Differential Effects of Six Salt Types on Wheat (Triticum aestivum L.) Germination and Seedling Growth
Abstract
1. Introduction
2. Materials and Methods
2.1. Plant Material
2.2. Methods
2.2.1. Salt Type and Concentration Setup
2.2.2. Germination Experiment
2.2.3. Determination of Germination
2.2.4. Determination of Growth
2.2.5. Data Analysis
3. Results
3.1. Germination Characteristics of Wheat Under Different Types of Salt Stress
3.2. Effects of Different Types of Salt Stress on Wheat Germination Indicators
3.3. Effects of Different Types of Salt Stress on Wheat Germination Index and Simple Vigor Index
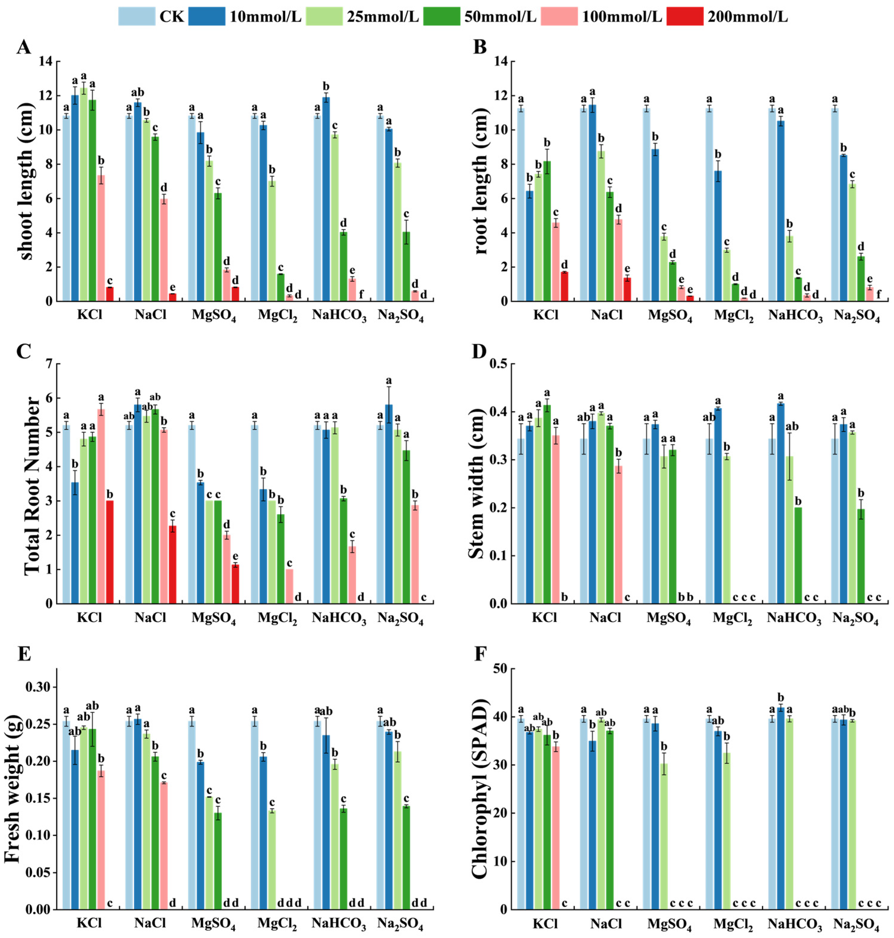
3.4. Effects of Different Types of Salt Stress on Wheat Growth Indicators
3.5. LC50s of Different Salt Stresses on Wheat During the Germination Stage
3.6. Principal Component Analysis
3.7. Comprehensive Analysis Using Membership Function
4. Discussion
5. Conclusions
Author Contributions
Funding
Data Availability Statement
Conflicts of Interest
Abbreviations
| GE | Germination Energy |
| GR | Germination Rate |
| TRN | Total Root Number |
| RL | Root Length |
| SL | Shoot Length |
| SW | Stem Width |
| FW | Fresh Weight |
| GI | Germination Index |
| SVI | Simple Vigor Index |
| PCA | Principal Component Analysis |
| LC50 | Median Lethal Concentration |
| SPAD | Soil Plant Analysis Development |
References
- Wang, Y.; Wang, S.; Zhao, Z.; Zhang, K.; Tian, C.; Mai, W. Progress of Euhalophyte Adaptation to Arid Areas to Remediate Salinized Soil. Agriculture 2023, 13, 704. [Google Scholar] [CrossRef]
- Wang, M.; Xia, G. The landscape of molecular mechanisms for salt tolerance in wheat. Crop J. 2018, 6, 42–47. [Google Scholar] [CrossRef]
- Butcher, K.; Wick, A.F.; DeSutter, T.; Chatterjee, A.; Harmon, J. Soil Salinity: A Threat to Global Food Security. Agron. J. 2016, 108, 2189–2200. [Google Scholar] [CrossRef]
- Gies, E. In California, salt taints soil, threatening food security. Environmental Health News, 27 March 2017. [Google Scholar]
- McFarlane, D.J.; George, R.J.; Caccetta, P.A. The extent and potential area of salt-affected land in Western Australia estimated using remote sensing and digital terrain models. In Proceedings of the 1st National Salinity Engineering Conference, Perth, Australia, 9–12 November 2004. [Google Scholar]
- Ali, A. Improving Salinity and Agricultural Water Management in the Indus Basin, Pakistan: Issues, Management and Opportunities: A Synthesis from a Desk-Top Literature Review; February 2018 (republished August 2023); Gulbali Institute, Charles Sturt University: Albury, Australia, 2023; Volume 1. [Google Scholar]
