An Experimental and Numerical Study of Motion Responses of Multi-Body Arrays with Hinge Connections
Abstract
1. Introduction
2. Model Test Description
3. Numerical Modelling
3.1. Numerical Methodology
- (1)
- Diffraction wave potential
- (2)
- Radiation wave potential
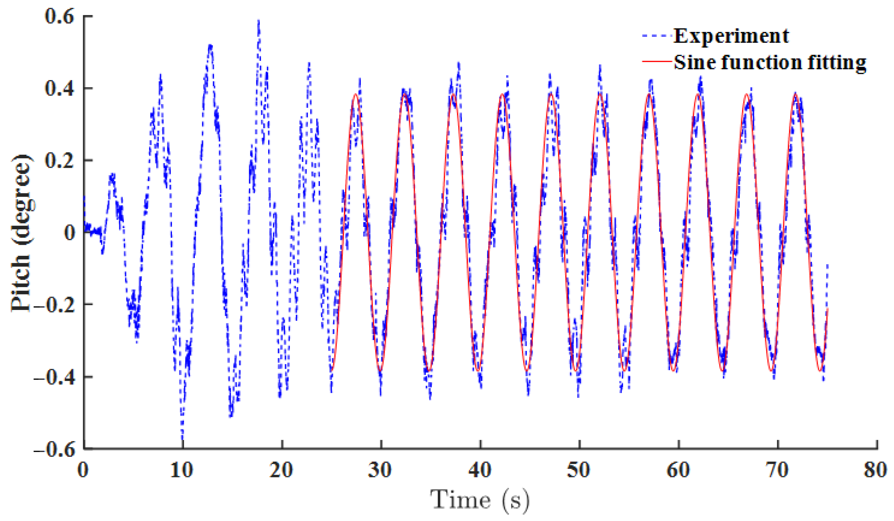
3.2. Validation of the Numerical Methodology
4. Results and Discussions
4.1. Physical Properties of Single Box
4.2. Acquisition of Response Amplitude Operators
4.3. Motion Responses of Multi-Box Arrays
5. Conclusions
Author Contributions
Funding
Data Availability Statement
Conflicts of Interest
References
- Du, J.; Zhang, D.; Zhang, Y.; Xu, K.; Chang, A.; Zhao, S. Design and comparative analysis of alternative mooring systems for offshore floating photovoltaics arrays in ultra-shallow water with significant tidal range. Ocean Eng. 2024, 302, 117649. [Google Scholar] [CrossRef]
- Chen, M.; Yun, Q.; Hallak, T.S.; Zhou, H.; Zhang, K.; Yang, Y.; Tao, T.; Liu, S.; Jiang, W.; Li, C. Comparative Study on the Performances of a Hinged Flap-Type Wave Energy Converter Considering Both Fixed and Floating Bases. J. Mar. Sci. Eng. 2024, 12, 1416. [Google Scholar] [CrossRef]
- Yu, S.R.; Zhang, M.; Zhang, D.Q.; Yuan, Z.M. Optimal declutching control of hinged multiple floating bodies. Ocean Eng. 2024, 306, 117992. [Google Scholar] [CrossRef]
- Diamantoulaki, I.; Angelides, D.C. Analysis of performance of hinged floating breakwaters. Eng. Struct. 2010, 32, 2407–2423. [Google Scholar] [CrossRef]
- Rogne, Ø.Y. Numerical and Experimental Investigation of a Hinged 5 Body Wave Energy Converter. Ph.D. Thesis, Norwegian University of Science and Technology, Trondheim, Norway, 2014. [Google Scholar]
- Jiang, C.; El Moctar, O.; Schellin, T.E. Hydrodynamic sensitivity of moored and articulated multibody offshore structures in waves. J. Mar. Sci. Eng. 2021, 9, 1028. [Google Scholar] [CrossRef]
- Ma, C.; Bi, C.-W.; Xu, Z.; Zhao, Y.-P. Dynamic behaviors of a hinged multi-body floating aquaculture platform under regular waves. Ocean Eng. 2022, 243, 110278. [Google Scholar] [CrossRef]
- Newman, J.N. Wave effects on deformable bodies. Appl. Ocean Res. 1994, 16, 47–59. [Google Scholar] [CrossRef]
- Sun, L.; Taylor, R.E.; Choo, Y.S. Responses of interconnected floating bodies. IES J. Part A Civ. Struct. Eng. 2011, 4, 143–156. [Google Scholar] [CrossRef]
- Zheng, S.M.; Zhang, Y.H.; Zhang, Y.L.; Sheng, W.A. Numerical study on the dynamics of a two-raft wave energy conversion device. J. Fluid. Struct. 2015, 58, 271–290. [Google Scholar] [CrossRef]
- Jiang, C.; El Moctar, O.; Schellin, T.E. Capability of a potential-flow solver to analyze articulated multibody offshore modules. Ocean Eng. 2022, 266, 112754. [Google Scholar] [CrossRef]
