Abstract
Floating offshore wind turbines (FOWTs) are crucial for harnessing deep-sea wind energy resources. However, existing studies on FOWTs have predominantly focused on standalone wind turbines, neglecting the wake effects from upstream turbines within the offshore wind farms, thereby leading to inaccurate analyses. This study developed a coupled dynamic analysis method integrating aerodynamics, hydrodynamics, and mooring dynamics, incorporating the upstream wake effects through a three-dimensional (3D) Gaussian wake model and a nonlinear lift line free vortex wake (LLFVW) model. The proposed method was validated through comparisons with experiments in the wave tank and on the equivalent mechanism by the scaled-down models. Dynamic responses in four upstream wake conditions, i.e., no-wake, central wake, lateral offset wake, and multi-wake conditions, were simulated. The results indicated that upstream wake effects exert a significant influence on the dynamic responses of the FOWTs. All the three wake conditions markedly reduced the vibration displacement, fore–aft and side-to-side moments due to velocity deficits. Compared to the central wake, the lateral offset wake exerted a more pronounced effect on the fluctuations in tower-top vibration acceleration, the variations in tower-base moment, and the fluctuations in platform pitch acceleration, thereby posing critical fatigue risks. In contrast, multi-wake effects are less pronounced under the studied configuration. These findings emphasize the necessity of avoiding lateral offset exposures in wind farm layout planning. The proposed framework offers a practical tool for wake-aware design and optimization of FOWTs arrays.
1. Introduction
With the global climate crisis becoming more and more serious, it is urgent to realize the vision of carbon neutralization. Against this backdrop, transitioning to clean and low-carbon energy systems has become a key strategic priority for many nations in the world, though implementation pathways vary due to differences in national development stages, energy resources, and near-term priorities [1,2,3]. Offshore wind power, with its abundant resource reserves, high energy density and minimum land use requirements, is progressively becoming a key pillar of this energy transition [4]. According to the report of the International Energy Agency (IEA), offshore wind power is projected to meet a substantial portion of global electricity demand by 2030 [5]. Over 70% of this development potential lies in deep-water areas inaccessible to fixed-bottom wind turbines. This trend has enabled floating offshore wind turbines (FOWTs) to play a pivotal role in harnessing deep-sea wind energy, making their technological advancement a key driver in achieving global renewable energy targets [6,7]. That is to say, the large-scale deployment of FOWTs can support the Sustainable Development Goals (SDG) 7 (Affordable and Clean Energy) by advancing the scalability of deep-sea wind energy, which is an affordable, zero-carbon resource critical for expanding global clean energy access [8]. It can also support the SDG 13 (Climate Action), as reducing technical barriers to FOWTs deployment directly contributes to mitigating greenhouse gas emissions from fossil fuels [8].
The operational safety and economic viability of FOWTs fundamentally depend upon their dynamic response to unsteady environmental loads, which arises from the complex coupling of multiple physical fields [9,10]. Unlike fixed wind turbines, FOWTs operate in complex marine environments where the aerodynamic forces generated by the wind, the hydrodynamic forces from the waves and currents, and the mooring tensions interact dynamically with the six degrees of freedom (6-DOF) motions of the floating platform [11]. Recent studies indicated that the platform motions significantly complicate the aerodynamic behaviors of the FOWTs, with surge and pitch motions exerting non-negligible effects on the blade load distribution [12,13]. The coupling of multiple physical fields of the FOWTs involves multiple disciplines including aerodynamics, hydrodynamics, structural dynamics and control systems, presenting unprecedented challenges for accurate load prediction and dynamic response analysis [14,15]. The transition of the future industry of the FOWTs from standalone turbine to large-scale offshore wind farms exacerbates these challenges, as interactions between wind turbines within a farm, particularly the wake effects from the upstream turbines [16]. The wake effects can exacerbate the unsteady characteristics of the loads on the downstream turbines, thereby further complicating the dynamics analysis [17,18].
Previous studies which focused on the coupled dynamic analysis method of the standalone FOWTs primarily relied on the tools such as FAST or SIMA [9,19,20]. These tools usually integrate the blade element momentum (BEM) theory with the potential flow hydrodynamics to simulate the aero-hydro- servo-elastic coupling dynamic behaviors. Some scholars employed FAST to conduct a systematic comparative analysis of the load characteristics of the TLP, Spar, and barge-type FOWTs [21]. The results indicated that fatigue load of the barge-type FOWTs was significantly higher due to their distinct motion response characteristics. Since then, the coupled dynamic analysis method continued to evolve, with methods focused on achieving accurate analysis by building a framework of higher degrees of freedom models. Some scholars developed a 14-DOF model to break through the limitation of simplified kinematic assumptions [22]. The 14-DOF model enhances the accuracy of dynamic response simulations by eliminating the small-angle approximations of platform rotation, and these approximations were considered as the primary source of prediction errors in the earlier models. In recent years, the computational fluid dynamics (CFD) method has gained prominence for analyzing the complex aerohydrodynamic interactions of the FOWTs. The CFD method can resolve these interactions, significantly enhancing model fidelity in ways that simplified tools cannot achieve. For instance, the overset grid technology, one technology based on the CFD method, has been employed to facilitate fully coupled aerohydrodynamic analysis of the Offshore Code Comparison Collaboration Continuation (OC4) DeepCwind semisubmersible platform, which is one of the most widely utilized prototypes in a large number of studies [23]. Furthermore, the unsteady actuator line model (UALM) has integrated into the specialized CFD solvers, such as na-oe-FOAM-SJTU [24], to complement the advances in aerodynamic modelling. This refinement has been proved to improve the capture of dynamic inflow effects induced by platform motions and turbulence.
These studies have substantially improved the understanding of the dynamics of standalone FOWTs, but are still limited to their focus on the isolated turbines. The limitation lies in the fact that these studies have failed to adequately account for the actual operating conditions of the FOWTs in a wind farm, such as overlooking the interactions between turbines. Among these interactions, the disturbance effect exerted by the upstream wakes upon the downstream turbines appears to be one of the most typical examples. In operational wind farms, the rotating blades of front-row turbines, which can be regarded as the source of the upstream wake, generate a “blocking” effect on the incoming wind, thereby forming a wake region extending along the flow direction. The wake region was observed to demonstrate significant reductions in wind velocity, with velocities in the central wake area diminishing by up to 40% [25]. Additionally, a substantial increase in turbulence intensity was documented, attributable to the vortex shedding process occurring at the blade tips [26]. Together, these phenomena are called the wake effects. The wake effects directly alter the inflow conditions of wind rotor, exacerbating the unsteady characteristics of its aerodynamic load. This kind of effect must be acknowledged in dynamic response analysis. Otherwise, it will inevitably introduce analytical errors and may even pose potential safety hazards to the structural design and operational control of the FOWTs.
For the wind turbines affected by the upstream wake effects in a wind farm, their dynamic behaviors depend on how the wake from the upstream turbines is modelled and integrated into aerodynamic analysis. Studies on the wake model have primarily focused on fixed-bottom wind turbines no matter in onshore or offshore wind farms, covering from simplified engineering models to high-fidelity simulation models. The Jensen wake model and its derivative models have been widely used for layout optimization of the wind farm [27,28]. These models assume a steady-state velocity deficit, but fail to capture the evolution of the unsteady wake flow. The large eddy simulation (LES) technology has become a powerful tool for analyzing wake turbulence. This simulation method can also predict wake deflection under atmospheric shear conditions [29]. However, these methods are difficult to apply to FOWTs due to the dynamic inflow conditions induced by the platform motions. Leaving aside the calculation accuracy, using the existing aero-hydro-servo-elastic tool aforementioned for studying wake coupling dynamics will result in significant computational periods and unidirectional wake coupling, which is not conducive to conducting large-scale, multi-condition cognitive research in the early stages of the study. Consequently, there is currently a lack of methods and research in this field, and it is urgent to develop new analytical methods for the following investigations.
Extending coupled dynamics analysis from isolated FOWTs to wind farm environments requires addressing wake-induced loads. For fixed-bottom turbines, high-fidelity simulations have quantified how wake turbulence and meandering increase fatigue loads on downstream rotors [30,31]. In floating systems, platform motions interact with these wake structures, where low-frequency inflow variations can potentially excite resonant platform responses [11]. Modelling such interactions involves critical choices in wake superposition. While momentum-conserving approaches [32] offer physical rigor, this study employs the computationally efficient sum-of-squares method [33] to enable extensive coupled simulations. This approach focuses specifically on the platform-motion feedback mechanism, while acknowledging that wind farm blockage effects [34] remain outside the present scope.
Based on the above analysis, it can be concluded that significant bottlenecks persist when extending the studies of the standalone FOWTs to the wind farm environments. Firstly, the existing studies focused on distinctive inflow state of the standalone FOWTs, neglecting the coupled interference between turbines in the wake of the wind farm. The bottleneck lies in the fact that the characteristics of the wake and the inflow mechanism of it are still unclear. Secondly, the coupling mechanism between the unsteady wake inflow and the normal operations of FOWTs is also unclear. Neglecting this coupling will result in significant errors in the dynamic responses analysis. Thirdly, the coupled dynamic analysis framework for the FOWTs at the wind farm scale is undefined. This insufficiency will prevent the clarification of coupled dynamic responses under varying wake inflow conditions. These bottlenecks will not only hinder the optimization of wind farm layouts, but also increase the complexity of the structural design of the FOWTs. It is imperative to propose new coupled dynamic analysis methods specific to FOWTs and conduct comprehensive analyses of the coupled dynamic responses of them. To this end, a series of preliminary studies have been undertaken by our research team [35,36,37,38,39]. In these studies, an aerodynamic loads prediction and analysis method for the FOWTs incorporating the wake effects has been developed to establish the load framework initially for the coupled dynamics analysis method.
