Loading Criteria and Deposit Layer Characteristics as Causes of Sediment Settlement in an Estuary
Abstract
:1. Introduction
2. Materials and Methods
2.1. Site Locations
2.2. Loading Data
2.2.1. Hydraulic Head Pressure
2.2.2. Sediment Transport Rate
2.2.3. Sediment Deposition
2.2.4. Water Density
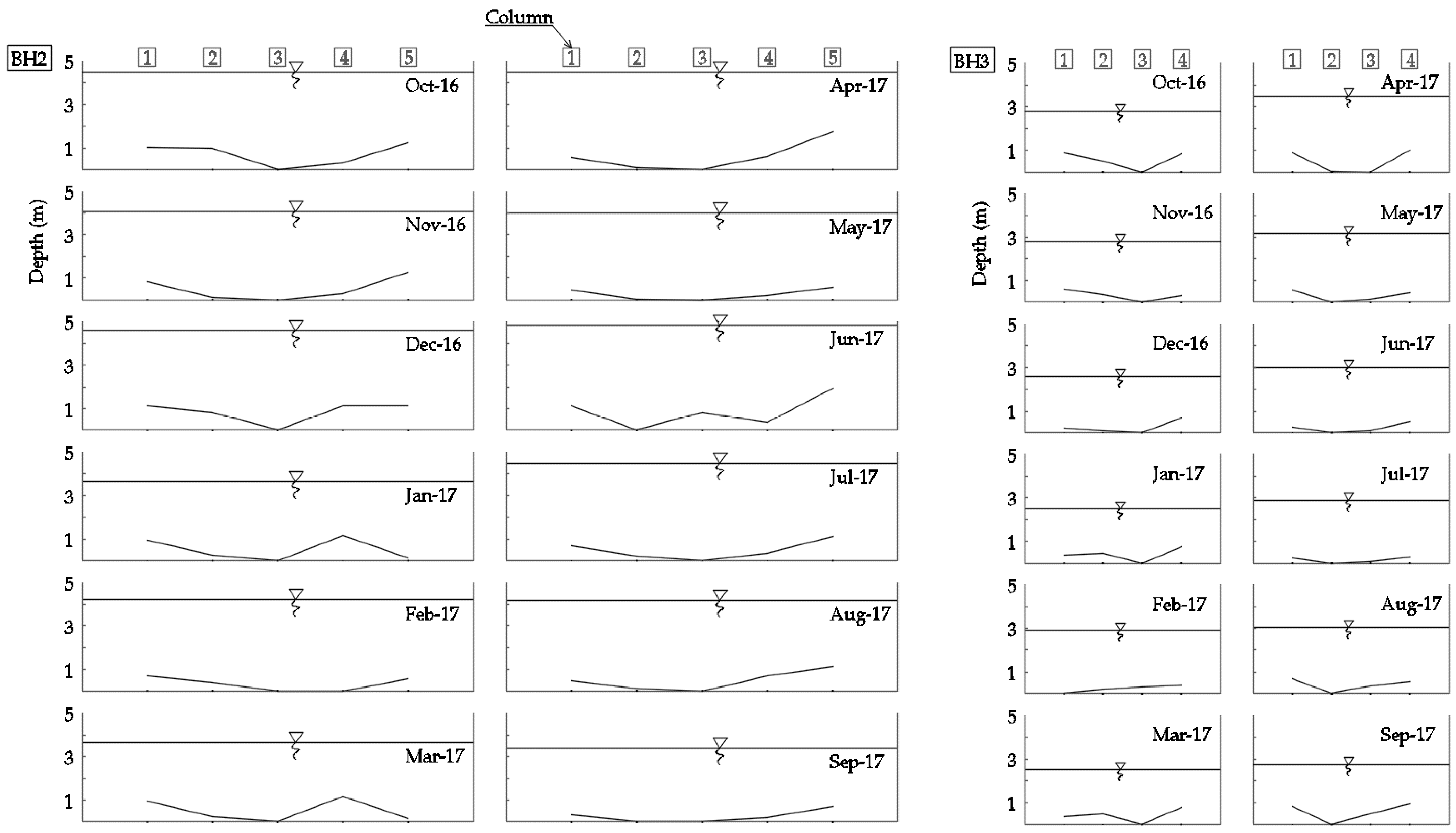
2.3. Observation Methods
3. Results
3.1. Characteristics of Sediment Transport Load
3.2. Sediment Deposition Correlation
3.3. Fresh and Saline Water
3.4. Pressure Load Combination
3.5. Sediment Layer
4. Discussion
5. Conclusions
Author Contributions
Funding
Institutional Review Board Statement
Informed Consent Statement
Data Availability Statement
Acknowledgments
Conflicts of Interest
References
- Teatini, P.; Tosi, L.; Strozzi, T. Quantitative evidence that compaction of Holocene sediments drives the present land subsidence of the Po Delta, Italy. J. Geophys. Res. Solid Earth 2011, 116, 1–10. [Google Scholar] [CrossRef]
 - Zhang, Y.; Huang, H.; Liu, Y.; Liu, Y.; Bi, H. Spatial and temporal variations in subsidence due to the natural consolidation and compaction of sediment in the yellow river delta, china. Mar. Georesources Geotechnol 2019, 37, 152–163. [Google Scholar] [CrossRef]
 - Siddiqui, N.A.; Rahman, A.H.A.; Sum, C.W.; Yusoff, W.I.W.; bin Ismail, M.S. Shallow-marine Sandstone Reservoirs, Depositional Environments, Stratigraphic Characteristics and Facies Model: A Review. J. Appl. Sci. 2017, 17, 212–237. [Google Scholar] [CrossRef]
