Abstract
Steel structures exposed to estuarine regions near the sea are susceptible to high-velocity and sediment-laden flows induced by runoff and tides, as well as storm surges, leading to significant erosion. This erosion causes defects in the protective coatings on steel surfaces, resulting in the accelerated corrosion of their components. However, damage to the protective coating of steel components is a relatively long process and is not easy to monitor in real time. This paper conducts an accelerated deterioration test of protective coatings under water and sediment erosion to explore the damage laws of the protective coatings of steel components under different test conditions. This study reveals that the adhesion of the protective coating decreased rapidly initially and then slowly with prolonged erosion time. In the early stage of erosion, scratches and pits are easily formed on the coating surface, while the damage tends to be uniform in the later stage. The damage characteristic values and damage rate of the protective coating were obtained based on the image recognition method. The characteristic value of scratch lengths ranged from 5 to 25 mm, and for pit diameters, they ranged from 1 to 4 mm. The maximum damage rate was 9.8%, and the damage rate showed a trend that approximately followed a logarithmic function with erosion time. It was also found that the sediment concentration had the greatest influence on the damage rate, followed by the erosion velocity, and the erosion angle had the least influence. Additionally, the relationships between adhesion and damage rate, as well as the relationship between adhesion and erosion depth, were established. It was found that the mean erosion depth exhibits a linear functional relationship with the damage rate, while adhesion exhibits a logarithmic functional relationship with both the damage rate and the erosion depth. The empirical formula proposed can provide a theoretical basis for quantitatively describing the surface defect conditions of the coating.
1. Introduction
Steel structures are widely used in the construction of marine infrastructure, such as harbor wharfs, oil and gas platforms, offshore wind farms, and cross-sea bridges, due to their advantages of high strength and rapid construction [1,2,3,4]. However, steel structures are prone to corrosion and have poor corrosion resistance in marine environments [5]. Therefore, epoxy coatings are extensively utilized for the protection of these structures [6,7]. Nevertheless, in marine environments, particularly in estuarine regions, the complex hydrological conditions influenced by intense surface runoff, tidal changes, and strong wave impacts [8,9,10] significantly exacerbate the erosion caused by high-velocity sediment-laden water flow [11,12]. This often results in surface damage to the coating, leading to defects in the protective coating on steel structures.
Currently, research on the evolution of defect formation in protective coatings for steel structures under water and sediment erosion remains limited, resulting in an insufficient understanding of the damage and degradation mechanisms of such coatings in marine engineering applications. Most studies addressing the damage characteristics of protective coatings for steel components in water and sediment environments have primarily focused on the erosion behavior of coatings used in hydro turbines. Researchers have investigated the failure mechanisms of coatings on hydro turbine flow–passing components, identifying key erosion factors, including flow velocity, sediment concentration, particle size, hardness, impact angle, and material properties [13,14,15,16]. By simulating the coating erosion process under varying sediment-laden flow conditions and integrating principles of fluid dynamics, the failure mechanisms have been analyzed, and predictive models for abrasion loss have been developed. Furthermore, numerical simulation techniques have been widely employed to study the erosion characteristics of protective coatings in water–sediment environments [17,18,19]. Through numerical methods, the dynamics of liquid–solid two-phase flow have been investigated, predictive approaches for coating erosion have been proposed, and erosion mechanisms have been elucidated. Coupled analyses of multiple erosion factors under diverse operational conditions have also been conducted [20,21,22]. In summary, the primary factors influencing water and sediment erosion include impact angle, flow velocity, sediment concentration, particle hardness, and size, while the macroscopic indicators of coating damage encompass gloss loss, abrasion loss, and thickness reduction.
In recent years, some scholars have conducted fundamental research on the damage characteristics of protective coatings on steel components under the action of water and sediment erosion. Laboratory-scale physical model tests have been performed to analyze the degradation patterns of protective coatings [23,24], such as mass loss and thickness reduction, under varying erosion conditions, leading to the development of an erosion damage model for coatings subjected to water–sediment flows. Computational fluid dynamics (CFD) numerical simulations have been employed to model the behavior of water–sediment two-phase flow around cylindrical structures [25,26,27], examining the distribution of sediment particles on coating surfaces and the resulting erosion patterns. The numerical results showed strong agreement with theoretical predictions. Additionally, an accelerated erosion testing apparatus for protective coatings has been developed to evaluate the physical and mechanical properties, as well as the erosion resistance, of various viscoelastic coating materials. Correlations between accelerated laboratory tests and scaled physical model experiments have been established, and a predictive model for abrasion loss in protective coatings under water and sediment erosion has been formulated [28]. Notably, the coatings were observed to remain within the elastic deformation regime during erosion, with no evidence of plastic deformation.
Existing research on the damage characteristics of protective coatings in water–sediment environments has provided some reference for this study. However, through field investigations, it has been found that erosion damage to protective coatings on marine steel structures primarily manifests as scratches, pits, cracks, and other surface defects on the coating layer. Current studies mainly analyze the failure mechanisms of coatings from a macroscopic perspective, lacking a detailed quantitative description at the mesoscopic level. To elucidate the evolution of erosion damage in protective coatings, it is necessary to conduct a mesoscopic analysis of the coating erosion process and characterize the entire process of coating defect formation.
2. Experimental Procedure
2.1. Experiment Object
The research object of the experiment is an epoxy asphalt protective coating, and the damage evolution process under the action of water and sediment erosion was studied. The steel specimen size is 30 mm × 30 mm × 3 mm, and the steel substrate surface was initially subjected to abrasive blasting to achieve a Sa2.5 grade finish. Subsequently, oil contaminants were removed with a cleaning agent. The rust spots on the steel surface were then eliminated by employing a wire brush and 2000-grit sandpaper. Finally, the surface was dried with anhydrous ethanol before coating application. The double-component epoxy asphalt coating was applied to the surface, with a thickness greater than 300 μm, and the coating was cured at room temperature to form a film before the preparation of the protective coating specimens for the steel components was completed (Figure 1). Moreover, during the experimental process, the orientation of the specimen remained unchanged.
Figure 1.
Steel component protective coating test sample.
2.2. Testing Device
The testing device consists of an overhead mechanical stirrer ➀, a water and sediment mixing pool ➁, a support frame ➂, a specimen holder ➃, and a rotating plate ➄, among other components, as shown in Figure 2. By controlling the rotational speed of the overhead mechanical stirrer, different erosion flow velocities can be simulated. The sediment-laden water tank was used to simulate the sediment-laden water environment. The rotating plate was employed to simulate various erosion angles, with an adjustable range of 0 to 90 degrees. The specimen holder was primarily used to place protective coating samples, which were then immersed in the sediment-laden water tank to simulate the damage process of protective coatings on steel components under different erosion conditions. The support frame was utilized to uphold the entire testing device.
Figure 2.
Accelerated erosion wear testing device: (i) sediment-water mixing system; (ii) specimen testing platform.
In order to obtain the erosion velocity, the LS-501D direct-reading propeller current meter was placed in the tank to measure the flow velocity directly in front of the coated specimen (Figure 3a). At each coated specimen location, five flow velocity readings were recorded, and the average value was calculated as the final erosion velocity.
Figure 3.
Flow velocity characteristics: (a) velocity measurement; (b) the fitting curve of flow velocity versus rotational speed.
To determine the sediment concentration on the surface of the specimen subjected to erosion, a beaker was used to collect water samples in front of the specimen (Figure 4a). The total mass of the water sample was measured by weighing. Subsequently, the water sample was dried, and the mass of the sediment was recorded. Based on these measurements, the actual sediment concentration under different rotation speeds was calculated. Finally, the discrepancy between the actual sediment concentration and the theoretical sediment concentration was analyzed.
Figure 4.
Measurement and analysis of sediment concentration: (a) sediment concentration measurement; (b) error analysis between actual sediment concentration and theoretical sediment concentration.
