Selection of Candidate Bacteria for Microbial Enrichment of Soil Amendments to Manage Contaminants of Emerging Concern in Agricultural Soils
Abstract
1. Introduction
2. Materials and Methods
2.1. Bacterial Strains
2.2. Chemicals
2.3. Organic Amendments
2.4. Assay of Bacterial Strains’ Tolerance to CECs
2.5. Me-BIOSORs Community-Level Physiological Profiling
2.6. Statistical Analysis
3. Results
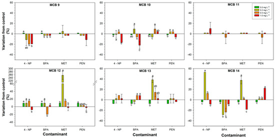
3.1. Isolated Strains and Their Tolerance to CECs
3.2. Metabolic Profile of Me-BIOSORs
4. Discussion
5. Conclusions
Author Contributions
Funding
Institutional Review Board Statement
Data Availability Statement
Acknowledgments
Conflicts of Interest
Abbreviations
| DG | Solid anaerobic digestate |
| CP | Digestate-derived compost |
| VC | Digestate-derived vermicompost |
| BC | Biochar |
| CECs | Contaminants of emerging concern |
| BPA | Bisphenol A |
| 4-NP | 4-Nonylphenol |
| PEN | Penconazole |
| MET | S-Metolachlor |
| CLPP | Community-Level Physiological Profiling |
| LBA | Luria–Bertani agar |
Appendix A
| Main Factor | p-Value |
|---|---|
| Bacterial strain (S) | <0.0001 *** |
| Contaminant (C) | <0.0001 *** |
| Dosage (D) | <0.0001 *** |
| S × C | <0.0001 *** |
| S × D | <0.0001 *** |
| C × D | <0.0001 *** |
| S × C × D | <0.0001 *** |
| Strains | Main Factor | ||
|---|---|---|---|
| Contaminant (C) | Dosage (D) | C × D | |
| MCB 1 | 0.1390 | 0.0146 | 0.1429 |
| MCB 2 | <0.0001 | 0.0057 | 0.0230 |
| MCB 3 | <0.0001 | <0.0001 | <0.0001 |
| MCB 4 | <0.0001 | <0.0001 | <0.0001 |
| MCB 5 | 0.0180 | <0.0001 | <0.0001 |
| MCB 6 | <0.0001 | 0.0009 | <0.0001 |
| MCB 7 | <0.0001 | 0.0001 | <0.0001 |
| MCB 8 | <0.0001 | 0.0234 | 0.0083 |
| MCB 9 | <0.0001 | 0.0057 | 0.0230 |
| MCB 10 | 0.0077 | <0.0001 | 0.0001 |
| MCB 11 | 0.3339 | 0.1344 | 0.7563 |
| MCB 12 | 0.0235 | <0.0001 | <0.0001 |
| MCB 13 | 0.0235 | 0.0029 | <0.0381 |
| MCB 14 | <0.0001 | <0.0001 | <0.0001 |
| PNC1 | <0.0001 | 0.4182 | 0.0230 |
| PNC2 | 0.0009 | <0.0001 | 0.0921 |
| PNC3 | 0.0047 | <0.0001 | 0.0183 |
| BL | 0.0872 | 0.3255 | 0.4850 |
| BS | 0.6260 | 0.3247 | 0.4875 |
| SP | 0.1759 | 0.0056 | 0.0535 |
| Main Factor | p-Value |
|---|---|
| Bacterial group (G) | 0.0032 ** |
| Contaminant (C) | 0.8152 ns |
| Dosage (D) | 0.0049 ** |
| G × C | 0.0020 ** |
| G × D | 0.0386 * |
| C × D | 0.2706 ns |
| G × C × D | 0.0005 *** |
| Main Factor | p-Value |
|---|---|
| Bacterial strain (S) | 0.0001 *** |
| Treatment (Tr) | <0.0001 *** |
| S × Tr | <0.0001 *** |





References
- Weil, R.R.; Brady, N.C. The Nature and Properties of Soils, 15th ed.; Global Edition; Pearson Education: Harlow, UK, 2017; ISBN 978-1-292-16223-2. [Google Scholar]
- Baldock, J.A.; Nelson, P.N. Soil organic matter. In Handbook of Soil Science; Sumner, M.E., Ed.; CRC Press: Boca Raton, FL, USA, 2000; pp. B25–B84. ISBN 0-8493-3136-6. [Google Scholar]
- Dick, W.A.; Gregorich, E.G. Developing and maintaining soil organic matter levels. In Managing Soil Quality: Challenges in Modern Agriculture; Schjønning, P., Elmholt, S., Christensen, B.T., Eds.; CABI Publishing: Oxon, UK, 2004; pp. 103–120. ISBN 0-85199-671-X. [Google Scholar]
- Liu, J.; Schulz, H.; Brandl, S.; Miehtke, H.; Huwe, B.; Glaser, B. Short-Term Effect of Biochar and Compost on Soil Fertility and Water Status of a Dystric Cambisol in NE Germany under Field Conditions. J. Plant Nutr. Soil Sci. 2012, 175, 698–707. [Google Scholar] [CrossRef]
- Adugna, G. A Review on Impact of Compost on Soil Properties, Water Use and Crop Productivity. Acad. Res. J. Agric. Sci. Res. 2016, 4, 93–104. [Google Scholar]
