish the incidence angles.
- A two-step SVM with a polynomial kernel was built. It can achieve better performance under the compounded features CF-PSD and has a recognition rate of 96.73% for shape classification and a recognition rate of 92.48% for incidence angle recognition.
Author Contributions
Funding
Acknowledgments
Conflicts of Interest
References
- Myint, M.; Yonemori, K.; Lwin, K.N.; Yanou, A.; Minami, M. Dual-eyes Vision-based Docking System for Autonomous Underwater Vehicle: An Approach and Experiments. J. Intell. Robot. Syst. 2017, 92, 159–186. [Google Scholar] [CrossRef]
- Jebelli, A.; Yagoub, M.C.E.; Dhilon, B.S. Design and Control of a Self-balancing Autonomous Underwater Vehicle with Vision and Detection Capabilities. J. Mar. Sci. Res. Dev. 2018, 8, 1000245. [Google Scholar]
- Isakson, M.J. Through-the-sensor Sediment Characterization from Autonomous Underwater Vehicle Sonar Systems. J. Acoust. Soc. Am. 2017, 141, 4042. [Google Scholar] [CrossRef]
- King, P.; Anstey, B.; Vardy, A. Sonar Image Registration for Localization of an Underwater Vehicle. J. Ocean Technol. 2017, 12, 68–90. [Google Scholar]
- Emberton, S.; Chittka, L.; Cavallaro, A. Underwater Image and Video Dehazing with Pure Haze Region Segmentation. Comput. Vis. Image Und. 2017, 168, 145–156. [Google Scholar] [CrossRef]
- Li, C.; Guo, J. Underwater Image Enhancement by Dehazing and Color Correction. J. Electron. Imaging 2015, 24, 033023. [Google Scholar] [CrossRef]
- Sato, M.; Asaoka, R.; Nakae, M.; Sasaki, K. The Lateral Line System and Its Innervation in Lateolabrax Japonicus (Percoidei Incertae Sedis) and Two Apogonids (Apogonidae), with Special Reference to Superficial Neuromasts (Teleostei: Percomorpha). Ichthyol. Res. 2017, 64, 308–330. [Google Scholar] [CrossRef]
- McHenry, M.J.; Feitl, K.E.; Strother, J.A.; Trump, W.J.V. Larval Zebrafish Rapidly Sense the Water Flow of a Predator’s strike. Biol. Lett. 2009, 5, 477–479. [Google Scholar] [CrossRef]
- Karine, F.; Eric, P.; Christophe, B.; Vandewalle, N.; Vandewalle, P. Fish Lateral System is Required for Accurate Control of Shoaling Behaviour. Anim. Behav. 2010, 79, 679–687. [Google Scholar]
- Hildur, K.; Cole, Z.; Dhananjay, B.; Palsson, E.; Nogare, D.D.; Chitnis, A.B.; Keshet, L.E. Polarization and Migration in the Zebrafish Posterior Lateral Line System. PLOS Comput. Biol. 2017, 13, 1005451. [Google Scholar]
- Fernandez, V.I. Performance Analysis for Lateral Line Inspired Sensor Arrays. Ph.D. Thesis, Massachusetts Institute of Technology and Woods Hole Oceanographic Institution, Boston, MA, USA, 2011. [Google Scholar]
- Jiang, Y.G.; Ma, Z.Q.; Fu, J.C.; Zhang, D.Y. Development of a Flexible Artificial Lateral Line Canal System for Hydrodynamic Pressure Detection. Sensors 2017, 17, 1220. [Google Scholar] [CrossRef] [PubMed]
- Han, Z.W.; Liu, L.P.; Wang, K.J.; Song, H.L.; Chen, D.B.; Wang, Z.; Niu, S.C.; Zhang, J.Q.; Ren, L.Q. Artificial Hair-like Sensors Inspired from Nature: A Review. J. Bionic Eng. 2018, 15, 409–434. [Google Scholar] [CrossRef]