The calibration results for flow velocity and sediment concentration obtained from this device are illustrated in Figure 3 and Figure 4, respectively. As depicted in Figure 3b, the scatter points were fitted using a linear function, yielding a correlation coefficient of R2 = 0.9498, which signifies a robust fitting correlation. Consequently, the functional relationship between the non-dimensional erosion velocity (Ve/Vn) and the rotational speed of the non-dimensional rotor (ω/ωn) was established as follows:
where Ve is the measured erosion velocity (m·s−1), Vn is the unit erosion rate (1 m·s−1), ω is the actual rotational speed (r·min−1), and ωn is the unit rotational speed (1 r·min−1).
As illustrated in Figure 4, under rotational speeds below 560 r/min, the deviation between the measured and theoretical sediment concentrations remained within ±30%, effectively reflecting the erosion characteristics of coatings under specific sediment concentrations. However, at rotational speeds exceeding 560 r/min, substantial discrepancies arose between the actual and preset sediment concentrations. This phenomenon is attributed to the enhanced kinetic energy of sediment particles at higher rotational velocities, resulting in increased collision frequency between particles and protective coating specimens per unit time. Consequently, such conditions failed to accurately simulate erosion behavior under controlled sediment concentration parameters. To ensure experimental validity, rotational speeds should be maintained below 560 r/min.
The test for accelerating the deterioration of protective coatings under water and sediment erosion involves adjusting the rotational speed to change the erosion rate. The results of simulating erosion rates at different rotational speeds are shown in Table 1.
Table 1.
The numerical values of erosion velocity simulated at different rotational speeds.
Through an investigation of the damage distribution of protective coatings on steel components in harbor environments, it was found that the main wear areas of the coatings were located within the angular range of −90° to 90° relative to the flow direction (Figure 5). To simulate the erosion damage in these areas, the angle of the test panel was adjusted in the experiments. The test panel is connected to the base via a threaded rod. Both ends of the rod are fitted with nuts, and the bottom of the test panel is embedded into the top end of the rod. By tightening the nuts, the test panel can be securely fixed to the rod. The angle adjustment was achieved by rotating the rod to align the test panel with the desired flow direction, after which the lower nut was tightened to complete the installation and angle adjustment of the test panel.
Figure 5.
Main wear areas of protective coatings on steel components.
The sand particles used in the experiments were collected in situ from a location near the engineering site. Since the primary focus of this study is to investigate the effects of water and sediment erosion on the protective coatings of steel structures, the collected sediment was carefully washed and sieved to obtain impurity-free sand particles that met the gradation requirements for the experiments (Table 2). The main components of the sand were SiO2, feldspar, etc., and the specific gravity of the sand grains was 2.7 kg/m3.
Table 2.
Particle size distribution of sediment.
2.3. Test Conditions
The main factors affecting the erosion damage of protective coatings include erosion velocity, sediment concentration, and erosion angle. Considering the numerous factors influencing the erosion damage of protective coatings, the Taguchi method was used to design the test to improve efficiency [29]. The control factors selected for the test process include erosion velocity, sediment concentration, and erosion angle. Existing research has shown that increasing or decreasing a specific parameter in erosion conditions does not alter the pattern of coating erosion [28]. The primary difference lies in the accelerated rate of coating erosion, while the underlying erosion mechanisms and damage progression remain representative of field conditions. Therefore, the impact factor values were amplified to achieve the effect of accelerated erosion. The erosion velocities were set at 2 m/s, 3 m/s, 4 m/s, 5 m/s, and 6 m/s; the sediment concentrations were set at 5 kg/m3, 10 kg/m3, 20 kg/m3, 30 kg/m3, and 40 kg/m3; and the erosion angles were set at 0°, 30°, 45°, 60°, and 90°. An L25 (53) orthogonal test combination was used, with an erosion time of 60 h. According to the horizontal orthogonal design, 25 sets of tests were required for 3 factors and 5 levels. The specific test values are shown in Table 3.
Table 3.
Orthogonal test values for 3 factors and 5 levels.
2.4. Coating Damage Indicators
2.4.1. Adhesion
Adhesion refers to the bonding strength between the coating and the substrate interface, which is the most important characteristic of the coating–substrate interface [30]. In this paper, the Posi Test AT-A adhesion tester (Figure 6a) was used to measure the changes in coating adhesion under different erosion conditions. For each working condition, three specimens were used to test the coating adhesion. The adhesion tester was used to measure the adhesion of the specimens after 0 h, 10 h, 20 h, 30 h, 40 h, 50 h, and 60 h of erosion under each working condition.
Figure 6.
Test collection instrument: (a) adhesion tester; (b) coating surface morphology acquisition instrument; (c) three-dimensional surface topography instrument.
The adhesion test was conducted in accordance with the Chinese standard “Adhesion test for paint and varnish drawing method” (GB/T 5210-2006) [31]. A test cylinder with a diameter of 20 mm was used, and a two-component high-strength adhesive (with a shear strength of ≥18 MPa) was employed as the bonding agent. The specific procedure was as follows: the specimen surface and the test cylinder were cleaned with anhydrous ethanol → the two-component adhesive was evenly applied to the test cylinder, which was then bonded to the test area of the specimen and allowed to cure for 24 h → a cutting tool was used to remove excess coating around the edges of the cylinder down to the steel substrate → the instrument applied a force at a constant rate until the coating detached from the substrate, and the value displayed on the tester’s indicator at the moment of detachment was recorded as the adhesion strength.
2.4.2. Damage Characteristic Values
The erosion damage acceleration test for the coating was set with an erosion time of 60 h, and the sampling interval was set at 10 h, resulting in a total of 6 coating morphology images being collected. The corresponding instruments (Figure 6) were used to collect the damage information of the protective coating on steel components after 0 h, 10 h, 20 h, 30 h, 40 h, 50 h, and 60 h of erosion under each working condition, totaling 525 specimens. The damage characteristic values were divided into damage rate, scratches, pits, and erosion depth feature extraction. The specific extraction methods for each indicator are as follows.
- (1)
- Damage rate
The damage rate was used to evaluate the degree of erosion damage to the protective coating on steel components. High-definition cameras (Figure 6b) were used to capture images, and the damaged areas of the protective coating were identified as the exposed and rusted areas of the steel substrate. Based on U-Net image segmentation, the eroded damage areas were marked and processed as a training set to determine the convolution kernel parameters and deconvolution parameters in the U-Net algorithm, achieving binary classification of the damaged areas and the background environment and generating binary images of the marked, damaged areas of the protective coating. Contour recognition was used to capture each damaged area and calculate its corresponding area, and finally, the damage rate was calculated. The damage rate is the ratio of the damaged area to the total area:
where ηe is the damage rate; xi is the pixel area of the i-th damaged area; and X is the total pixel area of the erosion damage image.
- (2)
- Scratch and pit feature extraction
Morphological damage feature extraction mainly includes the extraction of scratch length, inclination angle, pit diameter, and position. The specific steps are as follows (Figure 7): ➀ Use a high-definition camera to capture damage images; ➁ Process the damage images through grayscale conversion, noise reduction, enhancement, and binarization; ➂ Extract data from the images, including the length and inclination angle of scratches in the damaged areas, as well as the coordinates of the scratch endpoints (or the area, perimeter, and centroid coordinates of pits, etc.); and ➃ Count the length and inclination angle of the scratches (the diameter and centroid coordinates of the pits) under various working conditions.
Figure 7.
The process of extracting the coating damage rate based on image recognition method.