The modelling approach presented in this paper is designed to occupy a specific and underutilized niche in the fidelity spectrum. It prioritizes the resolution of one critical physical process: the bidirectional dynamic feedback between the 6-DOF platform motions of a FOWT and the unsteady aerodynamic loads generated within a wake inflow. High-fidelity tools like LES-coupled multibody dynamics resolve this but at a computational cost that prohibits the systematic, multi-condition exploration conducted here. Conversely, established mid-fidelity tools like FAST, which rely on BEM theory and often static wake inputs, are not well-suited to simulating the dynamic inflow conditions and unsteady vortex-dominated aerodynamics that characterize a turbine operating in the wake of another moving platform. The innovation of this framework is the dynamic coupling of a 3D Gaussian wake model, which efficiently describes the spatially-averaged wake deficit influenced by upstream platform position, with a nonlinear Lifting Line Free Vortex Wake (LLFVW) model for the downstream rotor. This specific combination is novel for FOWT farm analysis because the LLFVW model captures unsteady aerodynamic effects (e.g., shed vorticity, dynamic stall) more accurately than BEM, while remaining computationally efficient enough to be coupled with the platform dynamics. This creates a closed-loop simulation where platform motions continuously alter the incident wake field, and the resulting unsteady loads feed back into the platform’s trajectory, a level of interaction that is often oversimplified or neglected.
The present study introduces the proposed coupled dynamic analysis method for FOWTs in the offshore wind farm. Based on this method, a thorough examination of the dynamic response characteristics of critical turbine parts is conducted, including the tower top, the tower base and the floating platform, under varying upstream wake conditions. The chosen level of simplification is justified by the primary objective of this study: to establish and validate a coupled dynamic framework capable of efficiently simulating the fundamental wake-platform interaction mechanisms across various wake conditions. The use of the analytical 3D Gaussian wake model and the mid-fidelity LLFVW aerodynamic model strikes a balance, avoiding the prohibitive cost of full CFD/LES while moving beyond the limitations of steady-state BEM for capturing unsteady load responses. This enables the multi-case, time-domain simulations presented here, which would be computationally challenging with higher-fidelity tools. We explicitly acknowledge that the incorporation of structural dynamics and aeroelasticity, identified as a necessary future step, will increase computational costs. However, the current framework provides the essential foundation, a validated platform-to-wake coupling, upon which these more complex modules can be integrated in a targeted manner. The findings of this study have the potential to provide theoretical foundations for the designs of the FOWTs, the optimization of wind farm layout, as well as monitoring and operations and maintenance.
The remainder of this paper is structured as follows: Section 2 introduces the methodology, including the descriptions of the object studied in this paper, the modelling and simulation analysis method, the validation of this method and the simulation setup. Section 3 analyzes the results of the dynamic response characteristics of the tower top, the tower base and the floating platform under three upstream wake conditions from the simulations in detail. Finally, Section 4 summarizes the conclusions that have been drawn from this study and outlines some potential research points for future investigation.
2. Methodology
2.1. Model Description
In order to analyze the dynamic characteristics of the FOWTs without loss of generality, the OC4 DeepCwind type semi-submersible FOWTs concept [40] is utilized in this study, as shown in Figure 1. The floating platform of this particular wind turbine system adopts the three-column DeepCwind semi-submersible platform, which consists of floats, ballast tanks, and a basic connecting rod structure with a triangular layout. The basic parameters of this kind of platform are shown in Table 1. A NREL 5-MW baseline wind turbine [41] is installed on the intermediate structure of the platform, and its basic parameters are shown in Table 2. The mooring system utilizes the 3-group davit-type anchor chain system of the DeepCwind semi-submersible platform, wherein each anchor chain is connected to the column pontoon’s uppermost point via cable guide apertures. The fundamental parameters of the mooring system are delineated in Table 3.
Figure 1.
Concept image of OC4 DeepCwind semi-submersible FOWTs.
Table 1.
Principal dimensions of the platform.
Table 2.
Parameters of NREL 5 MW baseline wind turbine.
Table 3.
Main parameters of the mooring system.
2.2. Coupled Dynamics Modelling
In order to derive the dynamic equations for the downstream FOWTs, it is first necessary to define a coordinate system. For this purpose, this study establishes a series of Cartesian coordinate systems, as shown in Figure 2. Herein, OX0Y0Z0 denotes the inertial coordinate system: the origin O is located at the central position of the upstream FOWTs at the still water level; X0-direction is the stream-wise direction; Z0-direction is the vertical upward direction; Y0-direction is the horizontal direction determined by the right-hand rule. CniXniYniZni, CpiXpiYpiZpi and CbiXbiYbiZbi represent the coordinate systems of the nacelle, buoyancy chamber and overall center of gravity for the i-th wind turbine, respectively. It should be noted that the overall center of gravity coordinate system is subject to frequent changes and is used in Newton’s Second Law and the Principle of Conservation of Momentum.
Figure 2.
Coordinates for the FOWTs in offshore wind farm.
Assuming the structural dynamics issues are disregarded, based on the Newton’s Second Law, the generalized kinematic equations of the FOWTs can be expressed as follows [42]:
where denotes linear momentum; denotes the total external force; denotes angular momentum; denotes the external moment; the subscript b denotes the center of gravity of the whole system; the subscripts “static”, “wind”, “wave” and “mooring” denote the hydrostatic, wind, wave, and mooring loads, respectively.
Differentiating the above equations with respect to time in the inertial coordinate system yields the following expression [42]:
where denotes the mass of the rigid body; represents its moment of inertia about its center of mass; is its linear velocity; is its angular velocity. Transforming Equation (2) into each moving coordinate system yields the following expression [42]:
Equation (3) represents a typical linear differential equation, which may be resolved through numerical integration methods. The commonly employed solution approach is the Runge–Kutta method [43], with the fourth-order formulation as follows:
where represents the external load excitation. Therefore, the key to solving the linear differential equation lies in clearly analyzing the unsteady external loads on the FOWTs.
The total external loads of a FOWT can be expressed as follows [42]:
where , , , and denote the wind load, Hydrostatic restoring force, wave load, mooring force and other loads, respectively. For the FOWTs, the total external load comprises the loads on the turbine and the platform, and can be expressed as follows:
The following sub-sections will describe the numerical models employed to calculate the aforementioned environmental loads.
2.3. External Loads Calculation
2.3.1. Aerodynamics Modeling
- (1)
- Upstream wake
When considering the upstream wake, the inflow of the downstream FOWTs as seen in Figure 2 can be expressed by the three-dimensional (3D) Gaussian wake model [28,36]. The recent iteration of this kind of models, which is rooted in the physical assumption of axisymmetric wake diffusion with velocity deficit following a Gaussian distribution, derived from balancing streamwise momentum conservation. The interaction of multiple wakes is modelled using a sum-of-squares superposition of the velocity deficits [28], a common engineering approach that provides a first-order approximation of the combined wake effect without resolving the complex turbulent interactions between adjacent wakes. The single and multiple 3D Gaussian wake models can be characterized by the following equations:
where and denote the wind velocity distribution in the wake of single wind turbine and multiple wind turbines, correspondingly; denotes the incoming wind velocity of the upstream FOWTs; denotes the standard deviation of the wind velocity deficit; and denote two necessary parameters to conduct the 3D Gaussian wake model; denotes the height of the hub; X, Y and Z are the coordinate values in the OX0Y0Z0 coordinate system as seen in Figure 2; the subscripts i and j denote the downstream and upstream FOWTs, respectively.
The multiple wake superposition in Equation (8) uses the sum-of-squares method for computational efficiency, though it does not strictly conserve momentum. More rigorous models enforcing momentum conservation exist [32]. However, given this study’s focus on capturing the bidirectional platform-wake feedback through extensive time-domain simulations, the computationally efficient approach was selected as a practical compromise to enable this specific investigation. Furthermore, it is noted that the present model does not account for wind farm blockage effects, which alter the global flow field around the wind farm and can modify the effective inflow conditions for all turbines [34].
, , and can be obtained by the following equations [36]:
where is the wind velocity at hub height; is the wind shear exponent; and denote the radius and diameter of wind rotor, correspondingly; is the wake expansion rate; is the turbulence intensity of the wind in the wind farm environment; C is an empirical constant; represents the wind velocity just behind the wind rotor of upstream FOWTs. Here, specifically refers to the disc-averaged wind velocity at the trailing edge of the upstream turbine’s rotor. The averaging domain corresponds to a swept area with the same radius as the upstream rotor, serving as a key parameter in the wake model to describe the initial state of the downstream airflow. is directly linked to the upstream turbine’s thrust: based on momentum conservation principles, greater turbine thrust leads to stronger airflow blocking, resulting in a lower value. This relationship directly reflects the rotor’s dissipative effect on the momentum of the upstream inflow. In this study, the value of was calibrated to match the rated thrust characteristics of the NREL 5-MW turbine. This ensures it accurately represents the initial downstream airflow state under real operating conditions, preventing deviations in wake velocity deficit calculations.
This kind of 3D Gaussian wake models maintains momentum conservation via parameters like σ(X), which integrates R0, I0, and k0 to align total momentum flux with upstream inflow, while critical terms carry clear physical meanings (e.g., accounts for atmospheric boundary layer wind shear with α, and M(X)/N(X) calibrate the Gaussian distribution to match observed wake deficit magnitudes), as validated in our prior work [36] for offshore wind scenarios.
It should be noted that the 3D Gaussian wake model has some limitations. ① It relies on the assumption of axisymmetric velocity deficits, which works well for aligned inflow (no yaw) and uniform shear conditions-scenarios that align with our study’s focus on fundamental wake-structure coupling behaviors. However, this assumption introduces clear limitations in more complex flow environments. For yawed inflow, the incoming wind is misaligned with the turbine rotor axis, and the wake deflects laterally, leading to an asymmetric velocity deficit profile rather than the symmetric Gaussian distribution the model predicts. This asymmetry can cause the model to underestimate lateral aerodynamic loads on the rotor and mis predict the extent of wake overlaps with downstream turbines. Under cross-shear conditions, the wind shear varies across the rotor plane, and the axisymmetric assumption fails to capture non-uniform velocity gradients across the wake, which in turn affects the accuracy of calculated aerodynamic thrust and torque, and subsequently the tower bending moments and platform hydrodynamic responses linked to these loads. In our previous work, we have explored the aerodynamic loads under yaw inflow conditions using Gaussian wake models [38]. We will continue to conduct relevant research in the future, such as by integrating the Gaussian model with yaw correction factors or coupling it with more advanced wake models that can account for asymmetric flow fields. ② It can only capture the mean behavior but not instantaneous turbulence. As can be seen in the previous LES studies [29], it can be noted that non-stationary wake turbulence can significantly increase the load fluctuations. Therefore, this as a future work direction. ③ Furthermore, the 3D Gaussian model represents a time-averaged wake state and does not explicitly simulate the non-stationary, wake-generated turbulence. This turbulence, characterized by its distinct spectral properties compared to ambient turbulence, is known to significantly increase load fluctuations on downstream turbines [29]. Our model therefore captures the primary effect of the mean velocity deficit and its dynamic interaction with the platform, but future work will need to incorporate models for wake-added turbulence to improve load prediction accuracy, particularly for fatigue analysis.
