Numerical Investigation of Gas-Liquid Flow in a Multiphase Pump with Special Emphasis on the Effect of Tip Leakage Vortex on the Gas Flow Pattern
Abstract
1. Introduction
2. Physical Model and Grid Generation
2.1. Research Object
2.2. Grid Generation
3. Numerical Method
3.1. Numerical Model
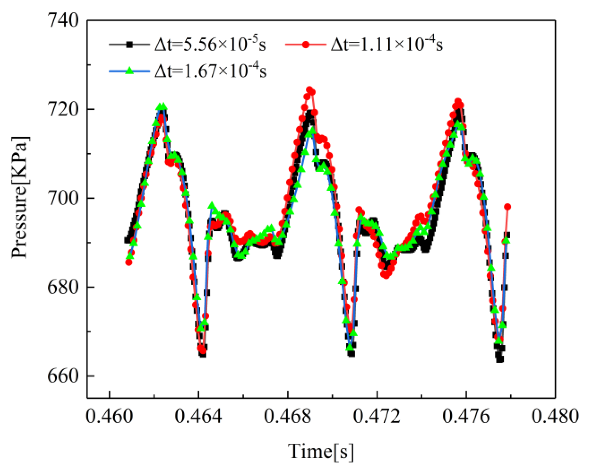
3.2. Analysis of Grid Discrete Error Verification of Time Step Independence
3.3. Experimental Verification
4. Results and Discussion
4.1. Gas Motion Trajectory Due to TLV
4.2. Spatiotemporal Evolution of the Gas
4.3. Flow Pattern of the Gas in Impeller
4.4. Variations of TED and Blade Load with IGVF
5. Conclusions
Author Contributions
Funding
Institutional Review Board Statement
Informed Consent Statement
Data Availability Statement
Acknowledgments
Conflicts of Interest
References
- Shi, G.; Liu, Z.; Xiao, Y.; Li, H.; Liu, X. Tip leakage vortex trajectory and dynamics in a multiphase pump at off-design condition. Renew. Energy 2020, 150, 703–711. [Google Scholar] [CrossRef]
- Shi, G.; Liu, Z.; Xiao, Y.; Yang, H.; Li, H.; Liu, X. Effect of the inlet gas void fraction on the tip leakage vortex in a multiphase pump. Renew. Energy 2020, 150, 46–57. [Google Scholar] [CrossRef]
- Räbiger, K.; Maksoud, T.M.A.; Ward, J.; Hausmann, G. Theoretical and experimental analysis of a multiphase screw pump, handling gas-liquid mixtures with very high gas volume fractions. Exp. Therm. Fluid Sci. 2008, 32, 1694–1701. [Google Scholar] [CrossRef]
- Liu, M.; Tan, L.; Cao, S. Dynamic mode decomposition of gas-liquid flow in a rotodynamic multiphase pump. Renew. Energy 2019, 139, 1159–1175. [Google Scholar] [CrossRef]
- Cao, S.; Peng, G.; Yu, Z. Hydrodynamic Design of Rotodynamic Pump Impeller for Multiphase Pumping by Combined Approach of Inverse Design and CFD Analysis. J. Fluids Eng. 2005, 127, 330–338. [Google Scholar] [CrossRef]
- Zhang, Y.; Zhang, J.; Zhu, H.; Cai, S. 3D Blade Hydraulic Design Method of the Rotodynamic Multiphase Pump Impeller and Performance Research. Adv. Mech. Eng. 2014, 6, 803972. [Google Scholar] [CrossRef]
- Kim, J.; Lee, H.; Kim, J.; Choi, Y.; Yoon, J.; Yoo, I.; Choi, W. Improvement of Hydrodynamic Performance of a Multiphase Pump Using Design of Experiment Techniques. J. Fluids Eng. 2015, 137, 081301. [Google Scholar] [CrossRef]
- Zhang, J.; Cai, S.; Li, Y.; Li, Y.; Zhang, Y. Optimization design of multiphase pump impeller based on combined genetic algorithm and boundary vortex flux diagnosis. J. Hydrodyn. 2017, 29, 1023–1034. [Google Scholar] [CrossRef]
- Suh, J.; Kim, J.; Choi, Y.; Kim, J.; Joo, W.; Lee, K. Multi-Objective Optimization of the Hydrodynamic Performance of the Second Stage of a Multi-Phase Pump. Energies 2017, 10, 1334. [Google Scholar] [CrossRef]
- Xiao, W.; Tan, L. Design method of controllable velocity moment and optimization of pressure fluctuation suppression for a multiphase pump. Ocean Eng. 2021, 220, 108402. [Google Scholar] [CrossRef]
- Liu, M.; Tan, L.; Xu, Y.; Cao, S. Optimization design method of multi-stage multiphase pump based on Oseen vortex. J. Petrol. Sci. Eng. 2020, 184, 106532. [Google Scholar] [CrossRef]
- Liu, M.; Tan, L.; Cao, S. Design Method of Controllable Blade Angle and Orthogonal Optimization of Pressure Rise for a Multiphase Pump. Energies 2018, 11, 1048. [Google Scholar] [CrossRef]
- Falcimaigne, J.; Brac, J.; Charron, Y.; Pagnier, P.; Vilagines, R. Multiphase Pumping: Achievements and Perspectives. Oil Gas Sci. Technol. 2002, 57, 99–107. [Google Scholar] [CrossRef]