The results obtained through software are in pixel values, which need to be converted into real-world measurements to represent the dimensions of the scratches. Given that the binary image has a resolution of 650 × 650 pixels and the actual physical size of the image is 27 mm × 27 mm, the specific calculations are as follows:
- (1)
- Scratch length and angle calculation
Assume the length of a certain scratch is denoted as li, and the scratch inclination angle (the angle between the scratch and the horizontal plane) is θi. The coordinates of the two endpoints of the scratch are (Xm, Ym) and (Xn, Yn). Based on the binary image, the following damage characteristics can be derived:
Scratch length (mm)
Scratch inclination angle (°)
- (2)
- Pit diameter and centroid coordinates calculation
Assuming the pit is circular, with an area of A and centroid coordinates of (Xl, Yl), the actual pit diameter ri and the centroid coordinates (Xi, Yi) of the pit can be derived from the binary image. The calculation formulas are as follows:
Pit diameter (mm)
Pits centroid coordinates
- (3)
- Erosion depth
To accurately capture the variation pattern of the coating thickness on each surface, a three-dimensional non-contact surface profiler (Figure 6c) was used to obtain the initial morphology of the coating specimen. Combined with three-dimensional analysis software, the initial morphology data points of the coating were extracted from the curve, and finally, the distribution of the coating was plotted. The change in coating thickness at each erosion time period is the erosion depth:
where ∆dei is the erosion depth in the i-th time period (μm) (in this paper, i takes the values of 1, 2, 3, 4, 5, or 6) and Dti is the remaining thickness of the coating at ti hours of erosion (μm) (in this paper, ti takes the values of 0, 10, 20, 30, 40, or 50).
3. Results and Discussion
This test is a single-factor test that changes the erosion velocity, sediment concentration, and erosion angle. The self-made accelerated erosion wear test device was used to control the parameters that simulate the erosion velocity, sediment concentration, and erosion angle, simulating the characteristics of the on-site water–sediment environment of inland rivers so that the specimen achieved the accelerated wear effect under the action of water and sediment erosion. The specific changes in each damage indicator were as follows:
3.1. Change Pattern of Erosion Adhesion of Protective Coating
Three parallel samples were set for each working condition, and the change process of the adhesion of the protective coating of steel components with time under the same sediment concentration was plotted, as shown in Figure 8. Under different working conditions, the adhesion decreases rapidly at first and then slowly with time.
Figure 8.
Curve of adhesion variation: (a) Se = 5 kg/m3; (b) Se = 10 kg/m3; (c) Se = 20 kg/m3; (d) Se = 30 kg/m3; (e) Se = 40 kg/m3.
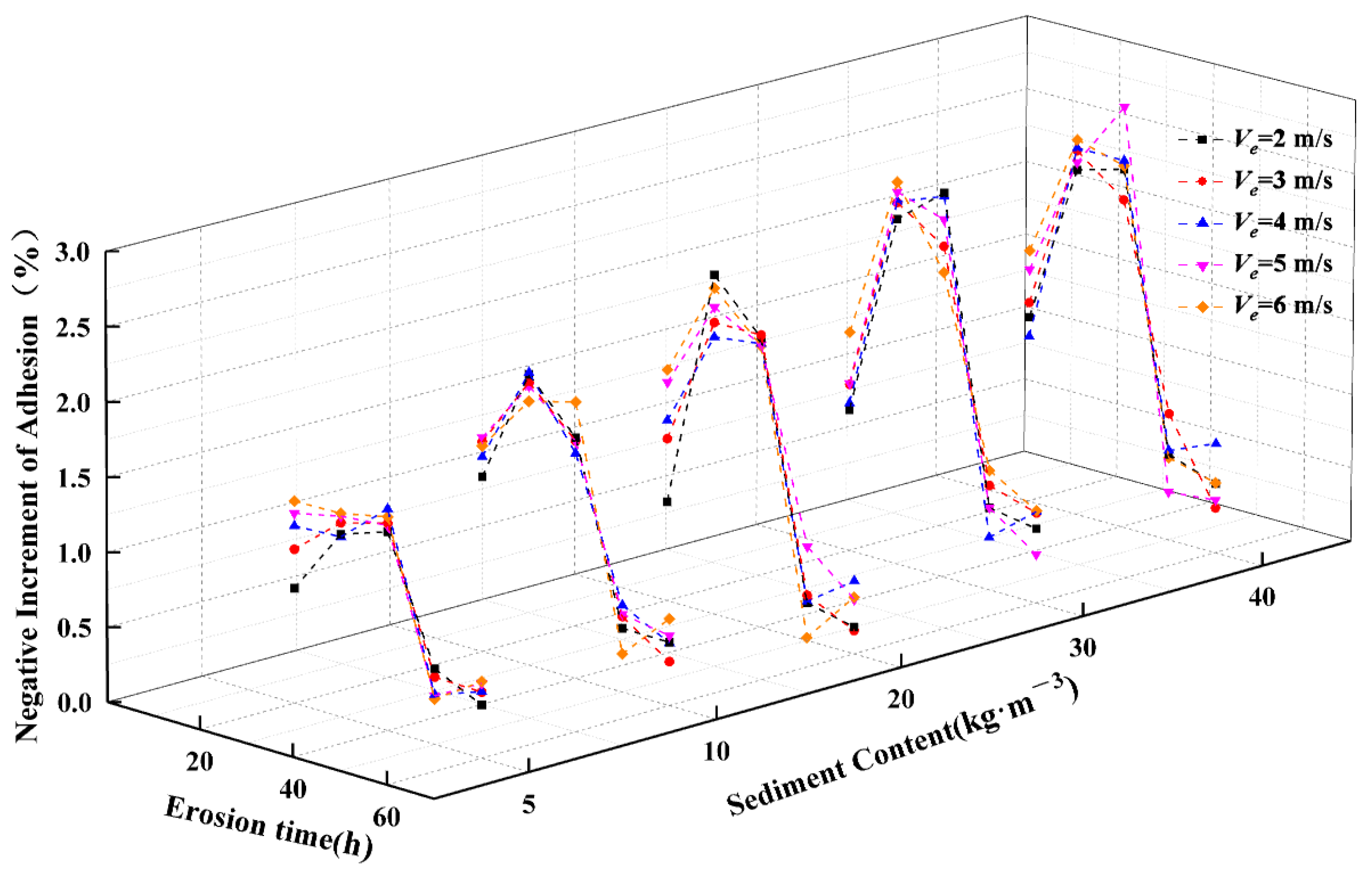
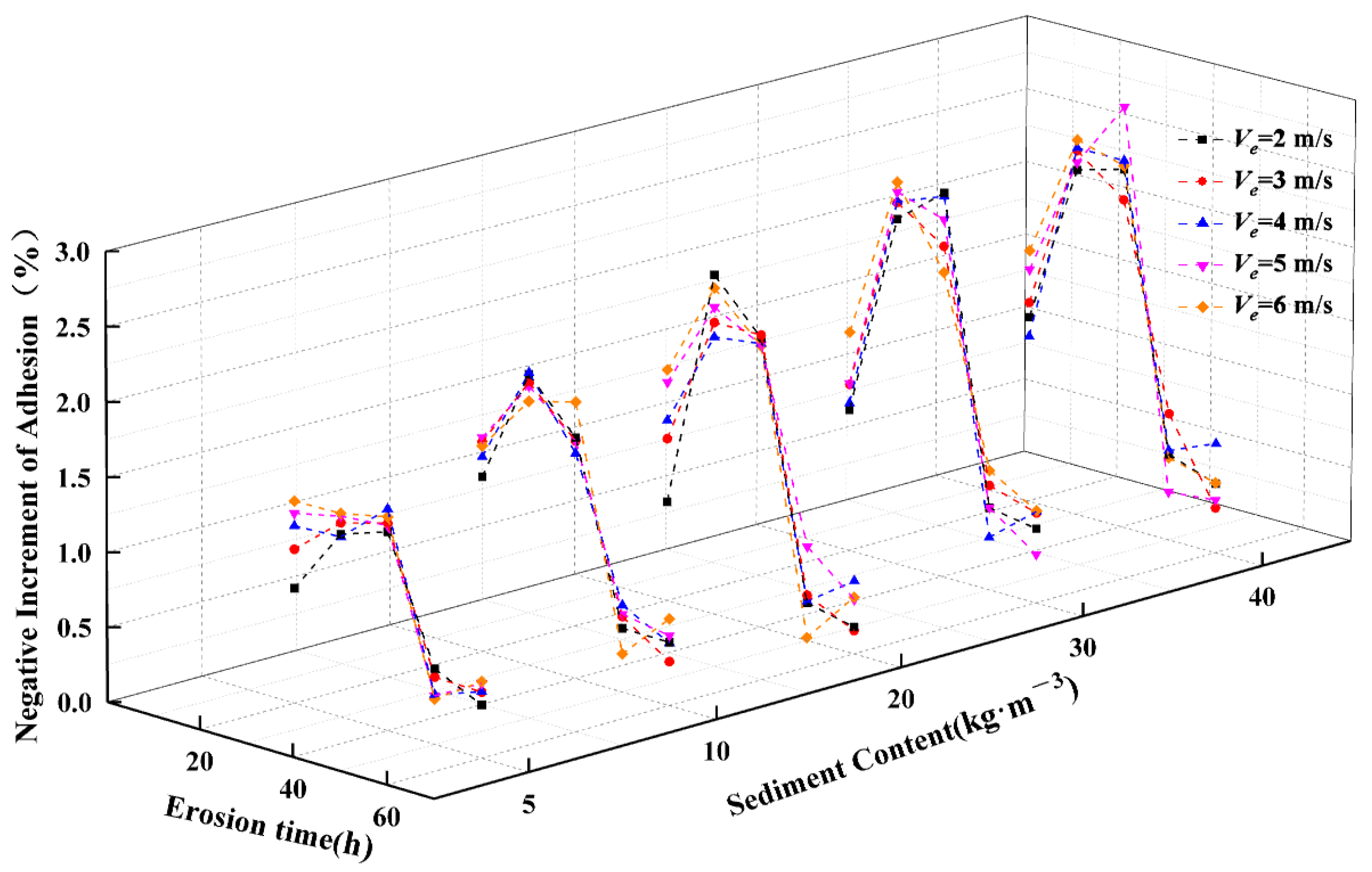