- Kabir, E.; Kim, K.-H.; Kwon, E.E. Biochar as a Tool for the Improvement of Soil and Environment. Front. Environ. Sci. 2023, 11, 1324533. [Google Scholar] [CrossRef]
- van Midden, C.; Harris, J.; Shaw, L.; Sizmur, T.; Pawlett, M. The Impact of Anaerobic Digestate on Soil Life: A Review. Appl. Soil Ecol. 2023, 191, 105066. [Google Scholar] [CrossRef]
- Ragályi, P.; Szécsy, O.; Uzinger, N.; Magyar, M.; Szabó, A.; Rékási, M. Factors Influencing the Impact of Anaerobic Digestates on Soil Properties. Soil Syst. 2025, 9, 78. [Google Scholar] [CrossRef]
- Boros-Lajszner, E.; Wyszkowska, J.; Kucharski, J. Biochar as a Stimulator of Zea mays Growth and Enzyme Activity in Soil Contaminated with Zinc, Copper, and Nickel. Agronomy 2025, 15, 1543. [Google Scholar] [CrossRef]
- Panuccio, M.R.; Romeo, F.; Mallamaci, C.; Muscolo, A. Digestate Application on Two Different Soils: Agricultural Benefit and Risk. Waste Biomass Valorization 2021, 12, 4341–4353. [Google Scholar] [CrossRef]
- Wang, N.; Bai, X.; Huang, D.; Chen, Q.; Shao, M.; Xu, Q. Impacts of Digestate-Based Compost on Soil Property and Nutrient Availability. Environ. Res. 2023, 234, 116551. [Google Scholar] [CrossRef] [PubMed]
- Sharma, P.; Tiong, Y.W.; Yan, M.; Lam, H.T.; Zhang, J.; Tong, Y.W. Plant Growth Enhancement under Combined Amendments of Food Waste Digestate and Rhizosphere Microbial Co-Occurrence. ACS Sustain. Resour. Manag. 2024, 1, 563–576. [Google Scholar] [CrossRef]
- Tiong, Y.W.; Sharma, P.; Xu, S.; Bu, J.; An, S.; Foo, J.B.L.; Wee, B.K.; Wang, Y.; Lee, J.T.E.; Zhang, J.; et al. Enhancing Sustainable Crop Cultivation: The Impact of Renewable Soil Amendments and Digestate Fertilizer on Crop Growth and Nutrient Composition. Environ. Pollut. 2024, 342, 123132. [Google Scholar] [CrossRef]
- Decorte, M.; Papa, G.; Pasteris, M.; Sever, L.; Gaffuri, C.; Cancian, G.; Bremond, U.; Flamin, C. Exploring Digestate’s Contribution to Healthy Soils; European Biogas Association: Brussels, Belgium, 2024; pp. 1–39. [Google Scholar]
- Lim, S.L.; Wu, T.Y.; Lim, P.N.; Shak, K.P.Y. The Use of Vermicompost in Organic Farming: Overview, Effects on Soil and Economics. J. Sci. Food Agric. 2015, 95, 1143–1156. [Google Scholar] [CrossRef]
- Ding, Y.; Liu, Y.; Liu, S.; Li, Z.; Tan, X.; Huang, X.; Zeng, G.; Zhou, L.; Zheng, B. Biochar to Improve Soil Fertility: A Review. Agron. Sustain. Dev. 2016, 36, 36. [Google Scholar] [CrossRef]
- Loffredo, E.; Parlavecchia, M.; Perri, G.; Gattullo, R. Comparative assessment of metribuzin sorption efficiency of biochar, hydrochar and vermicompost. J. Environ. Sci. Health—Part B Pestic. Food Contam. Agric. Wastes 2019, 54, 728–735. [Google Scholar] [CrossRef]
- Silva, V.; Mol, H.G.J.; Zomer, P.; Tienstra, M.; Ritsema, C.J.; Geissen, V. Pesticide Residues in European Agricultural Soils—A Hidden Reality Unfolded. Sci. Total Environ. 2019, 653, 1532–1545. [Google Scholar] [CrossRef]
- Parlavecchia, M.; Carnimeo, C.; Loffredo, E. Soil Amendment with Biochar, Hydrochar and Compost Mitigates the Accumulation of Emerging Pollutants in Rocket Salad Plants. Water Air Soil Pollut. 2020, 231, 554. [Google Scholar] [CrossRef]
- Kuppuraj, R.; Thilagavathy, D.; Natchimuthu, K. Microbial Enrichment of Vermicompost. ISRN Soil Sci. 2012, 2012, 946079. [Google Scholar] [CrossRef]
- Sánchez, Ó.J.; Ospina, D.A.; Montoya, S. Compost Supplementation with Nutrients and Microorganisms in Composting Process. Waste Manag. 2017, 69, 136–153. [Google Scholar] [CrossRef]
