Abstract
Passive acoustic monitoring plays a critical role in the study of marine species, particularly in understanding the behavior of deep-diving endangered species like the Mediterranean sperm whale (Physeter macrocephalus). This paper presents an effective method for tracking sperm whales using synchronized acoustic data from four hydrophones. The tracking method estimates the location of sperm whales by measuring the time difference of arrival of detected clicks. The direction of arrival of the clicks and their reflections on the surface are then reconstructed to determine the position of the whale. The method was used to perform the first acoustic tracking study of sperm whale dives recorded in the Central Mediterranean Sea by the NEMO-ODE cabled observatory, deployed at a depth of 2100 m in the Gulf of Catania. The data analyzed in this study were collected in August and October 2005 and include 49 five-minute recordings with the presence of sperm whale clicks. A Monte Carlo simulation revealed an estimated relative error of 2.7% in depth and 1.9% in the horizontal distance for the positioning of clicks. The algorithm successfully reconstructed 64 tracks of diving sperm whales and demonstrated its potential for monitoring within a 12 km radius. Moreover, a simultaneous tracking of a vessel and a sperm whale was performed, illustrating how the method can be used to study potential changes during dives in the presence of vessels. This method offers a reliable, non-invasive approach to studying sperm whale behavior, ecology, and interaction with anthropogenic activities.
1. Introduction
Cetaceans are the only mammals that spend their entire lives in the marine environment. Deep-diving toothed whales (i.e., odontocetes), such as the sperm whale (Physeter macrocephalus), have leveraged the physical properties of the aquatic environment, becoming highly dependent on sound and hearing as their primary means for communication and for understanding their surroundings through echolocation [1]. These sounds can be detected and exploited to study cetacean behavior in their natural environment using Passive Acoustic Monitoring (PAM), a method that passively records sounds emitted by animals without interfering with their natural behaviors [2].
In recent years, several studies [3,4,5,6,7,8,9] have demonstrated the effectiveness of PAM for sperm whale tracking, often employing hydrophone arrays with element spacing on the order of tens to hundreds of meters. These approaches have provided valuable insights into sperm whale behavior and distribution, including their vocalization patterns, movement dynamics, and interactions with environmental factors. While large-scale arrays offer advantages in wide-area monitoring, our study adopts a more compact configuration, with hydrophone spacing of approximately one meter. This setup allows for determination of the direction of arrival of sperm whale clicks using a single, compact device on the seafloor, which is easier to install, providing a practical alternative to existing methods.
Passive acoustic monitoring combined with multi-lateration is a well-established technique for tracking marine mammals. However, alternative localization methods, such as beamforming and machine learning-based approaches, have also been explored. Beamforming enhances spatial filtering and direction estimation but is constrained by array geometry and environmental factors [10,11,12]. Machine learning techniques offer data-driven solutions and adaptability to complex acoustic environments [13,14,15], yet their performance depends on high-quality training data and computational resources [16]. While these methods present valuable advancements, multi-lateration remains a robust approach for accurate depth estimation and trajectory reconstruction, particularly when precise synchronization between hydrophones is achieved.
This study focuses on the development of an algorithm to localize and follow sperm whales during deep dives in the Gulf of Catania through the application of PAM. Specifically, the algorithm was applied to acoustic data recorded by the NEMO-ODE (Ocean Noise Detection Experiment) underwater station. This acoustic station was deployed in 2005 as part of the NEMO experiment [17], which aimed at the construction of an underwater Cherenkov telescope for high-energy neutrino detection. Originally designed for long-term monitoring of deep-sea acoustic noise for high-energy physics applications, the data collected by the acoustic station have also proven valuable in bioacoustic studies [18,19,20]. The geometric arrangement of the four synchronized hydrophones installed aboard NEMO-ODE allows for the reconstruction of the direction of arrival of acoustic signals by analyzing the Time Difference of Arrival (TDOA) of the signals at each hydrophone.
The developed algorithm is capable of identifying the acoustic signals produced by sperm whales and using them to track individuals over time. This study aims to provide new insights into the diving behavior of sperm whales recorded off the eastern coast of Sicily and to demonstrate the potential of this method for species monitoring and ecological assessment. Additionally, the study demonstrates the feasibility of investigating interactions between sperm whales and motor vessels, which could support future conservation efforts for the species.
1.1. Sperm Whale: Ecology, Distribution, and Sound Production
The sperm whale, the largest of the toothed whales, can reach lengths of up to 18 m and weights of up to 60 tons. Adult females are generally smaller, reaching lengths of up to 12 m. In adult males, the head constitutes one-third of the body size, while in females, it is about one-fourth of the body length. The species is found in all the world’s oceans [21]. In the Mediterranean Sea, sperm whales constitute a subpopulation genetically isolated from the Atlantic one [22]. Last evaluated for the IUCN Red List of Threatened Species in 2021, the Mediterranean sperm whale subpopulation is currently classified as Endangered (EN) under criterion C2a(ii) [23]. This classification reflects ongoing threats such as by catching in illegal fisheries, ship strikes, and lack of effective management measures. The total subpopulation is inferred to comprise fewer than 2500 mature individuals likely remaining. Mediterranean sperm whales are present across all age classes, although published records indicate that males do not grow longer than 14–15 m. Sightings are common in the Ligurian, Ionian, and Tyrrhenian Seas but are rare in the Strait of Sicily [23]. Although the maximum observed depth for a diving sperm whale is greater than 2250 m [24], several studies have described typical diving depths ranging between 400 and 1200 m and an average dive duration of 40–50 min [25]. Concerning diving speed, previous studies describe an average speed of 0.8 to 2 m/s during the descent phase and 1 to 3 m/s during ascents [4,26,27]. Wahlberg [4] also reported a horizontal swimming speed of 0.2–2.6 m/s, strongly dependent on the swimming direction relative to the current.