Adhesion is an important indicator reflecting the performance of the coating. As the erosion damage time of the protective coating of steel components increases, its adhesion gradually decreases. To clarify the change in adhesion at different erosion stages, the reduction in adhesion under each working condition for each erosion cycle was compared and analyzed, and the results are shown in Figure 9. As can be seen from the figure, between 20 h and 40 h of erosion time, the negative increment of adhesion changes is relatively large, indicating that the damage to the protective coating of steel components is more obvious during this period than at other times. The decrease in adhesion between 40 h and 60 h of erosion time is significantly smaller than in other periods, mainly because after the surface erosion damage of the coating reaches its peak, the damage changes slowly, and the decrease in adhesion slows down accordingly. The change in the negative increment of adhesion in the last 30 h of erosion time is significantly smaller than in the first 30 h of erosion time. This is because in the early stage of erosion, sediment particles are prone to form defects such as scratches and pits on the surface of the protective coating, resulting in a large surface roughness of the coating, and the adhesion changes more obviously at this time. However, as time goes by, the damage on the surface of the coating becomes more and more uniform, so the adhesion does not change significantly, and the negative increment of adhesion becomes smaller. Furthermore, as can be seen from Figure 10, the photographs of the adhesion test results demonstrate that the coating failure was exclusively caused by debonding at the interface between the coating material and the steel substrate rather than cohesive failure within the coating itself. This observation also confirms that the water and sediment erosion in the experiments only induced mechanical damage to the coating surface without altering the intrinsic properties of the coating.
Figure 9.
Negative increment change curve of adhesion force.
Figure 10.
Interfacial failure characteristics of the coating in adhesion tests.
3.2. Morphological Damage Characteristics of Protective Coating
3.2.1. Morphological Damage Process
After each erosion cycle, the specimen was washed with clean water and wiped dry, and then the morphology was collected with a high-definition camera. The damage morphology changes of the protective coating of steel components under different working conditions in the middle area were analyzed, and then the damage rate of the protective coating of steel components under different working conditions was obtained. The damage morphology of the protective coating of steel components at different erosion times under working condition 1 is shown in Figure 11.
Figure 11.
Morphological damage evolution process of protective coatings (Se = 5 kg/m3, Ve = 2 m/s, and φe = 0°).
As can be seen from Figure 11, in the early stage of erosion, the morphological damage of the protective coating of steel components is mainly in the form of points and pits; in the middle stage of erosion, the morphological damage increases in the form of scratches, and as time increases, the damage of pits and scratches gradually becomes obvious; in the later stage of erosion, the morphological damage changes of the protective coating of steel components gradually decrease.
3.2.2. Damage Rate
- (1)
- Damage rate increment change
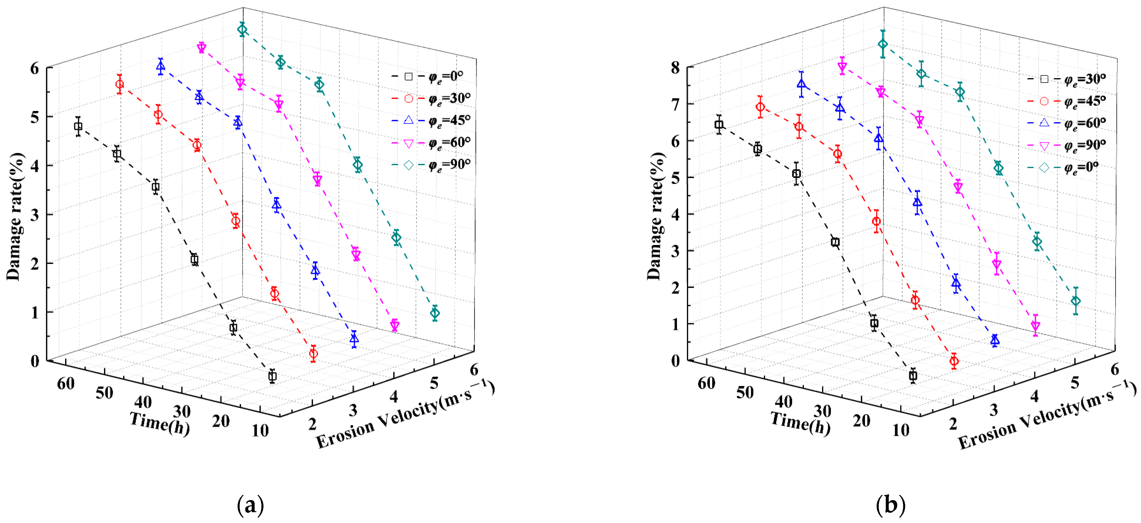
The damage rate of the protective coating under different sediment concentrations, erosion velocities, and erosion angles was counted, and the change process of the damage rate of the protective coating under each working condition is shown in Figure 12.

Figure 12.
Curve of damage rate variation: (a) Se = 5 kg/m3; (b) Se = 10 kg/m3; (c) Se = 20 kg/m3; (d) Se = 30 kg/m3; and (e) Se = 40 kg/m3.
