Study on Transient Overvoltage and Surge Arrester Electrical Stresses in Offshore Wind Farms Under Multiple Lightning Strokes
Abstract
1. Introduction
2. Electromagnetic Transient Simulation Model Under Multiple Lightning Strokes
2.1. Lightning Current Model Based on LLS Data and RTL Experiments
2.2. Electromagnetic Transient Simulation Model of the WT
3. Simulation Results and Analysis
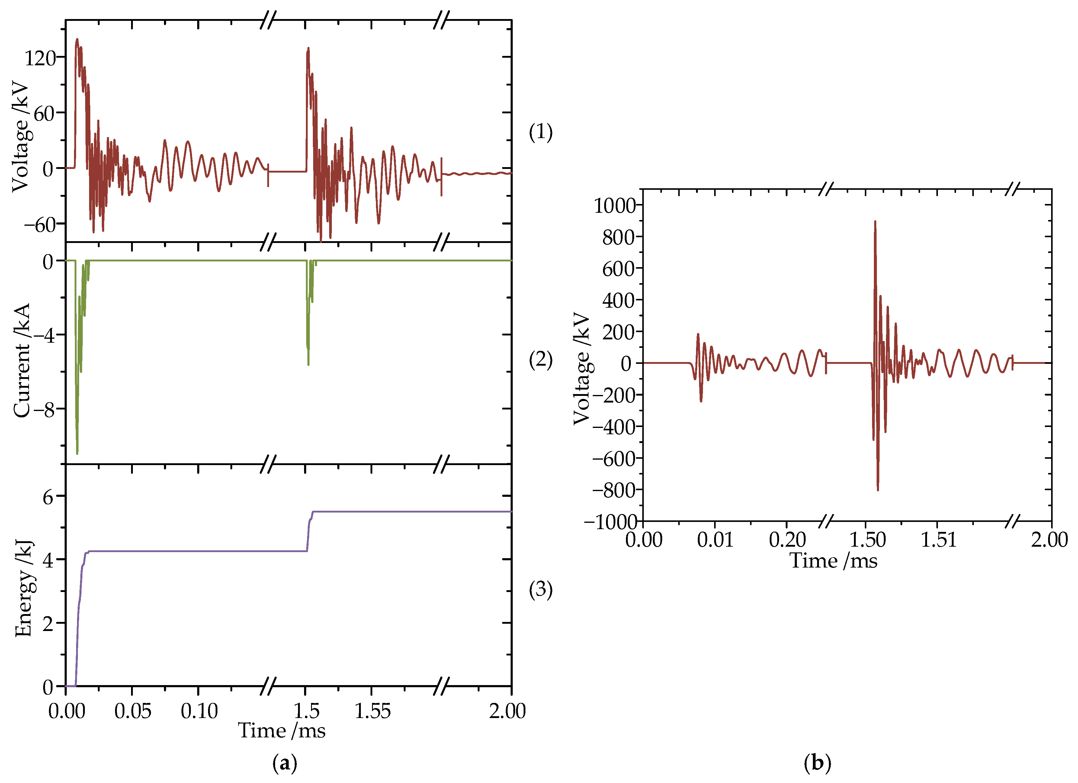
3.1. Simulation Results Obtained with the Proposed Model
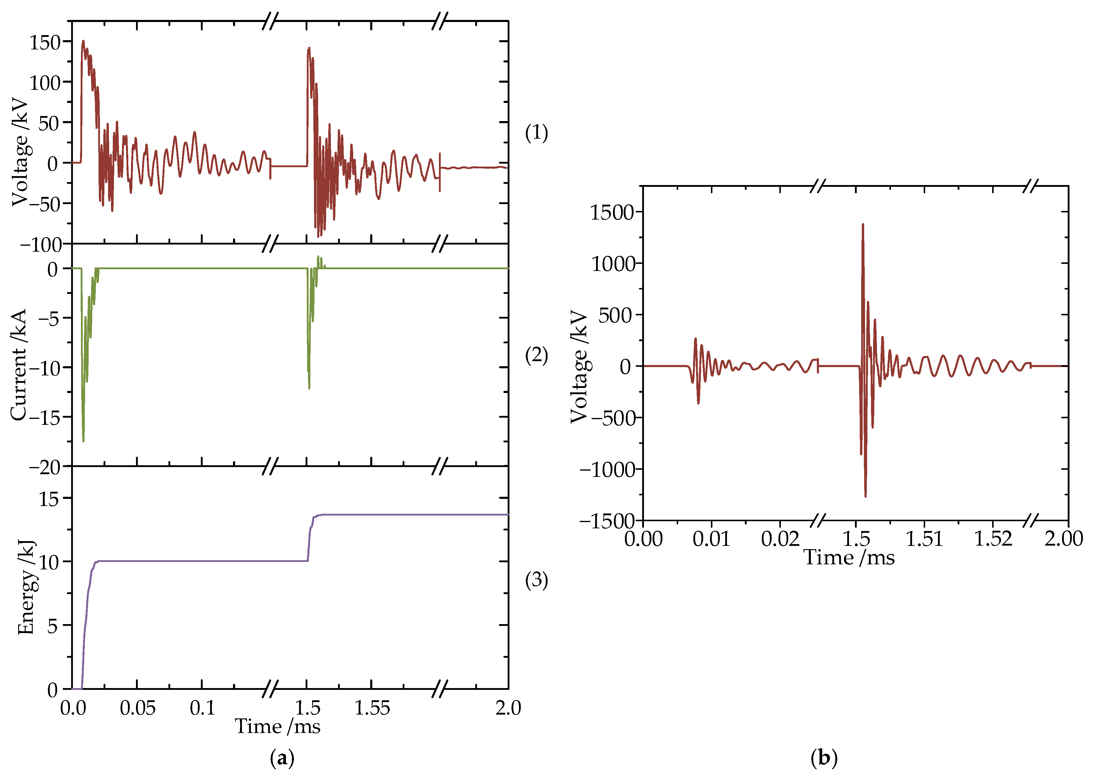
3.2. Simulation Results Obtained with the Model of IEC61400-24 and Comparative Analysis
3.3. Influence of Stroke Multiplicity on Transient Overvoltage and Surge Arrester Electrical Stresses
4. Discussion
5. Conclusions
- For offshore wind farms in the Guangdong region, a two-stroke lightning strike with current amplitudes corresponding to a 1% cumulative probability density requires surge arrester A1 to be configured with four parallel columns, ensuring the insulation safety of the equipment without sustaining damage. Additionally, to prevent flashover occurring between the power cable and the tower wall, either the electrical clearance should be increased, or a high-strength insulating layer should be applied over the cable armor.
- The amplitudes of transient overvoltage on power equipment and the electrical stresses on surge arrester under the multi-stroke lightning current model proposed in this paper are more severe compared to the model recommended by IEC 61400-24. Therefore, lightning protection research for offshore wind farms should account for local lightning intensity and distribution characteristics to ensure the safe and stable operation of WTs.