- Wang, S.; Gao, P.; Zhang, Q.; Shi, Y.; Guo, X.; Lv, Q.; Wu, W.; Zhang, X.; Li, M.; Meng, Q. Biochar improves soil quality and wheat yield in saline-alkali soils beyond organic fertilizer in a 3-year field trial. Environ. Sci. Pollut. Res. 2022, 30, 19097–19110. [Google Scholar] [CrossRef] [PubMed]
- Yang, Q.; Fan, X.; Wang, L.; Tang, Y.; Huang, L. Detection of soil salinity distribution and its change in the Yellow River Delta comparing 2006 and 2022. Land Degrad. Dev. 2024, 35, 4288–4303. [Google Scholar] [CrossRef]
- Food and Agriculture Organization of the United Nations (FAO). World Food Situation: FAO Cereal Supply and Demand Brief; FAO: Rome, Italy, 2025; Available online: https://www.fao.org/worldfoodsituation/csdb/en/ (accessed on 23 December 2025).
- Arzani, A.; Ashraf, M. Cultivated Ancient Wheats (Triticum spp.): A Potential Source of Health-Beneficial Food Products. Compr. Rev. Food Sci. Food Saf. 2017, 16, 477–488. [Google Scholar] [CrossRef]
- Alkharabsheh, H.M.; Seleiman, M.F.; Hewedy, O.A.; Battaglia, M.L.; Jalal, R.S.; Alhammad, B.A.; Schillaci, C.; Ali, N.; Al-Doss, A. Field Crop Responses and Management Strategies to Mitigate Soil Salinity in Modern Agriculture: A Review. Agronomy 2021, 11, 2299. [Google Scholar] [CrossRef]
- Zhao, C.; Zhang, H.; Song, C.; Zhu, J.-K.; Shabala, S. Mechanisms of Plant Responses and Adaptation to Soil Salinity. Innovation 2020, 1, 100017. [Google Scholar] [CrossRef]
- Wang, M.; Yuan, J.; Qin, L.; Shi, W.; Xia, G.; Liu, S. TaCYP81D5, one member in a wheat cytochrome P450 gene cluster, confers salinity tolerance via reactive oxygen species scavenging. Plant Biotechnol. J. 2019, 18, 791–804. [Google Scholar] [CrossRef]
- Feghhenabi, F.; Hadi, H.; Khodaverdiloo, H.; van Genuchten, M.T. Seed priming alleviated salinity stress during germination and emergence of wheat (Triticum aestivum L.). Agric. Water Manag. 2020, 231, 106022. [Google Scholar] [CrossRef]
- Xu, Y.; Weng, X.; Jiang, L.; Huang, Y.; Wu, H.; Wang, K.; Li, K.; Guo, X.; Zhu, G.; Zhou, G. Screening and Evaluation of Salt-Tolerant Wheat Germplasm Based on the Main Morphological Indices at the Germination and Seedling Stages. Plants 2024, 13, 3201. [Google Scholar] [CrossRef] [PubMed]
- Abbas, M.K.; Ali, A.S.; Hasan, H.H.; Ghal, R.H. Salt Tolerance Study of Six Cultivars of Rice (Oryza sativa L.) During Germination and Early Seedling Growth. J. Agric. Sci. 2012, 5, 250. [Google Scholar] [CrossRef][Green Version]
- Gardarin, A.; Coste, F.; Wagner, M.-H.; Dürr, C. How do seed and seedling traits influence germination and emergence parameters in crop species? A comparative analysis. Seed Sci. Res. 2016, 26, 317–331. [Google Scholar] [CrossRef]
