Fin Whale (Balaenoptera physalus) Migration in the Strait of Gibraltar: Evaluating Maritime Traffic Threats and Conservation Measures
Abstract
1. Introduction
1.1. Background
1.2. Anthropogenic Pressures and Ship-Strike Risk in the Strait of Gibraltar
1.3. Conservation and Legal Context
1.4. Aims of the Study
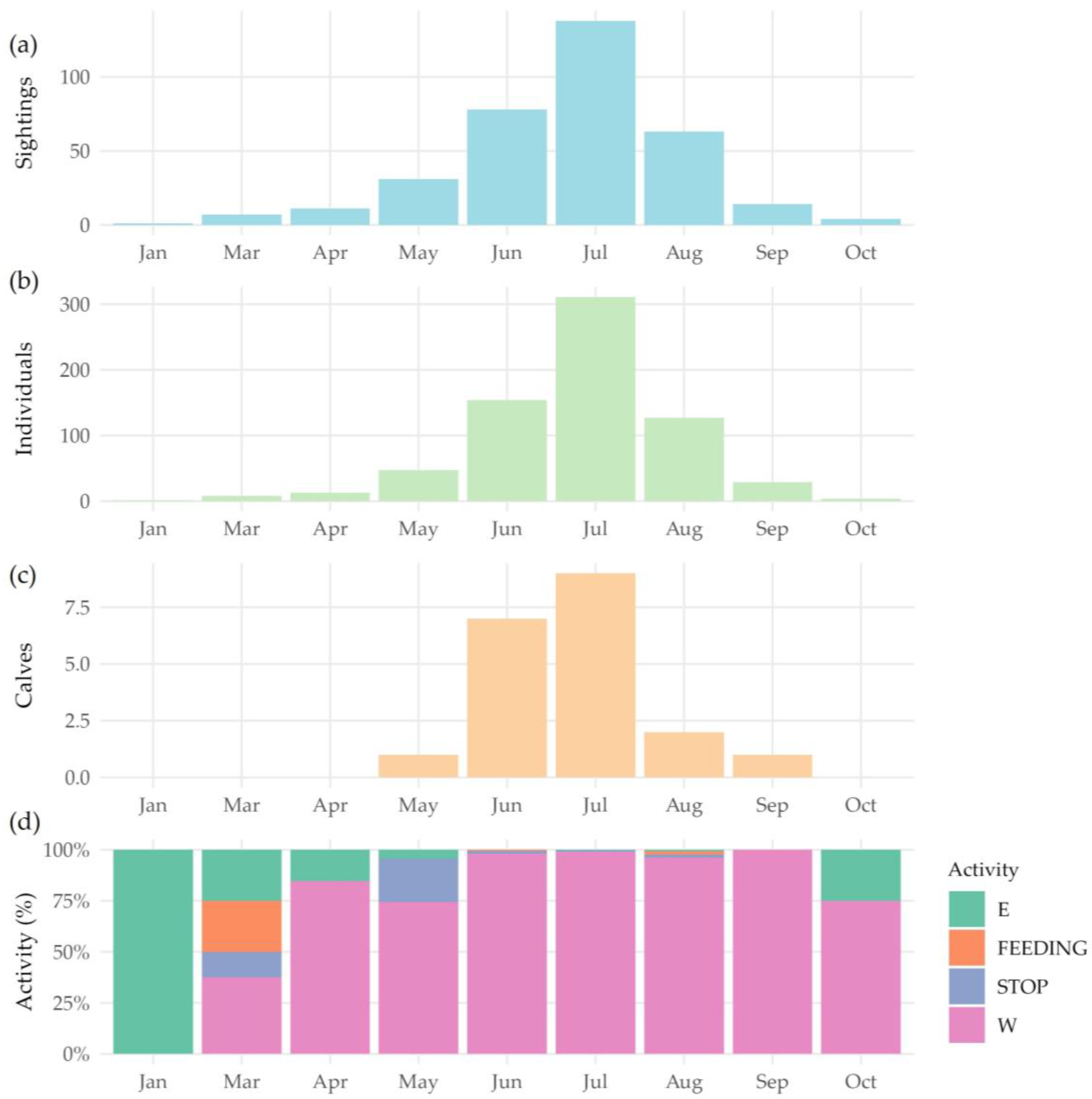
- Quantify and georeference fin whale sightings, identifying seasonal patterns of presence and movement.
- Evaluate the directionality and behavioral patterns (feeding, transiting, or stationary) of fin whales during migratory periods.
- Develop a spatial collision-risk map to identify priority areas for maritime-traffic management and species conservation.
2. Materials and Methods
2.1. Study Area: The Strait of Gibraltar
2.2. Data Collection
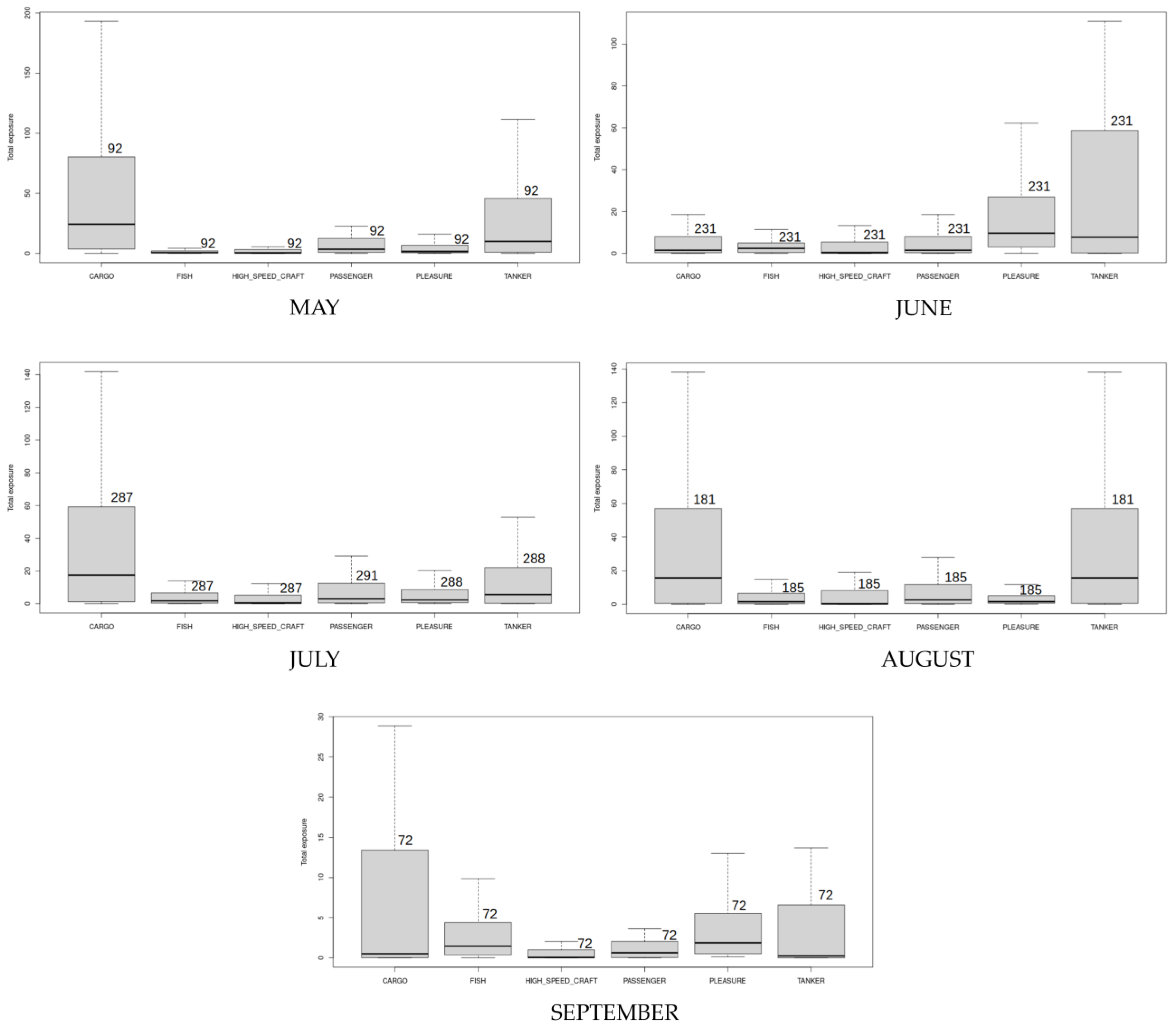
2.3. Maritime Traffic and Data Analysis
3. Results
Proposal for a High-Risk Collision Area for Large Merchant Vessels and Ferries
4. Discussion
Policy Relevance
Author Contributions
Funding
Institutional Review Board Statement
Data Availability Statement
Acknowledgments
Conflicts of Interest
Abbreviations
| SG | Strait of Gibraltar |
| Eastern SG | Eastern Strait of Gibraltar |
| Central SG | Central Strait of Gibraltar |
| SAC | Special Area of Conservation |
References
- Cooke, J.G. Balaenoptera physalus. The IUCN Red List of Threatened Species. 2018, p. e.T2478A50349982. Available online: https://www.iucnredlist.org/species/2478/50349982 (accessed on 3 November 2025). [CrossRef]
- Panigada, S.; Gauffier, P.; Notarbartolo di Sciara, G. Balaenoptera physalus (Mediterranean Subpopulation). 2021, p. e.T16208224A50387979. Available online: https://www.iucnredlist.org/species/16208224/50387979 (accessed on 3 November 2025).
- Geijer, C.K.A.; Jones, P.J.S. A network approach to migratory whale conservation: Are MPAs the way forward or do all roads lead to the IMO? Mar. Pol. 2015, 51, 1–12. [Google Scholar] [CrossRef]
- Zhang, X.; Carroll, E.L.; Constantine, R.; Andrews-Goff, V.; Childerhouse, S.; Cole, R.; Goetz, K.T.; Meyer, C.; Ogle, M.; Harcourt, R.; et al. Effectiveness of marine protected areas in safeguarding important migratory megafauna habitat. J. Environ. Manag. 2024, 368, 122116. [Google Scholar] [CrossRef] [PubMed]
- Bérubé, M.; Aguilar, A.; Dendanto, D.; Larsen, F.; Notarbartolo di Sciara, G.; Sears, R.; Sigurjónsson, J.; Urban-Ramírez, J.; Palsbøll, P.J. Population genetic structure of North Atlantic, Mediterranean Sea and Sea of Cortez fin whales, Balaenoptera physalus (Linnaeus 1758): Analysis of mitochondrial and nuclear loci. Mol. Ecol. 1998, 7, 585–599. [Google Scholar] [CrossRef] [PubMed]
- Silva, M.A.; Prieto, R.; Jonsen, I.; Baumgartner, M.F.; Santos, R.S. North Atlantic Blue and Fin Whales Suspend Their Spring Migration to Forage in Middle Latitudes: Building up Energy Reserves for the Journey? PLoS ONE 2013, 8, e76507. [Google Scholar] [CrossRef] [PubMed]
- Aguilar, A.; García-Vernet, R. Fin Whale (Balaenoptera physalus). In Encyclopedia of Marine Mammals, 3rd ed.; Würsig, B., Thewissen, J.G.M., Kovacs, K.M., Eds.; Academic Press: Cambridge, MA, USA, 2018; pp. 368–371. [Google Scholar] [CrossRef]
- Marcondes, M.C.C.; Cheeseman, T.; Jackson, J.A.; Friedlaender, A.S.; Pallin, L.; Olio, M.; Wedekin, L.L.; Daura-Jorge, F.G.; Cardoso, J.; Santos, J.D.F.; et al. The Southern Ocean Exchange: Porous Boundaries between Humpback Whale Breeding Populations in Southern Polar Waters. Sci. Rep. 2021, 11, 23618. [Google Scholar] [CrossRef]
- Andrade, D.; García-Cegarra, A.M.; Docmac, F.; Ñacari, L.A.; Harrod, C. Multiple Stable Isotopes (C, N & S) Provide Evidence for Fin Whale (Balaenoptera physalus) Trophic Ecology and Movements in the Humboldt Current System of Northern Chile. Mar. Environ. Res. 2023, 192, 106178. [Google Scholar] [CrossRef]
- Edwards, E.F.; Hall, C.; Moore, T.J.; Sheredy, C.; Redfern, J.V. Global Distribution of Fin Whales (Balaenoptera physalus) in the Post-Whaling Era (1980–2012). Mamm. Rev. 2015, 45, 197–214. [Google Scholar] [CrossRef]