- Jonassen, K.R.; Ormåsen, I.; Duffner, C.; Hvidsten, T.R.; Bakken, L.R.; Vick, S.H.W. A Dual Enrichment Strategy Provides Soil- and Digestate-Competent Nitrous Oxide-Respiring Bacteria for Mitigating Climate Forcing in Agriculture. mBio 2022, 13, e00788-22. [Google Scholar] [CrossRef] [PubMed]
- Meena, V.S.; Meena, S.K.; Verma, J.P.; Kumar, A.; Aeron, A.; Mishra, P.K.; Bisht, J.K.; Pattanayak, A.; Naveed, M.; Dotaniya, M.L. Plant Beneficial Rhizospheric Microorganism (PBRM) Strategies to Improve Nutrients Use Efficiency: A Review. Ecol. Eng. 2017, 107, 8–32. [Google Scholar] [CrossRef]
- Singh, D.P.; Prabha, R.; Gupta, V.K. Microbial Inoculants for Sustainable Crop Management. In Microbial Interventions in Agriculture and Environment. Vol. 2 Rhizosphere, Microbiome and Agro-Ecology; Springer Nature: Singapore, 2019; pp. 1–35. [Google Scholar] [CrossRef]
- Vassileva, M.; Flor-Peregrin, E.; Malusá, E.; Vassilev, N. Towards Better Understanding of the Interactions and Efficient Application of Plant Beneficial Prebiotics, Probiotics, Postbiotics and Synbiotics. Front. Plant Sci. 2020, 11, 1068. [Google Scholar] [CrossRef] [PubMed]
- Pii, Y.; Mimmo, T.; Tomasi, N.; Terzano, R.; Cesco, S.; Crecchio, C. Microbial Interactions in the Rhizosphere: Beneficial Influences of Plant Growth-Promoting Rhizobacteria on Nutrient Acquisition Process. A Review. Biol. Fertil. Soils 2015, 51, 403–415. [Google Scholar] [CrossRef]
- Vassilev, N.; Vassileva, M.; Nikolaeva, I. Simultaneous P-Solubilizing and Biocontrol Activity of Microorganisms: Potentials and Future Trends. Appl. Microbiol. Biotechnol. 2006, 71, 137–144. [Google Scholar] [CrossRef]
- Vassileva, M.; Serrano, M.; Bravo, V.; Jurado, E.; Nikolaeva, I.; Martos, V.; Vassilev, N. Multifunctional Properties of Phosphate Solubilizing Microorganisms Grown on Agro-Industrial Wastes in Fermentation and Soil Conditions. Appl. Microbiol. Biotechnol. 2010, 85, 1287–1299. [Google Scholar] [CrossRef] [PubMed]
- Shilev, S.; Azaizeh, H.; Vassilev, N.; Georgiev, D.; Babrikova, I. Interactions in Soil-Microbe-Plant System: Adaptation to Stressed Agriculture. In Microbial Interventions in Agriculture and Environment; Singh, D., Gupta, V., Prabha, R., Eds.; Springer: Singapore, 2019; pp. 131–171. [Google Scholar] [CrossRef]
- Shilev, S.; Naydenov, M.; Sancho Prieto, M.; Vassilev, N.; Sancho, D.E. PGPR as Inoculants in Management of Lands Contaminated with Trace Elements. In Bacteria in Agrobiology; Maheshwari, D.K., Ed.; Springer: New York, NY, USA; Berlin/Heidelberg, Germany, 2012; pp. 259–278. [Google Scholar] [CrossRef]
- Gomes, I.B.; Maillard, J.-Y.; Simões, L.C.; Simões, M. Emerging Contaminants Affect the Microbiome of Water Systems—Strategies for Their Mitigation. npj Clean Water 2020, 3, 39. [Google Scholar] [CrossRef]
- Nwankwo, C.E.I.; Okeke, E.S.; Umeoguaju, F.U.; Ejeromedoghene, O.; Adedipe, D.T.; Ezeorba, T.P.C. Addressing Emerging Contaminants in Agriculture Affecting Plant–soil Interaction: A Review on Bio-based and nano-enhanced Strategies for Soil Health and Global Food Security (GFS). Discov. Toxicol. 2025, 2, 4. [Google Scholar] [CrossRef]
- Wang, C.; Chen, L.; Xu, J.; Zhang, L.; Yang, X.; Zhang, X.; Zhang, C.; Gao, P.; Zhu, L. Environmental Behaviors and Toxic Mechanisms of Engineered Nanomaterials in Soil. Environ. Res. 2024, 242, 117820. [Google Scholar] [CrossRef]