- Horak, M.J.; Sweat, J.K. Germination, Emergence, and Seedling Establishment of Buffalo Gourd (Cucurbita foetidissima). Weed Sci. 2017, 42, 358–363. [Google Scholar] [CrossRef]
- Kiremit, M.S.; Arslan, H.; Sezer, İ.; Akay, H. Evaluating and Modeling of the Seedling Growth Ability of Wheat Seeds as Affected by Shallow-Saline Groundwater Conditions. Gesunde Pflanz. 2022, 74, 357–369. [Google Scholar] [CrossRef]
- An, M.; Huang, X.; Long, Y.; Wang, Y.; Tan, Y.; Qin, Z.; Ai, X.; Wang, Y. Salt tolerance evaluation and key salt-tolerant traits at germination stage of upland cotton. Front. Plant Sci. 2025, 15, 1489380. [Google Scholar] [CrossRef]
- Han, L.; Ge, L.; Fei, L.; Huang, C.; Li, Y.; Fan, W.; Zhu, D.; Zhao, L. A Comprehensive Evaluation of Soybean Germplasm Resources for Salt Tolerance During Germination. Plants 2025, 14, 791. [Google Scholar] [CrossRef]
- Li, W.; Zhang, H.; Zeng, Y.; Xiang, L.; Lei, Z.; Huang, Q.; Li, T.; Shen, F.; Cheng, Q. A Salt Tolerance Evaluation Method for Sunflower (Helianthus annuus L.) at the Seed Germination Stage. Sci. Rep. 2020, 10, 10626. [Google Scholar] [CrossRef]
- Wu, H.; Guo, J.; Wang, C.; Li, K.; Zhang, X.; Yang, Z.; Li, M.; Wang, B. An Effective Screening Method and a Reliable Screening Trait for Salt Tolerance of Brassica napus at the Germination Stage. Front. Plant Sci. 2019, 10, 530. [Google Scholar] [CrossRef]
- Kalhori, N.; Ying, T.; Nulit, R.; Sahebi, M.; Abiri, R.; Atabaki, N. Effect of Four Different Salts on Seed Germination and Morphological Characteristics of Oryza sativa L. cv. MR219. Int. J. Adv. Res. Bot. 2018, 4, 29–45. [Google Scholar] [CrossRef]
- Dadach, M.; Ahmed, M.Z.; Bhatt, A.; Radicetti, E.; Mancinelli, R. Effects of Chloride and Sulfate Salts on Seed Germination and Seedling Growth of Ballota hirsuta Benth. and Myrtus communis L. Plants 2023, 12, 3906. [Google Scholar] [CrossRef] [PubMed]
- Xiao, Q.; Li, W.; Hu, P.; Cheng, J.; Zheng, Q.; Li, H.; Li, Z. An Integrated Method for Evaluation of Salt Tolerance in a Tall Wheatgrass Breeding Program. Plants 2025, 14, 983. [Google Scholar] [CrossRef] [PubMed]
- Al-Ashkar, I.; Alderfasi, A.; Ben Romdhane, W.; Seleiman, M.F.; El-Said, R.A.; Al-Doss, A. Morphological and Genetic Diversity within Salt Tolerance Detection in Eighteen Wheat Genotypes. Plants 2020, 9, 287. [Google Scholar] [CrossRef]
- Li, Y.; Huang, X.; Han, X.; Yang, H.; Zhao, Y. Comparative Analysis of Salt Tolerance and Transcriptomics in Two Varieties of Agropyron desertorum at Different Developmental Stages. Genes 2025, 16, 367. [Google Scholar] [CrossRef]
- van Zelm, E.; Zhang, Y.; Testerink, C. Salt Tolerance Mechanisms of Plants. Annu. Rev. Plant Biol. 2020, 71, 403–433. [Google Scholar] [CrossRef]