- Aulich, A.; McCauley, R.; Miller, S.; Samaran, F.; Giorli, G.; Saunders, P.; Erbe, C. Seasonal Distribution of the Fin Whale (Balaenoptera physalus) in Antarctic and Australian Waters Based on Passive Acoustics. Front. Mar. Sci. 2022, 9, 864153. [Google Scholar] [CrossRef]
- Notarbartolo di Sciara, G.; Castellote, M.; Druon, J.-N.; Panigada, S. Fin Whales, Balaenoptera physalus. Adv. Mar. Biol. 2016, 75, 75–101. [Google Scholar] [CrossRef]
- Marini, L. Some Notes on the Fin Whale (Balaenoptera physalus) in the Western Mediterranean Sea. In Proceedings of the Whales: Biology–Threats–Conservation, Brussels, Belgium, 5–7 June 1991; pp. 63–71. [Google Scholar]
- Notarbartolo-di-Sciara, G.; Zanardelli, M.; Jahoda, M.; Panigada, S.; Airoldi, S. The Fin Whale Balaenoptera physalus (L. 1758) in the Mediterranean Sea. Mammal Rev. 2003, 33, 105–150. [Google Scholar] [CrossRef]
- Canese, S.; Cardinali, A.; Fortuna, C.M.; Giusti, M.; Lauriano, G.; Salvati, E.; Greco, S. The First Identified Winter-Feeding Ground of Fin Whales (Balaenoptera physalus) in the Mediterranean Sea. J. Mar. Biol. Assoc. UK 2006, 86, 903–907. [Google Scholar] [CrossRef]
- Castellote, M.; Clark, C.W.; Lammers, M.O. Acoustic and Behavioural Changes by Fin Whales (Balaenoptera physalus) in Response to Shipping and Airgun Noise. Biol. Conserv. 2012, 147, 115–122. [Google Scholar] [CrossRef]
- Castellote, M.; Clark, C.W.; Lammers, M.O. Fin Whale (Balaenoptera physalus) Population Identity in the Western Mediterranean Sea. Mar. Mamm. Sci. 2012, 28, 325–344. [Google Scholar] [CrossRef]
- Geijer, C.K.; Notarbartolo di Sciara, G.; Panigada, S. Mysticete Migration Revisited: Are Mediterranean Fin Whales an Anomaly? Mammal Rev. 2016, 46, 284–296. [Google Scholar] [CrossRef]
- Espada, R.; Camacho-Sánchez, A.; Olaya-Ponzone, L.; Martín-Moreno, E.; Patón, D.; García-Gómez, J.C. Fin Whale (Balaenoptera physalus) Historical Sightings and Strandings, Ship Strikes, Breeding Areas and Other Threats in the Mediterranean Sea: A Review (1624–2023). Environments 2024, 11, 104. [Google Scholar] [CrossRef]
- Palsbøll, P.J.; Bérubé, M.; Aguilar, A.; Notarbartolo di Sciara, G.; Nielsen, R. Discerning between Recurrent Gene Flow and Recent Divergence under a Finite-Site Mutation Model Applied to North Atlantic and Mediterranean Sea Fin Whale (Balaenoptera physalus) Populations. Evolution 2004, 58, 670–675. [Google Scholar] [CrossRef] [PubMed]
- Gauffier, P.; Verborgh, P.; Giménez, J.; Esteban, R.; Salazar-Sierra, J.M.; De Stephanis, R. Contemporary Migration of Fin Whales through the Strait of Gibraltar. Mar. Ecol. Prog. Ser. 2018, 588, 215–228. [Google Scholar] [CrossRef]
- Edmaktub Asociación. Proyecto Rorcual y Biodiversidad en la Costa Catalana—Informe 2024: Proyecto Rorcual a lo Largo de la Costa Catalana: Campañas de Foto Identificación, Etiquetado Satelital y Seguimiento; Edmaktub Asociación: Barcelona, Spain, 2024; Informe técnico. [Google Scholar]
- Panigada, V.; Bodey, T.W.; Friedlaender, A.; Druon, J.N.; Huckstädt, L.A.; Pierantonio, N.; Degollada, E.; Tort, B.; Panigada, S. Targeting Fin Whale Conservation in the Northwestern Mediterranean Sea: Insights on Movements and Behaviour from Biologging and Habitat Modelling. R. Soc. Open Sci. 2024, 11, 231783. [Google Scholar] [CrossRef]
- Cotté, C.; d’Ovidio, F.; Chaigneau, A.; Lévy, M.; Taupier-Letage, I.; Mate, B.; Guinet, C. Scale-Dependent Interactions of Mediterranean Whales with Marine Dynamics. Limnol. Oceanogr. 2011, 56, 219–232. [Google Scholar] [CrossRef]
- Bauer, R.; Fromentin, J.; Demarcq, H.; Brisset, B.; Bonhommeau, S. Co-Occurrence and Habitat Use of Fin Whales, Striped Dolphins and Atlantic Bluefin Tuna in the Northwestern Mediterranean Sea. PLoS ONE 2015, 10, e0139218. [Google Scholar] [CrossRef]
- Espada, R.; Degollada, E.; Belda, E.J.; Feliu-Tena, B.; Martín-Moreno, E.; Tort, B.; Olaya-Ponzone, L.; Anfruns, I.; Gallego, V.; Gil, P.; et al. Match the Whale: Monitoring Fin Whale (Balaenoptera physalus) Migration between the Western Mediterranean Sea and the Strait of Gibraltar. In Proceedings of the Poster presented at the 36th Conference of the European Cetacean Society, Ponta Delgada, Portugal, 14–16 May 2025. [Google Scholar]