 - Wolanski, E.; Huan, N.N.; Dao, L.T.; Nhan, N.H.; Thuy, N.N. Fine-sediment dynamics in the Mekong River Estuary, Vietnam. Estuar. Coast. Shelf Sci. 1996, 43, 565–582. [Google Scholar] [CrossRef]
 - Zhang, Y.; Huang, H.; Liu, Y.; Liu, Y. Self-weight consolidation and compaction of sediment in the Yellow River Delta, China. Phys. Geogr. 2018, 39, 84–98. [Google Scholar] [CrossRef]
 - Liu, Y.; Du, T.; Huang, H.; Liu, Y.; Zhang, Y. Estimation of sediment compaction and its relationship with river channel distributions in the Yellow River delta, China. Catena 2019, 182, 104113. [Google Scholar] [CrossRef]
 - Satrya, T.R.; Soemitro, R.A.A.; Maulana, M.A.; Warnana, D.D.; Soetanto, R. Assessment of Infrastructures Assets Induced by Water Level Fluctuation along the Bengawan Solo River. J. Infrastruct. Facil. Asset Manag. 2019, 1, 105–112. [Google Scholar] [CrossRef] [Green Version]
 - Palamenghi, L. Tectonic and Sea Level Control on the Transport and Depositional Processes in a Siliciclastic Sedimentary Basin. Insights from the Ganges-Brahmaputra Delta, Bengal Basin, Bangladesh. Doctoral Thesis, University of Bremen, Bremen, Germany, 30 April 2012. Available online: https://core.ac.uk/download/pdf/46919574.pdf (accessed on 15 February 2021).