Echolocation is the primary method for sperm whales to navigate and hunt, using intense, directional clicks with frequencies ranging from 100 Hz to 20 kHz [28]. The intensity of these clicks can reach approximately , and each click lasts between 10 and 20 ms [29]. Moreover, each click has a multi-pulsed structure [30]. The Inter-Pulse Interval (IPI) between the pulses of each click depends on the size of the head and, therefore, on the size of the sperm whale. This theory forms the basis for estimating the size of acoustically detected sperm whales [20]. The time between clicks, known as the Inter-Click Interval (ICI), helps the whale estimate the distance to its target. Typically, sperm whales emit 0.5 to 2 clicks per second [31].
1.2. The NEMO-ODE Observatory
The NEMO-ODE Observatory was the first cabled acoustic system installed in the Mediterranean Sea at great depth. The main objective of the NEMO-ODE project was the long-term characterization of deep marine noise in a broad frequency band for preliminary studies on the acoustic detection of very high-energy neutrinos [32]. Installed at sea in 2005 at the Test Site South (TSS) of the Istituto Nazionale di Fisica Nucleare (INFN)—Laboratori Nazionali del Sud (LNS), about 28 km East off the coast of Catania and at a depth of 2100 m (see Figure 1a), the acoustic data acquired by the array have also been valuable for biological, geophysical, and environmental science studies.
Figure 1.
(a) Location of the NEMO-ODE Observatory. (b) The titanium frame hosting the NEMO-ODE acoustic array before its installation at the TSS.
The NEMO-ODE station (see Figure 1b) consisted of four piezoelectric hydrophones, arranged in a tetrahedral configuration with a maximum edge length of approximately 1.8 m. The hydrophones used were RESON TC4042-C models, operating in the frequency range of 10 Hz to 40 kHz, with a sensitivity of , measured at 250 Hz. Analog hydrophone signals were amplified by 20 dB via pre-amplifiers and digitized at a sampling rate of 96 kHz by a 24-bit Analog-to-Digital Converter (ADC).
The station was powered by an electrical power system hosted at the shore laboratory of the port of Catania. Power was transferred to the underwater observatory via a 28 km long electro-optical submarine communication cable. Custom offshore power electronics developed by INFN ensured adequate voltage transformation and distribution for the operation of the underwater instrumentation. Furthermore, the NEMO-ODE station was equipped with a compass inclinometer with an angular resolution of approximately 0.1°, allowing for precise measurement of the orientation of the hydrophones. The electronics for offshore data acquisition and power distribution were housed in a 44 cm diameter borosilicate glass sphere, designed to withstand the pressure of the deep sea. The sphere was further protected by an external shell to ensure impact resistance and to facilitate installation on the station chassis.
The digitized acoustic signals acquired offshore were converted into optical signals using electro-optical modems and transmitted to the onshore laboratory over a dedicated optical link. On the ground, the acoustic data were converted back into electrical signals and acquired using a professional audio acquisition card installed on a computer.
2. Methods
2.1. Algorithm for Sperm Whale Localization
The geometric configuration of the hydrophones installed on the mechanical structure of the NEMO-ODE Observatory and their temporal synchronization allowed us to develop algorithms for the reconstruction of the direction of arrival of the acoustic signals at the station—in particular, the direction of arrival of the echolocation signals of sperm whales. Therefore, an algorithm for the acoustic tracking of sperm whales was developed using the MATLAB R2023a platform [33]. The algorithm analyzes the recordings, identifies the acoustic signals produced by the sperm whales, calculates their direction of arrival, and determines the three-dimensional position of the sound source by exploiting the direction of the signals reflected from the surface. The algorithm is also capable of locating multiple sperm whales present in the same acoustic recording.
2.2. Signal Processing and Selection of Sperm Whale Clicks
Data were collected by the NEMO-ODE station in WAV format. Each file contained a 5-min-long recording acquired with a duty cycle of 5 min per hour. The NEMO-ODE station operated from January 2005 to December 2006, producing 11,500 five-minute recordings. To ensure high-quality data, only recordings with the occurrence of regular clicks and a high signal-to-noise ratio were selected, as resulting from previous studies performed on the same dataset [18,20]. To enhance the temporal resolution, the signals were resampled at twice the original frequency, resulting in a sampling rate of 192 kHz and a temporal resolution of 5.2 s. A band-pass zero-phase filter operating between 6 kHz and 15 kHz was applied to remove background ship noise (below 6 kHz) and dolphin echolocation signals (above 15 kHz), facilitating the detection of sperm whale clicks. At frequencies higher than 6 kHz, the ambient noise at the NEMO-ODE location was very low, with average acoustic power spectral density values below 50 dB re 1 Pa2/Hz [32]. This is due to the depth of the array, which is far from high-frequency acoustic sources such as atmospheric phenomena and ship noise cavitation.
To automatically recognize sperm whale clicks in files, the algorithm selects all impulsive signals whose amplitudes exceed the 99th percentile of the total amplitude of the acoustic samples in the file. The criteria were applied to the signal envelope, obtained by calculating the modulus of the Hilbert transform. To avoid considering internal reflections of the primary echolocation pulse inside the whale’s head, the algorithm selects only clicks separated temporally by at least 50 ms as different signals. The algorithm also searches for signals reflected from the water surface, which are characterized by lower amplitudes than direct clicks (Figure 2). The reflected signals are used for three-dimensional source localization.
Figure 2.
Waveform of a sperm whale’s click, followed by its reflection on the water surface recorded by a hydrophone of the acoustic array.