- Shahid, M.A.; Sarkhosh, A.; Khan, N.; Balal, R.M.; Ali, S.; Rossi, L.; Gómez, C.; Mattson, N.; Nasim, W.; Garcia-Sanchez, F. Insights into the Physiological and Biochemical Impacts of Salt Stress on Plant Growth and Development. Agronomy 2020, 10, 938. [Google Scholar] [CrossRef]
- Yu, R.; Wang, G.; Yu, X.; Li, L.; Li, C.; Song, Y.; Xu, Z.; Zhang, J.; Guan, C.; Luo, Z.B. Assessing alfalfa (Medicago sativa L.) tolerance to salinity at seedling stage and screening of the salinity tolerance traits. Plant Biol. 2021, 23, 664–674. [Google Scholar] [CrossRef] [PubMed]
- Chunthaburee, S.; Dongsansuk, A.; Sanitchon, J.; Pattanagul, W.; Theerakulpisut, P. Physiological and biochemical parameters for evaluation and clustering of rice cultivars differing in salt tolerance at seedling stage. Saudi J. Biol. Sci. 2016, 23, 467–477. [Google Scholar] [CrossRef]
- Khan, W.u.D.; Masarmi, A.G.; Solouki, M.; Fakheri, B.; Kalaji, H.M.; Mahgdingad, N.; Golkari, S.; Telesiński, A.; Lamlom, S.F.; Kociel, H.; et al. Comparing the salinity tolerance of twenty different wheat genotypes on the basis of their physiological and biochemical parameters under NaCl stress. PLoS ONE 2023, 18, e0282606. [Google Scholar] [CrossRef]
- Ibrahim, M.E.H.; Zhu, X.; Zhou, G.; Nimir, N.E.A. Comparison of Germination and Seedling Characteristics of Wheat Varieties from China and Sudan under Salt Stress. Agron. J. 2016, 108, 85–92. [Google Scholar] [CrossRef]
- Flowers, T.J.; Munns, R.; Colmer, T.D. Sodium chloride toxicity and the cellular basis of salt tolerance in halophytes. Ann. Bot. 2015, 115, 419–431. [Google Scholar] [CrossRef]
- Khajeh-Hosseini, M.; Powell, A.A.; Bingham, I.J. The interaction between salinity stress and seed vigour during germination of soyabean seeds. Seed Sci. Technol. 2003, 31, 715–725. [Google Scholar] [CrossRef]
- Hasanuzzaman, M.; Nahar, K.; Rahman, A.; Anee, T.I.; Alam, M.U.; Bhuiyan, T.F.; Oku, H.; Fujita, M. Approaches to Enhance Salt Stress Tolerance in Wheat. In Wheat Improvement, Management and Utilization; InTech: London, UK, 2017. [Google Scholar]
- Yang, Y.; Guo, Y. Elucidating the molecular mechanisms mediating plant salt-stress responses. New Phytol. 2017, 217, 523–539. [Google Scholar] [CrossRef]
- Xiao, F.; Zhou, H. Plant salt response: Perception, signaling, and tolerance. Front. Plant Sci. 2023, 13, 1053699. [Google Scholar] [CrossRef]
- Dabravolski, S.A.; Isayenkov, S.V. The regulation of plant cell wall organisation under salt stress. Front. Plant Sci. 2023, 14, 1118313. [Google Scholar] [CrossRef]
- Munns, R.; Tester, M. Mechanisms of Salinity Tolerance. Annu. Rev. Plant Biol. 2008, 59, 651–681. [Google Scholar] [CrossRef]
