Tray-Rotating Microwave Vacuum Drying of Scutellaria baicalensis Slices: Multivariate Links Between Bioactive Retention, Color, and Sensory Quality
Abstract
1. Introduction
2. Materials and Methods
2.1. Experimental Materials and Methods
2.2. Experimental Reagents
2.3. Experimental Equipment
2.4. Experimental Setup
2.5. Drying Kinetic Parameters
2.5.1. Moisture Content
2.5.2. Dry-Basis Moisture Content
2.5.3. Drying Rate
2.6. Effective Moisture Diffusion Coefficient
2.7. Specific Energy Consumption (SEC)
2.8. Color Difference
2.9. Texture and Chemical Properties
2.9.1. Hardness and Brittleness
2.9.2. pH Value
2.9.3. Turbidity
2.10. Chemical Quality
2.10.1. Determination of Total Phenolic Content
2.10.2. Total Flavonoid Content Determination
2.10.3. Antioxidant Activity Assay
2.10.4. Polysaccharide Content Determination
2.10.5. Active Constituents
2.11. Microscopic
2.12. Sensory Evaluation
2.13. Hierarchical Cluster Analysis and Correlation Network Analysis Heatmaps
2.14. Statistical Analysis
3. Results
3.1. Drying Characteristics
3.1.1. Effect of TMVD Drying at Different Temperatures on Drying Characteristics
3.1.2. Effect of TMVD Drying at Different Vacuum Levels on Drying Characteristics
3.1.3. Effect of TMVD Drying at Different Rotational Speeds on Drying Characteristics
3.2. Effective Moisture Diffusion Coefficient
3.3. Energy Consumption Ratio
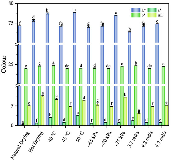
3.4. Color Difference
3.5. Physical and Chemical Properties
3.6. Total Phenols and Total Flavonoids
3.7. Polysaccharides and Antioxidant Properties
3.8. Analysis of Active Ingredient Content
3.9. Microstructure
3.10. Evaluation Results
3.11. Hierarchical Clustering Analysis and Correlation Network Analysis Heatmap
4. Conclusions and Discussion
Author Contributions
Funding
Institutional Review Board Statement
Informed Consent Statement
Data Availability Statement
Acknowledgments
Conflicts of Interest
References
- Xiang, L.; Gao, Y.; Chen, S.; Sun, J.; Wu, J.; Meng, X. Therapeutic potential of Scutellaria baicalensis Georgi in lung cancer therapy. Phytomedicine 2022, 95, 153727. [Google Scholar] [CrossRef] [PubMed]
- Jang, J.Y.; Im, E.; Kim, N.D. Therapeutic potential of bioactive components from Scutellaria baicalensis Georgi in inflammatory bowel disease and colorectal cancer: A review. Int. J. Mol. Sci. 2023, 24, 1954. [Google Scholar] [CrossRef]
- Liu, Y.; Gao, Z.; Zhao, Y.; Kong, L.J. Exploring bioactive constituents and pharmacological effects of Scutellaria baicalensis Georgi: A review. Nat. Prod. Commun. 2024, 19, 1934578X241266692. [Google Scholar] [CrossRef]
- Kılıç, T.; Paşa, C.; Gören, A.C. Medicinal use and chemical composition of Scutellaria baicalensis species. Rec. Agric. Food Chem. 2024, 4, 1–14. [Google Scholar] [CrossRef]
- Shimizu, T.; Shibuya, N.; Fujii, T.; Tago, M.; Narukawa, Y.; Tamura, H.; Kiuchi, F. Inhibition of prostaglandin E2 production by a combination of flavonoids from Scutellaria baicalensis. Planta Medica 2016, 82, 1295–1301. [Google Scholar] [CrossRef]
- Zhi, H.J.; Zhu, H.Y.; Zhang, Y.Y.; Lu, Y.; Li, H.; Chen, D.F. In vivo effect of quantified flavonoids-enriched extract of Scutellaria baicalensis root on acute lung injury induced by influenza A virus. Phytomedicine 2019, 57, 105–116. [Google Scholar] [CrossRef]
- Kao, T.T.; Wang, M.; Chen, Y.H.; Chung, Y.T.; Hwang, P.A. Propylene glycol improves stability of the anti-inflammatory compounds in Scutellaria baicalensis extract. Processes 2021, 9, 894. [Google Scholar] [CrossRef]
- Zhang, X.; Jiang, S.; Sun, T.; Zhi, W.; Ding, Z.; Qing, Z.; Zhang, H.; Li, Y.; Liu, Y. Post-harvest processing methods have critical roles on the contents of active metabolites and pharmacological effects of Astragali Radix. Front. Pharmacol. 2024, 15, 1489777. [Google Scholar] [CrossRef] [PubMed]
- Rai, R.; Rani, P.; Tripathy, P.P. Osmo-air drying of banana slices: Multivariate analysis, process optimization and product quality characterization. J. Food Sci. Technol. 2021, 58, 4379–4391. [Google Scholar] [CrossRef] [PubMed]