An additional selection based on signal duration was applied. The main pulse of a sperm whale click typically lasts about 100 s [34]. The algorithm selects pulses with durations of less than 200 s. The duration was estimated by measuring the half-height width of the peaks in the Hilbert-transformed signal. These selection criteria were applied to the uppermost hydrophone, which was used as the reference channel (H1), and signals from the other channels were analyzed within a 15 ms time interval around the identified peaks from the first channel.
2.3. Determination of the Sound Source Direction
The direction of arrival of the echolocation clicks is determined by measuring the TDOA of the acoustic pulses between each hydrophone pair and comparing the measurements with the values expected by a plane wave coming from all possible arrival directions with a resolution of 0.1 degrees. The direction of arrival of the wave is estimated as the direction that minimizes the differences between measured and expected TDOAs.
TDOA measurements are computed by cross-correlating the click signals acquired by each hydrophone pair. The cross-correlation between two generic hydrophones ( and ) is calculated as follows:
where is the signal acquired by hydrophone and is the signal acquired by hydrophone by applying a . The cross-correlation function (), as shown in Equation (1), reaches its maximum when the signals acquired by the two hydrophones are temporally aligned. The time offset () corresponding to the maximum of the cross-correlation represents the TDOA of the acoustic pulse for the hydrophone pair (). Cross-correlation is calculated for all possible hydrophone pairs. In order to improve the identification of the cross-correlation maxima, the peak is searched for at the absolute value of the Hilbert transform of the cross-correlation function (see Figure 3).
Figure 3.
Cross-correlation function of a sperm whale click calculated for a hydrophone pair of the NEMO-ODE acoustic array (blue). The plot also shows the absolute value of the Hilbert transform (red) of the cross-correlation function, used in this study to recover TDOAs.
Considering the typical diving depths of sperm whales [25] and the depth of the observatory, the animals are always distant enough from the array so that the acoustic wave fronts of their echolocation clicks at the hydrophones can be considered nearly planar. The expected TDOAs for each hydrophone pair were calculated for every polar arrival angle, using a resolution of 0.1° in both the azimuth and elevation angles.
2.4. Determination of Sperm Whale Position
For each detected click, the polar angles ( and ) are calculated to define the direction of arrival of the acoustic wave. Assuming minimal refraction during sound propagation from the source to the acoustic array, the direction of arrival at the hydrophones can be approximated to that of the acoustic source.
If reflections of the clicks from the sea surface are also present in the recording, the angles of arrival for the reflected signals are calculated similarly. By using the angles of arrival for both the direct and reflected signals, the position of the whale can be determined geometrically, as described below.
Let H represent the depth of the NEMO-ODE station, h represent the whale’s depth, and x represent the horizontal distance between the station and the whale, all expressed in meters (m). To determine the position of the whale relative to the NEMO-ODE station, we utilize the Law of Sines. Considering the polar angles of (direct signal) and (reflected signal), measured in degrees, we have the following:
From this, we can solve for m:
Given the relationships expressed as and , we can rewrite Equation (3) as follows:
To express the horizontal distance (x) between the station and the whale, we use the following expression:
Substituting h from the previous equation, we obtain the following:
To estimate the whale’s position, the system must first identify clicks with detectable surface reflection. Criteria for selecting direct and reflected signals include the following:
- The direct signal and its reflection must be close in time, with a maximum delay of 2.6 s.
- Only signals whose azimuthal arrival direction () differs from that of the direct signals () by a maximum of 30° are considered as possibly reflected signals. This is because the signal fluctuations of the angle of arrival of the reflected signal due to sea surface roughness is expected to be small [35].
- The arrival direction of the direct pulse () must be larger than the arrival direction of the corresponding reflected pulse ().
- The amplitude of the reflected signal must be lower than that of the direct signal due to reflection loss at the sea surface [36] and the longer path traveled by the reflected signal.
An additional condition ensures that exceeds by at least 2 degrees, preventing ambiguity between direct and reflected signals, particularly near the surface. This reduces the region of applicability to the gray area shown in Figure 4b.
Figure 4.
(a) Schematic representation of the determination of sperm whale positions. (b) Algorithm applicability region.
The direction of arrival for each pulse is calculated independently. The search for the reflected signal associated with each click was conducted by analyzing all subsequent clicks that met the criteria listed above and had a time delay relative to the direct signal compatible with the system’s geometry. Only pulses with a delay differing from the expected value by less than 500 ms, assuming an isovelocity profile at 1515 m/s, were considered in the search for reflected signals. This ensures that the reflected signal is correctly associated to its direct signal without ambiguity. Once the pairs of direct and reflected signals are identified, the whale’s position can be calculated for each click, allowing its movement to be tracked during the 5-min recording. No assumptions were made a priori on the number of emitting sources (i.e., whales). The positions are plotted in 3D with a color scale indicating time progression (see Figure 5a).
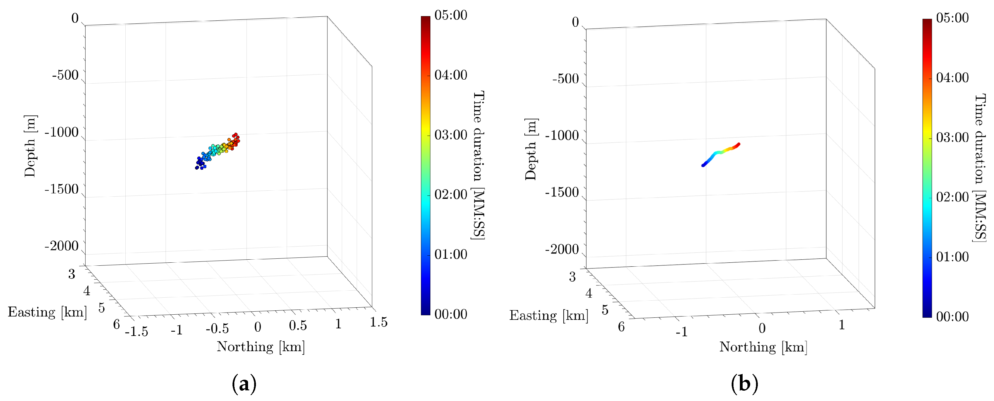
Figure 5.