- Gauffier, P.; Borrell, A.; Silva, M.A.; Víkingsson, G.A.; López, A.; Giménez, J.; Colaço, A.; Halldórsson, S.D.; Vighi, M.; Prieto, R.; et al. Wait Your Turn, North Atlantic Fin Whales Share a Common Feeding Ground Sequentially. Mar. Environ. Res. 2020, 155, 104884. [Google Scholar] [CrossRef]
- Tort, B.; Mészáros, D.; Belda, E.J.; Feliu-Tena, B.; Gallego, V.; Saavedra, C.; Degollada, E. From the Mediterranean Sea to the Atlantic Ocean: Fin Whale Migration between Two Feeding Grounds. In Proceedings of the 36th Conference of the European Cetacean Society, Ponta Delgada, Portugal, 14–16 May 2025. [Google Scholar]
- Palacios, D.; Reisinger, R.; Friedlaender, A.; Zerbini, A.; Prieto, R.; De Silva, M.; Ferguson, S.; Panigada, S.; Lydersen, C.; Vermeulen, E.; et al. Protecting Blue Corridors Dataset. 2025. Available online: https://bluecorridors.org (accessed on 17 July 2025).
- Panigada, S.; Pesante, G.; Zanardelli, M.; Capoulade, F.; Gannier, A.; Weinrich, M.T. Mediterranean Fin Whales at Risk from Fatal Ship Strikes. Mar. Pollut. Bull. 2006, 52, 1287–1298. [Google Scholar] [CrossRef]
- Williams, R.; Wright, A.J.; Ashe, E.; Blight, L.K.; Bruintjes, R.; Canessa, R.; Clark, C.W.; Cullis-Suzuki, S.; Dakin, D.T.; Erbe, C.; et al. Impacts of Anthropogenic Noise on Marine Life: Publication Patterns, New Discoveries, and Future Directions in Research and Management. Ocean Coast. Manag. 2015, 115, 17–24. [Google Scholar] [CrossRef]
- Van Weelden, C.; Towers, J.R.; Bosker, T. Impacts of Climate Change on Cetacean Distribution, Habitat and Migration. Clim. Change Ecol. 2021, 1, 100009. [Google Scholar] [CrossRef]
- Sala, B.; Garcia-Garin, O.; Borrell, A.; Aguilar, A.; Víkingsson, G.A.; Eljarrat, E. Transplacental Transfer of Plasticizers and Flame Retardants in Fin Whales (Balaenoptera physalus) from the North Atlantic Ocean. Environ. Pollut. 2022, 313, 120168. [Google Scholar] [CrossRef] [PubMed]
- Laist, D.W.; Knowlton, A.R.; Mead, J.G.; Collet, A.S.; Podestà, M. Collisions between Ships and Whales. Mar. Mamm. Sci. 2001, 17, 35–75. [Google Scholar] [CrossRef]
- Vaes, T.; Druon, J.N. Mapping of Potential Risk of Ship Strike with Fin Whales in the Western Mediterranean Sea: A Scientific and Technical Review Using the Potential Habitat of Fin Whales and the Effective Vessel Density; Publications Office of the European Union: Luxembourg, 2013. [Google Scholar] [CrossRef]
- Di-Meglio, N.; David, L.; Monestiez, P. Sperm Whale Ship Strikes in the Pelagos Sanctuary and Adjacent Waters: Assessing and Mapping Collision Risks in Summer. J. Cetacean Res. Manag. 2018, 18, 135–147. [Google Scholar] [CrossRef]
- Frantzis, A.; Leaper, R.; Alexiadou, P.; Prospathopoulos, A.; Lekkas, D. Shipping Routes through Core Habitat of Endangered Sperm Whales along the Hellenic Trench, Greece: Can We Reduce Collision Risks? PLoS ONE 2019, 14, e0212016. [Google Scholar] [CrossRef]
- Schoeman, R.P.; Patterson-Abrolat, C.; Plön, S. A Global Review of Vessel Collisions with Marine Animals. Front. Mar. Sci. 2020, 7, 292. [Google Scholar] [CrossRef]
- Winkler, C.; Panigada, S.; Murphy, S.; Ritter, F. Global Numbers of Ship Strikes: An Assessment of Collisions between Vessels and Cetaceans Using Available Data in the IWC Ship Strike Database. IWC B 2020, 68, 66. [Google Scholar]
- Grossi, F.; Lahaye, E.; Moulins, A.; Borroni, A.; Rosso, M.; Tepsich, P. Locating Ship Strike Risk Hotspots for Fin Whale (Balaenoptera physalus) and Sperm Whale (Physeter macrocephalus) along Main Shipping Lanes in the North-Western Mediterranean Sea. Ocean Coast. Manag. 2021, 212, 105820. [Google Scholar] [CrossRef]
- David, L.; Arcangeli, A.; Tepsich, P.; Di-Meglio, N.; Roul, M.; Campana, I.; Gregorietti, M.; Moulins, A.; Rosso, M.; Crosti, R. Computing Ship Strikes and Near Miss Events of Fin Whales along the Main Ferry Routes in the Pelagos Sanctuary and Adjacent West Area, in Summer. Aquat. Conserv. 2022, 32, 442–456. [Google Scholar] [CrossRef]
- Tort, B.; González, R.; O’Callaghan, S.; Rein-Loring, P.; Bastos, E. Ship Strike Risk for Fin Whales (Balaenoptera physalus) off the Garraf Coast, Northwest Mediterranean Sea. Front. Mar. Sci. 2022, 9, 867287. [Google Scholar] [CrossRef]