- Premalatha, R.P.; Kumari, A. Contamination of arable soils with bisphenol A and phthalates along with their consequent impacts on the crops. In Emerging Contaminants Sustainable Agriculture and the Environment; Kumari, A., Rajput, V.D., Mandzhieva, S.S., Minkina, T., Van Hullebusch, E., Eds.; Elsevier Inc.: Amsterdam, The Netherlands, 2024; pp. 307–334. ISBN 978-0-443-18985-2. [Google Scholar]
- Arias, M.; Paradelo, M.; López, E.; Simal-Gándara, J. Influence of pH and Soil Copper on Adsorption of Metalaxyl and Penconazole by the Surface Layer of Vineyard Soils. J. Agric. Food Chem. 2006, 54, 8155–8162. [Google Scholar] [CrossRef]
- Li, Y.; Nie, J.; Zhang, J.; Xu, G.; Zhang, H.; Liu, M.; Gao, X.; Shah, B.S.A.; Yin, N. Chiral Fungicide Penconazole: Absolute Configuration, Bioactivity, Toxicity, and Stereoselective Degradation in Apples. Sci. Total Environ. 2022, 808, 152061. [Google Scholar] [CrossRef] [PubMed]
- Fernández-Fernández, V.; Ramil, M.; Rodríguez, I. Basic Micro-pollutants in Sludge from Municipal Wastewater Treatment Plants in the Northwest Spain: Occurrence and Risk Assessment of Sludge Disposal. Chemosphere 2023, 335, 139094. [Google Scholar] [CrossRef]
- Perdichizzi, S.; Mascolo, M.S.; Silingardi, P.; Morandi, E.; Rotondo, F.; Guerrini, A.; Prete, L.; Vaccari, M.; Colacci, A. Cancer-related Genes Transcriptionally Induced by the Fungicide Penconazole. Toxicol. Vitr. 2014, 28, 125–130. [Google Scholar] [CrossRef]
- Fernández-Triana, I.; Rubilar, O.; Parada, J.; Fincheira, P.; Benavides-Mendoza, A.; Durán, P.; Fernández-Baldon, M.; Seabra, A.B.; Tortella, G.R. Metal Nanoparticles and Pesticides under Global Climate Change: Assessing the Combined Effects of Multiple Abiotic Stressors on Soil Microbial Ecosystems. Sci. Total Environ. 2024, 942, 173494. [Google Scholar] [CrossRef]
- O’Connell, P.J.; Harms, C.T.; Allen, J.R. Metolachlor, S-Metolachlor and Their Role within Sustainable Weed-Management. Crop Prot. 1998, 13, 207–212. [Google Scholar] [CrossRef]
- Rice, P.J.; Anderson, T.A.; Coats, J.R. Degradation and Persistence of Metolachlor in Soil: Effect of Concentration, Soil Moisture, Soil Depth and Sterilization. Environ. Toxicol. Chem. 2002, 21, 2640–2648. [Google Scholar] [CrossRef]
- Oliveira Ribeiro Maia, L.; Armstrong, S.D.; Kladivko, E.J.; Young, B.G.; Johnson, W.G. Influence of Cover Crop Termination Strategies on Weed Suppression, Concentration of Residual Herbicides in the Soil, and Soybean Yield. Weed Sci. 2025, 73, e86. [Google Scholar] [CrossRef]
- Ou-Yang, K.; Feng, T.; Han, Y.; Li, G.; Li, J.; Ma, H. Bioaccumulation, Metabolism and Endocrine-reproductive Effects of Metolachlor and its S-enantiomer in Adult Zebrafish (Danio rerio). Sci. Total Environ. 2022, 802, 149826. [Google Scholar] [CrossRef]
- Amacker, N.; Mitchell, E.A.D.; Ferrari, B.J.D.; Chèvre, N. Development of a New Ecotoxicological Assay Using the Testate Amoeba Euglypha rotunda (Rhizaria; Euglyphida) and Assessment of the Impact of the Herbicide S-metolachlor. Chemosphere 2018, 201, 351–360. [Google Scholar] [CrossRef] [PubMed]
- Careghini, A.; Mastorgio, A.F.; Saponaro, S.; Sezenna, E. Bisphenol A, Nonylphenols, Benzophenones, and Benzotriazoles in Soils, Groundwater, Surface Water, Sediments, and Food: A Review. Environ. Sci. Pollut. Res. 2015, 22, 5711–5741. [Google Scholar] [CrossRef]
- Rochester, J.R. Bisphenol A and Human Health: A Review of the Literature. Reprod. Toxicol. 2013, 42, 132–155. [Google Scholar] [CrossRef] [PubMed]
- Weng, C.-Y.; Zhang, Y.-Y.; Zhu, F.-J.; Jia, S.-M.; Ma, W.-L. National Investigation of Bisphenols in the Surface Soil in China. Sci. Total Environ. 2024, 956, 177319. [Google Scholar] [CrossRef]