- (2)
- Numerical model
In this study, the nonlinear LLFVW model is adopted to calculate the time-varying aerodynamic forces of the FOWTs [44]. As illustrated in Figure 3, in this model, the vortex wake of the blade can be modelled as a single vortex sheet, consisting of trailing filaments and shed vortex filaments. The trailing vortex filaments and shed vortex filaments are represented by straight line segments, and the vortex lattices are generated as a result of the intersection of these segments. The intersection is referred to as the wake node. The bound vortex filament, which represents the lifting line, is located at the quarter chord position of the airfoil along the blade span direction. The control points are located at the lifting line between two adjacent wake nodes.
Figure 3.
The schematic of vortex lattice generation and interaction with the lifting line in the LLFVW model.
Every two adjacent trailing vortex filaments divide the blade into a blade element segment, as demonstrated in the magnified segment situated in the lower right quadrant of Figure 3. In accordance with the principles of blade element theory, the lift and drag of each segment can be calculated as follows [36]:
where denotes the air density; denotes the chord length; and denote the lift coefficient and the drag coefficient of the blade element segment, respectively; is the angle of attack; denotes the relative velocity vector at the control point; , and denote three unit vectors in the chord, radial and normal directions, respectively; denotes the length of the selected infinitesimal blade element segment.
and can be obtained by the following equations [44]:
where denotes inflow velocity vector; denotes the rotational angular velocity; denotes the distance vector from the wind rotor axis to the control point; denotes the total induced velocity from all vortex filaments, as shown in the magnified segment in the top right quadrant of Figure 3.
can be obtained by the following equation [44]:
where denotes the filament strength of the vortex filament ; denotes the vector from the induced point P to the vortex filament.
In the LLFVW model as seen in Figure 3, the trailing vortex filaments cause spatial while the shed vortex filaments cause temporal variation characteristics of the attached vortex filaments. They can be expressed mathematically as [44]:
where denotes the filament strength of the trailing vortex filament; denotes the filament strength of the shed vortex filament; denotes the filament strength of the attached vortex filament.
The filament strength and velocity values at each position are obtained by means of iterative calculation using the above equations. The thrust and torque for each blade segment are then calculated using the following equations:
where denotes the sum of the and the twist angle.
Ultimately, the aerodynamic thrust and the aerodynamic torque of the entire blade can be obtained by superimposing the thrust and power of each blade segment as illustrated in the above equations along the span direction. Subsequently, in the case of three-bladed FOWTs, the aerodynamic loads on the wind rotors should be the aggregate of the loads borne by the three blades.
- (3)
- Wind load
As the preceding analysis demonstrated, the FOWTs situated at different positions within an offshore wind farm experience varying wind load. Specifically, the upstream FOWTs encounter inflow velocities equivalent to free-stream wind velocities, whereas the downstream FOWTs face inflow velocities derived from upstream wake velocities. This requires calculation via the established 3D Gaussian wake model. Once the aerodynamic forces have been determined using the LLFVW model described above, the wind load and wind load moment can be computed via the following equations [42]:
where denotes the unit vector in the Xni direction; is the position vector from the system’s overall center of gravity (point b) to the hub center; and denotes the aerodynamic thrust and the aerodynamic torque of the wind rotor. is calculated about the system’s overall center of gravity. While and are used here for conciseness, they originate from the integration of non-uniformly distributed blade element forces (Equations (10)–(14)) along the span of all three blades, ensuring the correct moment arm to the center of gravity is accounted for in the underlying LLFVW model.
Noting that while Sun et al. [28] used Gaussian wakes for fixed-bottom turbines, this aerodynamics model integrates the 3D Gaussian model with the LLFVW model and 6-DOF platform motions to capture wake-platform feedback. It should be noted that to isolate and clearly characterize the dynamic responses of this critical coupling region between the wind turbine and the floating platform, we opted not to consider the aerodynamic loads acting directly on the tower in the current framework.
2.3.2. Hydrodynamics Modeling
- (1)
- Hydrostatic restoring force
The hydrostatic restoring force is caused by the viscosity, mainly composed of buoyancy and gravity. The relationship between buoyancy and gravity changes when an object deviates from its initial equilibrium in the still water. The difference between these two forces constitutes the core driving force that pushes the object into its equilibrium position, i.e., the hydrostatic restoring force. The relationship between these variables can be expressed as [45]:
where denotes the hydrostatic restoring force; denotes the buoyancy; denotes the gravity; denotes the density; g denotes the acceleration of gravity; is the instantaneous displacement of the floating platform; is the unit vector along the Z0 axis, as shown in Figure 2; is the total mass of the system.
The hydrostatic restoring torque can be expressed as [45]:
where is the vector from the origin point Cbi of the coordinate system CbiXbiYbiZbi to the origin point Cpi of the coordinate system CpiXpiYpiZpi, as seen in Figure 2.
- (2)
- Wave load
The fluid pressure can be divided into two kinds, i.e., normal pressure and tangential pressure. Normal pressure can be divided into hydrostatic pressure and dynamic pressure. The concept of hydrostatic pressure is directly related to the hydrostatic restoring force, as shown in the above equations. In this study, a dynamic pressure calculation representing the force exerted by an incident wave is derived using the linear wave theory. The solution of the tangential pressure and radiation wave force is mainly realized by Morison equation.
According to the linear wave theory, the velocity potential of an incident wave can be expressed as follows [45]:
where denotes the amplitude of the wave; denotes the frequency of the circular wave; denotes the depth of the water; denotes the wavenumber of the wave; denotes the initial phase.
The velocity of the water particle in motion can be expressed as [45]:
The Laplace equation is employed as the governing equation, while the JONSWAP spectrum is employed to characterize the randomness of the wave [46]. The JONSWAP spectrum is used to model the random, irregular wave conditions the OC4 DeepCwind semi-submersible FOWT experiences in real offshore environments. The key parameters, i.e., significant wave height, peak spectral period, and the peak enhancement factor, should be specified. Discrete frequencies are first sampled from the JONSWAP spectrum to generate wave time-series data. A random phase is assigned to each frequency to reflect the stochastic nature of ocean waves. Individual wave components for each frequency are then calculated using linear wave theory, specifically Airy wave equations. Wave amplitude is derived from the spectrum’s energy at that respective frequency. These components are summed to form the total time-varying wave surface elevation. From this synthetic wave surface, standard linear wave kinematics are applied to compute horizontal and vertical water particle velocities and accelerations at every submerged point along the OC4 platform’s columns. For a given depth below still water, this kinematics follow formulas where velocity scales with wave amplitude, frequency and a depth-dependent exponential term, and acceleration is the time derivative of velocity. These velocity and acceleration time-series are then fed directly into Morison’s equation. There, they are combined with the platform’s column diameters and calibrated drag/inertial coefficients to calculate inline wave forces on each column. These forces ultimately contribute to the total hydrodynamic loads on the semi-submersible structure.
The determination of radiation wave forces can be achieved through the utilization of the Morison equation, which is expressed in its fundamental form as follows [45]:
where , and denote the inertia coefficient, added mass coefficient and drag coefficient, respectively; is the cylinder diameter; is the normal component of wave acceleration; is the normal component of structural acceleration; is the normal component of relative velocity between water particles and the cylinder.
- (3)
- Mooring force
The calculation of mooring forces employs linearization for the purpose of simplification, thereby allowing mooring lines to be approximated as six-degree-of-freedom linear spring systems [8]. It is possible to determine the tension and torsional stress for each mooring line based on the material’s elastic properties. Subsequently, the mooring force and moment of the mooring system can be obtained by summing the tension and moment of each mooring line.
It should be noted that for the OC4 DeepCwind semi-submersible FOWTs in our study, the added mass coefficients and radiation damping coefficients were obtained from potential flow solvers, which aligns with standard hydrodynamic modeling practices for semi-submersible platforms of this type [40]. Specifically, these parameters draw on validated potential flow simulation results for the OC4 DeepCwind system, which are widely cited in the field and consistent with the parameterization frameworks used in tools like OpenFAST. These potential flow-derived values are well-suited for capturing the hydrodynamic interactions of the platform’s three-column structure, a defining feature of the OC4 DeepCwind design.
The damping coefficients include two key parts: radiation damping (from the potential flow solver results mentioned above) and viscous damping. The viscous damping coefficients, along with the inertial coefficient and drag coefficient used in Morison’s equation for wave load calculation, were determined based on scaled model test data [40]. These values reference physical experiments conducted on OC4 DeepCwind semi-submersible platforms, ensuring they reflect real-world viscous effects that potential flow solvers alone may not fully capture. As with industry-standard practices for this platform, we adopted calibrated coefficients that balance computational efficiency and accuracy, consistent with prior validation work for OC4 DeepCwind dynamics.
2.4. Calculation Strategies and Validations
2.4.1. Calculation Strategies
As demonstrated in Figure 4, the velocity of the rigid body is derived through a single integration, while the displacement of the rigid body is determined via a double integration. These velocities and displacements, in turn, exert influence upon aerodynamic loads, radiated wave forces, viscous damping, hydrostatic buoyancy, and mooring forces. This influence subsequently affects the solution of the equations of motion, thereby impacting the rigid body velocity and displacement once more. The computational process under scrutiny here iterates cyclically until the requisite precision is attained, ultimately resulting in the production of the necessary data.
Figure 4.
The calculation strategies.