- Thornburg, T.E.; Liu, J.; Li, Q.; Xue, H.; Wang, G.; Li, L.; Fontana, J.E.; Davis, K.E.; Liu, W.; Zhang, B.; et al. Potassium Deficiency Significantly Affected Plant Growth and Development as Well as microRNA-Mediated Mechanism in Wheat (Triticum aestivum L.). Front. Plant Sci. 2020, 11, 1219. [Google Scholar] [CrossRef]
- Almodares, A.; Hadi, M.R.; Dosti, B. Effects of Salt Stress on Germination Percentage and Seedling Growth in Sweet Sorghum Cultivars. J. Biol. Sci. 2007, 7, 1492–1495. [Google Scholar] [CrossRef]
- Choudhary, A.; Kaur, N.; Sharma, A.; Kumar, A. Evaluation and screening of elite wheat germplasm for salinity stress at the seedling phase. Physiol. Plant. 2021, 173, 2207–2215. [Google Scholar] [CrossRef] [PubMed]
- Gyanagoudar, H.S.; Hatiya, S.T.; Guhey, A.; Dharmappa, P.M.; Seetharamaiah, S.K. A comprehensive approach for evaluating salinity stress tolerance in brinjal (Solanum melongena L.) germplasm using membership function value. Physiol. Plant. 2024, 176, e14239. [Google Scholar] [CrossRef] [PubMed]
- Zhang, M.-X.; Bai, R.; Nan, M.; Ren, W.; Wang, C.-M.; Shabala, S.; Zhang, J.-L. Evaluation of salt tolerance of oat cultivars and the mechanism of adaptation to salinity. J. Plant Physiol. 2022, 273, 153708. [Google Scholar] [CrossRef] [PubMed]
- Baksh, S.K.Y.; Donde, R.; Kumar, J.; Mukherjee, M.; Meher, J.; Behera, L.; Dash, S.K. Genetic relationship, population structure analysis and pheno-molecular characterization of rice (Oryza sativa L.) cultivars for bacterial leaf blight resistance and submergence tolerance using trait specific STS markers. Physiol. Mol. Biol. Plants 2021, 27, 543–562. [Google Scholar] [CrossRef] [PubMed]





| Index | Regression Equation | R2 | LC50/(mmol/L) |
|---|---|---|---|
| KCl | |||
| SL | y = 218.132 ± 34.732 − 218.260x ± 144.831 + 36.387x2 ± 115.425 | 0.917 | 118.10 |
| TRN | y = 1587.202 ± 579.958 − 3693.301x ± 1466.424 + 2141.352x2 ± 888.346 | 0.726 | 275.89 |
| FW | y = 200.563 ± 32.198 − 100.245x ± 182.977 − 89.288x2 ± 185.429 | 0.891 | 128.11 |
| SVI | y = 214.890 ± 32.323 − 213.755x ± 135.743 + 34.363x2 ± 109.291 | 0.922 | 116.60 |
| Average value | 159.66 | ||
| NaCl | |||
| SL | y = 206.387 ± 13.373 − 176.710x ± 61.555 − 14.173x2 ± 54.926 | 0.985 | 114.49 |
| TRN | y = 330.617 ± 242.859 − 313.007x ± 720.114 + 32.453x2 ± 467.015 | 0.823 | 182.23 |
| FW | y = 200.398 ± 8.469 − 84.751x ± 40.513 − 110.456x2 ± 39.623 | 0.992 | 130.41 |
| SVI | y = 203.845 ± 12.740 − 170.025x ± 59.022 − 18.321x2 ± 53.298 | 0.985 | 114.25 |
| Average value | 135.35 | ||
| MgSO4 | |||
| SL | y = 198.287 ± 32.417 − 379.860x ± 164.430 + 188.404x2 ± 153.641 | 0.910 | 55.46 |
| TRN | y = 355.689 ± 24.361 − 830.247x ± 85.372 + 475.074x2 ± 68.019 | 0.987 | 59.33 |