- Corrales, J.; Kristofco, L.A.; Steele, W.B.; Yates, B.S.; Breed, C.S.; Williams, E.S.; Brooks, B.W. Global Assessment of Bisphenol A in the Environment: Review and Analysis of Its Occurrence and Bioaccumulation. Dose-Response Int. J. 2015, 13, 15593258155983081559325815598308. [Google Scholar] [CrossRef]
- Cheng, Q.; Ma, J.; Yang, Y.; Lin, H. Nonylphenol in Agricultural Soil System: Sources, Effects, Fate, and Bioremediation Strategies. Curr. Opin. Environ. Sci. Health 2025, 45, 100616. [Google Scholar] [CrossRef]
- Olaniyan, L.W.B.; Okoh, O.O.; Mkwetshana, N.T.; Okoh, A.I. Environmental Water Pollution, Endocrine Interference and Ecotoxicity of 4-tert-Octylphenol: A Review. Rev. Environ. Contam. Toxicol. 2018, 248, 81–109. [Google Scholar] [CrossRef]
- Shah, B.A.; Malhotra, H.; Papade, S.E.; Dhamale, T.; Ingale, O.P.; Kasarlawar, S.T.; Phale, P.S. Microbial Degradation of Contaminants of Emerging Concern: Metabolic, Genetic and Omics Insights for Enhanced Bioremediation. Front. Bioeng. Biotechnol. 2023, 12, 1470522. [Google Scholar] [CrossRef]
- Turan, H.; Khalfaoui-Hassani, B.; Godino-Sanchez, A.; Naimah, Z.; Sebilo, M.; Guyoneaud, R.; Monperrus, M. Insights into Bacterial Resistance to Contaminants of Emerging Concerns and Their Biodegradation by Marine Bacteria. Emerg. Contam. 2024, 10, 100332. [Google Scholar] [CrossRef]
- Gomes, I.B. The Overlooked Interaction of Emerging Contaminants and Microbial Communities: A Threat to Ecosystems and Public Health. J. Appl. Microbiol. 2025, 136, lxaf064. [Google Scholar] [CrossRef] [PubMed]
- Singh, D.P.; Prabha, R.; Renu, S.; Sahu, P.K.; Singh, V. Agrowaste Bioconversion and Microbial Fortification Have Prospects for soil Health, Crop Productivity, and Eco-enterprising. Int. J. Recycl. Org. Waste Agric. 2019, 8, 457–472. [Google Scholar] [CrossRef]
- Goswami, L.; Gorai, P.S.; Mandal, N.C. Microbial fortification during vermicomposting: A brief review. In Recent Advancement in Microbial Biotechnology, Agricultural and Industrial Approach; Mandal, S.D., Passari, A.K., Eds.; Elsevier Academic Press: Amsterdam, The Netherlands, 2021; pp. 99–118. ISBN 978-0-12-822098-6. [Google Scholar]
- Ahmed, T.; Noman, M.; Qi, Y.; Shahid, M.; Hussain, S.; Masood, H.A.; Xu, L.; Ali, H.M.; Negm, S.; El-Kott, A.F.; et al. Fertilization of Microbial Composts: A Technology for Improving Stress Resilience in Plants. Plants 2023, 12, 3550. [Google Scholar] [CrossRef] [PubMed]
- Ciecierski, W.; Kardasz, H.; Szychowska, K.; Wilk, R. Microbiological Preparation for Mineralization of Cellulose-Containing Organic Matter, Preferably the Postharvest Wastes and Application of Microbiological Preparation in Cultivation of Plants. Patent n. PL230762B1, 31 December 2018. Available online: https://patents.google.com/patent/PL230762B1/en (accessed on 25 July 2025).
- Manfredini, A.; Malusà, E.; Canfora, L. Aptamer-based technology for detecting Bacillus subtilis in soil. Appl. Microbiol. Biotechnol. 2023, 107, 6963–6972. [Google Scholar] [CrossRef]
- Kurze, S.; Bahl, H.; Dahl, R.; Berg, G. Biological control of fungal strawberry diseases by Serratia plymuthica HRO-C48. Plant Dis. 2001, 85, 529–534. [Google Scholar] [CrossRef]
- Wita, A.; Białas, W.; Wilk, R.; Szychowska, K.; Czaczyk, K. The Influence of Temperature and Nitrogen Source on Cellulolytic Potential of Microbiota Isolated from Natural Environment. Pol. J. Microbiol. 2019, 68, 105–114. [Google Scholar] [CrossRef]
- Frankowski, J.; Lorito, M.; Scala, F.; Schmid, R.; Berg, G.; Bahl, H. Purification and Properties of Two Chitinolytic Enzymes of Serratia plymuthica HRO-C48. Arch. Microbiol. 2001, 176, 421–426. [Google Scholar] [CrossRef]