The coupled dynamic simulation proceeds through a sequential exchange of data between the modules at each time step. The process is initiated by calculating the incident wind field at the downstream turbine’s location using the 3D Gaussian wake model as seen from Equations (7)–(9), which is influenced by the instantaneous positions of the upstream and downstream platforms. This wake velocity field, , then serves as the input for the LLFVW model as seen from Equations (10)–(14). The LLFVW model calculates the time-varying aerodynamic loads (i.e., and ) on the rotor, which are a function of the relative wind velocity that includes both the wake inflow and the platform motions. These aerodynamic loads are then combined with the hydrodynamic loads (wave, current, hydrostatic) and mooring forces to form the total external load on the system. This total load is fed into the numerical solver as seen in Equation (4) to compute the platform’s new linear and angular velocities and displacements for the next time step. Crucially, these updated platform motions are fed back into the wake and aerodynamic models at the subsequent time step, thereby closing the loop and establishing the fully coupled, bidirectional feedback between the wake development and the platform’s dynamic response.
2.4.2. Validations
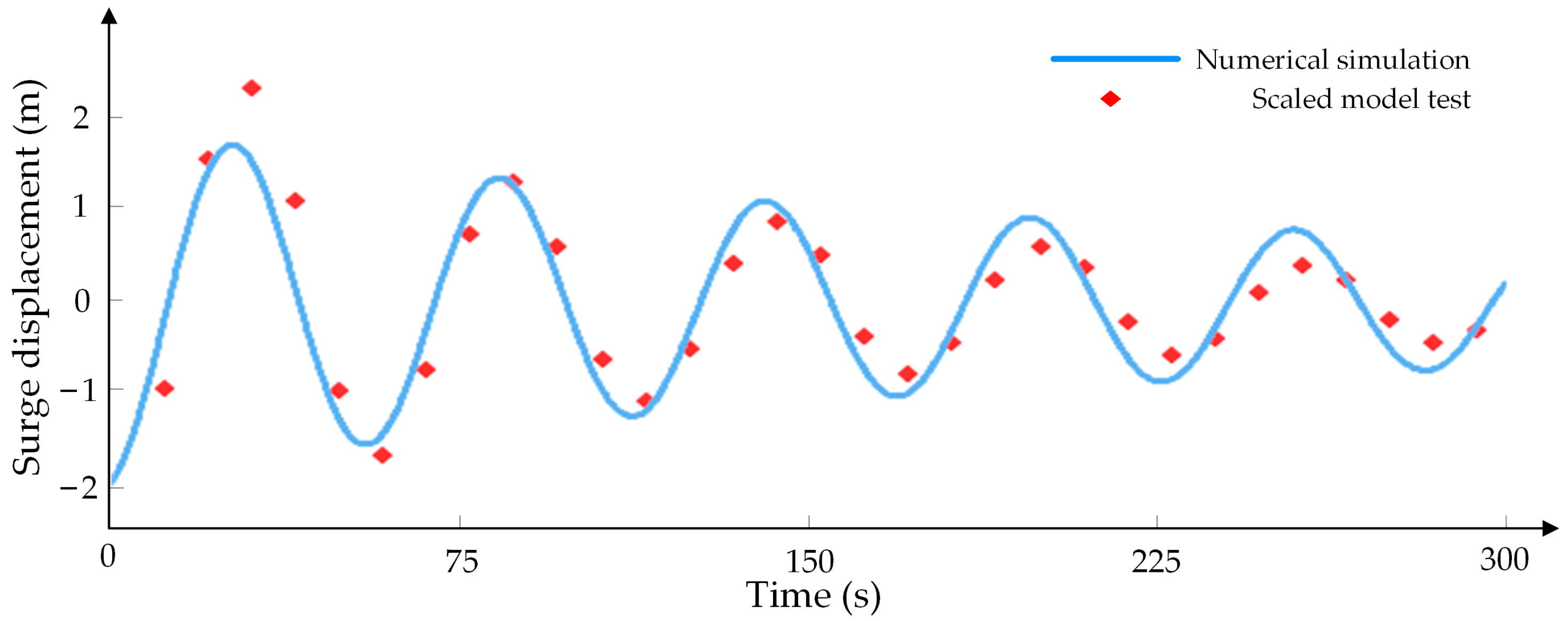
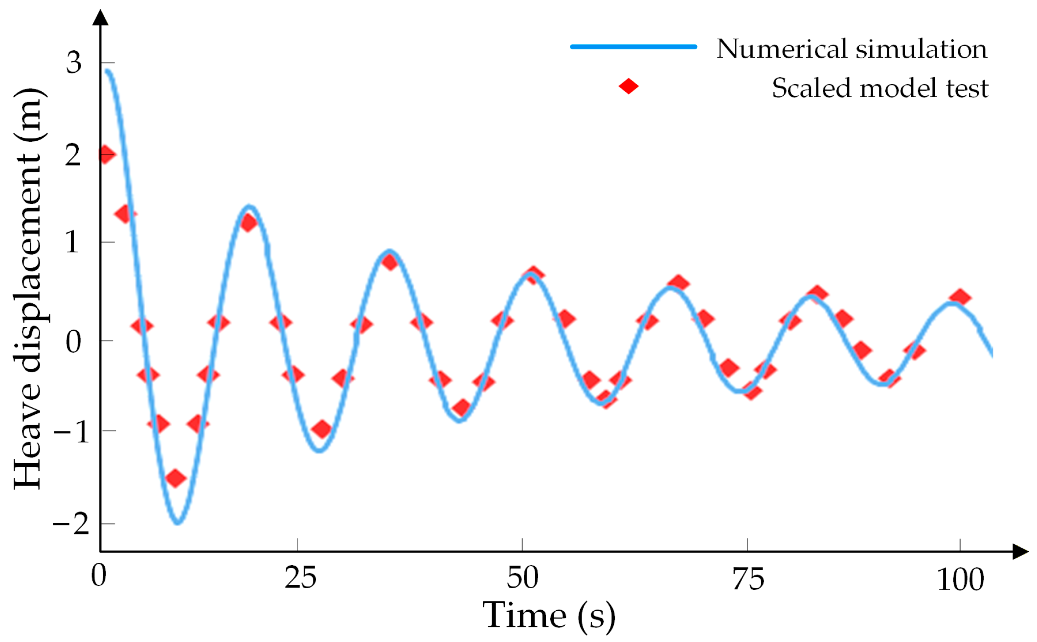
The wake model and the aerodynamic load model have been well validated in previous studies [36]. As the hydrostatic decay condition involves less environmental load and effectively verifies the coupled dynamics model, radiation wave force model, Hydrostatic restoring force model and mooring system model, this study uses free decay tests to verify the proposed coupled dynamics analysis method. The comparative free decay tests and data are based on the scaled model experiments and results from the wave tank at Shanghai Jiao Tong University [42]. Figure 5, Figure 6 and Figure 7 show the comparisons between the numerical simulations and the experimental tests results for the platform’s surge, heave and pitch motions, respectively.
Figure 5.
Comparison of the numerical simulation and the scaled mode test results for the surge free decay motion.
Figure 6.
Comparison of the numerical simulation and the scaled mode test results for the heave free decay motion.
Figure 7.
Comparison of the numerical simulation and the scaled mode test results for the pitch free decay motion.
The comparison results from the above figures demonstrate that the proposed coupled dynamic response analysis method yields numerical simulation data for the free decaying motion of FOWTs that closely aligns with experimental test data. It confirms the model’s fidelity in capturing the core coupled low-frequency dynamics of the platform-mooring system.
Beyond the platform hydrodynamics, the aerodynamic load prediction capability of the LLFVW model was rigorously validated. First, the model’s predictions for the NREL 5-MW rotor under steady, fixed-base conditions were verified against published BEM and CFD results [47,48,49], showing excellent agreement in power and thrust curves. Critically, to validate the model under conditions relevant to floating platforms, its performance was tested against platform motion. The instantaneous power and thrust response predicted by our LLFVW model were compared with the CFD and unsteady BEM results of Tran et al. [47], and both showed high consistency. The close agreement demonstrates our model’s capability to capture the complex unsteady aerodynamics induced by platform motion.
Furthermore, we provide direct experimental validation of the rotor loads. As illustrated in Figure 8, a comparison has been made between the power and thrust coefficients derived from the present simulations and the experimental data obtained from a 1:80 scale model of the NREL 5-MW rotor, which was installed on an equivalent mechanism [35,36,37,38,39]. These experiments were conducted by the Advanced Mechanisms and Precision Transmission Research Team at Fuzhou University. The mean relative errors are 8.84% for the power coefficient and 8.01% for the thrust coefficient, confirming the model’s reliability in predicting key load parameters.
Figure 8.
Comparisons of the simulation results and the scaled model experimental test data with pitch motion: (a) Results of the power coefficient CP,rotor; (b) Results of the thrust coefficient CT,rotor.
This multi-stage validation, from steady-state benchmarks to unsteady motion cases and direct experimental comparison, provides a solid foundation for interpreting the load-related results presented in this study. While further validation against load measurements is needed for precise quantitative prediction, the model’s value lies in its ability to reveal and explain distinct response regimes that are not immediately obvious from first principles.
2.5. Simulation Setup
The wake of a downstream FOWT is determined by the layout of the offshore wind farm. For example, the layout of a two-row wind farm can be roughly classified into four configurations [50,51], as shown in Figure 9. The first configuration, illustrated in Figure 9a, involves the conditions unaffected by the upstream wake. This is because the distance between the second row of FOWTs and the front row is great enough to place them outside the wake zone, meaning they are unaffected by it. This configuration is consistent with the findings of most standalone FOWT studies, and is used in this study as a benchmark for the dynamic response in wake conditions. In the second configuration, the second-row FTW (downstream FOWT) is positioned precisely along the center line of the wake generated by the front-row FOWT (upstream FOWT). In other words, it is positioned directly facing the wake of the upstream FTW, as illustrated in Figure 9b. The third configuration involves positioning the downstream FOWT laterally offset from the center line of the wake generated by the upstream FOWT, i.e., displacing it from the wake, as illustrated in Figure 9c. The fourth configuration involves the downstream FOWT being affected by the multi-wake of several upstream FOWTs. Figure 9d illustrates this using the example of two side-by-side upstream FOWTs. In this figure, X and Y denote the streamwise distance and lateral offset, respectively; ΔL denotes the spacing between the two FOWTs positioned side-by-side upstream.
Figure 9.