- Sèbe, M.; David, L.; Dhermain, F.; Gourguet, S.; Madon, B.; Ody, D.; Panigada, S.; Peltier, H.; Pendleton, L. Estimating the Impact of Ship Strikes on the Mediterranean Fin Whale Subpopulation. Ocean Coast. Manag. 2023, 237, 106485. [Google Scholar] [CrossRef]
- Scuderi, A.; Campana, I.; Gregorietti, M.; Moreno, E.M.; García Sanabria, J.; Arcangeli, A. Tying up Loose Ends Together: Cetaceans, Maritime Traffic and Spatial Management Tools in the Strait of Gibraltar. Aquat. Conserv. Mar. Freshwat. Ecosyst. 2024, 34, e4066. [Google Scholar] [CrossRef]
- David, L.; Alleaume, S.; Guinet, C. Evaluation of the Potential of Collision between Fin Whales and Maritime Traffic in the North-Western Mediterranean Sea in Summer, and Mitigation Solutions. JMATE 2011, 4, 1–28. [Google Scholar]
- Fortuna, C.; Sánchez-Espinosa, A.; Rodríguez-Rodríguez, D.; Malak, A.; Podestà, D.; Panigada, M. Pathways to Coexistence between Large Cetaceans and Maritime Transport in the North-Western Mediterranean Region: Collision Risk Between Ships and Whales within the Proposed North-Western Mediterranean Particularly Sensitive Sea Area (PSSA), Including the Pelagos Sanctuary. 2022. Available online: https://planbleu.org/wp-content/uploads/2023/01/Pathways-to-coexistence-between-largecetaceans-and-maritime-transport-in-the-north-western-Mediterranean-region.pdf (accessed on 3 March 2025).
- Panigada, S.; Donovan, G.P.; Druon, J.-N.; Lauriano, G.; Pierantonio, N.; Pirotta, E.; Zanardelli, M.; Zerbini, A.N.; Notarbartolo di Sciara, G. Satellite tagging of Mediterranean fin whales: Working towards the identification of critical habitats and the focusing of mitigation measures. Sci. Rep. 2017, 7, 3365. [Google Scholar] [CrossRef] [PubMed]
- Fernández, C.; Arbelo, M.; Fernández, A.; Díaz, J.; Bernaldo, Y.; De la Fuente, J.; Arregui, M.; Sierra, E. Ship Strikes: Two Cases of Fin Whales Stranded on the South Atlantic Spanish Coast. In Proceedings of the 34th Annual Conference of the European Cetacean Society, O’Grove, Spain, 18–20 April 2023. [Google Scholar]
- Rediam. Serie Histórica de Varamientos y Hallazgos de Fauna Marina en el Litoral Andaluz (2007–2024) [Dataset]; Junta de Andalucía, Consejería de Agricultura, Ganadería, Pesca y Desarrollo Sostenible: Andalucía, Spain, 2025; Available online: https://portalrediam.cica.es (accessed on 21 April 2025).
- de Stephanis, R.; Urquiola, E. Collisions between Ships and Cetaceans in Spain. In Scientific Committee Report SC/58/BC5; International Whaling Commission: Impington, UK; Gobierno de Canarias: Las Palmas de Gran Canaria, Spain, 2009; Available online: https://docplayer.net/25356858-Collisions-between-ships-and-cetaceans-in-spain.html (accessed on 11 December 2024).
- Fernández-Maldonado, C. Patología y Causas de Muerte de Cetáceos Varados en Andalucía (2011–2014). Ph.D. Thesis, University of Las Palmas de Gran Canaria, Las Palmas de Gran Canaria, Spain, 2016. [Google Scholar]
- Montewka, J.; Rasero Balón, J.C.; Endrina, N. Risk Analysis for Maritime Traffic in the Strait of Gibraltar. In Maritime Transport and Harvesting of Sea Resources; CRC Press: Boca Raton, FL, USA, 2017; pp. 223–231. [Google Scholar]
- Cepillo Galvín, M.A. The Control of Maritime Traffic in the Strait of Gibraltar. Span. Yearb. Int. Law 2014, 18, 73–104. Available online: https://www.sybil.es/sybil/article/view/1513 (accessed on 24 September 2024). [CrossRef]
- Mavor, J.W., Jr. Ship Traffic through Gibraltar Strait. J. Navig. 1980, 33, 408–417. [Google Scholar] [CrossRef]
- Tenan, S.; Hernández, N.; Fearnbach, H.; de Stephanis, R.; Verborgh, P.; Oro, D. Impact of Maritime Traffic and Whale-Watching on Apparent Survival of Bottlenose Dolphins in the Strait of Gibraltar. Aquat. Conserv. Mar. Freshwat. Ecosyst. 2020, 30, 949–958. [Google Scholar] [CrossRef]
- Ministerio del Interior. La Operación Paso del Estrecho 2025 Finaliza con Récord de Vehículos y Pasajeros Embarcados. 2025. Available online: https://www.interior.gob.es/opencms/eu/detalle/articulo/La-Operacion-Paso-del-Estrecho-2025-finaliza-con-record-de-vehiculos-y-pasajeros-embarcados/ (accessed on 26 March 2025).