- Müller, H.; Berg, G. Impact of Formulation Procedures on the Effect of the Biocontrol agent Serratia plymuthica HRO-C48 on Verticillium Wilt in Oilseed Rape. BioControl 2008, 53, 905–916. [Google Scholar] [CrossRef]
- Loffredo, E.; Vona, D.; Porfido, C.; Giangregorio, M.M.; Gelsomino, A. Compositional and Structural Characterization of Bioenergy Digestate and its Aerobic Derivatives Compost and Vermicompost. J. Sust. Agric. Environ. 2024, 3, e70002. [Google Scholar] [CrossRef]
- Loffredo, E.; Denora, N.; Vona, D.; Gelsomino, A.; Porfido, C.; Colatorti, N. Wood gasification biochar as an effective biosorbent for the remediation of organic soil pollutants. Soil Syst. 2025, 9, 18. [Google Scholar] [CrossRef]
- Jan, M.; Xu, M.; Afzal, M.; Jin, W.; Islam, F.; Zhong, W.; Yue, Q.; Ahmed, W.; Wang, W. Synergistic Impacts of Bisphenol A and Elevated Temperatures on Oryza sativa Development and Rhizosphere Microbiome in Diverse Cultivars. Ecotoxic. Environ. Safe. 2025, 302, 118648. [Google Scholar] [CrossRef] [PubMed]
- Castronovo, L.M.; Calonico, C.; Ascrizzi, R.; Del Duca, S.; Delfino, V.; Chioccioli, S.; Vassallo, A.; Strozza, I.; De Leo, M.; Biffi, S.; et al. The Cultivable Bacterial Microbiota Associated to the Medicinal Plant Origanum vulgare L.: From Antibiotic Resistance to Growth-Inhibitory Properties. Front. Microbiol. 2020, 11, 862. [Google Scholar] [CrossRef]
- Cycoń, M.; Mrozik, A.; Piotrowska-Seget, Z. Bioaugmentation as a Strategy for the Remediation of Pesticide-Polluted Soil. Chemosphere 2017, 172, 52–71. [Google Scholar] [CrossRef]
- Kour, D.; Kaur, T.; Devi, R.; Yadav, A.; Singh, M.; Joshi, D.; Singh, J.; Suyal, D.C.; Kumar, A.; Rajput, V.D.; et al. Beneficial Microbiomes for Bioremediation of Diverse Contaminated Environments for Environmental Sustainability: Present Status and Future Challenges. Environ. Sci. Pollut. Res. 2021, 28, 24917–24939. [Google Scholar] [CrossRef]
- Aislabie, J.; Lloyd-Jones, G. A Review of Bacterial Degradation of Pesticides. Aust. J. Soil Res. 1995, 33, 925–942. [Google Scholar] [CrossRef]
- Villaverde, J.; Láiz, L.; Lara-Moreno, A.; González-Pimentel, J.L.; Morillo, E. Bioaugmentation of PAH-Contaminated Soils with Novel Specific Degrader Strains Isolated from a Contaminated Industrial Site: Effect of Hydroxypropyl-β-Cyclodextrin as PAH Bioavailability Enhancer. Front. Microbiol. 2019, 10, 2588. [Google Scholar] [CrossRef]
- Kang, J.-H.; Kondo, F. Bisphenol A Degradation by Bacteria Isolated from River Water. Arch. Environ. Contam. Toxicol. 2002, 43, 265–269. [Google Scholar] [CrossRef]
- Luong, T.T.; Nguyen, T.H.T.; Nguyen, T.D.; Le, V.T.; Pham, T.H.T.; Ho, T.-T.; Nguyen, N.-L. Degradation of Triazole Fungicides by Plant Growth-Promoting Bacteria from Contaminated Agricultural Soil. J. Microbiol. Biotechnol. 2024, 34, 56–64. [Google Scholar] [CrossRef]
- Sidari, R.; Pittarello, M.; Rodinò, M.T.; Panuccio, M.R.; Lo Verde, G.; Laudicina, V.A.; Gelsomino, A. Isolation and Selection of Cellulose-Chitosan Degrading Bacteria to Speed up the Mineralization of Bio-Based Mulch Films. Front. Microbiol. 2025, 16, 1597786. [Google Scholar] [CrossRef] [PubMed]
- Sasaki, M.; Maki, J.-I.; Oshiman, K.-I.; Matsumura, Y.; Tsuchido, T. Biodegradation of Bisphenol A by Cells and Cell Lysate from Sphingomonas sp. Strain AO1. Biodegradation 2005, 16, 449–459. [Google Scholar] [CrossRef] [PubMed]