(a) Estimate of the position of a sperm whale as a function of time calculated from the acoustic recording on 8 October 2005 at 16:00. (b) The same track after applying smoothing. Time progression is indicated by the color scale.
Additionally, a 3D polynomial fit is applied to smooth the whale’s trajectory, reduce noise, and emphasize the main path. This smoothing uses robust local regression (rloess) with a factor set to one-third of the total number of data points, defining the neighborhood size for each point’s local polynomial fit. This approach balances noise reduction with preservation of the trajectory shape in three-dimensional space (see Figure 5b).
This method also enables the simultaneous tracking of multiple whales, as shown in Figure 6.
Figure 6.
Acoustic reconstruction of the movements of two sperm whales recorded simultaneously on 11 August 2005 at 12:00 a.m. Time progression is indicated by the color scale.
2.5. Estimation of Experimental Errors
In this study, the trajectories of acoustic rays between the animal and the acoustic receiver were approximated as straight lines. This approximation is justified because, in the Mediterranean Sea, below a depth of 600 m, the speed of sound has a nearly constant vertical gradient of 0.0167 s−1. This implies that acoustic waves travel along circular paths with a radius of approximately 90 km [36], which is significantly larger than the maximum detection range of sperm whales in this study (about 12 km from the station).
To evaluate the maximum systematic error on the absolute positioning of the animal due to this approximation, a ray-tracing simulation was conducted using BELLHOP [37] with a typical sound velocity profile of the study area. Figure 7 reports a ray-tracing simulation of an acoustic source placed at a depth of 950 m. The angles of arrival of direct and surface-reflected acoustic waves were calculated on the seabed 12 km from the source, corresponding to the furthest acoustic detection reported in this study. We found that the angles of arrival for direct and reflected waves were 84° and 78°, respectively, representing the worst-case scenario for the used approximation. In this case, the systematic error on source positioning using the straight-line approximation is about 400 m for range measurements (corresponding to 3% relative error) and 90 m for depth (corresponding to 9% relative error). The error due to vertical refraction is smaller for animals at shorter ranges and depths.
Figure 7.
(a) Generic Sound Velocity Profile (SVP) acquired in the study area. (b) BELLHOP ray tracing from an acoustic source at a depth of 950 m (yellow dot), referring to the same SVP.
Horizontal refraction was neglected in our case, since below 400 m, the entire Mediterranean basin presents a standard deviation of horizontal sound velocity lower than 0.25 m/s, as reported in [38].
The other main errors in determining the position of the acoustic source arise from the following:
- Hydrophone position uncertainty: The position of the hydrophones on the mechanical structure has an uncertainty of approximately ±1 cm.
- Temporal resolution: The temporal resolution affects the accuracy of estimating the peak in the cross-correlation function. Given the modulus of the Hilbert transform, the 95% amplitude of the peak corresponds to roughly 4 samples. With a resampling frequency of 192 kHz, this introduces an error of approximately 45.2 s.
- Sound velocity variations at the acoustic array: Changes in sound velocity due to depth, salinity, and temperature can introduce uncertainties. This variation is estimated to be around ±1 m/s based on historical vertical profiles near the station.
- Depth uncertainty of the NEMO-ODE station: The station’s depth has an estimated uncertainty of ±10 m.
A Monte Carlo (MC) simulation was conducted to estimate the contribution of cumulative errors, excluding the systematic error caused by vertical refraction discussed above. The simulation was performed under conditions of constant sound velocity propagation along the water column. For a source 5 km from the station, the depth estimation error is 26 m (2.7% relative error), and the horizontal distance error is 92 m (1.9% relative error). Figure 8 reports the positions obtained by the MC with 1000 entries. To estimate the relative positioning accuracy of each single pulse, we conducted a Monte Carlo simulation. In this simulation, uncertainty was applied only to the TDOA measurements, while fixed values were assumed for the height of the water column and the sound velocity at the array location. The uncertainty of relative positions found for each pulse was 61 m for the horizontal distance and 23 m for the depth.
Figure 8.
Distribution of positions obtained from the Monte Carlo simulation (blue dots—1000 entries) using the same TDOA measurements, accounting for uncertainties in hydrophone positions, TDOA measurements, sound velocity profile, and station depth. The black asterisk indicates the NEMO-ODE station. (a) 3D view and (b) top view.
3. Results
A total of 49 recordings were selected from the NEMO-ODE dataset for the tracking of sperm whale movements, resulting in 64 reconstructed tracks (46 recorded in August 2005 and 18 in October 2005).
3.1. Distribution and Movements
The tracking algorithm relied on identification of both direct and reflected clicks. However, reflections were often attenuated or deviated due to refraction, especially when the whale was far from the station. Therefore, tracking success diminished with increased distance, though the algorithm was able to track whales up to 12 km away, covering an area of around 450 km2. When it was not possible to identify the signals reflected from the surface but only the direct ones, the algorithm still estimated the maximum distance of the sperm whale from the station. To study the distribution of animals in the study area, the average position for each track was calculated. In Figure 9, a top view of the average positions of the animals for all the dives acoustically reconstructed by the algorithm is shown. The figure reports the directions and the horizontal distances of the animals with respect to the NEMO-ODE position in August (blue dots) and October (red crosses).