The sketch of relative position of the two rows of FOWTs: (a) The standalone FOWT or the downstream FOWT is located outside the wake region. (b) The downstream FOWT is located along the central upstream wake region. (c) The downstream FOWT is located offset from the central upstream wake region. (d) The downstream FOWT is located in the compound wake region of the two upstream FOWTs.
For the sake of convenience in subsequent discussions, this study defines the four layout configurations corresponding to Figure 9a–d as the no-wake condition, wake condition I, wake condition II and wake condition III.
Simulation tests are conducted to analyze the dynamic response of the FOWTs. These simulations are based on the well-established coupled dynamic analysis method, employing the fundamental parameters and environmental operating conditions of the FOWTs described in the above sub-sections. The fundamental environmental operating parameters used for the simulations are shown in the Table 4. To avoid the effects associated with the beginning and end of the simulation, the analysis used simulation data from the 100-s mid-interval (from the 100th to the 200th second) of each 300-s simulation run. It should be noted that the 100-s simulation used for analysis is suitable for identifying dynamic phenomena but insufficient for detailed fatigue load assessment.
Table 4.
Main parameters of simulations.
3. Results and Discussion
Tower top vibration, tower base moment and pitch motion of the floating platform are critical dynamic responses that affect the structural safety of FOWTs and significantly impact their normal operations. Consequently, this study focuses on these three responses in order to analyze the coupled dynamic responses of FOWTs in wake conditions I, II and III.
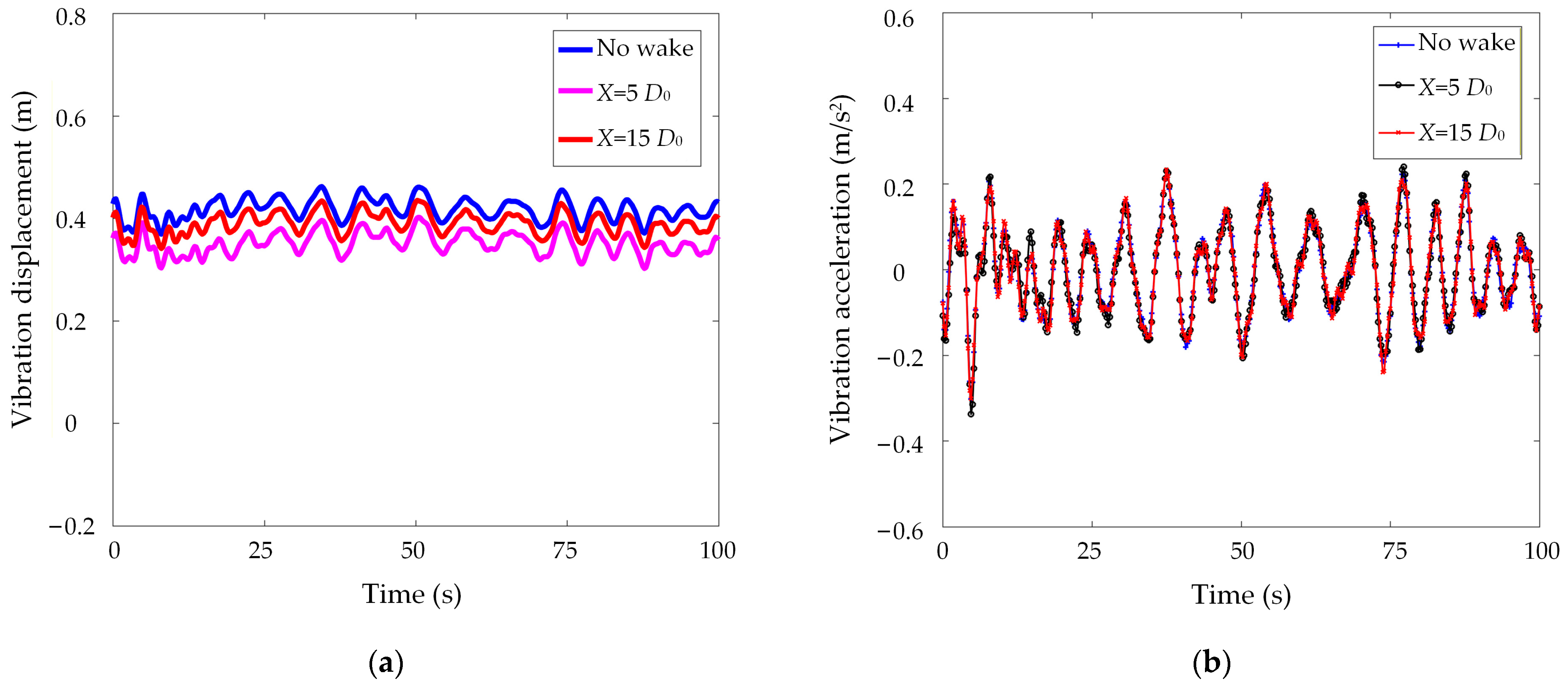
3.1. Dynamic Responses in Wake Condition I
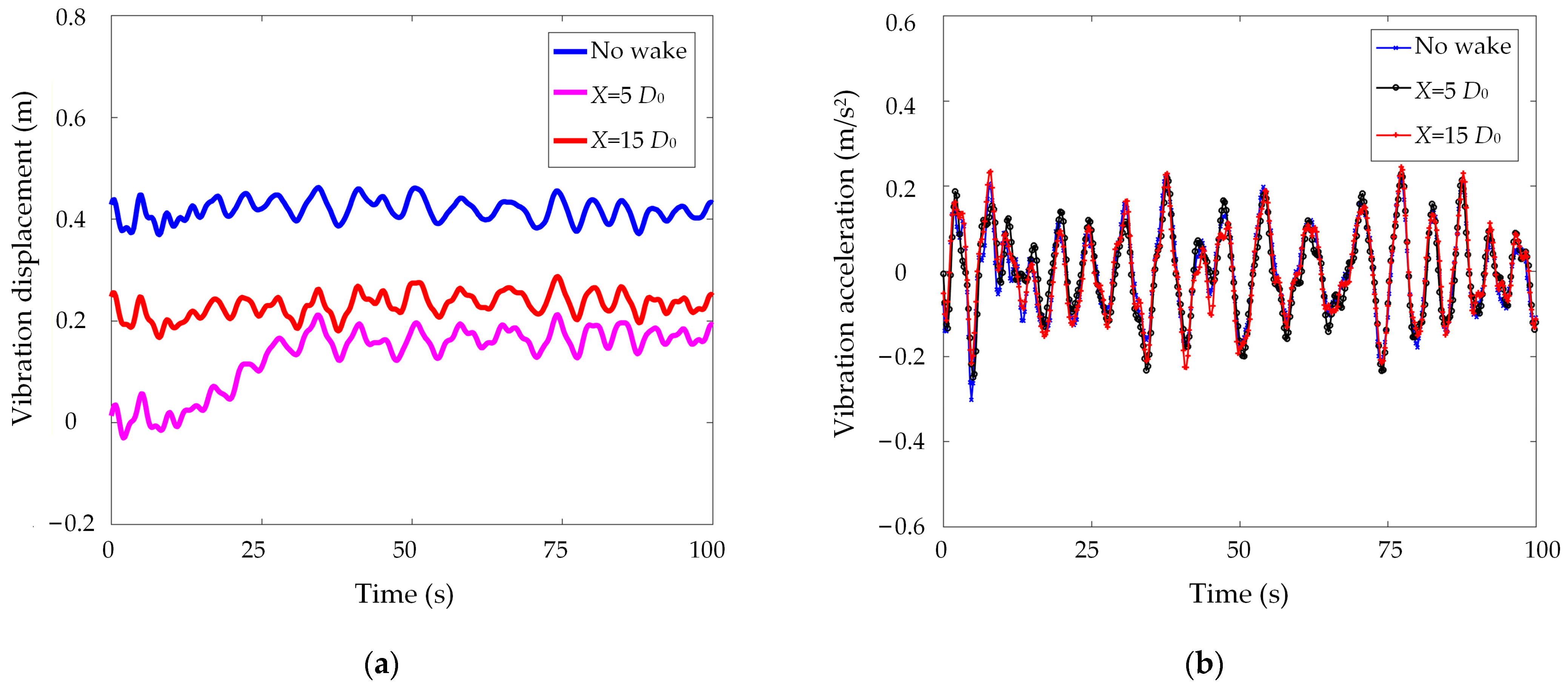
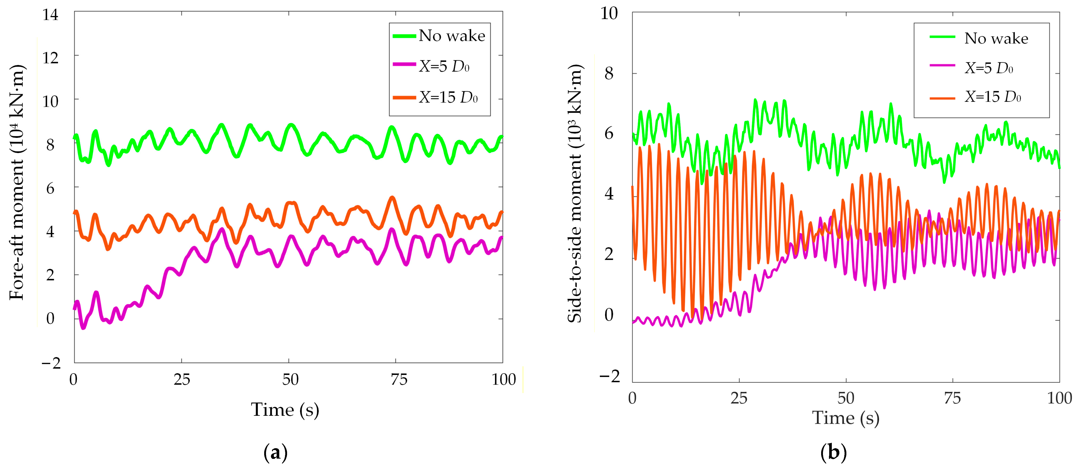
The dynamic responses in wake condition I with streamwise distances in the wake of X = 5 D0 and X = 15 D0 are discussed in this subsection. The fore–aft displacements and accelerations of the vibration at the top of the tower are shown in Figure 10. The pitch (fore–aft) and yaw (side-to-side) moments at the base of the tower are shown in Figure 11. The pitch motion velocities and accelerations of the floating platform are shown Figure 12.