- Wang, X.; Hou, X.; Liang, S.; Lu, Z.; Hou, Z.; Zhao, X.; Sun, F.; Zhang, H. Biodegradation of Fungicide Tebuconazole by Serratia marcescens Strain B1 and Its Application in Bioremediation of Contaminated Soil. Int. Biodeterior. Biodegrad. 2018, 127, 185–191. [Google Scholar] [CrossRef]
- Zhou, Y.; Wang, T.; Wang, L.; Wang, P.; Chen, F.; Bhatt, P.; Chen, S.; Cui, X.; Yang, Y.; Zhang, W. Microbes as Carbendazim Degraders: Opportunity and Challenge. Front. Microbiol. 2024, 15, 1424825. [Google Scholar] [CrossRef]
- Książek-Trela, P.; Leszek, P.; Szpyrka, E. The Impact of Novel Bacterial Strains and Their Consortium on Diflufenican Degradation in the Mineral Medium and Soil. Sci. Rep. 2025, 15, 18051. [Google Scholar] [CrossRef]
- Alatassi, G.; Baysal, Ö.; Silme, R.S.; Örnek, G.P.; Örnek, H.; Can, A. Pesticide Degradation Capacity of a Novel Strain Belonging to Serratia sarumanii with Its Genomic Profile. Biodegradation 2025, 36, 49. [Google Scholar] [CrossRef]
- De Vleesschauwer, D.; Höfte, M. Using Serratia plymuthica to Control Fungal Pathogens of Plants. Perspect. Agric. Vet. Sci. Nutr. Nat. Resour. 2007, 2, 046. [Google Scholar] [CrossRef]
- Li, Z.; Ma, J.; Li, J.; Chen, Y.; Xie, Z.; Tian, Y.; Su, X.; Tian, T.; Shen, T. A Biocontrol Strain of Serratia plymuthica MM Promotes Growth and Controls Fusarium Wilt in Watermelon. Agronomy 2023, 13, 2437. [Google Scholar] [CrossRef]
- Fahmy, M.A.; Salem, S.H.; Abd El-Fattah, H.I.; Akl, B.A.; Fayez, M.; Maher, M.; Aioub, A.A.A.; Sitohy, M. Insights into the Role of Hexa-bacterial Consortium for Bioremediation of Soil Contaminated with Chlorantraniliprole. Environ. Sci. Eur. 2024, 36, 197. [Google Scholar] [CrossRef]
- Shan, X.; Guo, H.; Ma, F.; Shan, Z. Enhanced Treatment of Synthetic Wastewater by Bioaugmentation with a Constructed Consortium. Chemosphere 2023, 338, 139520. [Google Scholar] [CrossRef]
- Imran, A.; Sardar, F.; Khaliq, Z.; Nawaz, M.S.; Shehzad, A.; Ahmad, M.; Yasmin, S.; Hakim, S.; Mirza, B.S.; Mubeen, F.; et al. Tailored Bioactive Compost from Agri-Waste Improves the Growth and Yield of Chili Pepper and Tomato. Front. Bioeng. Biotechnol. 2022, 9, 787764. [Google Scholar] [CrossRef]
- Visconti, D.; Ventorino, V.; Fagnano, M.; Woo, S.L.; Pepe, O.; Adamo, P.; Caporale, A.G.; Carrino, L.; Fiorentino, N. Compost and Microbial Biostimulant Applications Improve Plant Growth and Soil Biological Fertility of a Grass-based Phytostabilization System. Environ. Geochem. Health 2023, 45, 787–807. [Google Scholar] [CrossRef] [PubMed]
- Cao, X.; Cui, X.; Xie, M.; Zhao, R.; Xu, L.; Ni, S.; Cui, Z. Amendments and Bioaugmentation Enhanced phytoremediation and Micro-ecology for PAHs and Heavy Metals Co-contaminated Soils. J. Hazard. Mater. 2022, 426, 128096. [Google Scholar] [CrossRef] [PubMed]
- Cao, X.; Alabresm, A.; Chen, Y.P.; Decho, A.W.; Lead, J. Improved Metal Remediation Using a Combined Bacterial and Nanoscience Approach. Sci. Total Environ. 2020, 704, 135378. [Google Scholar] [CrossRef] [PubMed]







| Compound | IUPAC Name | Molecular Formula | Chemical Structure | Molecular Weight (g mol−1) | Water Solubility (mg L−1) at 25 °C |
|---|---|---|---|---|---|
| Bisphenol A | 4,4′-(2,2-Propandiyl)diphenol | C15H16O2 | ![]() | 228.29 | 300 |
| 4-Nonylphenol | 4-Nonylphenol | C15H24O | ![]() | 220.35 | 0.1 |
| Penconazole | 1-[2-(2,4-dichlorophenyl)pentyl]-1,2,4-triazole | C13H15Cl2N3 | ![]() | 284.18 | 1.55 |
| S-Metolachlor | 2-Chloro-N-(2-ethyl-6-methylphenyl)-N-[(2S)-1-methoxy-2-propanyl]acetamide | C15H22ClNO2 | ![]() | 283.80 | 50.86 |
| Characteristic | DG a | CP a | VC a | BC b |