| FW | y = 150.294 ± 29.070 − 270.276x ± 149.038 + 118.688x2 ± 158.430 | 0.821 | 44.83 |
| SVI | y = 179.834 ± 20.426 − 348.070x ± 107.940 + 175.883x2 ± 106.151 | 0.941 | 49.80 |
| Average value | 52.36 | ||
| MgCl2 | |||
| SL | y = 143.201 ± 32.842 − 392.220x ± 239.866 + 261.880x2 ± 238.541 | 0.762 | 12.56 |
| TRN | y = 191.536 ± 12.587 − 429.981x ± 54.762 + 239.881x2 ± 53.194 | 0.979 | 36.52 |
| FW | y = 116.524 ± 36.007 − 230.664x ± 261.667 + 116.158x2 ± 281.320 | 0.590 | 30.23 |
| SVI | y = 134.911 ± 33.290 − 346.370x ± 247.684 + 222.517x2 ± 250.715 | 0.723 | 17.36 |
| Average value | 32.92 | ||
| NaHCO3 | |||
| SL | y = 177.607 ± 22.310 − 439.111x ± 127.161 + 268.953x2 ± 112.348 | 0.927 | 25.29 |
| TRN | y = 199.096 ± 10.110 − 354.301x ± 47.242 + 166.607x2 ± 42.453 | 0.989 | 63.60 |
| FW | y = 149.835 ± 28.873 − 223.021x ± 171.417 + 75.491x2 ± 178.478 | 0.824 | 57.20 |
| SVI | y = 150.530 ± 29.454 − 313.444x ± 177.689 + 171.486x2 ± 163.963 | 0.819 | 36.70 |
| Average value | 45.70 | ||
| Na2SO4 | |||
| SL | y = 161.386 ± 26.901 − 364.975x ± 160.856 + 214.337x2 ± 158.989 | 0.870 | 32.48 |
| TRN | y = 200.672 ± 13.146 − 192.328x ± 54.738 + 10.966x2 ± 48.486 | 0.982 | 107.25 |
| FW | y = 149.713 ± 29.036 − 211.455x ± 182.471 + 65.942x2 ± 188.366 | 0.822 | 60.47 |
| SVI | y = 153.470 ± 28.713 − 355.800x ± 177.315 + 192.026x2 ± 177.531 | 0.836 | 23.58 |
| Average value | 55.95 |
| Index | KCl | NaCl | MgCl2 | NaHCO3 | Na2SO4 | MgSO4 | |
|---|---|---|---|---|---|---|---|
| F1 | F2 | ||||||
| GE | 0.993 | 0.959 | 0.936 | 0.931 | 0.964 | 0.864 | 0.495 |
| GR | 0.991 | 0.946 | 0.883 | 0.925 | 0.930 | 0.850 | 0.510 |
| TRN | 0.639 | 0.987 | 0.909 | 0.968 | 0.934 | 0.992 | 0.079 |
| RL | 0.936 | 0.888 | 0.923 | 0.853 | 0.970 | 0.856 | −0.400 |
| SL | 0.968 | 0.989 | 0.982 | 0.979 | 0.987 | 0.979 | −0.182 |
| SW | 0.995 | 0.995 | 0.954 | 0.995 | 0.990 | 0.938 | −0.127 |
| SPAD | 0.992 | 0.816 | 0.949 | 0.885 | 0.877 | 0.797 | −0.477 |
| FW | 0.999 | 0.998 | 0.951 | 0.996 | 0.991 | 0.957 | −0.223 |
| GI | 0.990 | 0.978 | 0.923 | 0.936 | 0.978 | 0.858 | 0.510 |
| SVI | 0.965 | 0.990 | 0.982 | 0.985 | 0.983 | 0.986 | −0.146 |
| Eigen value | 9.073 | 9.140 | 8.829 | 8.957 | 9.235 | 8.286 | 1.280 |
| Contribution (%) | 90.727 | 91.404 | 88.290 | 89.565 | 92.350 | 82.857 | 12.795 |
| Cumulative contribution (%) | 90.727 | 91.404 | 88.290 | 89.565 | 92.350 | 82.857 | 95.652 |
| Salt Treatment | Concentration (mmol/L) | GE | GR | TRN | RL | SL | SW | SPAD | FW | GI | SVI | Average | Rank |
|---|---|---|---|---|---|---|---|---|---|---|---|---|---|
| NaCl | 10 | 1.0000 | 1.0000 | 1.0000 | 1.0000 | 0.9072 | 0.9360 | 0.8889 | 1.0000 | 1.0000 | 0.9072 | 0.9639 | 1 |