- An increase in the total number of strokes in a negative multi-stroke lightning current leads to a higher amplitude for each individual stroke, thereby intensifying both the electric stresses on the surge arrester and the transient overvoltage between the tower and the cable armor. Moreover, the front time of the impulse current through the surge arrester A1 is approximately 2 µs, which is significantly shorter than the front time of 8/20 µs impulse current waveform specified in the IEC 60099-4 for the repetitive charge transfer test. A shorter front time accelerates the aging of ZnO varistors, thereby imposing new demands on their withstand capability, as well as on the selection and design of surge arresters.
- This study has certain limitations: in terms of modeling, simplifications were adopted, such as not considering the impact of the segmentation method for blades, power cables, and towers, nor the dynamic variation of lightning channel impedance. Regarding data, there is regional dependence—since the conclusions are based on lightning observation data from Guangdong Province, they may not be directly generalized to regions with significantly different lightning characteristics. Additionally, the simulation analysis does not cover positive lightning. In the future, we will expand lightning observation data from multiple regions, refine the simulation models, and conduct dedicated research on positive lightning scenarios, thereby enhancing the study’s generalizability and engineering applicability.
Author Contributions
Funding
Data Availability Statement
Conflicts of Interest
Abbreviations
| RTL | rocket-triggered lightning |
| LLS | lightning location system |
| WT | wind turbine |
| LPL | lightning protection level |
References
- Global Wind Energy Council. Global Wind Report; Global Wind Energy Council: London, UK, 2025. [Google Scholar]
- Lightning Parameters for Engineering Applications; TB 549; CIGRE: Littleton, CO, USA, 2013.