|---|---|---|---|---|
| Moisture (%) c | 12.19 ± 1.13 | 17.16 ± 0.42 | 14.12 ± 0.62 | 4.56 ± 0.08 |
| pH d | 7.94 ± 0.01 | 7.89 ± 0.06 | 7.85 ± 0.12 | 9.08 ± 0.05 |
| EC d (dS m−1 at 25 °C) | 2.12 ± 0.03 | 1.17 ± 0.01 | 0.99 ± 0.01 | 0.89 ± 0.01 |
| Ash (%) e | 12.07 ± 0.28 | 10.31 ± 0.01 | 16.56 ± 0.89 | 7.80 ± 0.26 |
| WHC (%) | 41.80 ± 0.9 | 41.60 ± 0.4 | 40.00 ± 0.8 | 35.80 ± 1.3 |
| Corg (g kg−1) e | 447.0 ± 2.5 | 452.40 ± 4.4 | 425.20 ± 7.4 | 771.30 ± 0.8 |
| Nt (g kg−1) e | 24.50 ± 0.4 | 19.70 ± 0.4 | 24.80 ± 0.4 | 6.00 ± 0.1 |
| C/N | 18.30 ± 0.4 | 23.00 ± 0.4 | 17.10 ± 0.4 | 128.60 ± 1.6 |
| CEC (cmol kg−1) | 33.90 ± 1.7 | 36.90 ± 1.8 | 31.70 ± 1.6 | 10.80 ± 0.6 |
| Strains | CECs Mixture | |
|---|---|---|
| 0 mg L−1 | 1 mg L−1 | |
| MCB 1 | −2.01 ± 0.57 | −1.96 ± 0.32 |
| MCB 2 | −4.07 ± 0.84 b | 20.00 ± 1.24 a |
| MCB 3 | −13.01 ± 4.25 | −12.37 ± 7.29 |
| MCB 4 | −5.32 ± 1.54 | −4.25 ± 0.15 |
| MCB 5 | −10.75 ± 4.21 b | 7.57 ± 0.02 a |
| MCB 6 | −7.37 ± 3.25 b | 5.26 ± 0.18 a |
| MCB 7 | −15.15 ± 7.21 | −9.09 ± 2.47 |
| MCB 8 | −6.67 ± 0.85 b | 22.22 ± 2.58 a |
| MCB 9 | 1.61 ± 1.22 a | −3.23 ± 0.35 b |
| MCB 10 | −2.08 ± 4.22 | −1.05 ± 7.36 |
| MCB 11 | 0.08 ± 1.89 | 1.70 ± 0.27 |
| MCB 12 | 9.22 ± 2.20 a | 3.44 ± 0.84 b |
| MCB 13 | −7.23 ± 2.25 | −3.61 ± 1.04 |
| MCB 14 | −4.08 ± 2.25 b | 22.44 ± 1.58 a |
| PNC1 | −5.47 ± 2.47 | −5.56 ± 7.85 |
| PNC2 | 0.04 ± 3.56 a | −40.00 ± 3.25 b |
| PNC3 | −38.60 ± 10.58 | −45.61 ± 7.44 |
| BL | 0.85 ± 5.20 b | 9.09 ± 0.84 a |
| BS | 5.26 ± 0.67 b | 15.78 ± 4.52 a |
| SP | 17.65 ± 8.52 a | 9.47 ± 2.58 b |
Disclaimer/Publisher’s Note: The statements, opinions and data contained in all publications are solely those of the individual author(s) and contributor(s) and not of MDPI and/or the editor(s). MDPI and/or the editor(s) disclaim responsibility for any injury to people or property resulting from any ideas, methods, instructions or products referred to in the content. |
© 2025 by the authors. Licensee MDPI, Basel, Switzerland. This article is an open access article distributed under the terms and conditions of the Creative Commons Attribution (CC BY) license (https://creativecommons.org/licenses/by/4.0/).
Share and Cite
Sidari, R.; Rodinò, M.T.; Scarpino, G.; Mocali, S.; Del Duca, S.; Loffredo, E.; Gelsomino, A. Selection of Candidate Bacteria for Microbial Enrichment of Soil Amendments to Manage Contaminants of Emerging Concern in Agricultural Soils. Agriculture 2025, 15, 2507. https://doi.org/10.3390/agriculture15232507
Sidari R, Rodinò MT, Scarpino G, Mocali S, Del Duca S, Loffredo E, Gelsomino A. Selection of Candidate Bacteria for Microbial Enrichment of Soil Amendments to Manage Contaminants of Emerging Concern in Agricultural Soils. Agriculture. 2025; 15(23):2507. https://doi.org/10.3390/agriculture15232507
Chicago/Turabian StyleSidari, Rossana, Maria Teresa Rodinò, Giulio Scarpino, Stefano Mocali, Sara Del Duca, Elisabetta Loffredo, and Antonio Gelsomino. 2025. "Selection of Candidate Bacteria for Microbial Enrichment of Soil Amendments to Manage Contaminants of Emerging Concern in Agricultural Soils" Agriculture 15, no. 23: 2507. https://doi.org/10.3390/agriculture15232507
APA StyleSidari, R., Rodinò, M. T., Scarpino, G., Mocali, S., Del Duca, S., Loffredo, E., & Gelsomino, A. (2025). Selection of Candidate Bacteria for Microbial Enrichment of Soil Amendments to Manage Contaminants of Emerging Concern in Agricultural Soils. Agriculture, 15(23), 2507. https://doi.org/10.3390/agriculture15232507