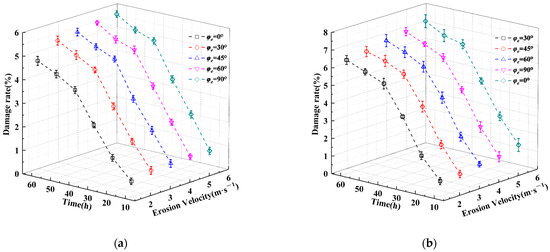
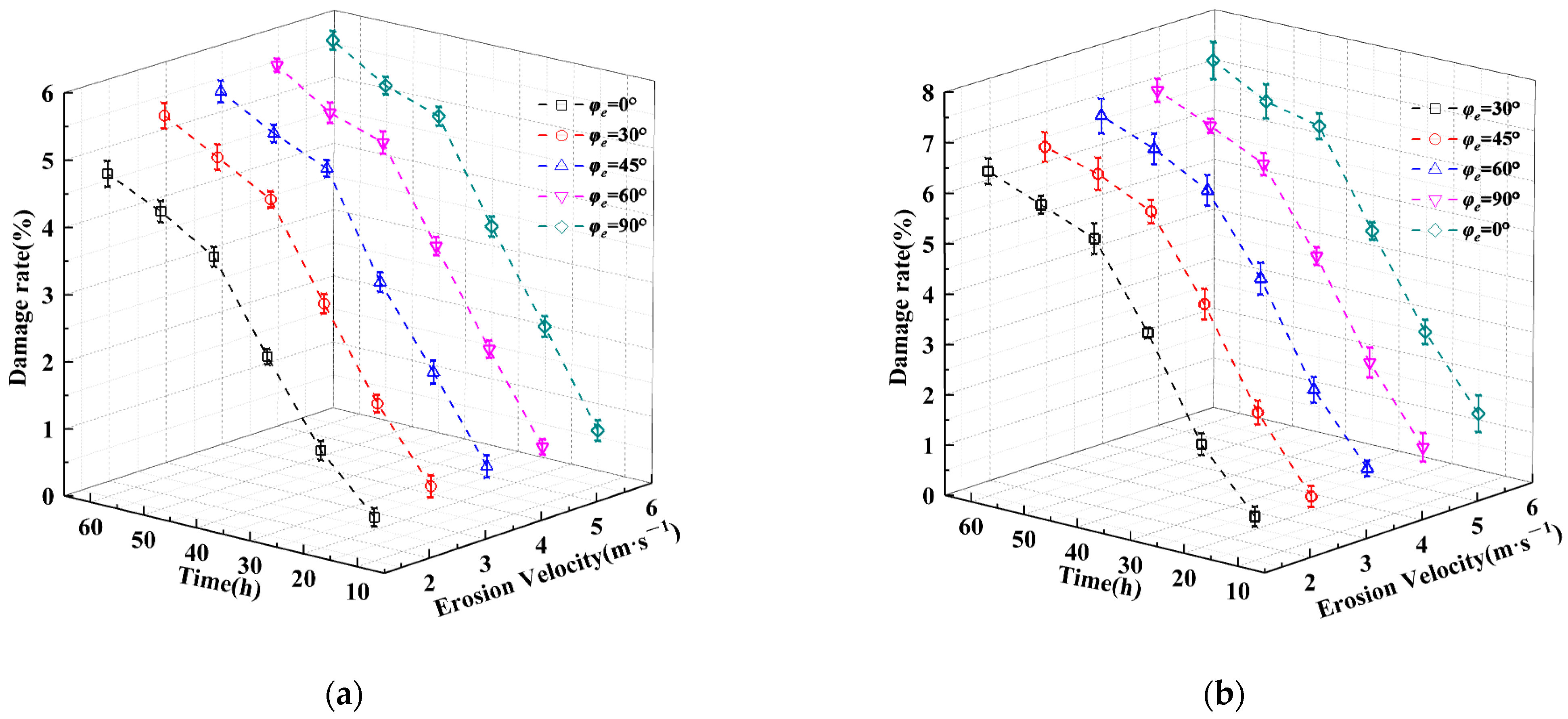
By analyzing the change process of the damage rate of the protective coating of steel components (Figure 12), the following basic rules can be obtained:
- In the early stage of erosion, the erosion damage area is small and mainly local damage, and a large number of pinholes appear on the surface of the specimen. As the erosion time increases, the damage area increases, and the local erosion areas gradually connect into one piece, indicating that the damage of the coating starts with local erosion and gradually extends to the entire surface, with surface damage characteristics of both scratches and pits;
- As the sediment concentration and erosion velocity increase, the surface damage rate of the coating becomes larger and larger, with a maximum of 9.8%. When the sediment concentration is in the range of 5 kg/m3 to 10 kg/m3, the damage rate gradually increases with the increase in erosion velocity under the condition of fixed sediment concentration. When the sediment concentration is in the range of 20 kg/m3 to 40 kg/m3, the damage rate does not change significantly with the increase in erosion velocity under the condition of fixed sediment concentration, indicating that the greater the sediment concentration, the smaller the impact of erosion velocity and erosion angle on the damage rate;
- Under the condition of certain sediment concentration and erosion velocity, the change trend of the damage rate of the protective coating of steel components with erosion time approximately presents a logarithmic function relationship.
- (2)
- Damage rate signal-to-noise ratio
In the orthogonal test, the signal-to-noise ratio (S/N) was used to measure the fluctuation of the indicator to evaluate the target characteristics [32]. The static characteristics are divided into the following three categories: nominal characteristics (the characteristics fluctuate around the target value); smaller-the-better characteristics (the smaller the characteristic value, the better); and larger-the-better characteristics (the larger the characteristic value, the better). In order to find the working condition corresponding to the maximum damage rate, the larger-the-better characteristic was selected for analysis, and the formula of the larger-the-better characteristic signal-to-noise ratio is as follows:
where ns is the number of test repetitions, and ηe is the test dependent variable, that is, the damage rate.
According to Formula (8), the signal-to-noise ratio of the damage rate of the protective coating under each working condition under water and sediment erosion was calculated, as shown in Table 4.
Table 4.
Damage rate and signal-to-noise ratio of protective coatings under various working conditions.
As can be seen from Table 4, when the sediment concentration is 40 kg/m3, the erosion velocity is 6.0 m/s, the erosion angle is 60°, and the erosion time is 60 h, The damage rate’s signal-to-noise ratio is the highest for the protective coating of steel components. The size of the signal-to-noise ratio reflects the stability of the test factors. The larger the signal-to-noise ratio, the more stable the factors are during the test process. According to the signal-to-noise ratio values of each working condition in the orthogonal test, the signal-to-noise ratio increases with the increase in sediment concentration and fluctuates within a certain range with the increase in erosion angle and erosion velocity; that is, the greater the sediment concentration, the more stable the damage rate. The variance analysis of the signal-to-noise ratio of the damage rate was carried out, and the contribution rate of each factor to the damage rate’s signal-to-noise ratio was obtained for the protective coating of steel components The formula for calculating the contribution rate is as follows [33]:
where ρF is the contribution rate of impact factor F, which includes sediment concentration, erosion velocity, and erosion angle; SSF is the sum of squared deviations of impact factor F; SSE is the sum of squared deviations of error e; and SST is the total sum of squared deviations:
where n is the number of rows in the orthogonal test (n = 25); yi is the calculated value of S/N; is the average value of S/N; f is the number of levels of impact factor F (in this paper, f = 5); ni is the number of tests under the i-th level; and is the average S/N value under each level of impact factor F.
Combining Formulas (9) and (10), the contribution rate of each factor to the signal-to-noise ratio of the protective coating of steel components after erosion was obtained, as shown in Table 5.
Table 5.
Contribution rates of each factor to the signal-to-noise ratio of the protective coating.
As can be seen from Table 5, the sediment concentration has the greatest contribution rate to the signal-to-noise ratio of the damage rate of the protective coating of steel components, indicating that the sediment concentration has the greatest impact on the damage rate, followed by erosion velocity, and the erosion angle has the least impact on coating damage.
3.2.3. Scratch Characteristic Values
Based on image recognition, the images were analyzed and counted to determine the length and inclination angle of the scratches on the protective coating under each working condition. The maximum, minimum, and average values of the scratch length on the protective coating under each working condition with the change in erosion time are shown in Figure 13.