Figure 10.
Comparisons of the tower top (a) vibration displacements and (b) vibration accelerations in wake condition I.
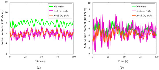
Figure 11.
Comparisons of tower bottom (a) fore–aft moments and (b) side-to-side moments in wake condition I.
Figure 12.
Comparisons of floating platform (a) pitch velocities and (b) pitch accelerations in wake condition I.
As can be seen in Figure 10, the presence of the wake reduces the vibration displacement at the top of the tower to some extent, but does not diminish the fluctuation in vibration displacement. The tower top vibration acceleration shows that the single-wake condition directly facing the tower does not significantly alter the dynamic impact at the top of the tower. This may be due to the induced velocity reduction caused by wake velocity deficit, resulting in changes in the total load of Equation (5), which in turn affects the dynamic changes of the tower top position in the dynamic equation as seen in Equation (1).
As can be seen in Figure 11, the fore–aft moment at the tower base is much greater than the side-to-side moment (by a factor of ten). The presence of the wake reduces both the pitch and yaw moments; however, this reduction decreases progressively as the streamwise distance in the wake increases. Nevertheless, the wake increases moment fluctuations, particularly for side-to-side moments. This is mainly due to the unsteady aerodynamic load driven by the wake velocity deficit (as seen from Equation (7) to Equation (14)), which interacts with the hydrodynamic motion of the floating platform (as seen in Equation (5)), ultimately coupling and amplifying the moments of the tower bottom, especially the side-to-side moment. Actually, the wake-induced reduction in wind velocity can place the turbine in a below-rated operational regime, where reduced aerodynamic damping due to fine blade pitch is a known cause of increased side-side tower vibrations.
As can be seen in Figure 12, the wake has little effects on the velocity and acceleration of pitch motion of the floating platform. This may be due to the induced velocity reduction caused by wake velocity deficit, resulting in changes in the total load of Equation (5), which in turn affects the dynamic changes of the floating platform in the dynamic equation as seen in Equation (1). However, from an equation perspective, the influence of this wake condition on hydrodynamics is extremely weak, so the impact on platform fluctuations is not a major concern.
In summary, substantial velocity losses in the central region of the single wake leads to reduced loads on the wind turbine, and it can significantly impact some dynamic response characteristics such as the side-side vibration.
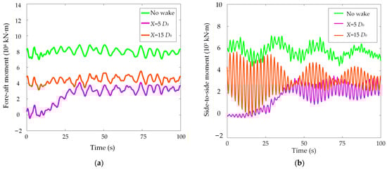
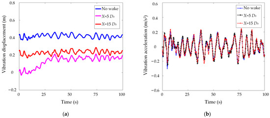
3.2. Dynamic Responses in Wake Condition II
The dynamic responses in wake condition II with streamwise distances in the wake of X = 5 D0 and X = 15 D0 are discussed in this subsection. The lateral offset is set to be Y = R0. The fore–aft displacements and accelerations of the vibration at the top of the tower are shown in Figure 13. The fore–aft moments and side-to-side moments at the base of the tower are shown in Figure 14. The pitch motion velocities and accelerations of the floating platform are shown in Figure 15.
Figure 13.
Comparisons of the tower top (a) vibration displacements and (b) vibration accelerations in wake condition II.
Figure 14.
Comparisons of tower bottom (a) fore–aft moments and (b) side-to-side moments in wake condition II.
Figure 15.
Comparisons of floating platform (a) pitch velocities and (b) pitch accelerations in wake condition II.
As can be seen in Figure 13, under the offset wake condition, vibration displacement at the top of the tower decreases. As the streamwise distance in the wake increases, the reduction in vibration displacement partially reverses. However, under this operating condition, fluctuations in vibration acceleration at the top of the tower become significantly amplified. This is particularly pronounced in the vicinity of the wake region, for example at X = 5 D0. This poses a considerable threat to structural integrity of FOWTs. This may be due to the induced velocity reduction caused by wake velocity deficit, resulting in changes in the total load of Equation (5), which in turn affects the dynamic changes of the tower top position in the dynamic equation as seen in Equation (1). However, the offset wake condition exacerbates the unsteady characteristics of the induced velocity of the wake, resulting in more complex dynamic behavior, mainly reflected in the amplitude and frequency of fluctuations.
Figure 14 exhibits phenomena similar to those in Figure 11, but under this operating condition, the fluctuations in fore–aft and side-to-side moments are significantly amplified. For example, in the wake region at X = 5 D0, the side-to-side moment occasionally surges to values that exceed those observed under the no wake condition due to intense oscillations. This represents a significant hazard. The main reason is also explained similarly with wake condition I. Differently, the unstable characteristics of wake induced velocity are greatly exacerbated by the offset wake conditions, resulting in coupling effects with platform hydrodynamics and causing significant fluctuations in the moments of the tower bottom, especially the side-to-side moment. The underlying mechanism is speculated to be the LLFVW-derived vortex shedding (as seen in Equation (13)), showing that asymmetric wake structures captured by our vortex model (as seen in Equations (10)–(14)), which significantly increases the tower bottom side-to-side moments.
As can be seen in Figure 15, this operating condition significantly increases the fluctuations of the pitch acceleration of the platform, particularly in the near-wake region. The fluctuations at X = 5 D0 in the figure are markedly greater than those at X = 15 D0. This may be due to the induced velocity reduction caused by wake velocity deficit, resulting in changes in the total load of Equation (5), which in turn affects the dynamic changes of the floating platform in the dynamic equation as seen in Equation (1). However, from an equation perspective, the influence of this wake condition on hydrodynamics is extremely weak. Compared to wake condition I, the pitch acceleration fluctuation is more prominent, possibly due to the more intense velocity vibration induced under such wake conditions
In summary, this wake condition has a significant impact on the dynamic responses of the FOWTs. In practical engineering applications, therefore, FOWTs should avoid operating under this kind of conditions.
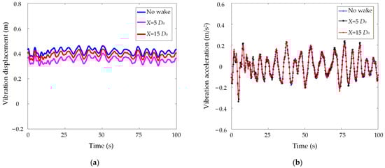
3.3. Dynamic Responses in Wake Condition III
The dynamic responses in wake condition III with streamwise distances in the wake of X = 5 D0 and X = 15 D0 are discussed in this subsection. The spacing between the two front FOWTs is set to be ΔL = 288 m. The fore–aft displacements and accelerations of the vibration at the top of the tower are shown in Figure 16. The fore–aft moments and side-to-side moments at the base of the tower are shown in Figure 17. The pitch motion velocities and accelerations of the floating platform are shown Figure 18.
Figure 16.
Comparisons of the tower top (a) vibration displacements and (b) vibration accelerations in wake condition III.
Figure 17.
Comparisons of tower bottom (a) fore–aft moments and (b) side-to-side moments in wake condition III.
Figure 18.
Comparisons of floating platform (a) pitch velocities and (b) pitch accelerations in wake condition III.
As can be seen in Figure 16, the multi-wake condition reduces vibration displacement at the tower top, but by a smaller amount than the two aforementioned wake conditions. The main changes may be due to the induced velocity reduction caused by wake velocity deficit, resulting in changes in the total load of Equation (5), which in turn affects the dynamic changes of the tower top position in the dynamic equation as seen in Equation (1). However, due to the mutual cancellation of the unsteady effects of the two wakes in the multi-wake condition, a relatively stable state may be achieved.
As can be seen in Figure 17, the multi-wake condition has a relatively minor effect on the fore–aft moment. However, it still amplifies the side-to-side moment fluctuations to a certain extent. This may be related to the mutual cancellation effect of the two wakes.
Similarly, as can be seen in Figure 18, this operating condition has a smaller impact on the velocity and acceleration of the floating platform’s pitch motion compared to the lateral offset wake condition. This may be due to the relatively large spacing between the upstream FOWTs used in this study, which creates multiple overlapping wakes. Consequently, the degree of wake overlap is low, which has a lesser impact on the dynamic responses of the downstream FOWTs. This may be due to the induced velocity reduction caused by wake velocity deficit, resulting in changes in the total load of Equation (5), which in turn affects the dynamic changes of the floating platform in the dynamic equation as seen in Equation (1). However, also from an equation perspective, the influence of this wake condition on hydrodynamics is extremely weak. Therefore, the impact on platform fluctuations can be almost negligible.
3.4. Discussion
While the afore results highlight a potential issue, a comprehensive long-term load analysis across multiple wind conditions is necessary for a conclusive assessment of operational safety and efficiency impacts.
The present model, by employing a rigid-body representation and a time-averaged wake model, intentionally isolates the fundamental dynamic coupling between platform motion and the mean asymmetric wake inflow. This simplification allows us to attribute the observed load amplification patterns with high confidence to this primary mechanism, rather than to the confounding effects of wake turbulence or structural flexibility. While the absolute load values are indeed specific to the OC4 DeepCwind platform and NREL 5-MW turbine, the identified physical mechanism, whereby platform motions interact with asymmetric inflow to excite low-damped modes, is a fundamental one likely to be relevant across a range of FOWT designs. This work therefore establishes a crucial benchmark understanding and a validated modelling framework. Future studies can now build upon this foundation to quantitatively assess how different platform types, control strategies, or additional physics like wake turbulence modulate the magnitude of this effect.
The modelling approach, employing a time-averaged Gaussian wake and simplified superposition, was a conscious strategy to first establish a clear understanding of the baseline dynamic response driven by the mean velocity deficit and its interaction with platform motions. This simplification allows us to attribute the observed response patterns with greater confidence to this fundamental coupling, providing a crucial benchmark case. The findings underscore that for FOWTs, the spatial configuration of a wake is as critical as its presence, with lateral offset scenarios posing a disproportionate risk that must be avoided in wind farm layout planning to mitigate fatigue damage.
From an engineering perspective, the results offer actionable insights for offshore wind farm optimization and FOWTs’ structural design. The pronounced adverse impacts of lateral offset wakes highlight the need to avoid such configurations in wind farm layout planning. This emphasizes the importance of streamwise and lateral spacing optimization to minimize asymmetric wake exposure. For central wake scenarios, the reduced load magnitudes suggest potential for targeted structural weight reduction in tower and mooring components. This is provided that moment fluctuations, especially for side-to-side moments, are accounted for in fatigue life calculations. The milder responses under multi-wake conditions further indicate that strategic upstream turbine spacing can mitigate wake-induced load amplification. This offers a pathway to balance energy density and structural reliability in large-scale wind farms.