| NaHCO3 | 10 | 1.0000 | 1.0000 | 0.8444 | 0.8561 | 0.9560 | 1.0000 | 1.0000 | 0.9145 | 0.9850 | 0.9560 | 0.9512 | 2 |
| CK | / | 1.0000 | 1.0000 | 0.8667 | 0.9159 | 0.8697 | 0.8240 | 0.9448 | 0.9892 | 0.9932 | 0.8697 | 0.9273 | 3 |
| KCl | 25 | 0.9889 | 1.0000 | 0.8000 | 0.6037 | 1.0000 | 0.9280 | 0.8938 | 0.9556 | 0.9981 | 1.0000 | 0.9168 | 4 |
| NaCl | 25 | 1.0000 | 1.0000 | 0.9111 | 0.7123 | 0.8488 | 0.9520 | 0.9400 | 0.9221 | 0.9662 | 0.8488 | 0.9101 | 5 |
| KCl | 50 | 0.9889 | 0.9889 | 0.8111 | 0.6645 | 0.9437 | 0.9920 | 0.8639 | 0.9470 | 0.9286 | 0.9332 | 0.9062 | 6 |
| Na2SO4 | 10 | 1.0000 | 1.0000 | 0.9667 | 0.6933 | 0.8080 | 0.8960 | 0.9398 | 0.9329 | 0.9850 | 0.8080 | 0.9030 | 7 |
| KCl | 10 | 0.9778 | 1.0000 | 0.5889 | 0.5233 | 0.9657 | 0.8880 | 0.8779 | 0.8366 | 0.9906 | 0.9657 | 0.8614 | 8 |
| NaCl | 50 | 0.9778 | 1.0000 | 0.9444 | 0.5185 | 0.7705 | 0.8880 | 0.8847 | 0.8030 | 0.8985 | 0.7705 | 0.8456 | 9 |
| MgSO4 | 10 | 0.9778 | 1.0000 | 0.5889 | 0.7215 | 0.7914 | 0.8960 | 0.9209 | 0.7738 | 0.9023 | 0.7914 | 0.8364 | 10 |
| MgCl2 | 10 | 0.9778 | 0.9889 | 0.5556 | 0.6183 | 0.8252 | 0.9760 | 0.8830 | 0.8019 | 0.8966 | 0.8160 | 0.8339 | 11 |
| Na2SO4 | 25 | 0.9556 | 1.0000 | 0.8444 | 0.5565 | 0.6488 | 0.8560 | 0.9354 | 0.8290 | 0.8722 | 0.6488 | 0.8147 | 12 |
| NaHCO3 | 25 | 0.9778 | 0.9778 | 0.8556 | 0.3094 | 0.7812 | 0.7360 | 0.9452 | 0.7630 | 0.9699 | 0.7639 | 0.8080 | 13 |
| KCl | 100 | 0.9111 | 0.9778 | 0.9444 | 0.3724 | 0.5903 | 0.8400 | 0.8067 | 0.7284 | 0.8748 | 0.5772 | 0.7623 | 14 |
| MgSO4 | 25 | 0.9444 | 0.9889 | 0.5000 | 0.3073 | 0.6579 | 0.7360 | 0.7217 | 0.5909 | 0.8765 | 0.6506 | 0.6974 | 15 |
| MgCl2 | 25 | 0.9667 | 0.9778 | 0.5000 | 0.2432 | 0.5635 | 0.7360 | 0.7748 | 0.5184 | 0.8703 | 0.5510 | 0.6702 | 16 |
| NaCl | 100 | 0.9556 | 1.0000 | 0.8444 | 0.3882 | 0.4799 | 0.6880 | 0.0000 | 0.6656 | 0.8872 | 0.4799 | 0.6389 | 17 |
| MgSO4 | 50 | 0.9556 | 0.9667 | 0.5000 | 0.1851 | 0.5067 | 0.7680 | 0.0000 | 0.5065 | 0.9192 | 0.4898 | 0.5798 | 18 |
| NaHCO3 | 50 | 0.9778 | 1.0000 | 0.5111 | 0.1107 | 0.3239 | 0.4800 | 0.0000 | 0.5292 | 0.9449 | 0.3239 | 0.5202 | 19 |
| Na2SO4 | 50 | 0.8667 | 0.9444 | 0.7444 | 0.2123 | 0.3249 | 0.4720 | 0.0000 | 0.5422 | 0.7692 | 0.3069 | 0.5183 | 20 |
| MgSO4 | 100 | 0.8222 | 0.8778 | 0.3333 | 0.0673 | 0.1475 | 0.0000 | 0.0000 | 0.0000 | 0.7620 | 0.1294 | 0.3140 | 21 |
| MgCl2 | 50 | 0.7111 | 0.8889 | 0.4333 | 0.0814 | 0.1276 | 0.0000 | 0.0000 | 0.0000 | 0.6942 | 0.1134 | 0.3050 | 22 |
| KCl | 200 | 0.1222 | 0.8222 | 0.5000 | 0.1384 | 0.0654 | 0.0000 | 0.0000 | 0.0000 | 0.3538 | 0.0538 | 0.2056 | 23 |
