Research on Water-Entry Hydrodynamics for a Cross-Wing Underwater Vehicle
Abstract
1. Introduction
2. Basic Principles of Numerical Model
2.1. Governing Equations and Boundary Conditions
2.2. Discretization of Governing Equations and Turbulent Fundamentals
2.3. Overset Mesh and VOF Multiphase Flow Models
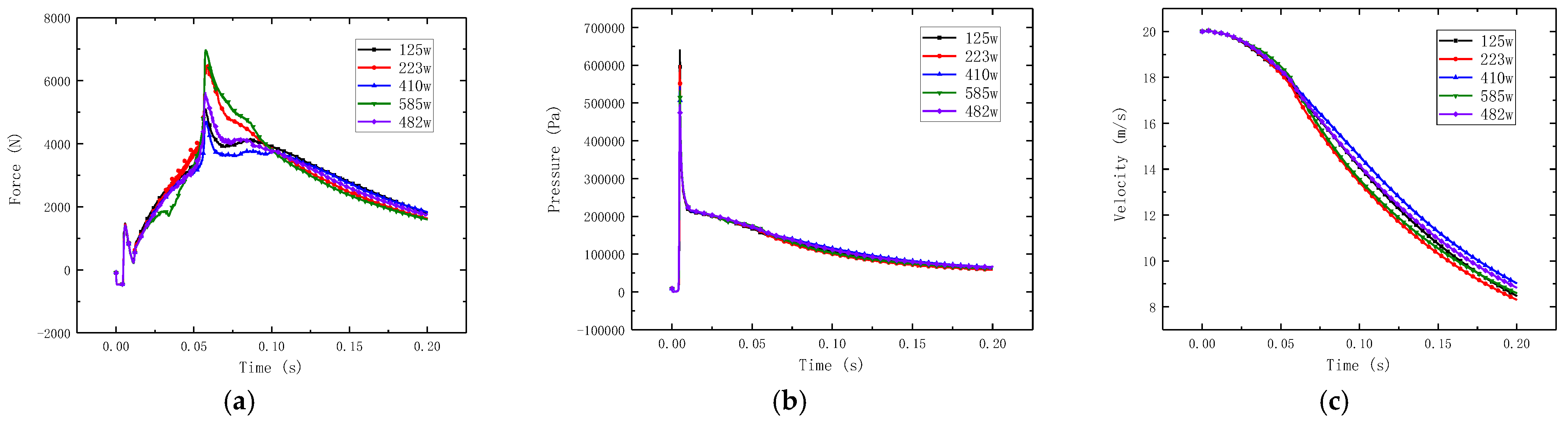
2.4. Mesh Generation and Independence Test
2.5. Comparison of Numerical and Experimental Results
3. Results and Discussion
3.1. Numerical Simulation of Cross-Wing Underwater Vehicle Entering the Calm Water
3.2. Numerical Simulation of Cross-Wing Underwater Vehicle Entering the Water in Waves
4. Conclusions
Author Contributions
Funding
Institutional Review Board Statement
Informed Consent Statement
Data Availability Statement
Conflicts of Interest
Nomenclature
| CFD | Computational Fluid Dynamics |
| RANS | Reynolds-Averaged Navier-Stokes |
| VOF | Volume of Fluid |
| FEM | Finite Element Method |
| UUV | Unmanned Underwater Vehicle |
| AUV | Autonomous Underwater Vehicle |
| SPH | Smoothed Particle Hydrodynamics |
| The density of the mixture in the multiphase flow | |
| The average of the mixture velocities in a multiphase flow | |
| The volume fraction of the kth phase in the mixture | |
| P | The pressure |
| S | The source term |
| Shear stress | |
| Effective heat conduction | |
| The source item | |
| T | The temperature |
| E | The energy |
References
- Worthington, A.M.; Cole, R.S. Impact with a liquid surface studied by the aid of instantaneous photography. Philos. Trans. R. Soc. Lond. Ser. A Contain. Pap. A Math. Phys. Character 1897, 194, 137–148. [Google Scholar] [CrossRef]
- Von Karman, T. The Impact on Seaplane Foats During Landing. In Technical Report Archive & Image Library; National Advisory Committee for Aeronautics: Washington, DC, USA, 1929. [Google Scholar]
- Wagner, H. Phenomena associated with coasts and sliding on liquid surfaces. Natl. Advis. Comm. Aeronaut. 1932, 1366, 112–123. [Google Scholar]
- Milwitzky, B. Generalized Theory for Seaplane Impact. 1952. Available online: https://ntrs.nasa.gov/api/citations/19930092141/downloads/19930092141.pdf (accessed on 9 December 2024).