Figure 9.
Top view of the average positions of the sperm whales tracked in August (blue dots) and October (red crosses).
For each track, the average depth of the sperm whale was calculated. All estimated depths are displayed in Figure 10 and, hereafter, are described as mean ± standard deviation. The depth distribution shows two peaks centered at 400 and 600 m, and 75% of the animals were located between 350 and 650 m. In August, the mean depth was 530 m ± 175 m, and the minimum and maximum depths were 210 and 956 m, respectively. In October, the mean depth was 495 m ± 185 m, and the minimum and maximum depths were 225 and 811 m, respectively. For each track, the average speed of the sperm whale was also estimated by measuring the time taken to travel between the starting and ending points. The overall average swimming speed was 2.05 m/s, with minimum and maximum speeds recorded at 0.8 m/s and 5.29 m/s, respectively. The majority of the tracks showed significant vertical movements, typically associated with descent/ascent phases during deep foraging dives [39]. Ascents toward the surface were faster, averaging 2.2 m/s, compared to descents toward the bottom, which averaged 1.8 m/s. The error in these speed estimates is approximately 0.2 m/s based on the uncertainties in the initial and final positions. For tracks with primarily horizontal movement (nine tracks with less than 50 m of vertical variation), the average diving depth was 558 m ± 177.39 m. For these nine tracks, the average speed was 2.4 m/s, which is slightly higher than the overall average speed.
Figure 10.
(a) Sperm whale average depth as a function of the northing distance from the station in August (blue dots and October (red cross). (b) Histogram of the average depths reached by the sperm whales (resolution 100 m).
Only reliable tracks, where positional changes between consecutive points were less than 350 m, were included in the analysis.
3.2. Study of Movements over Several Hours
Several tracks were reconstructed in 5-min recordings from consecutive hours, offering the opportunity to extend the observation over a larger temporal scale. In addition, the whale size estimate was obtained from a previous work specifically focusing on this topic [20]. This analysis helped determine if the observed tracks were from the same animal. Here, we describe two case studies, showing two examples of reconstructed tracks with one and two individuals simultaneously.
Recordings of 9 August 2005 (08:00 to 10:05 a.m.): three tracks over 3 h (see Figure 11a). All tracks likely belonged to the same whale (approximate estimated size of 10.2 m [20]). The movement from northwest to southeast is well-represented by the first track. The first track is horizontal at a depth of 340 m, while the second track moves between 420 m and 140 m, and the third is between 530 m and 670 m.
Figure 11.
Traces calculated from different recordings. The black asterisk indicates the position of the NEMO-ODE station. (a) Recordings on 9 August 2005 between 8:00 a.m. and 10:05 a.m. (b) Recordings on 14 October 2005 between 12:00 a.m. and 01:05 p.m. Time progression is indicated by the color scale.
Recordings of 14 October 2005 (12:00 a.m. to 01:05 p.m.): Four tracks over 2 h (see Figure 11b). Two whales appear to move together. The movement is from southwest to northeast in three of the four tracks. In the first recording, from south to north, the first is located between 765 m and 865 m depth, while the second swims between 270 m and 625 m. In the next recording, both movements are more or less horizontal, occurring between 460 m and 510 m.
In 70% of the total studied cases, the movement direction in single recordings aligns with the overall trend seen in consecutive recordings, supporting the significance of this analysis in the definition of preferred diving paths in the area.
3.3. Interaction Between Sperm Whales and Vessels
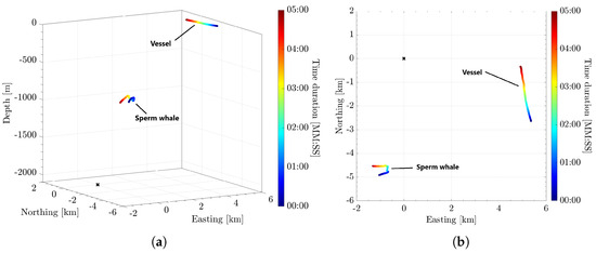
Underwater acoustic arrays, such as the NEMO-ODE station, can also enable the study of interactions between sperm whales and vessels. Vessels that exhibit cavitation generate a phenomenon where air bubbles form, then rapidly collapse in water, producing short, high-bandwidth, impulsive noise. Most of the acoustic energy produced by ship cavitation is below 4 kHz. Ship positions can be reconstructed using the same algorithms developed for sperm whale tracking. Unlike the acoustic signals of sperm whales, cavitation pulses can always be considered to be produced at the surface. Therefore, the position of a ship can be reconstructed using the direction of arrival of the direct sound alone.
Figure 12 shows the simultaneous tracking of a vessel and a sperm whale. Initially, the whale seems to be heading toward the vessel, but it then t deviates sharply from its course. The whale makes its first turn when it is about 6.5 km from the vessel; then, it turns around completely after swimming 100 m in this new direction.
Figure 12.
Traces calculated from the recordings on 30 August 2005 at 11:00 a.m. The black asterisk indicates the position of the NEMO-ODE station. (a) Three-dimensional view and (b) top view. Time progression is indicated by the color scale.
This example is an isolated observation and does not imply a generalized behavioral response. Instead, it highlights the potential of our methodology to contribute to further investigations on the subject.