- Zhao, H.X.; Wang, X.R. Overvoltage Analysis of Wind Turbines Due to Lightning Strokes. Power Syst. Technol. 2004, 28, 27–29+72. [Google Scholar] [CrossRef]
- Luo, R.C.; Li, W.; Li, Z.Q.; Huang, Z.M.; Zhang, W. Modeling of Wind Turbine Generator Based on Piecewise Parameter and Its Lightning Transient Overvoltage Analysis. High Volt. Eng. 2015, 41, 2780–2787. [Google Scholar] [CrossRef]
- Chen, H.C.; Zhang, Y.; Du, Y.P.; Cheng, Q.S. Comprehensive Transient Analysis for Low-voltage System in a Wind Turbine under Direct Lightning. Int. J. Electr. Power Energy Syst. 2020, 121, 106131. [Google Scholar] [CrossRef]
- Jiang, J.L.; Chang, H.C.; Kuo, C.C.; Huang, C.K. Transient Overvoltage Phenomena on the Control System of Wind Turbines Due to Lightning strike. Renew. Energy 2013, 57, 181–189. [Google Scholar] [CrossRef]
- Li, X.Q.; Wang, J.G.; Wang, Y.; Fan, Y.D.; Zhang, B.Q.; Wang, S.C.; Cai, L. Lightning Transient Characteristics of Cable Power Collection System in Wind Power Plants. IET Renew. Power Gener. 2015, 9, 1025–1032. [Google Scholar] [CrossRef]
- Fady, W. Evaluative Analysis for Standardized Protection Criteria Against Single and Multiple Lightning Strikes in Hybrid PV-wind Energy Systems. Electr. Power Syst. Res. 2023, 218, 109227. [Google Scholar] [CrossRef]
- Jiao, Z.J.; Sun, J.R.; Yao, X.L.; Le, Y.J.; Chen, J.L.; Wang, A.Y. Lightning Overvoltage Simulation and Design of a Novel Surge Protective Device for High-Power Offshore Wind Farms. IEEE Trans. Power Deliv. 2024, 39, 2306–2316. [Google Scholar] [CrossRef]
- Zhang, J.; Han, Y.X.; Li, L.C.; Feng, S.S.; Liao, Z.M. The Impact of Lightning Strike to Multi-blade on The Lightning Overvoltage and Stresses of Arresters in Offshore Wind Farm. IET Renew. Power Gener. 2021, 15, 2814–2825. [Google Scholar] [CrossRef]
- Berger, K.; Anderson, R.B.; Kroninger, H. Parameters of Lightning Flashes. Electra 1975, 41, 23–37. [Google Scholar]
- IEC TR 61400-24: 2024; Wind Turbine Generator Systems-Part 24: Lightning Protection. International Electrotechnical Commission: Geneva, Switzerland, 2024.
- Malcolm, N.; Aggarwal, R.K. The Impact of Multiple Lightning Strokes on the Energy Absorbed by MOV Surge Arresters in Wind Farms During Direct Lightning Strikes. Renew. Energy 2015, 83, 1305–1314. [Google Scholar] [CrossRef]
- Xie, H.; Chen, Z.; Gu, C.S.; Ma, X.Y.; Liu, B.T. Lightning Transient Overvoltage of Wind Turbine Collecting Line Based on Multiple Lightning Strikes. Insul. Surge Arresters 2022, 4, 43–51. [Google Scholar] [CrossRef]
- Zhang, J.Y.; Ji, X.Y.; He, G.X.; Xing, H.Y. Transient Overvoltage Analysis of Wind Turbine Under Multiple Lightning Strokes. J. Electron. Meas. Instrum. 2019, 33, 153–160. [Google Scholar] [CrossRef]
- Guan, Y.C.; Mou, L.; Lei, L.; Tan, X.Y.; Wang, D.; Wang, J.; Le, J. Research on Transient Response Characteristies of Wind Farm Outgoing System Considering Mutiple Lightning Strikes. Electr. Meas. Instrum. 2025, 62, 83–90. [Google Scholar] [CrossRef]
- Kuleshov, Y.; Mackerras, D.; Darveniza, M. Spatial distribution and frequency of lightning activity and lightning flash density maps for Australia. J. Geophys. Res.-Atmos. 2006, 111, D19105. [Google Scholar] [CrossRef]
- Dwyer, J.R.; Uman, M.A. The physics of lightning. Phys. Rep.-Rev. Sec. Phys. Lett. 2014, 534, 147–241. [Google Scholar] [CrossRef]
- Hiroyuki, I. Climatology of Multiple-stroke Lightning in Japan. Int. J. Climatol. 2020, 40, 5043–5428. [Google Scholar] [CrossRef]
- Anderson, R.B.; Eriksson, A.J. Lightning parameters for engineering applications. Electra 1980, 69, 65–102. [Google Scholar]
- Visacro, S.; Soares, A.J.; Schroeder, M.; Cherchiglia, L.; de Sousa, V. Statistical analysis of lightning current parameters: Measurements at Morro do Cachimbo station. J. Geophys. Res. Atmos. 2004, 109, D01105. [Google Scholar] [CrossRef]
- Yang, L.; Han, Y.X.; Liao, Z.M.; Li, Q.; Zhao, X.F.; Li, Z.F.; Huang, J.N.; Zhang, J.; Liu, B.X. Parameter Statistics and Influencing Factor Analysis of Lightning Multiple Return Ground Flashover Based on LLS. Guangdong Electr. Power 2023, 36, 115–123. [Google Scholar] [CrossRef]
- IEEE Std 1410: 2010; Improving the Lightning Performance of Electric Power Overhead Distribution Lines. IEEE: Piscataway, NJ, USA, 2021.