Figure 13.
Statistics of scratch characteristics: (a) scratch length; (b) angle of scratch inclination.
3.2.4. Pit Characteristic Values
Based on image recognition technology, the damage images were analyzed and counted, mainly analyzing the maximum, average, and minimum values of the pit diameter. The characteristic values of pit diameter and position information of the protective coating of the steel components under different working conditions after 60 h of erosion are shown in Figure 14.
Figure 14.
Statistics of pit features: (a) diameter; (b) location.
At the same time, in order to analyze the distribution position of the pits, the centroid coordinates of the pits were analyzed, and it was found that the pits were mainly concentrated in the middle area, as shown in Figure 14b. As can be seen from Figure 14a, the characteristic values of the pit diameter under each working condition range from 1 mm to 4 mm, and the area with the highest frequency of occurrence is in the middle of the specimen. Therefore, the pit characteristic values can be divided into intervals, and the average value of each interval was taken as the representative value. The representative values of pit diameter are 1 mm, 2 mm, 3 mm, and 4 mm, and the main occurrence area is within the range of 1.6 cm × 1.6 cm in the middle of the specimen. This phenomenon can be attributed to the end effects caused by the specimen’s flow resistance. When the water–sediment mixture flows around the specimen, flow separation occurs at the front edge, creating a distinctive flow pattern where the mixture spreads laterally from the center to the edges along the specimen surface. This flow pattern significantly reduces the impact of sand particles on the specimen edges, resulting in more severe damage in the central region compared to the edges. This flow field distribution is consistent with the flow characteristics around square pile surfaces [34].
3.3. Variation Patterns in Erosion Depth
3.3.1. Erosion Depth Change Process
The surface morphology characteristics of the coating specimen can be obtained by shooting with a high-definition camera, but the analysis of the coating depth change is lacking. It is necessary to combine the change process of the coating erosion depth to further analyze the erosion damage law of the protective coating. A three-dimensional non-contact surface profiler was used to collect the remaining thickness of the protective coating under different working conditions, which can intuitively reflect the distribution of the remaining coating thickness on the surface. Different colors represent different coating thickness values. The change process of the remaining thickness of the protective coating of the steel components under different working conditions is shown in Figure 15. Due to space limitations, only one working condition was selected for display.
Figure 15.
The variation process of the remaining thickness of protective coatings under different working conditions (condition 1: Se = 5 kg/m3).
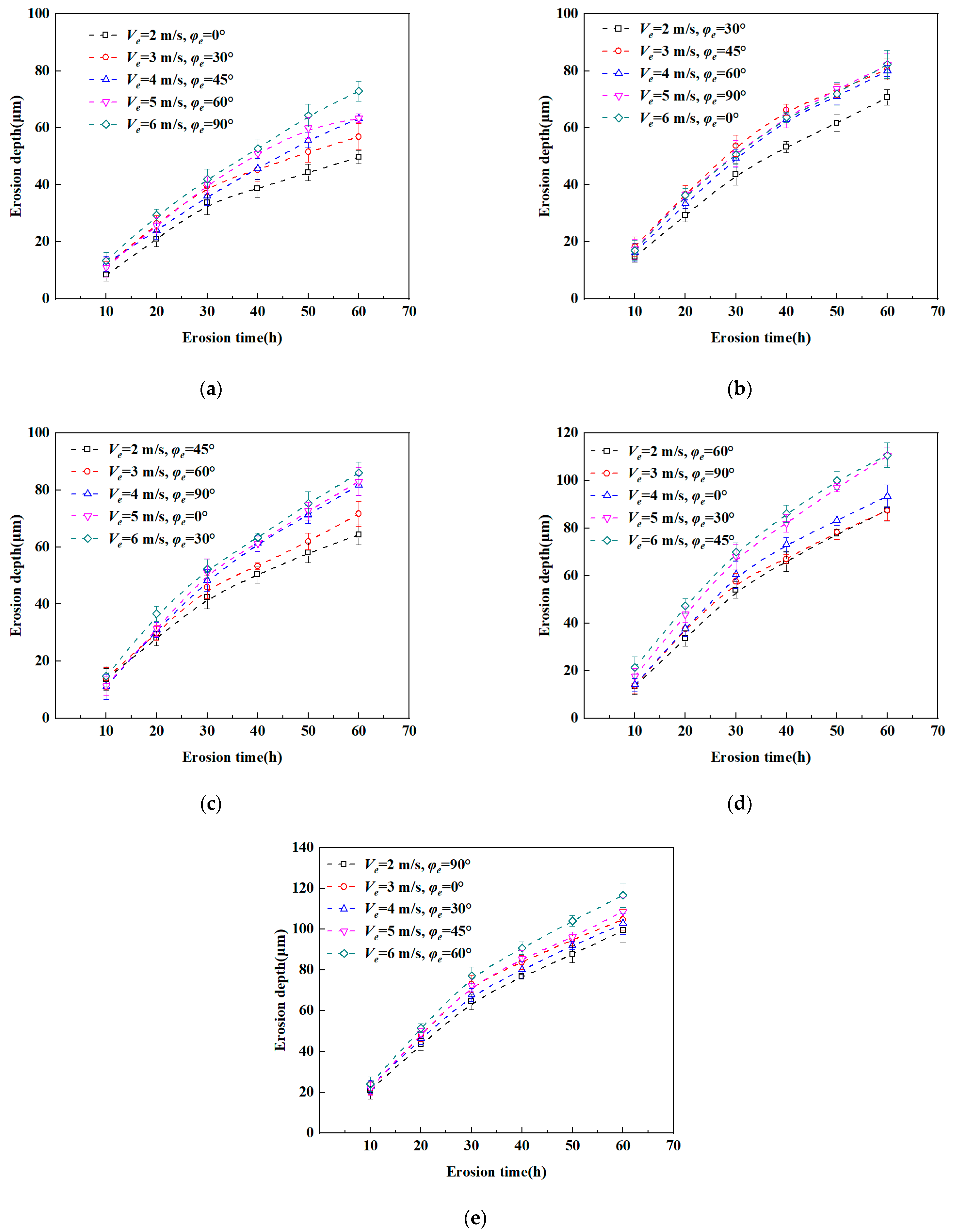
Combining Formula (7), the erosion depth of the protective coating at different times was calculated. The following basic rules can be obtained from the distribution map of the remaining thickness of the protective coating of steel components:
- (1)
- As the erosion time increases, the erosion depth increases, the uniform erosion component increases, and the local erosion areas gradually connect into one piece, with the erosion becoming more and more uniform;
- (2)
- The erosion depth is randomly distributed along each direction of the specimen surface. It is necessary to analyze the distribution law of the erosion depth in different directions to better grasp the distribution law of the erosion depth on the surface of steel components.
3.3.2. Statistical Analysis of Erosion Depth
The distribution of the remaining thickness of the protective coating of steel components qualitatively describes the distribution range of the damage. The change law of the erosion depth is shown in Figure 16.
Figure 16.
Curve of erosion depth variation: (a) Se = 5 kg/m3; (b) Se = 10 kg/m3; (c) Se = 20 kg/m3; (d) Se = 30 kg/m3; and (e) Se = 40 kg/m3.
Through the morphological damage changes and damage rate change process of the protective coating of steel components (Figure 16), the following basic rules can be obtained:
- (1)
- As the sediment concentration and erosion velocity increase, the erosion depth of the coating becomes larger and larger, with a maximum of 120 μm. The greater the erosion velocity, the greater the erosion depth of the coating;
- (2)
- Under the condition of certain sediment concentration and erosion velocity, the change trend of the erosion depth of the protective coating of steel components with erosion time approximately presents a logarithmic function relationship.