- Jin, S.; Wang, D.; Hann, M.; Collins, K.; Conley, D.; Greaves, D. A designed two-body hinged raft wave energy converter: From experimental study to annual power prediction for the EMEC site using WEC-Sim. Ocean Eng. 2023, 267, 113286. [Google Scholar] [CrossRef]
- Zhang, M.; Yuan, Z.M.; Dai, S.S.; Chen, M.L.; Incecik, A. LSTM RNN-based excitation force prediction for the real-time control of wave energy converters. Ocean Eng. 2024, 306, 118023. [Google Scholar] [CrossRef]
- Clemente, D.; Rosa-Santos, P.; Taveira-Pinto, F.; Martins, P. Experimental performance assessment of geometric hull designs for the E-Motions wave energy converter. Ocean Eng. 2022, 260, 111962. [Google Scholar] [CrossRef]
- Zhang, D.; Du, J.; Yuan, Z.; Yu, S.; Li, H. Motion characteristics of large arrays of modularized floating bodies with hinge connections. Phys. Fluids 2023, 35, 077107. [Google Scholar]




















| Parameters | Units | Values |
|---|---|---|
| m | 0.4 | |
| m | 0.25 | |
| m | 0.2 | |
| m | 0.1 | |
| kg | 10 |
Disclaimer/Publisher’s Note: The statements, opinions and data contained in all publications are solely those of the individual author(s) and contributor(s) and not of MDPI and/or the editor(s). MDPI and/or the editor(s) disclaim responsibility for any injury to people or property resulting from any ideas, methods, instructions or products referred to in the content. |
© 2024 by the authors. Licensee MDPI, Basel, Switzerland. This article is an open access article distributed under the terms and conditions of the Creative Commons Attribution (CC BY) license (https://creativecommons.org/licenses/by/4.0/).
Share and Cite
Zhang, D.-Q.; Yuan, Z.-M.; Zhao, G.-W.; Chen, Y.-J.; Du, J.-F. An Experimental and Numerical Study of Motion Responses of Multi-Body Arrays with Hinge Connections. J. Mar. Sci. Eng. 2024, 12, 1791. https://doi.org/10.3390/jmse12101791
Zhang D-Q, Yuan Z-M, Zhao G-W, Chen Y-J, Du J-F. An Experimental and Numerical Study of Motion Responses of Multi-Body Arrays with Hinge Connections. Journal of Marine Science and Engineering. 2024; 12(10):1791. https://doi.org/10.3390/jmse12101791
Chicago/Turabian StyleZhang, De-Qing, Zhi-Ming Yuan, Guang-Wei Zhao, Yu-Jing Chen, and Jun-Feng Du. 2024. "An Experimental and Numerical Study of Motion Responses of Multi-Body Arrays with Hinge Connections" Journal of Marine Science and Engineering 12, no. 10: 1791. https://doi.org/10.3390/jmse12101791
APA StyleZhang, D.-Q., Yuan, Z.-M., Zhao, G.-W., Chen, Y.-J., & Du, J.-F. (2024). An Experimental and Numerical Study of Motion Responses of Multi-Body Arrays with Hinge Connections. Journal of Marine Science and Engineering, 12(10), 1791. https://doi.org/10.3390/jmse12101791