- Huang, J.N.; Han, Y.X.; Liao, Z.M.; Zhao, X.F.; Li, Q.; Yan, X.; Du, S. Simulation Modeling and Protection of Lightning Intrusion Wave in Substation Under Multiple Return Strike Cloud Ground Flashes. Guangdong Electr. Power 2022, 35, 66–75. [Google Scholar] [CrossRef]
- Li, X.Q.; Wang, J.G.; Wang, Y.; Fan, Y.D.; Zhang, B.Q.; Zhou, M. Lightning Transient Numerical Calculation of Cable Power Collection System in Wind Power Plant. High Volt. Eng. 2015, 41, 1566–1573. [Google Scholar] [CrossRef]
- Zhang, J.; Han, Y.X.; Li, L.; Deng, J.W.; Liu, G. Study on Impulse Aging Characteristics of ZnO varistor Based on Equivalent Repeated Charge Transfer Capability. In Proceedings of the 2022 IEEE 5th International Electrical and Energy Conference (CIEEC), Nanjing, China, 27–29 May 2022. [Google Scholar] [CrossRef]
- Darveniza, M.; Tumma, L.R.; Richter, B.; Roby, D.A. Multipulse lightning currents and metal-oxide arresters. IEEE Trans. Power Deliv. 1997, 12, 1168–1175. [Google Scholar] [CrossRef]






| Each Return | 2-Stroke | 3-Stroke | 4-Stroke | 5-Stroke |
|---|---|---|---|---|
| 1 | 162.2 kA | 202.6 kA | 236.2 kA | 253.7 kA |
| 2 | 104.7 kA | 112.7 kA | 123.2 kA | 129.6 kA |
| 3 | / | 115.7 kA | 116.7 kA | 125.7 kA |
| 4 | / | / | 116.7 kA | 118.2 kA |
| 5 | / | / | / | 108.2 kA |
| Parameters | This Paper | IEC 61400-24 | ||
|---|---|---|---|---|
| Frist | Subsequent | Frist | Subsequent | |
| Median | / | |||
| Current/kA | / | 15.8 | 100 (1%) | 50 (1%) |
| Front time/μs | / | 0.36 | 1 | 0.25 |
| Half-Peak Time/μs | / | 18.13 | 200 | 100 |
Disclaimer/Publisher’s Note: The statements, opinions and data contained in all publications are solely those of the individual author(s) and contributor(s) and not of MDPI and/or the editor(s). MDPI and/or the editor(s) disclaim responsibility for any injury to people or property resulting from any ideas, methods, instructions or products referred to in the content. |
© 2025 by the authors. Licensee MDPI, Basel, Switzerland. This article is an open access article distributed under the terms and conditions of the Creative Commons Attribution (CC BY) license (https://creativecommons.org/licenses/by/4.0/).
Share and Cite
Zhang, J.; Wang, Y.; Xiong, J.; Liu, J.; Zhu, L.; Huang, C.; Shi, J.; Han, Y. Study on Transient Overvoltage and Surge Arrester Electrical Stresses in Offshore Wind Farms Under Multiple Lightning Strokes. J. Mar. Sci. Eng. 2025, 13, 2307. https://doi.org/10.3390/jmse13122307
Zhang J, Wang Y, Xiong J, Liu J, Zhu L, Huang C, Shi J, Han Y. Study on Transient Overvoltage and Surge Arrester Electrical Stresses in Offshore Wind Farms Under Multiple Lightning Strokes. Journal of Marine Science and Engineering. 2025; 13(12):2307. https://doi.org/10.3390/jmse13122307
Chicago/Turabian StyleZhang, Jie, Yong Wang, Jun Xiong, Junxiang Liu, Lu Zhu, Chao Huang, Jianfeng Shi, and Yongxia Han. 2025. "Study on Transient Overvoltage and Surge Arrester Electrical Stresses in Offshore Wind Farms Under Multiple Lightning Strokes" Journal of Marine Science and Engineering 13, no. 12: 2307. https://doi.org/10.3390/jmse13122307
APA StyleZhang, J., Wang, Y., Xiong, J., Liu, J., Zhu, L., Huang, C., Shi, J., & Han, Y. (2025). Study on Transient Overvoltage and Surge Arrester Electrical Stresses in Offshore Wind Farms Under Multiple Lightning Strokes. Journal of Marine Science and Engineering, 13(12), 2307. https://doi.org/10.3390/jmse13122307