- Leporcher, E.; Delaytermoz, A.; Renault, J.; Gerbier, A.; Burger, O. Deployment of Multiphase Pumps on a North Sea Field. In Proceedings of the SPE Annual Technical Conference and Exhibition, New Orleans, LA, USA, 30 September–3 October 2001. [Google Scholar]
- Shi, G.; Liu, Z.; Xiao, Y.; Li, H.; Liu, X. Velocity characteristics in a multiphase pump under different tip clearances. Proc. Inst. Mech. Eng. Part A J. Power Energy 2021, 235, 454–475. [Google Scholar] [CrossRef]
- Xu, Y.; Cao, S.; Sano, T.; Wakai, T.; Reclari, M. Experimental Investigation on Transient Pressure Characteristics in a Helico-Axial Multiphase Pump. Energies 2019, 12, 461. [Google Scholar] [CrossRef]
- Zhang, J.; Tan, L. Energy Performance and Pressure Fluctuation of a Multiphase Pump with Different Gas Volume Fractions. Energies 2018, 11, 1216. [Google Scholar] [CrossRef]
- Saadawi, H. Operating Multiphase Helicoaxial Pumps in Series to Develop a Satellite Oil Field in a Remote Desert Location. In Proceedings of the SPE Projects, Facilities and Construction, Anaheim, CA, USA, 11–14 November 2008. [Google Scholar]
- Serena, A.; Bakken, L.E. Design of a multiphase pump test laboratory allowing to perform flow visualization and instability analysis. Hous. Stud. 2015, 25, 857–878. [Google Scholar]
- Serena, A.; Bakken, L.E. Flow Visualization of Unsteady and Transient Phenomena in a Mixed-Flow Multiphase Pump. In Proceedings of the ASME Turbo Expo: Turbomachinery Technical Conference and Exposition, Seoul, Korea, 13–17 June 2016. [Google Scholar]
- Zhang, J.; Fan, H.; Zhang, W.; Xie, Z. Energy performance and flow characteristics of a multiphase pump with different tip clearance sizes. Adv. Mech. Eng. 2019, 11, 168781401882335. [Google Scholar] [CrossRef]
- Shi, Y.; Zhu, H.; Yin, B.; Xu, R.; Zhang, J. Numerical investigation of two-phase flow characteristics in multiphase pump with split vane impellers. J. Mech. Sci. Technol. 2019, 33, 1651–1661. [Google Scholar] [CrossRef]
- Zhang, J.; Cai, S.; Li, Y.; Zhu, H.; Zhang, Y. Visualization study of gas-liquid two-phase flow patterns inside a three-stage rotodynamic multiphase pump. Exp. Therm. Fluid Sci. 2016, 70, 125–138. [Google Scholar] [CrossRef]
- Zhang, J.; Cai, S.; Zhu, H.; Zhang, Y. Experimental investigation of the flow at the entrance of a rotodynamic multiphase pump by visualization. J. Petrol. Sci. Eng. 2015, 126, 254–261. [Google Scholar] [CrossRef]
- Zhang, W.; Yu, Z.; Li, Y. Application of a non-uniform bubble model in a multiphase rotodynamic pump. J. Petrol. Sci. Eng. 2019, 173, 1316–1322. [Google Scholar] [CrossRef]
- Zhang, W.; Zhu, B.; Yu, Z. Characteristics of bubble motion and distribution in a multiphase rotodynamic pump. J. Petrol. Sci. Eng. 2020, 193, 107435. [Google Scholar] [CrossRef]
- Li, Y.; Yu, Z.; Zhang, W.; Yang, J.; Ye, Q. Analysis of bubble distribution in a multiphase rotodynamic pump. Eng. Appl. Comp. Fluid 2019, 13, 551–559. [Google Scholar]
- Wang, Q.; Yao, W. Computation and validation of the interphase force models for bubbly flow. Int. J. Heat Mass Tran. 2016, 98, 799–813. [Google Scholar] [CrossRef]
- Yu, Z.Y.; Zhu, B.S.; Cao, S.L.; Wang, G.Y. Application of Two-Fluid Model in the Unsteady Flow Simulation for a Multiphase Rotodynamic Pump. In IOP Conference Series: Materials Science and Engineering; IOP Publishing: Bristol, UK, 2013; Volume 52, pp. 62003–62008. [Google Scholar]