4. Discussion
An algorithm was developed in MATLAB to localize sperm whales transiting the Gulf of Catania, using acoustic data from the NEMO-ODE station to cover an area of about 450 km2. Although the dataset was collected in 2005, the results provide a valuable baseline for understanding sperm whale diving behavior in the Central Mediterranean Sea. Given the endangered status of the species and the scarcity of detailed behavioral studies in this region, these historical data serve as an essential reference point for future research. A total of 64 whale tracks were reconstructed, with 52% of the observed transits occurring in the same axis direction. All tracks were attributed to the movements of individual sperm whales, as no spatial overlaps or ambiguities were observed in the movements of the reconstructed acoustic sources. Observed average diving depths were consistent with previous studies in other regions of the Mediterranean Sea and worldwide [4,25]. The most represented bathymetries were those centered at 400 m and 600 m, potentially indicating the busiest depths in terms of foraging activity. The depth change of the whales during detected bottom phases (primarily horizontal tracks) was less than 50 m, which is comparable with that observed in the Ligurian Sea by Watwood and colleagues [25]. Detected sperm whales traveled faster, on average, during ascents, confirming what was observed in [25]. Additionally, we observed that the average horizontal swimming speed during the bottom phases was higher compared to the vertical phases, and it was in a range comparable with that reported by [4]. Whales were found at greater depths south of the station, likely due to variations in seabed bathymetry and related prey distribution. The availability of consecutive recordings was essential in assessing the accuracy of the observations, and it may be crucial in defining the ecological importance of the movements observed over a larger temporal scale. Additionally, our results demonstrate that IPI-based size estimates [20] improved the reliability of tracking, reducing the uncertainties related to the sub-sampling. The coupling of acoustic tracking and size estimation can facilitate future studies of social behaviors near the observatory. The developed algorithms enabled the precise localization of acoustic sources of the clicks received at a high signal-to-noise ratios. Besides sperm whale clicks, the ability of the tracking system to localize cavitation noise produced by vessels has been shown, supporting the simultaneous monitoring of multiple and diverse sound sources within a single recording. In this study, we did not aim to establish if any correlation between vessel location and sperm whale movements during the dive occurred. However, the system’s ability to perform such analysis was demonstrated. This has major significance considering that collisions with large vessels are the principal source of severe injuries to these whales [40]. Further investigation of recordings featuring both boats and sperm whales will provide deeper insights into such interactions. These results represent a significant advancement in PAM applications with respect to the study of sperm whales, as the algorithm extends research beyond the mere presence or absence of sperm whales. It facilitates in-depth investigations of small and large-scale movements, swimming speeds (during hunting and vertical and horizontal movements), seasonal occurrence, and population monitoring in the region.
5. Conclusions
The sperm whale localization algorithm developed in this study enabled the analysis of whale movements and the identification of the main diving paths in the study area. Key findings include the first estimates of preferred diving depths and average swimming speeds in the Ionian Sea. Consecutive recordings and size estimates also allowed for more reliable tracking of individuals. Future studies may explore interactions between whales and vessels. An example illustrating the feasibility of this type of research was provided, highlighting the potential of this analysis for conservation purposes. The NEMO-ODE station was the first marine station in the Ionian Sea equipped with four synchronized cabled hydrophones, establishing a foundation for long-term bioacoustic monitoring stations. Its success led to the establishment of the SMO-ODE-2 platform [41], operational from February 2017 to May 2021, and, more recently, the IPANEMA/Catania (IPANEMA-CT) observatory [42], which was deployed in October 2024. All of these stations were installed at the same location and managed and operated by the INFN-LNS.
Building upon the foundation established by the NEMO-ODE station, future research will benefit from the additional data collected by the currently operational marine stations. The localization methodology presented in this study is fully applicable to these new datasets, ensuring the continued relevance of this approach for the tracking of sperm whales in contemporary studies. These stations can facilitate a more in-depth investigation into the behavior of detected sperm whales in the Ionian Sea, enhancing the statistical reliability of the results. Future research should focus on ground-truth validation of the tracking system through field observations and using bio-logging tags. The recently installed IPANEMA-CT station provides real-time tracking capabilities, unlocking new opportunities for dynamic and continuous monitoring of sperm whales in the region.
Author Contributions
Conceptualization, S.V.; Methodology, S.V.; Software, L.S.D.M. and S.V.; Validation, L.S.D.M. and V.S.; Writing—original draft, L.S.D.M., D.D.-T., V.S., G.R. and S.V.; Writing—review & editing, L.S.D.M., D.D.-T., V.S., G.R. and S.V.; Visualization, D.D.-T.; Supervision, G.R. and S.V. All authors have read and agreed to the published version of the manuscript.
Funding
This research received no external funding.
Data Availability Statement
Contact the corresponding author to request data or information about it.
Acknowledgments
Part of the work conducted for this study by S. Viola and V. Sciacca was carried out within the framework of the PRIN 2022 Deep-sea Investigation with a View to Protect Elusive Cetacean Species (DIVES)—Funded by the EU—Next Generation EU Mission 4 Component C2 Investment 1.1. The support of the INFN Experimental Fellowship through the Post–Doctoral Senior Level 3 Research Grant B.C. no. 23591/2021, which funded Diego–Tortosa as a postdoctoral researcher, is gratefully acknowledged.
Conflicts of Interest
The authors declare no conflicts of interest.