4. Conclusions
This study developed a coupled dynamic analysis method for FOWTs that integrates aerodynamic, hydrodynamic, and mooring system dynamics. The upstream wake effects are explicitly incorporated through the combined application of a 3D Gaussian wake model and a nonlinear LLFVW model. Validated against scaled wave tank experiments and equivalent aerodynamic experiments, the method demonstrated reliable prediction of FOWT dynamic responses, providing a robust framework for investigating inter-turbine wake interactions in offshore wind farm environments. Then, a systematic analysis of dynamic responses under three representative wake conditions, i.e., central wake, lateral offset wake, and multi-wake, revealed distinct impacts on the critical components of FOWTs. All the wake conditions reduced tower-top vibration displacement and tower-base fore–aft/side-to-side moments, reflecting the velocity deficit-induced reduction in aerodynamic loads on the downstream turbines. Notably, the lateral offset wake condition exhibited the most pronounced adverse effects. These include amplified tower-top vibration acceleration fluctuations, intensified tower-base moment variations, and increased platform pitch acceleration. These phenomena are directly linked to the asymmetric inflow characteristics of offset wakes, which introduce unsteady load distributions that compromise structural fatigue resistance and operational stability. In contrast, the multi-wake condition exerted relatively minor influences on dynamic responses. This is attributed to the low degree of wake overlap resulting from the large spacing between upstream turbines in the study configuration. These findings underscore the criticality of wake-aware design and operation. Neglecting wake effects, particularly lateral offset scenarios, can lead to underprediction of structural loads and heightened safety risks for FOWTs.
This work outlines key directions for advancing the proposed coupled dynamic analysis method, with a focus on enhancing its robustness and practical applicability. To begin with, the current modeling framework lacks integration of blade flexibility and aeroelastic effects. These factors may alter dynamic load transmission under unsteady wake inflows. In future studies, we will incorporate these elements into the aerodynamic model to improve the fidelity of dynamic response predictions, addressing a critical simplification of the present work. Second, the scope of environmental conditions analyzed in this study can be expanded to include extreme scenarios, such as combined wind–wave–current loads and storm events. This extension will fill critical gaps in offshore operational safety assessments, as such conditions frequently drive extreme load demands on FOWTs in real-world wind farm settings. Third, further exploration of wake control strategies, including active yaw adjustment for upstream turbines to mitigate adverse effects of lateral offset wakes, could further create opportunities to optimize wind farm performance while safeguarding structural integrity. Such strategies directly respond to our findings that offset wakes amplify tower-base moment fluctuations and platform pitch acceleration, offering a pathway to translate analytical insights into engineering solutions. Finally, wake meandering, a phenomenon identified to potentially amplify platform sway motion, will be incorporated into future iterations of the model. Integrating a dedicated meandering sub-model will refine the accuracy of wake-induced motion predictions, complement the existing 3D Gaussian and LLFVW frameworks. Collectively, these advancements will strengthen the technical foundation for the design, operation, and optimization of large-scale offshore wind farms, supporting the global transition to low-carbon energy systems.
Author Contributions
Conceptualization, Y.W.; methodology, Y.W.; software, Y.W.; validation, Y.W., J.Z. and J.M.; investigation, Y.W. and J.Z.; resources, Y.W.; data curation, Y.W.; writing—original draft preparation, Y.W., J.Z., J.Y. and X.Z.; writing—review and editing, Y.W., J.Z., J.Y., X.Z. and J.M.; visualization, Y.W.; supervision, Y.W. and J.M.; project administration, Y.W. and J.M.; funding acquisition, Y.W. and J.M. All authors have read and agreed to the published version of the manuscript.
Funding
This research was funded by the National Natural Science Foundation of China (NSFC), grant numbers 52405072 and 52175487, and the Shandong Offshore Engineering Facility & Material Innovation Entrepreneurship Community Project (SOFM-IEC), grant number GTP-2404, and the Yantai Science and Technology Innovation Development Plan Project, grant number 2024JMRH005.
Data Availability Statement
The original contributions presented in this study are included in the article. Further inquiries can be directed to the corresponding author.
Acknowledgments
The authors wish to acknowledge the support and help of the Advanced Mechanisms and Precision Transmission Research Team of Fuzhou University and the MWORKS-based Technology and Research Team for Equipment Digitalization and Intelligence of Yantai University.
Conflicts of Interest
The authors declare no conflicts of interest.
Abbreviations
The following abbreviations are used in this manuscript:
| IEA | International Energy Agency |
| FOWTs | Floating Offshore Wind Turbines |
| SDG | Sustainable Development Goals |
| DOF | Degree of Freedom |
| BEM | Blade Element Momentum |
| TLP | Tension Leg Platform |
| CFD | Computational Fluid Dynamics |
| OC4 | Offshore Code Comparison Collaboration Continuation |
| DeepCwind | A deepwater coupling analysis tool developed by Det Norske Veritas (DNV) |
| UALM | Unsteady Actuator Line Models |
| naoe-FOAM-SJTU | An overlapping grid solver developed by Shanghai Jiao Tong University |
| LES | Large Eddy Simulation |
| LLFVW | Lifting Line Free Vortex Wake |
References
- Evro, S.; Oni, B.A.; Tomomewo, O.S. Global Strategies for a Low-Carbon Future: Lessons from the US, China, and EU’s Pursuit of Carbon Neutrality. J. Clean. Prod. 2024, 461, 142635. [Google Scholar] [CrossRef]
- Ahmad, H.; Yaqub, M.; Lee, S.H. Global Trends in Carbon Neutrality: A Scientometric Review on Energy Transition Challenges, Practices, Policies, and Opportunities. Environ. Dev. Sustain. 2025, 1–26. [Google Scholar] [CrossRef]
- Lundquist, J.K.; DuVivier, K.K.; Kaffine, D.; Tomaszewski, J.M. Costs and Consequences of Wind Turbine Wake Effects Arising from Uncoordinated Wind Energy Development. Nat. Energy 2018, 4, 26–34. [Google Scholar] [CrossRef]
- Jung, C.; Sander, L.; Schindler, D. Future Global Offshore Wind Energy under Climate Change and Advanced Wind Turbine Technology. Energy Convers. Manag. 2024, 321, 119075. [Google Scholar] [CrossRef]
- Global Wind Energy Council (GWEC). Global Wind Report 2022; Global Wind Energy Council: Brussels, Belgium, 2022. [Google Scholar]
- Otter, A.; Murphy, J.; Pakrashi, V.; Robertson, A.; Desmond, C. A Review of Modelling Techniques for Floating Offshore Wind Turbines. Wind Energy 2022, 25, 831–857. [Google Scholar] [CrossRef]
- Yang, L.; Li, B.; Dong, Y.; Hu, Z.; Zhang, K.; Li, S. Large-Amplitude Rotation of Floating Offshore Wind Turbines: A Comprehensive Review of Causes, Consequences, and Solutions. Renew. Sustain. Energy Rev. 2025, 211, 115295. [Google Scholar] [CrossRef]
- Moharram, N.A.; Konsowa, A.H.; Shehata, A.I.; El-Maghlany, W.M. Sustainable Seascapes: An in-Depth Analysis of Multigeneration Plants Utilizing Supercritical Zero Liquid Discharge Desalination and a Combined Cycle Power Plant. Alex. Eng. J. 2025, 118, 523–542. [Google Scholar] [CrossRef]
- Li, L.; Liu, Y.; Yuan, Z.; Gao, Y. Dynamic and Structural Performances of Offshore Floating Wind Turbines in Turbulent Wind Flow. Ocean Eng. 2019, 179, 92–103. [Google Scholar] [CrossRef]
- Chen, S.; Wang, K.; Wen, Y.; Le, C.; Gao, Z. Fully Coupled Dynamic Analysis of Novel Floating Dual-Rotor Wind Turbines. Phys. Fluids 2025, 37, 017114. [Google Scholar] [CrossRef]
- Zhou, T.; Lan, H.; Xu, C.; Han, X.; Wu, X. Wake and Performance of Floating Offshore Wind Turbines under Six Degrees of Freedom Conditions. Phys. Fluids 2025, 37, 015167. [Google Scholar] [CrossRef]
- Cai, Y.; Li, X.; Leng, S.; Zhao, H.; Zhou, Y. Effect of Combined Surge and Pitch Motion on the Aerodynamic Performance of Floating Offshore Wind Turbine. Ocean Eng. 2024, 306, 118061. [Google Scholar] [CrossRef]
- Leng, S.; Cai, Y.; Zhao, H.; Li, X.; Zhao, J. Study on the near Wake Aerodynamic Characteristics of Floating Offshore Wind Turbine under Combined Surge and Pitch Motion. Energies 2024, 17, 744. [Google Scholar] [CrossRef]