- Espada, R.; Martín, L.; Haasova, L.; Olaya-Ponzone, L.; García-Gómez, J.C. Presencia permanente del delfín común en la bahía de Algeciras: Hacia un plan de gestión, vigilancia y conservación de la especie. Almoraima Rev. Estud. Campogibraltareños 2018, 49, 185–196. [Google Scholar]
- Cort, J.; Abaunza, P. The Present State of Traps and Fisheries Research in the Strait of Gibraltar. In The Bluefin Tuna Fishery in the Bay of Biscay; Springer Briefs in Biology; Springer: Cham, Switzerland, 2019; pp. 37–38. [Google Scholar] [CrossRef]
- Aguilera, R.; Camiñas, J.A.; Molina, M.; Cavallé, M. Interaction Between Cetaceans and Small-Scale Fisheries in the Mediterranean. Low Impact Fish. Eur. 2020, 81, 1–25. [Google Scholar]
- Olaya-Ponzone, L.; Espada, R.; Moreno, E.M.; Marcial, I.C.; García-Gómez, J.C. Injuries, Healing and Management of Common Dolphins (Delphinus delphis) in Human-Impacted Waters in the South Iberian Peninsula. J. Mar. Biol. Assoc. UK 2020, 100, 315–325. [Google Scholar] [CrossRef]
- Olaya-Ponzone, L.; Ruíz, R.E.; Domínguez, D.P.; Moreno, E.M.; Marcial, I.C.; Santiago, J.S.; García-Gómez, J.C. Sport Fishing and Vessel Pressure on the Endangered Cetacean Delphinus delphis: Towards an International Agreement of Micro-Sanctuary for Its Conservation. J. Environ. Manag. 2023, 325, 116546. [Google Scholar] [CrossRef] [PubMed]
- Acosta, M.; Coronado, D.; Cerban, M.D.M. Bunkering Competition and Competitiveness at the Ports of the Gibraltar Strait. J. Transp. Geogr. 2011, 19, 911–916. [Google Scholar] [CrossRef]
- Pérez, S.; De Stephanis, R.; Verborgh, P.; Sánchez, A.; Guinet, C. Distribución Espacial de Cetáceos en el Estrecho de Gibraltar Durante la Época Estival. Almoraima. Rev. Estud. Campogibraltareños 2007, 35, 147–158. [Google Scholar]
- de Stephanis, R.; Cornulier, T.; Verborgh, P.; Salazar-Sierra, J.; Pérez-Gimeno, N.; Guinet, C. Summer Spatial Distribution of Cetaceans in the Strait of Gibraltar in Relation to the Oceanographic Context. Mar. Ecol. Prog. Ser. 2008, 353, 275–288. [Google Scholar] [CrossRef]
- Nisi, A.C.; Welch, H.; Brodie, S.; Leiphardt, C.; Rhodes, R.; Hazen, E.L.; Redfern, J.V.; Branch, T.A.; Barreto, A.S.; Calambokidis, J.; et al. Ship Collision Risk Threatens Whales Across the World’s Oceans. Science 2024, 386, 870–875. [Google Scholar] [CrossRef]
- Armi, L.; Farmer, D. The Internal Hydraulics of the Strait of Gibraltar and Associated Sills and Narrows. Oceanol. Acta 1985, 8, 37–46. [Google Scholar]
- Bryden, H.L.; Kinder, T.H. Recent Progress in Strait Dynamics. Rev. Geophys. 1991, 29 (Suppl. S2), 617–631. [Google Scholar] [CrossRef]
- Delgado, J.; Lafuente, J.G.; Vargas, J.M. A Simple Model for Submaximal Exchange Through the Strait of Gibraltar. Sci. Mar. 2001, 65, 313–322. [Google Scholar] [CrossRef]
- Lafuente, J.G.; Vargas, J.M.; Plaza, F.; Sarhan, T.; Candela, J.; Bascheck, B. Tide at the Eastern Section of the Strait of Gibraltar. J. Geophys. Res. Oceans 2000, 105, 14197–14213. [Google Scholar] [CrossRef]
- Criado Aldeanueva, F.; García Lafuente, J.; Sánchez Garrido, J.C.; Baquerizo, A.; Sannino, G. Time-Spatial Variability Observed in Velocity of Propagation of the Internal Bore in the Strait of Gibraltar. J. Geophys. Res. 2008, 113, C07034. [Google Scholar] [CrossRef]
- Lorente, P.; Piedracoba, S.; Sotillo, M.G.; Álvarez Fanjul, E. Long-Term Monitoring of the Atlantic Jet through the Strait of Gibraltar with HF Radar Observations. J. Mar. Sci. Eng. 2019, 7, 3. [Google Scholar] [CrossRef]
- Stommel, H.; Farmer, H.G. Classic article: Control of salinity in an estuary by a transition. J. Mar. Res. 2021, 79, 91–98. Available online: https://elischolar.library.yale.edu/journal_of_marine_research/505 (accessed on 3 November 2025). [CrossRef]
- Lacombe, H.; Richez, C. The regime of the Strait of Gibraltar. In Hydrodynamics of Semi-Enclosed Seas; Nihoul, J.C.J., Ed.; Elsevier Oceanography Series; Elsevier: Amsterdam, The Netherlands, 1982; Volume 34, pp. 13–73. [Google Scholar] [CrossRef]
- Farmer, D.M.; Armi, L. Maximal two-layer exchange over a sill and through the Strait of Gibraltar. Prog. Oceanogr. 1986, 164, 53–76. [Google Scholar] [CrossRef]
- Reyes, A. Estudio del Flujo Baroclínico en el Estrecho de Gibraltar Mediante Observaciones y Modelización Numérica. Master’s Thesis, Universidad de Cádiz, Cádiz, Spain, 2015. [Google Scholar]
- GEBCO Compilation Group. GEBCO 2021 Grid; British Oceanographic Data Centre (BODC): Liverpool, UK, 2021. [Google Scholar] [CrossRef]
- EMODnet Human Activities. Vessel Density Maps (2017–2023); European Marine Observation and Data Network (EMODnet); Version 10. 2023. Available online: https://emodnet.ec.europa.eu/en/human-activities/ (accessed on 21 March 2025).
- EMODnet. Vessel Density Map—Detailed Methodology; European Marine Observation and Data Network. 2023. Available online: https://emodnet.ec.europa.eu/sites/emodnet.ec.europa.eu/files/public/HumanActivities_20231101_VesselDensityMethod.pdf (accessed on 21 March 2025).
- Spain. Royal Decree 210/2004 of 6 February, Establishing a Monitoring and Information System on Maritime Traffic in Waters under Spanish Jurisdiction. Boletín Oficial del Estado (BOE), No. 35, 11 February 2004. 2004. Available online: https://www.boe.es/eli/es/rd/2004/02/06/210/con (accessed on 21 March 2025).
- Falco, L.; Pititto, A.; Adnams, W.; Earwaker, N.; Greidanus, H. EU Vessel Density Map—Detailed Method; EMODnet Technical Report; Publications Office of the European Union: Luxembourg, 2023. [Google Scholar] [CrossRef]
- R Core Team. R: A Language and Environment for Statistical Computing; R Foundation for Statistical Computing: Vienna, Austria, 2025; Available online: https://www.R-project.org/ (accessed on 21 February 2025).
- ESRI. ArcGIS Pro, Version 3.4.3. GIS Software. Environmental Systems Research Institute: Redlands, CA, USA, 2025. Available online: https://www.esri.com/en-us/arcgis/products/arcgis-pro/overview (accessed on 21 May 2025).