3.4. Mathematical Relationship of Damage Indicators
The erosion damage indicators of the protective coating of steel components mainly include adhesion, damage rate, and erosion depth. From the above research, it can be seen that there is a certain correlation between the damage rate of the protective coating and the characteristic values of the erosion depth. By establishing a quantitative expression between the two, the mean and standard deviation of the erosion depth of the coating can be indirectly obtained by obtaining the damage morphology of the protective coating. This section hopes to establish a mathematical model to predict the adhesion and erosion depth of the protective coating under different erosion conditions, providing a basis for reasonably predicting the durability of hydraulic steel components. The relationship between adhesion and damage rate, as well as adhesion and erosion depth, under different working conditions and different erosion times is shown in Figure 17.
Figure 17.
The relationship between the indicators of coating erosion damage: (a) the relationship between non-dimensional adhesion and damage rate; (b) the relationship between non-dimensional adhesion and non-dimensional erosion depth.
The relationship between non-dimensional adhesion and damage rate and non-dimensional adhesion and non-dimensional erosion depth follows a logarithmic function, and the correlation is good, with a correlation coefficient of more than 0.90, indicating that it is feasible to predict the adhesion and erosion depth of the coating by identifying the damage rate of the protective coating of steel components. The functional relationship between fe/f0 and ηe, fe/f0 and de/d0 is as follows:
where fe is the measured adhesion (MPa); f0 is the initial adhesion (2 MPa); ηe is the damage rate; de is the measured erosion depth (μm); and d0 is the initial erosion depth (350 μm).
4. Conclusions
In this paper, through the accelerated degradation test of protective coating damage under water and sediment erosion, the size of the damage indicators of the protective coating of steel components under different water and sediment erosion conditions was obtained, the degradation law of the protective coating under water and sediment erosion was explored, and the mathematical expression between the damage indicators of the protective coating was established. The main conclusions are as follows:
- (1)
- Under different working conditions, the erosion adhesion of the protective coating of steel components decreases rapidly at first and then slowly with time. In the early stage of erosion, sediment particles are prone to form defects such as scratches and pits on the surface of the protective coating, resulting in a large surface roughness of the coating, and the adhesion changes more obviously at this time. However, as time goes by, the damage on the surface of the coating becomes more and more uniform, so the adhesion does not change significantly, and the negative increment of adhesion becomes smaller;
- (2)
- In the early stage of erosion, the erosion damage area is small and mainly local damage, and a large number of pinholes appear on the surface of the specimen. As the erosion time increases, the damage of the coating starts with local erosion and gradually extends to the entire surface, with surface damage characteristics of both scratches and pits. Under the condition of certain sediment concentration and erosion velocity, the change trend of the damage rate with erosion time approximately presents a logarithmic function relationship, and the maximum damage rate can reach 9.8%. The sediment concentration has the greatest impact on the damage rate, followed by erosion velocity, and the erosion angle has the least impact on the coating damage. The characteristic values of scratch length under each working condition range from 5 mm to 25 mm, and the characteristic values of scratch inclination angle range from 0° to 90°; the characteristic values of pit diameter under each working condition range from 1 mm to 4 mm; and the area with the highest frequency of occurrence is within the range of 1.6 cm × 1.6 cm in the middle of the specimen;
- (3)
- Based on the erosion test data of the protective coating of steel components, the relationship between adhesion and damage rate, as well as adhesion and erosion depth, was established. It was found that the mean erosion depth and damage rate follow a linear function change law, and the adhesion and damage rate, as well as the adhesion and erosion depth, follow a logarithmic function change trend. The proposed empirical formula can provide a theoretical basis for quantitatively describing the surface defects of a coating.
Author Contributions
Investigation, data curation, formal analysis, writing—original draft preparation, B.P.; writing—original draft preparation, conceptualization, methodology, L.W.; writing—review and editing, resources, M.L.; supervision, validation, L.Z.; data curation, visualization, Z.H. and X.J.; validation, supervision, K.Y. All authors have read and agreed to the published version of the manuscript.
Funding
This research was supported by the Research and Innovation Program for Graduate Students in Chongqing (CYB240256), the National Natural Science Foundation of China (52279124), and the Key Projects for Technological Innovation and Application Development in Chongqing (CSTB2022TIAD-KPX0097).
Data Availability Statement
The datasets presented in this article are not readily available because the data are part of an ongoing study. Requests to access the datasets should be directed to the corresponding author, Linjian Wu, at wljabgf@126.com.
Conflicts of Interest
The authors declare no conflicts of interest.
Nomenclature
| Symbols | |||
| Ve | erosion velocity (m·s−1) | Dti | remaining thickness of the coating at ti hours of erosion (μm) |
| Vn | unit erosion rate (1 m·s−1) | ns | number of test repetitions |
| ω | rotational speed (r·min−1) | ρF | contribution rate of impact factor F |
| ωn | unit rotational speed (1 r·min−1) | n | number of rows in the orthogonal test |
| Se | sediment concentration (kg·m−3) | yi | calculated value of S/N |
| φe | erosion angle (°) | average value of S/N | |
| ηe | damage rate | f | number of levels of impact factor F |
| xi | pixel area of the i-th damaged area | ni | number of tests under the i-th level |
| X | total pixel area of the erosion damage image | average value under each level of impact factor F | |
| li | length of a certain scratch (mm) | fe | measured adhesion (MPa) |
| θi. | scratch inclination angle (°) | f0 | initial adhesion (2 MPa) |
| ri | pit diameter (mm) | d0 | initial erosion depth (350 μm) |
| de | erosion depth (μm) | ||
| Abbreviations | |||
| S/N | signal-to-noise ratio | SSE | sum of squared deviations of error |
| F | impact factor | SST | total sum of squared deviations |
| SSF | sum of squared deviations of impact factor F | ||
References
- Xie, Y.P.; Li, X.H. Influence of the Coupling Effect of Ocean Currents and Waves on the Durability of Pier Structure of Cross-sea Bridges. J. Coastal Res. 2020, 110, 87–90. [Google Scholar]
- Lian, Y.; Zhong, F.; Zheng, J.; Chen, W.; Ma, G.; Wang, S.; Yim, S.C. Effects of Mooring Line with Different Materials on the Dynamic Response of Offshore Floating Wind Turbine. J. Mar. Sci. Eng. 2023, 11, 2302. [Google Scholar] [CrossRef]