- Deng, Y.; Zhu, C.; Zhang, S.Y.; Yang, Y.; Zhang, B. A Novel Coupling Framework for Integrating Turbine and Substructure Dynamics of Floating Offshore Wind Turbines. Ocean Eng. 2025, 340, 122307. [Google Scholar] [CrossRef]
- Huang, H.; Liu, Q.; Iglesias, G.; Li, C. Advanced Multi-Physics Modeling of Floating Offshore Wind Turbines for Aerodynamic Design and Load Management. Energy Convers. Manag. 2025, 346, 120437. [Google Scholar] [CrossRef]
- Zhao, F.; Wang, T.; Gao, X.; Sun, H.; Yang, H.; Han, Z.; Wang, Y.; Zhu, X. Experimental Study on Wake Interactions and Performance of the Turbines with Different Rotor-Diameters in Adjacent Area of Large-Scale Wind Farm. Energy 2020, 199, 117416. [Google Scholar] [CrossRef]
- Pryor, S.C.; Barthelmie, R.J. Wind Shadows Impact Planning of Large Offshore Wind Farms. Appl. Energy 2024, 359, 122755. [Google Scholar] [CrossRef]
- He, G.; Sun, H.; He, R. A Novel Analytical Wake Model for Floating Offshore Wind Turbines with Pitch Motion Effects. Renew. Energy 2026, 256, 124090. [Google Scholar] [CrossRef]
- Wu, H.; Zhao, Y.; He, Y.; Shao, Y.; Mao, W.; Han, Z.; Huang, C.; Gu, X.; Jiang, Z. Transient Response of a TLP-Type Floating Offshore Wind Turbine under Tendon Failure Conditions. Ocean Eng. 2021, 220, 108486. [Google Scholar] [CrossRef]
- Zhang, C.; Wang, S.; Cui, M.; Liu, H.; Liu, A.; Xu, J.; Xie, S. Modeling and Dynamic Response Analysis of a Submersible Floating Offshore Wind Turbine Integrated with an Aquaculture Cage. Ocean Eng. 2022, 263, 112338. [Google Scholar] [CrossRef]
- Jonkman, J.M.; Matha, D. Dynamics of Offshore Floating Wind Turbines—Analysis of Three Concepts. Wind Energy 2011, 14, 557–569. [Google Scholar] [CrossRef]
- Luo, Y.; Qian, F.; Sun, H.; Wang, X.; Chen, A.; Zuo, L. Rigid-Flexible Coupling Multi-Body Dynamics Modeling of a Semi-Submersible Floating Offshore Wind Turbine. Ocean Eng. 2023, 281, 114648. [Google Scholar] [CrossRef]
- Cheng, P.; Wan, D. Fully Coupled Aero-Hydrodynamic Simulation of Floating Offshore Wind Turbines with Overset Grid Technology. In Lecture Notes in Civil Engineering, Proceedings of the Fourth International Conference in Ocean Engineering (ICOE2018), Chennai, India, 18–21 February 2018; Springer: Berlin/Heidelberg, Germany, 2019; Volume 22, pp. 647–661. [Google Scholar]
- Wang, J.; Zhao, W.; Wan, D. Development of Naoe-FOAM-SJTU Solver Based on OpenFOAM for Marine Hydrodynamics. J. Hydrodyn. 2019, 31, 1–20. [Google Scholar] [CrossRef]
- Archer, C.L.; Vasel-Be-Hagh, A.; Yan, C.; Wu, S.; Pan, Y.; Brodie, J.F.; Maguire, A.E. Review and Evaluation of Wake Loss Models for Wind Energy Applications. Appl. Energy 2018, 226, 1187–1207. [Google Scholar] [CrossRef]
- Xu, S.; Yang, X.; Zhao, W.; Wan, D. Numerical Analysis of Aero-Hydrodynamic Wake Flows of a Floating Offshore Wind Turbine Subjected to Atmospheric Turbulence Inflows. Ocean Eng. 2024, 300, 117498. [Google Scholar] [CrossRef]
- Bastankhah, M.; Porté-Agel, F. A New Analytical Model for Wind-Turbine Wakes. Renew. Energy 2014, 70, 116–123. [Google Scholar] [CrossRef]
- Sun, H.; Yang, H.; Gao, X. Investigation into Spacing Restriction and Layout Optimization of Wind Farm with Multiple Types of Wind Turbines. Energy 2019, 168, 637–650. [Google Scholar] [CrossRef]
- Wu, S.; Archer, C.L.; Mirocha, J.D. New Insights on Wind Turbine Wakes from Large-eddy Simulation: Wake Contraction, Dual Nature, and Temperature Effects. Wind Energy 2024, 27, 1130–1151. [Google Scholar] [CrossRef]
- Chanprasert, W.; Sharma, R.N.; Cater, J.E.; Norris, S.E. Large Eddy Simulation of Wind Turbine Fatigue Loading and Yaw Dynamics Induced by Wake Turbulence. Renew. Energy 2022, 190, 208–222. [Google Scholar] [CrossRef]
- Yao, T.; Lu, Q.; Wang, Y.; Zhang, Y.; Kuang, L.; Zhang, Z.; Zhao, Y.; Han, Z.; Shao, Y. Numerical Investigation of Wake-Induced Lifetime Fatigue Load of Two Floating Wind Turbines in Tandem with Different Spacings. Ocean Eng. 2023, 285, 115464. [Google Scholar] [CrossRef]
- Zong, H.; Porté-Agel, F. A Momentum-Conserving Wake Superposition Method for Wind Farm Power Prediction. J. Fluid Mech. 2020, 889, A8. [Google Scholar] [CrossRef]
- Sun, H.; Yang, H. Numerical Investigation of the Average Wind Speed of a Single Wind Turbine and Development of a Novel Three-Dimensional Multiple Wind Turbine Wake Model. Renew. Energy 2020, 147, 192–203. [Google Scholar] [CrossRef]
- Nishino, T.; Dunstan, T.D. Two-Scale Momentum Theory for Time-Dependent Modelling of Large Wind Farms. J. Fluid Mech. 2020, 894, A2. [Google Scholar] [CrossRef]
- Lin, J.; Wang, Y.; Duan, H.; Liu, Y.; Zhang, J. A Scaled Wind Turbine Model-Based Aerodynamic Testing Apparatus for Offshore Floating Wind Turbines. J. Mar. Eng. Technol. 2023, 22, 263–272. [Google Scholar] [CrossRef]
- Wang, Y.; Lin, J.; Zhang, J. Investigation of a New Analytical Wake Prediction Method for Offshore Floating Wind Turbines Considering an Accurate Incoming Wind Flow. Renew. Energy 2022, 185, 827–849. [Google Scholar] [CrossRef]
- Lin, J.; Duan, H.; Xu, B.; Wang, Y.; Zhang, J. Equivalent Aerodynamic Design of Blade for Offshore Floating Wind Turbine Model. J. Mar. Sci. Eng. 2022, 10, 132. [Google Scholar] [CrossRef]
- Wang, Y.; Lin, J.; Duan, H.; Zhang, J. Investigation on Thrust Characteristics of a Downstream Offshore Floating Wind Turbine under Yawed Inflow Conditions. J. Mar. Sci. Eng. 2021, 9, 1215. [Google Scholar] [CrossRef]
- Lin, J.; Wang, Y.; Zhang, G.; Liu, Y.; Zhang, J. Novel Tuned Mass Dampers Installed inside Tower of Spar Offshore Floating Wind Turbines. Ocean Eng. 2024, 301, 117412. [Google Scholar] [CrossRef]
- Robertson, A.; Jonkman, J.; Masciola, M.; Song, H.; Goupee, A.; Coulling, A.; Luan, C. Definition of the Semisubmersible Floating System for Phase II of OC4; National Renewable Energy Lab. (NREL): Golden, CO, USA, 2014. [Google Scholar]
- Jonkman, J.; Butterfield, S.; Musial, W.; Scott, G. Definition of a 5-MW Reference Wind Turbine for Offshore System Development; National Renewable Energy Lab. (NREL): Golden, CO, USA, 2009. [Google Scholar]
- Li, L.; Wang, J.; Hu, Z.; Zhong, X. The Development and Validation of an Aero-Hydro Simulation Code for Offshore Floating Wind Turbine. In Proceedings of the 13th National Conference on Hydrodynamics and 26th National Hydrodynamics Symposium, Qingdao, China, 22 August 2014; Ocean Press: Qingdao, China, 2014; pp. 507–517. (In Chinese). [Google Scholar]
- Lai, T.; Yi, T.-H.; Li, H.-N.; Fu, X. An Explicit Fourth-Order Runge–Kutta Method for Dynamic Force Identification. Int. J. Struct. Stab. Dyn. 2017, 17, 1750120. [Google Scholar] [CrossRef]
- Wen, B.; Tian, X.; Dong, X.; Peng, Z.; Zhang, W. Influences of Surge Motion on the Power and Thrust Characteristics of an Offshore Floating Wind Turbine. Energy 2017, 141, 2054–2068. [Google Scholar] [CrossRef]
- Tian, X.-L.; Xiao, J.-R.; Liu, H.-X.; Wen, B.-R.; Peng, Z.-K. A Novel Dynamics Analysis Method for Spar-Type Floating Offshore Wind Turbine. China Ocean Eng. 2020, 34, 99–109. [Google Scholar] [CrossRef]
- Lamei, A.; Hayatdavoodi, M. On Motion Analysis and Elastic Response of Floating Offshore Wind Turbines. J. Ocean Eng. Mar. Energy 2020, 6, 71–90. [Google Scholar] [CrossRef]
- Tran, T.; Kim, D.; Song, J. Computational Fluid Dynamic Analysis of a Floating Offshore Wind Turbine Experiencing Platform Pitching Motion. Energies 2014, 7, 5011–5026. [Google Scholar] [CrossRef]
- Farrugia, R.; Sant, T.; Micallef, D. A Study on the Aerodynamics of a Floating Wind Turbine Rotor. Renew. Energy 2016, 86, 770–784. [Google Scholar] [CrossRef]
- Micallef, D.; Sant, T. Loading Effects on Floating Offshore Horizontal Axis Wind Turbines in Surge Motion. Renew. Energy 2015, 83, 737–748. [Google Scholar] [CrossRef]
- Jeon, S.; Kim, B.; Huh, J. Comparison and Verification of Wake Models in an Onshore Wind Farm Considering Single Wake Condition of the 2 MW Wind Turbine. Energy 2015, 93, 1769–1777. [Google Scholar] [CrossRef]
- Liu, Z.; Wang, Y.; Hua, X.; Zhu, H.; Zhu, Z. Optimization of Wind Turbine TMD under Real Wind Distribution Countering Wake Effects Using GPU Acceleration and Machine Learning Technologies. J. Wind Eng. Ind. Aerodyn. 2021, 208, 104436. [Google Scholar] [CrossRef]
Disclaimer/Publisher’s Note: The statements, opinions and data contained in all publications are solely those of the individual author(s) and contributor(s) and not of MDPI and/or the editor(s). MDPI and/or the editor(s) disclaim responsibility for any injury to people or property resulting from any ideas, methods, instructions or products referred to in the content. |
© 2025 by the authors. Licensee MDPI, Basel, Switzerland. This article is an open access article distributed under the terms and conditions of the Creative Commons Attribution (CC BY) license (https://creativecommons.org/licenses/by/4.0/).

