- May, A. Review of water-entry theory and data. AIAA J. 1970, 70, 140–142. [Google Scholar]
- Garabedian, P. Oblique water entry of a wedge. Commun. Pure Appl. Math. 1953, 6, 157–165. [Google Scholar] [CrossRef]
- Borg, S.F. Some contributions to the wedge-water entry problem. J. Eng. Mech. Div. 1957, 83, 1214. [Google Scholar] [CrossRef]
- Cumberbatch, E. The impact of a water wedge on the wall. J. Fluid Mech. 1960, 7, 353–374. [Google Scholar] [CrossRef]
- Sui, X.; Sun, Z.; Xu, L. Dynamic characteristics of 2D sections under free fall condition. In Proceedings of the 16th National Conference on Hydrodynamics and the 32nd National Symposium on Hydrodynamics, Wuxi, China, 30 October 2021; p. 9. [Google Scholar]
- Wu, Q.; Zhang, Z.; Chen, M. Investigation of water entry slamming of wedges accounting effect of air-cushion. Shipbuild. China 2023, 64, 87–98. [Google Scholar]
- Pan, G.; Zhong, R.; Du, X. Finite element simulation study of the water entry impact of airborne UUV. Fire Control Command Control 2011, 36, 142–145+149. [Google Scholar]
- Qi, D.; Feng, J.; Yu, Z.; Li, Y. Simulation study on water entry impact of airborne launched AUV. J. Ship Mech. 2016, 20, 1281–1288. [Google Scholar]
- Li, W.; Guo, R.; Zan, Y. Numerical simulation of water-entry angle effect on free fall unmanned underwater vehicle. Ship Eng. 2021, 43, 160–165. [Google Scholar]
- Zhao, Q.; Ding, Z. Numerical simulation of water entry of an air-dropped AUV under wave conditions. J. Huazhong Univ. Sci. Technol. (Nat. Sci. Ed.) 2021, 49, 128–132. [Google Scholar]
- Lu, Z.; Sun, T.; Wei, Y.; Wang, C. Experimental investigation on the motion feature of inclined water-entry of a semi-closed cylinder. Chin. J. Theor. Appl. Mech. 2018, 50, 263–273. [Google Scholar]
- Shi, Z.; Duan, W.; Huang, Z.; Zhang, G.; Jiang, Z.; Huang, L. Experimental and numerical investigation on water entry fluctuation effect of flared cavity. Appl. Ocean Res. 2023, 135, 103544. [Google Scholar] [CrossRef]
- Duan, W.; Shi, Z.; Jiang, Z.; Li, H.; Huang, L. Experimental and numerical investigation on cavitation evolution and fluctuation mechanism of flared cavity entering water. Ocean Eng. 2022, 266, 113030. [Google Scholar] [CrossRef]
- Huang, X.; Dai, Y.; Su, Q.; Cheng, H.; Zhu, X. Simulation and experimental verification of water impact flow field of deep ocean mining vehicle entering water. Chin. J. Nonferrous Met. 2021, 31, 2782–2794. [Google Scholar]
- Facci, A.L.; Porfiri, M.; Ubertini, S. Three-dimensional water entry of a solid body: A computational study. J. Fluids Struct. 2016, 66, 36–53. [Google Scholar] [CrossRef]
- Chen, C.; Sun, T.Z.; Wei, Y.J.; Wang, C. Computational analysis of compressibility effects on cavity dynamics in high-speed water-entry. Int. J. Nav. Archit. Ocean Eng. 2018, 1, 495–509. [Google Scholar] [CrossRef]
- Sun, P.N.; Luo, M. The suction effect during freak wave slamming on a fixed platform deck: Smoothed particle hydrodynamics simulation and experimental study. Phys. Fluids 2019, 31, 108–117. [Google Scholar] [CrossRef]
- Skillen, A.; Lind, S. Incompressible smoothed particle hydrodynamics (SPH) with reduced temporal noise and generalised Fickian smoothing applied to body-water slam and efficient wave-body interaction. Comput. Methods Appl. Mech. Eng. 2013, 265, 163–173. [Google Scholar] [CrossRef]
- Wang, S.; Islam, H.; Soares, C.G. Uncertainty due to discretization on the ALE algorithm for predicting water slamming loads. Mar. Struct. 2021, 80, 103086. [Google Scholar] [CrossRef]
- Stenius, A.R.; Kuttenkeuler, J. Explicit FE-modelling of fluid-structure interaction in hull-water impacts. Int. Shipbuild. Prog. 2006, 53, 103–121. [Google Scholar]
- Luo, H.; Liu, X.; Dong, D. Experimental investigation of water impact of one free-drop wedge with stiffened aluminum panel. Chin. J. Hydrodyn. 2014, 29, 460–468. [Google Scholar]













| Grid Scheme | Total Number of Meshes |
|---|---|
| Scheme 1 | 1.25 million |
| Scheme 2 | 2.23 million |
| Scheme 3 | 4.10 million |
| Scheme 4 | 4.82 million |
| Scheme 5 | 5.85 million |
Disclaimer/Publisher’s Note: The statements, opinions and data contained in all publications are solely those of the individual author(s) and contributor(s) and not of MDPI and/or the editor(s). MDPI and/or the editor(s) disclaim responsibility for any injury to people or property resulting from any ideas, methods, instructions or products referred to in the content. |
© 2025 by the authors. Licensee MDPI, Basel, Switzerland. This article is an open access article distributed under the terms and conditions of the Creative Commons Attribution (CC BY) license (https://creativecommons.org/licenses/by/4.0/).
Share and Cite
Chen, Y.; Pang, H.; Zhang, D.; Shi, Z.; Jiang, Q. Research on Water-Entry Hydrodynamics for a Cross-Wing Underwater Vehicle. J. Mar. Sci. Eng. 2025, 13, 297. https://doi.org/10.3390/jmse13020297
Chen Y, Pang H, Zhang D, Shi Z, Jiang Q. Research on Water-Entry Hydrodynamics for a Cross-Wing Underwater Vehicle. Journal of Marine Science and Engineering. 2025; 13(2):297. https://doi.org/10.3390/jmse13020297
Chicago/Turabian StyleChen, Yunsai, Haozhen Pang, Dong Zhang, Zhang Shi, and Qinghua Jiang. 2025. "Research on Water-Entry Hydrodynamics for a Cross-Wing Underwater Vehicle" Journal of Marine Science and Engineering 13, no. 2: 297. https://doi.org/10.3390/jmse13020297
APA StyleChen, Y., Pang, H., Zhang, D., Shi, Z., & Jiang, Q. (2025). Research on Water-Entry Hydrodynamics for a Cross-Wing Underwater Vehicle. Journal of Marine Science and Engineering, 13(2), 297. https://doi.org/10.3390/jmse13020297