| NaCl | 200 | 0.0333 | 0.6667 | 0.3778 | 0.1107 | 0.0354 | 0.0000 | 0.0000 | 0.0000 | 0.2440 | 0.0236 | 0.1491 | 24 |
| Na2SO4 | 100 | 0.2000 | 0.4222 | 0.4778 | 0.0657 | 0.0472 | 0.0000 | 0.0000 | 0.0000 | 0.2184 | 0.0199 | 0.1451 | 25 |
| NaHCO3 | 100 | 0.0778 | 0.0778 | 0.2778 | 0.0282 | 0.1051 | 0.0000 | 0.0000 | 0.0000 | 0.0639 | 0.0082 | 0.0639 | 26 |
| MgSO4 | 200 | 0.0222 | 0.0222 | 0.1889 | 0.0250 | 0.0660 | 0.0000 | 0.0000 | 0.0000 | 0.0150 | 0.0015 | 0.0341 | 27 |
| MgCl2 | 100 | 0.0000 | 0.0000 | 0.1667 | 0.0152 | 0.0257 | 0.0000 | 0.0000 | 0.0000 | 0.0000 | 0.0000 | 0.0208 | 28 |
| Na2SO4 | 200 | 0.0000 | 0.0000 | 0.0000 | 0.0000 | 0.0000 | 0.0000 | 0.0000 | 0.0000 | 0.0000 | 0.0000 | 0.0000 | 29 |
| NaHCO3 | 200 | 0.0000 | 0.0000 | 0.0000 | 0.0000 | 0.0000 | 0.0000 | 0.0000 | 0.0000 | 0.0000 | 0.0000 | 0.0000 | 30 |
| MgCl2 | 200 | 0.0000 | 0.0000 | 0.0000 | 0.0000 | 0.0000 | 0.0000 | 0.0000 | 0.0000 | 0.0000 | 0.0000 | 0.0000 | 31 |
Disclaimer/Publisher’s Note: The statements, opinions and data contained in all publications are solely those of the individual author(s) and contributor(s) and not of MDPI and/or the editor(s). MDPI and/or the editor(s) disclaim responsibility for any injury to people or property resulting from any ideas, methods, instructions or products referred to in the content. |
© 2025 by the authors. Licensee MDPI, Basel, Switzerland. This article is an open access article distributed under the terms and conditions of the Creative Commons Attribution (CC BY) license.
Share and Cite
Wang, J.; Du, X.; Wang, Y.; Zhao, X.; Gu, Y.; Zhao, M.; Zheng, J.; Yu, X.; Yang, H.; Yin, Y.; et al. Differential Effects of Six Salt Types on Wheat (Triticum aestivum L.) Germination and Seedling Growth. Agriculture 2026, 16, 92. https://doi.org/10.3390/agriculture16010092
Wang J, Du X, Wang Y, Zhao X, Gu Y, Zhao M, Zheng J, Yu X, Yang H, Yin Y, et al. Differential Effects of Six Salt Types on Wheat (Triticum aestivum L.) Germination and Seedling Growth. Agriculture. 2026; 16(1):92. https://doi.org/10.3390/agriculture16010092
Chicago/Turabian StyleWang, Jiazheng, Xiaoyun Du, Yanbo Wang, Xuechen Zhao, Yujiao Gu, Ming Zhao, Jianpeng Zheng, Xiaoli Yu, Huaqing Yang, Yan Yin, and et al. 2026. "Differential Effects of Six Salt Types on Wheat (Triticum aestivum L.) Germination and Seedling Growth" Agriculture 16, no. 1: 92. https://doi.org/10.3390/agriculture16010092
APA StyleWang, J., Du, X., Wang, Y., Zhao, X., Gu, Y., Zhao, M., Zheng, J., Yu, X., Yang, H., Yin, Y., Zhang, L., Hao, X., Yu, T., & Sun, X. (2026). Differential Effects of Six Salt Types on Wheat (Triticum aestivum L.) Germination and Seedling Growth. Agriculture, 16(1), 92. https://doi.org/10.3390/agriculture16010092