 - Becker, R.H.; Sultan, M. Land subsidence in the Nile Delta: Inferences from radar interferometry. Holocene 2009, 19, 949–954. [Google Scholar] [CrossRef]
 - Belperio, A.P. Land subsidence and sea level rise in the port adelaide estuary: Implications for monitoring the greenhouse effect. Aust. J. Earth Sci. 1993, 40, 359–368. [Google Scholar] [CrossRef]
 - Featherstone, W.E.; Filmer, M.S.; Penna, N.T.; Morgan, L.M.; Schenk, A. Anthropogenic land subsidence in the Perth Basin: Challenges for its retrospective geodetic detection. J. R. Soc. West. Aust. 2012, 95, 53–62. [Google Scholar]
 - de Vries, K. Land subsidence and hydrodybanic compaction of sedimentary basins. Hydrol. Earth Syst. Sci. 1998, 2, 159–171. Available online: https://www.hydrol-earth-syst-sci.net/2/159/1998/hess-2-159-1998.pdf (accessed on 15 February 2021). [CrossRef] [Green Version]
 - Kooi, H. Land subsidence due to compaction in the coastal area of The Netherlands: The role of lateral fluid flow and constraints from well-log data. Glob. Planet. Change 2000, 27, 207–222. [Google Scholar] [CrossRef]
 - Meckel, T.A.; ten Brink, U.S.; Williams, S.J. Current subsidence rates due to compaction of Holocene sediments in southern Louisiana. Geophys. Res. Lett. 2006, 33, 1–5. [Google Scholar] [CrossRef]
 - Changxing, S.; Dian, Z.; Lianyuan, Y.; Bingyuan, L.; Zulu, Z.; Ouyang, Z. Land subsidence as a result of sediment consolidation in the yellow river delta. J. Coast. Res. 2007, 23, 173–181. [Google Scholar] [CrossRef]
 - Patriadi, A.; Soemitro, R.A.A.; Warnana, D.D.; Wardoyo, W.; Mukunoki, T.; Tsujimoto, G. The Influence of Sembayat Weir on Sediment Transport Rate in the Estuary of Bengawan Solo River, Indonesia. Int. J. Geomate 2021, 20, 35–43. [Google Scholar] [CrossRef]
 - Brunner, G.W.; United States Army Corps of Engineers; Institute for Water Resources (U.S.); Hidrologic Engineering Center (U.S.). HEC-RAS River Analisys Systems User’s Manual; US Army Corps of Engineers, Institute for Water Resources, Hydrologic Engineering Center: Davis, CA, USA, 2016; p. 962. [Google Scholar]
 - Seo, H.J.; Cho, M.; Yoon, H.D. Data-driven analysis of stratified flow effect on suspended sediment concentration in an estuary. J. Mar. Sci. Eng. 2020, 8, 606. [Google Scholar] [CrossRef]
 - Te, C.V. Open-Channel Hydraulics: International Student Ed.; McGraw-Hill Book Company, Inc.: New York, NY, USA, 1959. [Google Scholar]
 - Gill, A.E. Atmosphere-Ocean Dynamics: Int. Geophysics Series; Academic Press: San Diego, CA, USA, 1982; Volume 30. [Google Scholar]
 - Wright, A.E. Metamorphic facies. In Petrology. Encyclopedia of Earth Science; Springer: Boston, MA, USA, 1989. [Google Scholar] [CrossRef]
 - Das, B.M. Principles of Geotechnical Engineering, 7th ed.; Cengage Learning: Stamford, CT, USA, 2010. [Google Scholar]
 - Perillo, G.M.E. Geomorphology and Sedimentology of Estuaries: An Intrduction. In Developments in Sedimentology; Elsevier: Amsterdam, The Netherlands, 1995; Volume 53, pp. 1–16. [Google Scholar]
 - EBMEG (Editorial Board of Manual of Engineering Geology). Manual of Engineering Geology, 2nd ed.; Chinese Architectural Industry Press: Beijing, China, 1982. (In Chinese) [Google Scholar]
 - Ji, U.; Julien, P.Y.; Park, S.K. Sediment flushing at the nakdong river estuary barrage. J. Hydraul. Eng. 2011, 137, 1522–1535. [Google Scholar] [CrossRef]