References
- Norris, K.S. Whales, Dolphins, and Porpoises; University of California Press: Berkeley, CA, USA, 1966. [Google Scholar] [CrossRef]
- Zimmer, W.M. Passive Acoustic Monitoring of Cetaceans; Cambridge University Press: Cambridge, UK, 2011. [Google Scholar]
- Eva-Marie Nosal, L.N.F. Track of a sperm whale from delays between direct and surface-reflected clicks. Appl. Acoust. 2006, 67, 1187–1201. [Google Scholar] [CrossRef]
- Wahlberg, M. The acoustic behaviour of diving sperm whales observed with a hydrophone array. J. Exp. Mar. Biol. Ecol. 2002, 281, 53–62. [Google Scholar] [CrossRef]
- Morrissey, R.; Ward, J.; DiMarzio, N.; Jarvis, S.; Moretti, D. Passive acoustic detection and localization of sperm whales (Physeter macrocephalus) in the tongue of the ocean. Appl. Acoust. 2006, 67, 1091–1105. [Google Scholar] [CrossRef]
- Thode, A. Three-dimensional passive acoustic tracking of sperm whales (Physeter macrocephalus) in ray-refracting environments. J. Acoust. Soc. Am. 2005, 118, 3575–3584. [Google Scholar] [CrossRef]
- Miller, B.; Dawson, S.; Vennell, R. Underwater behavior of sperm whales off Kaikoura, New Zealand, as revealed by a three-dimensional hydrophone array. J. Acoust. Soc. Am. 2013, 134, 2690–2700. [Google Scholar] [CrossRef] [PubMed]
- Macaulay, J.; Kingston, A.; Coram, A.; Oswald, M.; Swift, R.; Gillespie, D.; Northridge, S. Passive acoustic tracking of the three-dimensional movements and acoustic behaviour of toothed whales in close proximity to static nets. Methods Ecol. Evol. 2022, 13, 1250–1264. [Google Scholar] [CrossRef]
- Skarsoulis, E.K.; Piperakis, G.S.; Orfanakis, E.; Papadakis, P.; Pavlidi, D.; Kalogerakis, M.A.; Alexiadou, P.; Frantzis, A. A Real-Time Acoustic Observatory for Sperm-Whale Localization in the Eastern Mediterranean Sea. Front. Mar. Sci. 2022, 9, 873888. [Google Scholar] [CrossRef]
- Desharnais, F.; Ebbeson, G.R.; Matthews, M.N.R.; Heard, G.J.; Thomson, D.J.; Brooke, G.H. A generalized beamformer for localization of marine mammals. Appl. Acoust. 2006, 67, 1213–1225. [Google Scholar] [CrossRef]
- Chiariotti, P.; Martarelli, M.; Castellini, P. Acoustic beamforming for noise source localization—Reviews, methodology and applications. Mech. Syst. Signal Process. 2019, 120, 422–448. [Google Scholar] [CrossRef]
- Wang, K.X.W.L.M. Sound source localization based on improved adaptive beamforming. J. Phys. Conf. Ser. 2021, 1971, 012063. [Google Scholar] [CrossRef]
- Hu, Z.; Huang, J.; Xu, P.; Nan, M.; Lou, K.; Li, G. Underwater Acoustic Source Localization via Kernel Extreme Learning Machine. Front. Phys. 2021, 9, 653875. [Google Scholar] [CrossRef]
- Jin, P.; Wang, B.; Li, L.; Chao, P.; Xie, F. Semi-supervised underwater acoustic source localization based on residual convolutional autoencoder. EURASIP J. Adv. Signal Process. 2022, 2022, 107. [Google Scholar] [CrossRef]
- Li Zhen, L.N.; Liu, Z. BO-GRNN: Machine Learning for Underwater Acoustic Source Localization. Mar. Geod. 2024, 47, 574–605. [Google Scholar] [CrossRef]
- Peng, Y.W.H. Underwater acoustic source localization using generalized regression neural network. J. Acoust. Soc. Am. 2018, 143, 2321–2331. [Google Scholar] [CrossRef]
- Sapienza, P.; on behalf of the NEMO Collaboration. The NEMO project: Achievements and perspectives. J. Phys. Conf. Ser. 2008, 120, 062010. [Google Scholar] [CrossRef]
- Pavan, G.; La Manna, G.; Zardin, F.; Internullo, E.; Kloeti, S.; Cosentino, G.; Speziale, F.; Riccobene, G. Short term and long term bioacoustic monitoring of the marine environment. Results from NEMO ONDE experiment and way ahead. In Computational Bioacoustics for Assessing Biodiversity. Proceedings of the International Expert Meeting on IT-Based Detection of Bioacoustical Patterns, Bonn, Germany, 7–10 December 2007; Federal Agency for Nature Conservation: Bonn, Germany, 2008; pp. 7–14. [Google Scholar]
- Nosengo, N. Underwater acoustics: The neutrino and the whale. Nature 2009, 462, 560–561. [Google Scholar] [CrossRef][Green Version]
- Caruso, F.; Sciacca, V.; Bellia, G.; De Domenico, E.; Larosa, G.; Papale, E.; Pellegrino, C.; Pulvirenti, S.; Riccobene, G.; Simeone, F.; et al. Size Distribution of Sperm Whales Acoustically Identified during Long Term Deep-Sea Monitoring in the Ionian Sea. PLoS ONE 2015, 10, e0144503. [Google Scholar] [CrossRef]
- Rice, D.W. Sperm whale, Physeter macrocephalus Linnaeus, 1758. In Handbook of Marine Mammals, Vol. 4: River Dolphins and the Larger Toothed Whales; Ridgway, S.H., Harrison, R., Eds.; Academic Press: London, UK, 1989; pp. 177–233. [Google Scholar]