- Hauser, D.D.W.; Laidre, K.L.; Stern, H.L. Vulnerability of Arctic marine mammals to vessel traffic in the increasingly ice-free Northwest Passage and Northern Sea Route. Proc. Natl. Acad. Sci. USA 2018, 115, 9983–9988. [Google Scholar] [CrossRef]
- Tardin, R.H.; Chun, Y.; Jenkins, C.N.; Maciel, I.S.; Simão, S.M.; Alves, M.A.S. Environment and anthropogenic activities influence cetacean habitat use in southeastern Brazil. Mar. Ecol. Prog. Ser. 2019, 616, 197–210. [Google Scholar] [CrossRef]
- Redfern, J.V.; Ferguson, M.C.; Becker, E.A.; Hyrenbach, K.D.; Good, C.; Barlow, J.; Kaschner, K.; Baumgartner, M.F.; Forney, K.A.; Ballance, L.T.; et al. Techniques for Cetacean Habitat Modeling. Mar. Ecol. Prog. Ser. 2006, 310, 271–295. [Google Scholar] [CrossRef]
- Sicacha-Parada, J.; Steinsland, I.; Cretois, B.; Borgelt, J. Accounting for spatial varying sampling effort due to accessibility in Citizen Science data: A case study of moose in Norway. Spat. Stat. 2021, 40, 100446. [Google Scholar] [CrossRef]
- EMODnet. New insights from European Maritime Traffic—EMODnet Vessel Density Maps. 2023. Available online: https://emodnet.ec.europa.eu/en/new-insights-european-maritime-traffic-emodnet-vessel-density-maps (accessed on 21 March 2025).
- Pirotta, V.; Grech, A.; Jonsen, I.D.; Laurance, W.F.; Harcourt, R.G. Consequences of global shipping traffic for marine giants. Front. Ecol. Environ. 2019, 17, 39–47. [Google Scholar] [CrossRef]
- Copernicus Marine Environment Monitoring Service (CMEMS). AIS Data for Maritime Surveillance and Modeling. Copernicus Marine Service Information. 2022. Available online: https://marine.copernicus.eu (accessed on 24 March 2025).
- European Fisheries Control Agency (EFCA). AIS Monitoring of Fishing Activities in European Waters. EFCA Publications. 2022. Available online: https://www.efca.europa.eu/sites/default/files/2023-06/EFCA%20Annual%20Report%202022.pdf (accessed on 24 March 2025).
- MarineTraffic. Global Ship Tracking Intelligence. 2023. Available online: https://www.marinetraffic.com/en/data/?asset_type=vessels (accessed on 25 March 2025).
- Panigada, S.; Zanardelli, M.; MacKenzie, M.; Donovan, C.; Mélin, F.; Hammond, P.S. Modelling Habitat Preferences for Fin Whales and Striped Dolphins in the Pelagos Sanctuary (Western Mediterranean Sea) with Physiographic and Remote Sensing Variables. Remote Sens. Environ. 2008, 112, 3400–3412. [Google Scholar] [CrossRef]
- Silber, G.K.; Slutsky, J.; Bettridge, S. Hydrodynamics of a ship/whale collision. J. Exp. Mar. Biol. Ecol. 2011, 391, 10–19. [Google Scholar] [CrossRef]
- Dinno, A. Dunn’s Test of Multiple Comparisons Using Rank Sums. R Package Version 1.3.6. Available online: https://CRAN.R-project.org/package=dunn.test (accessed on 23 September 2024).
- Pivorunas, A. The fibrocartilage skeleton and related structures of ventral pouch of balaenopterid whales. J. Morphol. 1977, 151, 299–313. [Google Scholar] [CrossRef] [PubMed]
- Brodie, P.F. Noise generated by the jaw actions of feeding fin whales. Can. J. Zool. 1993, 71, 2546–2550. [Google Scholar] [CrossRef]
- Werth, A.J. Models of hydrodynamic flow in the bowhead whale filter feeding apparatus. J. Exp. Biol. 2004, 207, 3569–3580. [Google Scholar] [CrossRef]
- Goldbogen, J.A.; Calambokidis, J.; Shadwick, R.E.; Oleson, E.M.; McDonald, M.A.; Hildebrand, J.A. Kinematics of foraging dives and lunge-feeding in fin whales. J. Exp. Biol. 2006, 209, 1231–1244. [Google Scholar] [CrossRef] [PubMed]
- Ministerio para la Transición Ecológica y el Reto Demográfico. Real Decreto 1620/2012, por el que se Declara Zona Especial de Conservación (ZEC) el Lugar de Importancia Comunitaria ES6120032 Estrecho Oriental y se Aprueban las Correspondientes Medidas de Conservación; BOE núm. 289, de 1 de Diciembre de 2012. 2012. Available online: https://www.boe.es/ (accessed on 23 September 2024).
- Government of Gibraltar. Designation of Special Areas of Conservation (Southern Waters of Gibraltar) Order 2011 (LN 2011/019). Nature Protection Act 1991. 2011. Available online: https://www.gibraltarlaws.gov.gi/legislations/designation-of-special-areas-of-conservation-southern-waters-of-gibraltar-order-2011-2674/download (accessed on 19 March 2025).
- Junta de Andalucía (Consejería de Medio Ambiente). Decreto 57/2003, de 4 de Marzo, de Declaración del Parque Natural del Estrecho; BOJA. 2003. Available online: https://www.juntadeandalucia.es/boja/2003/54/4 (accessed on 17 March 2025).