- Yu, Z.; Zhu, B.; Cao, S. Interphase force analysis for air-water bubbly flow in a multiphase rotodynamic pump. Eng. Computation. 2015, 32, 2166–2180. [Google Scholar] [CrossRef]
- Roache, P.J. Perspective: A Method for Uniform Reporting of Grid Refinement Studies. J. Fluids Eng. 1994, 116, 405–413. [Google Scholar] [CrossRef]
- Roache, P.J. Quantifucation uncerainty in computational fluid dynamics. Annu. Rev. Fluid Mech. 1997, 29, 123–160. [Google Scholar] [CrossRef]
- Roache, P.J. Verification of Codes and Calculations. Aiaa J. 1998, 36, 696–702. [Google Scholar] [CrossRef]
- Shu, Z.; Shi, G.; Tao, S.; Tang, W.; Li, C. Three-dimensional spatial-temporal evolution and dynamics of the tip leakage vortex in an oil–gas multiphase pump. Phys. Fluids 2021, 33, 113320. [Google Scholar] [CrossRef]
- Shu, Z.; Shi, G.; Dan, Y.; Wang, B.; Tan, X. Enstrophy dissipation of the tip leakage vortex in a multiphase pump. Phys. Fluids 2022, 34, 033310. [Google Scholar] [CrossRef]


















| Parameters | Impeller | Diffuser | Units | ||
|---|---|---|---|---|---|
| Symbols | Values | Symbols | Values | ||
| Shroud diameter | DS | 161 | DS | 161 | mm |
| Hub diameter at inlet | Dh1 | 113 | Dh3 | 126 | mm |
| Hub diameter at outlet | Dh2 | 126 | Dh4 | 113 | mm |
| Blade inlet angle | αh/αs | 9.05°/6° | αh/αs | 0 | - |
| Blade outlet angle | βh/βs | 27.05°/24° | βh/βs | 35° | - |
| Axial length | LI | 60 | LD | 66 | mm |
| Blade numbers | BI | 3 | BG | 11 | - |
| Parameters | Symbols | Error Estimates |
|---|---|---|
| Grid 1 | N1 | 8,961,543 |
| Grid 2 | N2 | 3,956,482 |
| Grid 3 | N3 | 1,702,813 |
| Grid ratio 21 | r21 | 1.313 |
| Grid ratio 32 | r32 | 1.324 |
| Efficiency 1 | η1 | 45.59% |
| Efficiency 2 | η2 | 45.42% |
| Efficiency 3 | η3 | 44.95% |
| Estimated efficiency | ηext21 | 45.69% |
| Relative error | eext21 | 0.228% |
| GCI | GCIfine21 | 0.285% |
Publisher’s Note: MDPI stays neutral with regard to jurisdictional claims in published maps and institutional affiliations. |
© 2022 by the authors. Licensee MDPI, Basel, Switzerland. This article is an open access article distributed under the terms and conditions of the Creative Commons Attribution (CC BY) license (https://creativecommons.org/licenses/by/4.0/).
Share and Cite
Xiao, Y.; Gui, Z.; Li, X.; Shu, Z.; Shi, G.; Gu, C. Numerical Investigation of Gas-Liquid Flow in a Multiphase Pump with Special Emphasis on the Effect of Tip Leakage Vortex on the Gas Flow Pattern. J. Mar. Sci. Eng. 2022, 10, 1665. https://doi.org/10.3390/jmse10111665
Xiao Y, Gui Z, Li X, Shu Z, Shi G, Gu C. Numerical Investigation of Gas-Liquid Flow in a Multiphase Pump with Special Emphasis on the Effect of Tip Leakage Vortex on the Gas Flow Pattern. Journal of Marine Science and Engineering. 2022; 10(11):1665. https://doi.org/10.3390/jmse10111665
Chicago/Turabian StyleXiao, Yexiang, Zhonghua Gui, Xuesong Li, Zekui Shu, Guangtai Shi, and Chunwei Gu. 2022. "Numerical Investigation of Gas-Liquid Flow in a Multiphase Pump with Special Emphasis on the Effect of Tip Leakage Vortex on the Gas Flow Pattern" Journal of Marine Science and Engineering 10, no. 11: 1665. https://doi.org/10.3390/jmse10111665
APA StyleXiao, Y., Gui, Z., Li, X., Shu, Z., Shi, G., & Gu, C. (2022). Numerical Investigation of Gas-Liquid Flow in a Multiphase Pump with Special Emphasis on the Effect of Tip Leakage Vortex on the Gas Flow Pattern. Journal of Marine Science and Engineering, 10(11), 1665. https://doi.org/10.3390/jmse10111665