- Drouot, V.; Berube, M.; Gannier, A.; Goold, J.C.; Reid, R.J.; Palsboll, P.J. A note on genetic isolation of Mediterranean sperm whales (Physeter macrocephalus) suggested by mitochondrial DNA. J. Cetacean Res. Manag. 2023, 6, 29–32. [Google Scholar] [CrossRef]
- Pirotta, E.; Carpinelli, E.; Frantzis, A.; Gauffier, P.; Lanfredi, C.; Pace, D.; Rendell, L. Physeter macrocephalus (Mediterranean Subpopulation); The IUCN Red List of Threatened Species 2021; IUCN: Fontainebleau, France, 2021; p. e.T16370739A50285671. [Google Scholar] [CrossRef]
- Clarke, M.R. The Head of the Sperm Whale. Sci. Am. 1979, 240, 128–141. [Google Scholar] [CrossRef]
- Watwood, S.L.; Miller, P.J.O.; Johnson, M.; Madsen, P.T.; Tyack, P.L. Deep-diving foraging behaviour of sperm whales (Physeter macrocephalus). J. Anim. Ecol. 2006, 75, 814–825. [Google Scholar] [CrossRef] [PubMed]
- Gordon, J. The Behaviour and Ecology of Sperm Whales off Sri Lanka. Ph.D. Thesis, University of Cambridge, Cambridge, UK, 1987. [Google Scholar]
- Madsen, P.T.; Payne, R.; Kristiansen, N.U.; Wahlberg, M.; Kerr, I.; Møhl, B. Sperm whale sound production studied with ultrasound time/depth-recording tags. J. Exp. Biol. 2002, 205, 1899–1906. [Google Scholar] [CrossRef]
- Zimmer, W.M.X.; Madsen, P.T.; Teloni, V.; Johnson, M.P.; Tyack, P.L. Off-axis effects on the multipulse structure of sperm whale usual clicks with implications for sound production. J. Acoust. Soc. Am. 2005, 118, 3337–3345. [Google Scholar] [CrossRef] [PubMed]
- Goold, J.C.; Jones, S.E. Time and frequency domain characteristics of sperm whale clicks. J. Acoust. Soc. Am. 1995, 98, 1279–1291. [Google Scholar] [CrossRef]
- Møhl, B. Sound transmission in the nose of the sperm whale Physeter catodon. A post mortem study. J. Comp. Physiol. A Sens. Neural Behav. Physiol. 2001, 187, 335–340. [Google Scholar] [CrossRef]
- Pavan, G.; Hayward, T.J.; Borsani, J.F.; Priano, M.; Manghi, M.; Fossati, C.; Gordon, J. Time patterns of sperm whale codas recorded in the Mediterranean Sea 1985–1996. J. Acoust. Soc. Am. 2000, 107, 3487–3495. [Google Scholar] [CrossRef]
- Riccobene, G. Long-term measurements of acoustic background noise in very deep sea. Nucl. Instrum. Methods Phys. Res. Sect. A Accel. Spectrometers Detect. Assoc. Equip. 2009, 604, S149–S157. [Google Scholar] [CrossRef]
- MATLAB, Version 9.14.0.2306882 (R2023a); The MathWorks, Inc.: Natick, MA, USA, 2023.
- Møhl, B.; Wahlberg, M.; Madsen, P.T.; Heerfordt, A.; Lund, A. The monopulsed nature of sperm whale clicks. J. Acoust. Soc. Am. 2003, 114, 1143–1154. [Google Scholar] [CrossRef]
- Heitsenrether, R.M.; Badiey, M. Modeling Acoustic Signal Fluctuations Induced by Sea Surface Roughness. AIP Conf. Proc. 2004, 728, 214–221. [Google Scholar] [CrossRef]
- Jensen, F.B.; Kuperman, W.A.; Porter, M.B.; Schmidt, H. Computational Ocean Acoustics; Springer: New York, NY, USA, 2011. [Google Scholar] [CrossRef]
- Bellhop Acoustic Propagation Model, Version 1.0; Heat, Light & Sound Research, Inc.: La Jolla, CA, USA, 2011. Available online: http://oalib.hlsresearch.com/Rays/index.html (accessed on 27 March 2025).
- Salon, S.; Crise, A.; Picco, P.; de Marinis, E.; Gasparini, O. Sound speed in the Mediterranean Sea: An analysis from a climatological data set. Ann. Geophys. 2003, 21, 833–846. [Google Scholar] [CrossRef]
- Watkins, W.A.; Daher, M.A.; Dimarzio, N.A.; Samuels, A.; Wartzok, D.; Fristrup, K.M.; Howey, P.W.; Maiefski, R.R. Sperm whale dives tracked by radio tag telemetry. Mar. Mammal Sci. 2002, 18, 55–68. [Google Scholar] [CrossRef]
- Laist, D.W.; Knowlton, A.R.; Mead, J.G.; Collet, A.S.; Podesta, M. Collisions Between Ships and Whales. Mar. Mammal Sci. 2001, 17, 35–75. [Google Scholar] [CrossRef]
- Viola, S.; Riccobene, G. 15 years of acoustic detection studies at INFN. EPJ Web Conf. 2019, 216, 01002. [Google Scholar] [CrossRef]
- Di Mauro, L.S.; Diego-Tortosa, D.; Riccobene, G.; D’Amato, C.; Leonora, E.; Longhitano, F.; Orlando, A.; Viola, S. The IPANEMA Project: Underwater Acoustic Structure for Volcanic Activity and Natural CO2 Emissions Monitoring. Eng. Proc. 2023, 58, 9. [Google Scholar] [CrossRef]
Disclaimer/Publisher’s Note: The statements, opinions and data contained in all publications are solely those of the individual author(s) and contributor(s) and not of MDPI and/or the editor(s). MDPI and/or the editor(s) disclaim responsibility for any injury to people or property resulting from any ideas, methods, instructions or products referred to in the content. |
© 2025 by the authors. Licensee MDPI, Basel, Switzerland. This article is an open access article distributed under the terms and conditions of the Creative Commons Attribution (CC BY) license (https://creativecommons.org/licenses/by/4.0/).