 - Franz, G.; Pinto, L.; Ascione, I.; Mateus, M.; Fernandes, R.; Leitão, P.; Neves, R. Modelling of cohesive sediment dynamics in tidal estuarine systems: Case study of Tagus estuary, Portugal. Estuar. Coast. Shelf Sci. 2014, 151, 34–44. [Google Scholar] [CrossRef]
 - Soemitro, R.A.A.; Adriati, F.; Warnana, D.D.; Mukunoki, T.; Soetanto, R.; Maulana, M.A. Sediment consolidation in ephemeral river: The effect of applied loading on soil properties and dredging method selection. Int. J. River Basin Manag. 2020, 1–10. [Google Scholar] [CrossRef]
 














| BH2 | BH3 | |||||
|---|---|---|---|---|---|---|
| Sampling Time | (kg/m3) | Salinity (ppt) | Temperature (°C) | (kg/m3) | Salinity (ppt) | Temperature (°C) | 
| October 2016 | 996.09 | 0.13 | 28.84 | 996.11 | 0.23 | 29.05 | 
| November 2016 | 996.57 | 0.50 | 28.17 | 996.57 | 0.51 | 28.18 | 
| December 2016 | 996.14 | 0.14 | 28.72 | 995.98 | 0.15 | 29.28 | 
| January 2017 | 996.03 | 0.19 | 29.22 | 995.46 | 0.20 | 31.10 | 
| February 2017 | 996.21 | 0.21 | 28.62 | 996.28 | 0.20 | 28.40 | 
| March 2017 | 995.79 | 0.28 | 30.22 | 995.96 | 0.27 | 29.65 | 
| April 2017 | 996.23 | 0.17 | 28.48 | 996.08 | 0.16 | 28.95 | 
| May 2017 | 996.18 | 0.80 | 30.22 | 1001.84 | 8.54 | 30.53 | 
| June 2017 | 996.51 | 0.63 | 28.68 | 1000.71 | 6.36 | 28.95 | 
| July 2017 | 1001.77 | 7.70 | 28.74 | 1001.42 | 7.40 | 29.15 | 
| August 2017 | 1002.46 | 8.47 | 28.36 | 1002.64 | 8.91 | 28.85 | 
| September 2017 | 1002.49 | 8.90 | 29.30 | 1002.21 | 8.95 | 30.33 | 
Publisher’s Note: MDPI stays neutral with regard to jurisdictional claims in published maps and institutional affiliations.  | 
© 2021 by the authors. Licensee MDPI, Basel, Switzerland. This article is an open access article distributed under the terms and conditions of the Creative Commons Attribution (CC BY) license (https://creativecommons.org/licenses/by/4.0/).
Share and Cite
Patriadi, A.; Soemitro, R.A.A.; Warnana, D.D.; Wardoyo, W.; Mukunoki, T.; Tsujimoto, G.; Maulana, M.A.; Satrya, T.R. Loading Criteria and Deposit Layer Characteristics as Causes of Sediment Settlement in an Estuary. J. Mar. Sci. Eng. 2022, 10, 27. https://doi.org/10.3390/jmse10010027
Patriadi A, Soemitro RAA, Warnana DD, Wardoyo W, Mukunoki T, Tsujimoto G, Maulana MA, Satrya TR. Loading Criteria and Deposit Layer Characteristics as Causes of Sediment Settlement in an Estuary. Journal of Marine Science and Engineering. 2022; 10(1):27. https://doi.org/10.3390/jmse10010027
Chicago/Turabian StylePatriadi, Andi, Ria Asih Aryani Soemitro, Dwa Desa Warnana, Wasis Wardoyo, Toshifumi Mukunoki, Gozo Tsujimoto, Mahendra Andiek Maulana, and Trihanyndio Rendy Satrya. 2022. "Loading Criteria and Deposit Layer Characteristics as Causes of Sediment Settlement in an Estuary" Journal of Marine Science and Engineering 10, no. 1: 27. https://doi.org/10.3390/jmse10010027
APA StylePatriadi, A., Soemitro, R. A. A., Warnana, D. D., Wardoyo, W., Mukunoki, T., Tsujimoto, G., Maulana, M. A., & Satrya, T. R. (2022). Loading Criteria and Deposit Layer Characteristics as Causes of Sediment Settlement in an Estuary. Journal of Marine Science and Engineering, 10(1), 27. https://doi.org/10.3390/jmse10010027
        
                                                