- Gende, S.M.; Hendrix, A.N.; Harris, K.R.; Eichenlaub, B.; Nielsen, J.; Pyare, S. A Bayesian approach for understanding the role of ship speed in whale-ship encounters. Ecol. Appl. 2011, 21, 2232–2240. [Google Scholar] [CrossRef] [PubMed]
- Conn, P.B.; Silber, G.K. Vessel speed restrictions reduce risk of collision-related mortality for North Atlantic right whales. Ecosphere 2013, 4, 43. [Google Scholar] [CrossRef]
- Vanderlaan, A.S.M.; Taggart, C.T. Vessel collisions with whales: The probability of lethal injury based on vessel speed. Mar. Mamm. Sci. 2007, 23, 144–156. [Google Scholar] [CrossRef]
- Kelley, D.E.; Vlasic, J.P.; Brillant, S.W. Assessing the lethality of ship strikes on whales using simple biophysical models. Mar. Mamm. Sci. 2021, 37, 251–267. [Google Scholar] [CrossRef]
- Garrison, L.P.; Lisi, N.E.; Gahm, M.; Patterson, E.M.; Blondin, H.; Good, C.P. The effects of vessel speed and size on the lethality of strikes of large whales in US waters. Front. Mar. Sci. 2025, 11, 1467387. [Google Scholar] [CrossRef]
- Nowacek, D.P.; Thorne, L.H.; Johnston, D.W.; Tyack, P.L. Responses of cetaceans to anthropogenic noise. Mammal Rev. 2007, 37, 81–115. [Google Scholar] [CrossRef]
- Jensen, F.H.; Bejder, L.; Wahlberg, M.; Madsen, P.T. Noise levels and masking potential of small whale-watching boats. Mar. Ecol. Prog. Ser. 2009, 395, 161–175. [Google Scholar] [CrossRef]
- Venkateshwaran, A.; Deo, I.K.; Jelovica, J.; Jaiman, R.K. A multi-objective optimization framework for reducing the impact of ship noise on marine mammals. Ocean Eng. 2024, 310, 118687. [Google Scholar] [CrossRef]
- Simons, A.M. Many wrongs: The advantage of group navigation. Trends Ecol. Evol. 2004, 19, 453–455. [Google Scholar] [CrossRef]
- Codling, E.A.; Pitchford, J.W.; Simpson, S.D. Group navigation and the “many-wrongs principle” in models of animal movement. Ecology 2007, 88, 1864–1870. [Google Scholar] [CrossRef]
- Johnston, S.T.; Painter, K.J. Modelling collective navigation via non-local communication. J. R. Soc. Interface 2021, 18, 20210383. [Google Scholar] [CrossRef]
- Payne, R.; Webb, D. Orientation by means of long-range acoustic signalling in baleen whales. Ann. N. Y. Acad. Sci. 1971, 188, 110–141. [Google Scholar] [CrossRef]
- Clark, C.W.; Gagnon, G.J. Baleen whale acoustic ethology. In Ethology and Behavioral Ecology of Mysticetes; Clark, C.W., Garland, E.C., Eds.; Springer: Cham, Switzerland, 2022; pp. 11–43. [Google Scholar]
- Tyack, P.L. Social organization of baleen whales. In Ethology and Behavioral Ecology of Mysticetes; Clark, C.W., Garland, E.C., Eds.; Springer: Cham, Switzerland, 2022; pp. 147–175. [Google Scholar] [CrossRef]
- Tyack, P.L. Studying how cetaceans use sound to explore their environment. In Communication (Perspectives in Ethology); Owings, D.H., Beecher, M.D., Thompson, N.S., Eds.; Plenum Press: New York, NY, USA, 1997; Volume 12, pp. 251–297. [Google Scholar] [CrossRef]
- Mate, B.R.; Urbán-Ramírez, J. A note on the route and speed of a gray whale on its northern migration from Mexico to central California, tracked by satellite-monitored radio tag. J. Cetacean Res. Manag. 2003, 5, 155–158. [Google Scholar]
- Zapetis, M.; Szesciorka, A. Cetacean navigation. In Encyclopedia of Animal Cognition and Behavior; Vonk, J., Shackelford, T.K., Eds.; Springer: Cham, Switzerland, 2022; pp. 1263–1270. [Google Scholar] [CrossRef]
- Johnston, S.T.; Painter, K.J. Avoidance, confusion or solitude? Modelling how noise pollution affects whale migration. Mov. Ecol. 2024, 12, 17. [Google Scholar] [CrossRef] [PubMed]
- Contreras Merida, M.R.; Merchant, N.D.; Warr, S.; Dissanayake, A. Underwater noise in the Bay of Gibraltar. SSRN Preprint 2024. [Google Scholar] [CrossRef]
- Perez Tadeo, M.P.; O’Brien, J. Underwater noise levels in the Strait of Gibraltar and surrounding waters: Findings from the AMIGOS survey. Front. Mar. Sci. 2025, 12, 1655366. [Google Scholar] [CrossRef]
- Richardson, W.J.; Greene, C.R., Jr.; Malme, C.I.; Thomson, D.H. Marine Mammals and Noise; Academic Press: San Diego, CA, USA, 1995. [Google Scholar]
- Southall, B.L.; Bowles, A.E.; Ellison, W.T.; Finneran, J.J.; Gentry, R.L.; Greene, C.R., Jr.; Kastak, D.; Ketten, D.R.; Miller, J.H.; Nachtigall, P.E.; et al. Marine mammal noise-exposure criteria: Initial scientific recommendations. Bioacoustics 2008, 17, 273–275. [Google Scholar] [CrossRef]
- Adolf, S. Introduction. In Tuna Wars; Springer: Cham, Switzerland, 2019; pp. 1–10. [Google Scholar] [CrossRef][Green Version]
- European Union. Directive 2011/15/EU of the European Parliament and of the Council of 23 February 2011 on the compulsory use of the Automatic Identification System (AIS) for fishing vessels of 15 meters in length and above. Off. J. Eur. Union 2011, L62, 1–7. Available online: https://eur-lex.europa.eu/legal-content/EN/TXT/?uri=CELEX%3A32011L0015 (accessed on 25 August 2025).
- Olaya-Ponzone, L.; Espada Ruíz, R.; Martín Moreno, E.; Patón Domínguez, D.; García-Gómez, J.C. Effects of vessels on common dolphin activity patterns in a critical area for the species. Conservation implications. Mar. Environ. Res. 2025, 207, 107081. [Google Scholar] [CrossRef] [PubMed]
- Olaya-Ponzone, L.; Espada Ruíz, R.; Martín Moreno, E.; Patón Domínguez, D.; García-Gómez, J.C. Vessel-induced behavioural changes in striped and bottlenose dolphins in southern Spain. Aquat. Conserv. Mar. Freshw. Ecosyst. 2025, 35, e70183. [Google Scholar] [CrossRef]
- Scuderi, A. Integrated Coastal and Ocean Management of Areas Hosting Marine Mammals: A Case Study in the Strait of Gibraltar. Doctoral Dissertation, University of Cádiz, Cádiz, Spain, 2023. Available online: https://rodin.uca.es/handle/10498/29223 (accessed on 25 September 2024).
- He, P.; Chopin, F.; Suuronen, P.; Ferro, R.S.T.; Lansley, J. Classification and illustrated definition of fishing gears. In FAO Fisheries and Aquaculture Technical Paper No. 672; Food and Agriculture Organization of the United Nations: Rome, Italy, 2021; pp. 1–94. [Google Scholar] [CrossRef]
- Rosero Ramírez, A.P. Competencia Entre Orcas y Pescadores de la Piedra por el Atún Rojo en el Estrecho de Gibraltar. Master’s Thesis, University of Las Palmas de Gran Canaria, Gran Canaria, Spain, 2011. [Google Scholar]
- Notarbartolo-di-Sciara, G.; Agardy, T.; Hyrenbach, D.; Scovazzi, T.; Van Klaveren, P. The Pelagos Sanctuary for Mediterranean marine mammals. Aquat. Conserv. Mar. Freshw. Ecosyst. 2007, 18, 367–391. [Google Scholar] [CrossRef]
- Ministerio para la Transición Ecológica y el Reto Demográfico. Declaración del Corredor de Migración de Cetáceos del Mediterráneo como Zona Especialmente Protegida de Importancia para el Mediterráneo (ZEPIM/SPAMI). Boletín Oficial del Estado 2019, 197, 74101–74103. Available online: https://www.boe.es/buscar/doc.php?id=BOE-A-2019-10189 (accessed on 25 May 2025).
- International Maritime Organization (IMO). Resolution MEPC.380(80): Designation of the North-Western Mediterranean Sea as a Particularly Sensitive Sea Area. Marine Environment Protection Committee 2023, 80th session. Available online: https://wwwcdn.imo.org/localresources/en/KnowledgeCentre/IndexofIMOResolutions/MEPCDocuments/MEPC.380(80).pdf (accessed on 5 June 2025).
- Laist, D.W.; Knowlton, A.R.; Pendleton, D. Effectiveness of mandatory vessel speed limits for protecting North Atlantic right whales. Endanger. Species Res. 2014, 23, 133–147. [Google Scholar] [CrossRef]
- International Maritime Organization (IMO). Particularly Sensitive Sea Area: Strait of Bonifacio. Resolution MEPC.204(62); Marine Environment Protection Committee. 2011. Available online: https://wwwcdn.imo.org/localresources/en/KnowledgeCentre/IndexofIMOResolutions/MEPCDocuments/MEPC.204(62).pdf (accessed on 2 May 2025).