- Yang, Y.C.; Nguyen, N.; Chen, N.N.; Lockwood, M.; Tucker, C.; Hui, H.; Bleckmann, H.; Liu, C.; Jones, D.L. Artificial Lateral Line with Biomimetic Neuromasts to Emulate Fish Sensing. Bioinspir. Biomim. 2010, 5, 016001. [Google Scholar] [CrossRef] [PubMed]
- Liu, G.J.; Wang, M.M.; Wang, A.Y.; Wang, S.R.; Yang, T.T.; Malekian, R.; Li, Z.X. Research on Flow Field Perception Based on Artificial Lateral Line Sensor System. Sensors 2018, 18, 838. [Google Scholar] [CrossRef] [PubMed]
- Zhou, H.; Hu, T.J.; Low, K.H.; Shen, L.C.; Ma, Z.W.; Wang, G.M.; Xu, H.J. Bio-inspired Flow Sensing and Prediction for Fish-like Undulating Locomotion: A CFD-aided Approach. J. Bionic Eng. 2015, 12, 406–417. [Google Scholar] [CrossRef]
- Boulogne, L.H.; Wolf, B.J.; Wiering, M.A.; Netten, S.M.V. Performance of Neural Networks for Localizing Moving Objects with an Artificial Lateral Line. Bioinspir. Biomim. 2017, 12, 056009. [Google Scholar] [CrossRef]
- Sarlo, R.; Najem, J.S.; Leo, D.J. Flow Field Sensing with Bio-inspired Artificial Hair Cell Arrays. Sens. Actuator B Chem. 2016, 236, 805–814. [Google Scholar] [CrossRef]
- Dusek, J.E.; Triantafyllou, M.S.; Lang, J.H. Piezoresistive Foam Sensor Arrays for Marine Applications. Sens. Actuator A Phys. 2016, 248, 173–183. [Google Scholar] [CrossRef]
- Delamare, J.; Sanders, R.G.P.; Krijnen, G.J.M. 3D Printed Biomimetic Whisker-based Sensor with Co-planar Capacitive Sensing. In Proceedings of the 2016 IEEE International Conference on Sensors, Orlando, FL, USA, 30 October–3 November 2016. [Google Scholar]
- Zhu, P.; Ma, B.; Jiang, C.; Deng, J.; Wang, Y. Improved Sensitivity of Micro Thermal Sensor for Underwater Wall Shear Stress Measurement. Microsyst. Technol. 2015, 21, 785–789. [Google Scholar] [CrossRef]
- Djapic, V.; Dong, W.J.; Bulsara, A.; Anderson, G. Challenges in Underwater Navigation: Exploring Magnetic Sensors Anomaly Sensing and Navigation. In Proceedings of the 2016 IEEE International Conference on Sensors Applications Symposium, Zadar, Croatia, 13–15 April 2015. [Google Scholar]
- Salmanpour, M.S.; Sharif, K.Z.; Aliabadi, M. Impact Damage Localisation with Piezoelectric Sensors under Operational and Environmental Conditions. Sensors 2017, 17, E1178. [Google Scholar] [CrossRef]
- Campos, R.; Gracias, N.; Ridao, P. Underwater Multi-vehicle Trajectory Alignment and Mapping Using Acoustic and Optical Constraints. Sensors 2016, 16, 387. [Google Scholar] [CrossRef] [PubMed]
- Abdulsadda, A.T.; Tan, X. Nonlinear Estimation-based Dipole Source Localization for Artificial Lateral Line Systems. Bioinspir. Biomim. 2013, 8, 026005. [Google Scholar] [CrossRef]
- Abdulsadda, A.T.; Tan, X. An Artificial Lateral Line System Using IPMC Sensor Arrays. Inter. J. Smart Nano Mater. 2012, 3, 226–242. [Google Scholar] [CrossRef]
- Dagamseh, A.M.K.; Lammerink, T.S.J.; Kolster, M.L.; Bruinink, C.M.; Wiegerink, R.J.; Krijnen, G.J.M. Dipole-source Localization Using Biomimetic Flow-sensor Arrays Positioned as Lateral-line System. Sens. Actuator A Phys. 2010, 162, 355–360. [Google Scholar] [CrossRef]
- Salumae, T.; Kruusmaa, M. Flow-relative Control of an Underwater Robot. Proc. R. Soc. A Math. Phys. 2013, 469, 1–19. [Google Scholar] [CrossRef]