- Melchers, R.E.; Tan, M.Y. Long-term corrosion of abandoned offshore steel infrastructure. Corros. Eng. Sci. Technol. 2023, 58, 712–722. [Google Scholar]
- Lin, L.; Wang, F.C. Analytical behavior of concrete-filled steel tubular pile used in coastal wharf structure subjected to combined loads. Ocean. Eng. 2024, 308, 118388. [Google Scholar]
- Laleh, M.; Huo, Y.; Kannan, M.B.; Petersen, R.B.; Melchers, R.E.; Tan, M.Y. Probing and monitoring multiple forms of localised corrosion occurring concurrently on pipeline steels in marine environments. Corros. Sci. 2024, 240, 112453. [Google Scholar]
- Atta, A.M.; Ahmed, M.A.; Tawfek, A.M.; El-Faham, A. Functionalization of Silica with Triazine Hydrazide to Improve Corrosion Protection and Interfacial Adhesion Properties of Epoxy Coating and Steel Substrate. Coatings 2020, 10, 351. [Google Scholar] [CrossRef]
- Momber, A.W.; Langenkämper, D.; Möller, T.; Nattkemper, T.W. The exploration and annotation of large amounts of visual inspection data for protective coating systems on stationary marine steel structures. Ocean. Eng. 2023, 278, 114337. [Google Scholar]
- Shi, Y.; Wei, J.H.; Li, S.W.; Peng, S.T.; Zhang, B.W. Experimental study on containment of moderate-viscous oil by floating boom subject to waves and currents. Appl. Ocean. Res. 2020, 94, 102003. [Google Scholar]
- Li, M.; Zhang, R.; Liu, K.F. A New Marine Disaster Assessment Model Combining Bayesian Network with Information Diffusion. J. Mar. Sci. Eng. 2021, 9, 640. [Google Scholar] [CrossRef]
- Wang, Z.L.; Chen, Y.H.; Zeng, Z.Y.; Li, R.S.; Li, Z.Y.; Li, X.F.; Lai, C.G. Compound effects in complex estuary-ocean interaction region under various combination patterns of storm surge and fluvial floods. Urban. Clim. 2024, 58, 102186. [Google Scholar]
- Nakamura, T.; Nakai, Y.; Cho, Y.H.; Mizutani, N. Modeling Tsunami-Induced Erosion of Bridge-Abutment Backfill. J. Mar. Sci. Eng. 2020, 8, 922. [Google Scholar] [CrossRef]
- Liang, S.L.; Duan, L.L.; Geng, B.; Liu, Z.; Fan, M.L.; Wu, Y.H.; Tang, Y.; Zahid, A. Numerical investigation on erosion characteristics of elevated pile cap in high concentration sediment flow environment. Wear 2025, 562, 205646. [Google Scholar] [CrossRef]
- Behera, N.; Medabalimi, S.; Ramesh, M.R. Effect of Impact Angles and Temperatures on the Solid Particle Erosion Behavior of HVOF Sprayed WC-CO/NiCr/MO and Cr3C2-CONiCrAlY Coatings. J. Therm. Spray. Technol. 2023, 32, 2411–2425. [Google Scholar] [CrossRef]
- Pandey, A.; Gupta, A.; Kumar, D.; Goyal, R. HVOF-sprayed surface coating with various compositions of CO-NiCrAlY-Al2O3 to minimize sediment erosion in hydraulic turbines. Surf. Coat. Technol. 2024, 481, 130644. [Google Scholar] [CrossRef]
- Tempelis, A.; Mishnaevsky, L. Coating material loss and surface roughening due to leading edge erosion of wind turbine blades: Probabilistic analysis. Wear 2025, 566, 205755. [Google Scholar] [CrossRef]
- Zhang, K.; Yu, Y.H.; Zhao, H.T.; Yang, B.; Guo, A.J.; Zhang, H.L. Erosion wear resistance of graphite/epoxy resin coating under strong windblown sand and grit flow. Wear 2025, 564, 205700. [Google Scholar] [CrossRef]
- Peng, W.S.; Cao, X.W. Numerical simulation of solid particle erosion in pipe bends for liquid-solid flow. Powder Technol. 2016, 294, 266–279. [Google Scholar] [CrossRef]
- Shen, Z.J.; Chu, W.L.; Li, X.J.; Dong, W. Sediment erosion in the impeller of a double-suction centrifugal pump—A case study of the Jingtai Yellow River Irrigation Project, China. Wear 2019, 422, 269–279. [Google Scholar] [CrossRef]
- Jia, W.F.; Yi, Y.J. Numerical study of the water-sediment regulation scheme (WSRS) impact on suspended sediment transport in the Yellow River Estuary. Front. Mar. Sci. 2023, 10, 1135118. [Google Scholar] [CrossRef]
- Farokhipour, A.; Mansoori, Z.; Saffar-Avval, M.; Ahmadi, G. 3D computational modeling of sand erosion in gas-liquid-particle multiphase annular flows in bends. Wear 2020, 450, 203241. [Google Scholar] [CrossRef]
- Peng, W.S.; Cao, X.W.; Hou, J.; Xu, K.; Fan, Y.; Xing, S.H. Experiment and numerical simulation of sand particle erosion under slug flow condition in a horizontal pipe bend. J. Nat. Gas. Sci. Eng. 2020, 76, 103175. [Google Scholar]
- Zhu, L.X.; Luo, J.H.; Huang, C.C.; Zhou, L.; Li, L.F.; Li, Y.B.; Wang, Z.G. Erosion Resistance of Casing with Resin and Metallic Coatings in Liquid-Solid Two-Phase Flow. Processes 2024, 12, 790. [Google Scholar] [CrossRef]
- Liu, M.W.; Zeng, L.Q.; Yu, J.; Liang, Y.; Wang, J.J.; Yang, C.Y. Erosion characteristics and damage model of anti-corrosion coating on steel-structure in inland river wharf. J. Harbin Inst. Technol. 2019, 51, 115–122. [Google Scholar]
- Lepicka, M. Coating failure detection in scratch testing: A cross-sectional SEM/FIB microscopic study coupled with nonlinear analysis methods in a model titanium nitride/stainless steel system. Wear 2025, 562, 205670. [Google Scholar]
- Li, J.H.; Tao, J.L. CFD-DEM Two-Way Coupled Numerical Simulation of Bridge Local Scour Behavior under Clear-Water Conditions. Transport Res. Rec. 2018, 2672, 107–117. [Google Scholar]
- Wang, D.; Shao, S.D.; Li, S.W.; Shi, Y.; Arikawa, T.; Zhang, H.Q. 3D ISPH erosion model for flow passing a vertical cylinder. J. Fluid. Struct. 2018, 78, 374–399. [Google Scholar] [CrossRef]
- Xiao, Z.; Song, L.; Li, J.H. Stability of the large cylindrical structures in Hong Kong-Zhuhai-Macao bridge: A case study. Appl. Ocean. Res. 2020, 97, 102092. [Google Scholar]
- Zeng, L.Q.; Liu, M.W.; Wu, L.J.; Zhou, C.; Abi, E.D. Erosion characteristics of viscoelastic anticorrosive coatings for steel structures under sand flow. Constr. Build. Mater. 2020, 258, 120360. [Google Scholar] [CrossRef]
- Jung, K.H.; Kim, S.J. Optimization of test condition on DL-EPR test for AL-6XN superaustenitic stainless steel using Taguchi method. Surf. Interfaces 2023, 37, 102731. [Google Scholar]
- Yu, J.; Zhang, F.; Li, X.Z.; Li, S.; Lu, Y.; Cheng, Y.F. Study on interface adhesion between EP/IFR/HBPSi epoxy intumescent coating and steel substrate. Int. J. Adhes. Adhes. 2024, 132, 102186. [Google Scholar]
- GB/T 5210-2006; Adhesion Test for Paints and Varnishes to Be Pulled Apart. China Standards Press: Beijing, China, 2006.
- Hao, Y.H.; Wu, R.G.; Zhao, C.G.; Guo, X.; Ya, R.H. Effect of weathering on erosion resistance of toughened glass based on taguchi method. Bull. Chin. Ceram. Soc. 2020, 9, 2980–2986. [Google Scholar]
- Dong, J.Q.; Su, L.; Chen, Q.; Xu, W.W. Experimental study on thermale hydraulic performance of a wavy fin-and-flat tube aluminum heat exchanger. Appl. Therm. Eng. 2013, 51, 32–39. [Google Scholar]
- Zhou, F.; Zeng, X.; Wu, Q.L.; Gao, X.Y.; Tang, H.J. Flow characteristics around square columns and wind load distributions considering the end effect. J. Transp. Sci. Eng. 2024, 40, 16544. [Google Scholar]
Disclaimer/Publisher’s Note: The statements, opinions and data contained in all publications are solely those of the individual author(s) and contributor(s) and not of MDPI and/or the editor(s). MDPI and/or the editor(s) disclaim responsibility for any injury to people or property resulting from any ideas, methods, instructions or products referred to in the content. |
© 2025 by the authors. Licensee MDPI, Basel, Switzerland. This article is an open access article distributed under the terms and conditions of the Creative Commons Attribution (CC BY) license (https://creativecommons.org/licenses/by/4.0/).

