- IUCN-MMPATF. Northwest Mediterranean Sea, Slope and Canyon System IMMA Factsheet. IUCN Joint SSC/WCPA Marine Mammal Protected Areas Task Force. 2017. Available online: https://www.marinemammalhabitat.org/wp-content/uploads/imma-factsheets/Mediterranean/North-Western-Mediterranean-Sea-Slope-and-Canyon-System-Mediterranean.pdf (accessed on 12 June 2025).
- Parrott, L.; Chion, C.; Turgeon, S.; Ménard, N.; Cantin, G.; Michaud, R. Slow down and save the whales. Solutions 2016, 6, 40–47. Available online: https://www.researchgate.net/publication/292695424_Slow_down_and_save_the_whales (accessed on 13 June 2025).
- International Whaling Commission. Report of the Joint IWC-SPAW Workshop to Address Collisions Between Marine Mammals and Ships With a Focus on the Wider Caribbean. Report IWC/65/CCrep01 Discussed at the 14th Meeting of the Western Gray Whale Advisory Panel; International Whaling Commission: Cambridge, UK, 2014; Available online: https://archive.iwc.int/?r=567 (accessed on 21 May 2025).
- International Maritime Organization (IMO). Identification and Protection of Special Areas and PSSAs: Information on Recent Outcomes Regarding Minimizing Ship Strikes to Cetaceans. Int. Marit. Organ. Mar. Environ. Prot. Comm. Doc. MEPC 69/10/3; International Maritime Organization: London, UK, 2016; Available online: https://iwc.int/public/documents/meEX2/MEPC_69_10_3_Information_on_recent_outcomes_regarding_minimizing_ship_strikes_to_cetaceans_International_Whaling_Com..._002_.pdf (accessed on 25 September 2025).










| Vessel Type | Estimated Speed (km/h) | Estimated Speed (Knots) | Primary Source |
|---|---|---|---|
| Cargo | 16–22 | 9–12 | [87,88,89] |
| Tanker | 14–20 | 8–11 | [28,87] |
| Fishing | 6–12 | 3–6.5 | [87,90] |
| Pleasure | 25–45 | 13.5–24 | [87,91] |
| Passenger | 20–30 | 11–16 | [87,88,91] |
| High-Speed Craft | 40–60 | 22–32 | [87,89,91] |
| Month | Pairs | Cargo | Fish | High-Speed Craft | Passenger | Pleasure |
|---|---|---|---|---|---|---|
| May | Fish | 9.67 *** | – | – | – | – |
| High-Speed Craft | 16.14 *** | 6.48 *** | – | – | – | |
| Passenger | 6.81 *** | –2.87 * | –9.36 *** | – | – | |
| Pleasure | 3.06 * | –6.62 *** | –13.10 *** | –3.76 ** | – | |
| Tanker | 1.97 ns | –7.70 *** | –14.18 *** | –4.84 *** | –1.09 ns | |
| June | Fish | –0.20 ns | – | – | – | – |
| High-Speed Craft | 3.46 ** | 3.67 ** | – | – | – | |
| Passenger | 0.00 ns | 0.21 ns | –3.46 ** | – | – | |
| Pleasure | –7.61 *** | –7.40 *** | –11.07 *** | –7.61 *** | – | |
| Tanker | –3.97 *** | –3.77 ** | –7.44 *** | –3.97 *** | 3.64 ** | |
| July | Fish | 7.61 *** | – | – | – | – |
| High-Speed Craft | 11.46 *** | 3.85 *** | – | – | – | |
| Passenger | 5.30 *** | –2.33 ns | –6.20 *** | – | – | |
| Pleasure | 5.36 *** | –2.25 ns | –6.11 *** | 0.07 ns | – | |
| Tanker | 4.95 *** | –2.67 ns | –6.52 *** | –0.34 ns | –0.42 ns | |
| August | Fish | 6.52 *** | – | – | – | – |
| High-Speed Craft | 8.84 *** | 2.34 ns | – | – | – | |
| Passenger | 4.76 *** | –1.77 ns | –4.11 *** | – | – | |
| Pleasure | 5.62 *** | –0.90 ns | –3.24 ** | 0.86 ns | – | |
| Tanker | 0.00 ns | –6.52 *** | –8.84 *** | –4.76 *** | –5.62 *** | |
| September | Fish | –1.27 ns | – | – | – | |
| High-Speed Craft | 3.15 * | 4.41 *** | – | – | ||
| Passenger | 1.07 ns | 2.33 ns | –2.08 ns | – | ||
| Pleasure | –2.21 ns | –0.95 ns | –5.36 *** | –3.28 ** | – | |
| Tanker | 1.38 ns | 2.63 ns | –1.76 ns | 0.32 ns | 3.60 ** |
Disclaimer/Publisher’s Note: The statements, opinions and data contained in all publications are solely those of the individual author(s) and contributor(s) and not of MDPI and/or the editor(s). MDPI and/or the editor(s) disclaim responsibility for any injury to people or property resulting from any ideas, methods, instructions or products referred to in the content. |
© 2025 by the authors. Licensee MDPI, Basel, Switzerland. This article is an open access article distributed under the terms and conditions of the Creative Commons Attribution (CC BY) license (https://creativecommons.org/licenses/by/4.0/).
Share and Cite
Espada, R.; Olaya-Ponzone, L.; Martín-Moreno, E.; Gil-Vera, P.; Anfruns Fernández, I.; Patón Domínguez, D.; García-Gómez, J.C. Fin Whale (Balaenoptera physalus) Migration in the Strait of Gibraltar: Evaluating Maritime Traffic Threats and Conservation Measures. J. Mar. Sci. Eng. 2025, 13, 2156. https://doi.org/10.3390/jmse13112156
Espada R, Olaya-Ponzone L, Martín-Moreno E, Gil-Vera P, Anfruns Fernández I, Patón Domínguez D, García-Gómez JC. Fin Whale (Balaenoptera physalus) Migration in the Strait of Gibraltar: Evaluating Maritime Traffic Threats and Conservation Measures. Journal of Marine Science and Engineering. 2025; 13(11):2156. https://doi.org/10.3390/jmse13112156
Chicago/Turabian StyleEspada, Rocío, Liliana Olaya-Ponzone, Estefania Martín-Moreno, Paco Gil-Vera, Iris Anfruns Fernández, Daniel Patón Domínguez, and José Carlos García-Gómez. 2025. "Fin Whale (Balaenoptera physalus) Migration in the Strait of Gibraltar: Evaluating Maritime Traffic Threats and Conservation Measures" Journal of Marine Science and Engineering 13, no. 11: 2156. https://doi.org/10.3390/jmse13112156
APA StyleEspada, R., Olaya-Ponzone, L., Martín-Moreno, E., Gil-Vera, P., Anfruns Fernández, I., Patón Domínguez, D., & García-Gómez, J. C. (2025). Fin Whale (Balaenoptera physalus) Migration in the Strait of Gibraltar: Evaluating Maritime Traffic Threats and Conservation Measures. Journal of Marine Science and Engineering, 13(11), 2156. https://doi.org/10.3390/jmse13112156