- Venturelli, R.; Akanyeti, O.; Visentin, F.; Jezov, J.; Chambers, L.; Toming, G.; Brown, J.; Kruusmaa, M.; Megill, W.M.; Fiorini, P. Hydrodynamic Pressure Sensing with an Artificial Lateral Line in Steady and Unsteady Flows. Bioinsper. Biomim. 2012, 7, 036004. [Google Scholar] [CrossRef]
- Abdulsadda, A.T.; Tan, X. Underwater Tracking of a Moving Dipole Source Using an Artificial Lateral Line: Algorithm and Experimental Validation with Ionic Polymer-metal Composite Flow Sensors. Smart Mater. Struct. 2013, 22, 045010. [Google Scholar] [CrossRef]
- Humphrey, J.A. Drag Force Acting on a Neuromast in the Fish Lateral Line Trunk Canal. II. Analytical Modelling of Parameter Dependencies. J. R. Soc. Interface 2009, 6, 641–653. [Google Scholar] [CrossRef]
- Kumar, P.S.; Vendhan, C.P.; Krishnankutty, P. Study of Water Wave Diffraction Around Cylinders Using a Finite-element Model of Fully Nonlinear Potential Flow Theory. Ships Offshore Struct. 2017, 12, 276–289. [Google Scholar] [CrossRef]
- Fuentes-Perez, J.F.; Uhtan, J.A.; Baeza, R.C.; Musall, M.; Toming, G.; Muhammad, N. Current Velocity Estimation Using a Lateral Line Probe. Ecol. Eng. 2015, 85, 296–300. [Google Scholar] [CrossRef]
- Xu, D.; Lv, Z.; Liu, J.; Wang, J. A novel artificial lateral line sensing system of robotic fish based on BP neural network. In Proceedings of the 2017 12th IEEE Conference on Industrial Electronics and Applications, Siem Reap, Cambodia, 18–20 June 2017. [Google Scholar]
- Varon, E.; Eulalie, Y.; Edwige, S.; Gilotte, P.; Aider, J.L. Chaotic Dynamics of Large-scale Structures in a Turbulent Wake. Phys. Rev. Fluids 2017, 2, 034604. [Google Scholar] [CrossRef]
- Narayanan, S.; Gunaratne, G.H.; Hussain, F. A Dynamical Systems Approach to the Control of Chaotic Dynamics in a Spatiotemporal Jet Flow. Chaos 2013, 23, 033133. [Google Scholar] [CrossRef]
- Lin, X.H.; Wu, J.G.; Qin, Q. A Novel Obstacle Localization Method for an Underwater Robot Based on the Flow Field. J. Mar. Sci. Eng. 2019, 7, 437. [Google Scholar] [CrossRef]
- Bao, Y.; Zhou, D.; Zhao, Y.J. A Two Step Taylor-characteristic-based Galerkin Method for Incompressible Flows and Its Application to Flow over Triangular Cylinder with Different Incidence Angles. Int. J. Numer. Meth. Fluids 2010, 62, 1181–1208. [Google Scholar] [CrossRef]
- Zhao, X.Z.; Cheng, D.; Zhang, D.K.; Hu, Z.J. Numerical Study of Low-Reynolds-number Flow Past Two Tandem Square Cylinders with Varying Incident Angles of the Downstream One Using a CIP-based Model. Ocean Eng. 2016, 121, 414–421. [Google Scholar] [CrossRef]
- Yoon, D.H.; Yang, K.S.; Choi, C.B. Flow Past a Square Cylinder with an Angle of Incidence. Phys. Fluids 2010, 22, 043603. [Google Scholar] [CrossRef]
- Takens, F. Detecting Strange Attractors in Turbulence. In Dynamical Systems and Turbulence; Springer: Berlin, Germany, 1981; pp. 154–196. [Google Scholar]
- Kim, H.S.; Eykholt, R.; Salas, J.D. Nonlinear Dynamics, Delay times, and Embedding Windows. Physica D 1999, 127, 48–60. [Google Scholar] [CrossRef]
- Song, W.Q.; Deng, S.; Yang, J.; Cheng, Q. Tool Wear Detection Based on Duffing-Holmes Oscillator. Math. Probl. Eng. 2008, 2008, 510406. [Google Scholar] [CrossRef]
- Li, Q.; Liang, S.Y.; Yang, J.; Li, B. Long Range Dependence Prognostics for Bearing Vibration Intensity Chaotic Time Series. Entropy 2016, 18, 23. [Google Scholar] [CrossRef]
- Wolf, A.; Swift, J.B.; Swinney, H.L.; Vastano, J.A. Determining Lyapunov Exponents from a Time Series. Physica D 1985, 16, 285–317. [Google Scholar] [CrossRef]
- Vastano, J.A.; Kostelich, E.J. Comparison of algorithms for determining Lyapunov exponents from experimental data. In Dimensions and Entropies in Chaotic Systems; Gottfried, M.K., Ed.; Springer: Berlin/Heidelberg, Germany, 1986; pp. 100–107. [Google Scholar]
- Grassberger, P.; Procaccia, I. Dimensions and Entropies of Strange Attractors from a Fluctuating Dynamics Approach. Physica D 1984, 13, 34–54. [Google Scholar] [CrossRef]
- Grassberger, P.; Procaccia, I. Measuring the Strangeness of Strange Attractors. Physica D 1983, 9, 189–208. [Google Scholar] [CrossRef]
- Wang, S.; Zeng, X. Robust Underwater Noise Targets Classification Using Auditory Inspired Time–frequency Analysis. Appl. Acoust. 2014, 78, 68–76. [Google Scholar] [CrossRef]
- Tang, F.; Adam, L.; Si, B. Group Feature Selection with Multiclass Support Vector Machine. Neurocomputing 2018, 317, 42–49. [Google Scholar] [CrossRef]

















| Case | Number of Elements | Percentage Changes/% | ||
|---|---|---|---|---|
| Grid 1 | 0.0001H | 8.27 × 106 | 0.139 | \ |
| Grid 2 | 0.001H | 6.26 × 105 | 0.142 | 2.1 |
| Grid 3 | 0.01H | 4.82 × 104 | 0.153 | 7.2 |
| RR/% | Circular | Triangular | Square | AR/% | ||||||||
|---|---|---|---|---|---|---|---|---|---|---|---|---|
| 0° | 15° | 30° | 45° | 60° | 0° | 10° | 20° | 30° | 40° | |||
| ε1 | 100 | 90.2 | 100 | 96.73 | ||||||||
| ε2 | \ | 95.4 | 89.7 | 92.3 | 95.7 | 93.8 | 94.6 | 88.5 | 87.3 | 91.7 | 95.8 | 92.48 |
© 2020 by the authors. Licensee MDPI, Basel, Switzerland. This article is an open access article distributed under the terms and conditions of the Creative Commons Attribution (CC BY) license (http://creativecommons.org/licenses/by/4.0/).
Share and Cite
Lin, X.; Wu, J.; Qin, Q. Robust Classification Method for Underwater Targets Using the Chaotic Features of the Flow Field. J. Mar. Sci. Eng. 2020, 8, 111. https://doi.org/10.3390/jmse8020111
Lin X, Wu J, Qin Q. Robust Classification Method for Underwater Targets Using the Chaotic Features of the Flow Field. Journal of Marine Science and Engineering. 2020; 8(2):111. https://doi.org/10.3390/jmse8020111
Chicago/Turabian StyleLin, Xinghua, Jianguo Wu, and Qing Qin. 2020. "Robust Classification Method for Underwater Targets Using the Chaotic Features of the Flow Field" Journal of Marine Science and Engineering 8, no. 2: 111. https://doi.org/10.3390/jmse8020111
APA StyleLin, X., Wu, J., & Qin, Q. (2020). Robust Classification Method for Underwater Targets Using the Chaotic Features of the Flow Field. Journal of Marine Science and Engineering, 8(2), 111. https://doi.org/10.3390/jmse8020111