- Hu, L.Q.; Xiong, Y.; Wang, Y.Q.; Cao, L.J.; Zhen, Y.; Yang, M. Preliminary study on standardization of production and processing of Scutellaria baicalensis pieces. Zhongguo Zhong Yao Za Zhi 2019, 44, 3281–3286. [Google Scholar] [CrossRef]
- Zheng, L.J.; He, Y.; Zhang, J.H.; Wang, W.K.; Li, X.; Rao, X.Y.; Wang, F.; Luo, X.J. Isothermal adsorption, desorption and thermodynamic properties of Scutellaria baicalensis pieces. Zhongguo Zhong Yao Za Zhi 2016, 41, 830–837. [Google Scholar] [CrossRef] [PubMed]
- Song, M.; Sheng, X.; Zhang, J.; Liu, X.; Dai, Q.; Chen, Y.; Kang, A. Homeostatic regulation of the aryl hydrocarbon receptor-cytochrome P450 1a axis by Scutellaria baicalensis-Coptis chinensis herb pair and its main constituents. J. Ethnopharmacol. 2022, 297, 115545. [Google Scholar] [CrossRef]
- Ma, W.; Liu, T.; Ogaji, O.D.; Li, J.; Du, K.; Chang, Y. Recent advances in Scutellariae radix: A comprehensive review on ethnobotanical uses, processing, phytochemistry, pharmacological effects, quality control and influence factors of biosynthesis. Heliyon 2024, 10, e36146. [Google Scholar] [CrossRef]
- Liu, J.; Sandahl, M.; Sjöberg, P.J.; Charlotta, T. Pressurised hot water extraction in continuous flow mode for thermolabile compounds: Extraction of polyphenols in red onions. Anal. Bioanal. Chem. 2014, 406, 441–445. [Google Scholar] [CrossRef]
- Bai, C.; Yang, J.; Cao, B.; Xue, Y.; Gao, P.; Liang, H.; Li, G. Growth years and post-harvest processing methods have critical roles on the contents of medicinal active ingredients of Scutellaria baicalensis. Ind. Crops Prod. 2020, 158, 112985. [Google Scholar] [CrossRef]
- Wang, H.; Lan, Y.; Luo, L.; Xiao, Y.; Meng, X.; Zeng, Y.; Wu, J. The Scutellaria-Coptis herb couple and its active small-molecule ingredient wogonoside alleviate cytokine storm by regulating the CD39/NLRP3/GSDMD signaling pathway. J. Ethnopharmacol. 2024, 329, 118155. [Google Scholar] [CrossRef]
- Kalinke, I.; Kulozik, U. Enhancing microwave freeze drying: Exploring maximum drying temperature and power input for improved energy efficiency and uniformity. Food Bioprocess Technol. 2024, 17, 2587–2603. [Google Scholar] [CrossRef]
- Banerjee, B.B.; Janghu, S. Role of food microwave drying in hybrid drying technology. In Microwave Heating—Electromagnetic Fields Causing Thermal and Non-Thermal Effects; IntechOpen: London, UK, 2022. [Google Scholar] [CrossRef]
- Zhang, L.; Zhang, C.; Wei, Z.; Huang, W.; Yan, Z.; Luo, Z.; Beta, T.; Xu, X. Effects of four drying methods on the quality, antioxidant activity and anthocyanin components of blueberry pomace. Food Prod. Process. Nutr. 2023, 5, 35. [Google Scholar] [CrossRef]
- Li, Q.; Xia, L.; Wang, F.; Guo, S.; Zou, J.; Su, X.; Yu, P. Comparison of different drying methods on Chinese yam: Changes in physicochemical properties, bioactive components, antioxidant properties and microstructure. Int. J. Food Eng. 2020, 16, 20200009. [Google Scholar] [CrossRef]
- Zang, Z.; Huang, X.; He, C.; Zhang, Q.; Jiang, C.; Wan, F. Improving drying characteristics and physicochemical quality of Angelica sinensis by novel tray rotation microwave vacuum drying. Foods 2023, 12, 1202. [Google Scholar] [CrossRef]
- Wardhani, N.K.S.; Amanda, N.; Sari, A.R. Microwave vacuum drying on fruit: A review. In Proceedings of the 6th International Conference on Food, Agriculture, and Natural Resources (IC-FANRes 2021), Online, 4–5 August 2021; Atlantis Press: Dordrecht, The Netherlands, 2022; pp. 47–54. [Google Scholar] [CrossRef]
- Dash, K.K.; Shangpliang, H.; Raj, G.V.S.; Chakraborty, S.; Sahu, J.K. Influence of microwave vacuum drying process parameters on phytochemical properties of sohiong (Prunus nepalensis) fruit. J. Food Process. Preserv. 2021, 45, e15290. [Google Scholar] [CrossRef]
- Jiang, M.; Bai, X.; Sun, J.; Zhu, W. Implication of ultrasonic power and frequency for the ultrasonic vacuum drying of honey. Dry. Technol. 2020, 39, 668–680. [Google Scholar] [CrossRef]
- Gong, S.; Niu, Y.; Yuwen, C.; Liu, B. Microwave drying of Tricholoma matsutake: Dielectric properties, mechanism, and process optimization. Foods 2025, 14, 3054. [Google Scholar] [CrossRef]
- Wang, X.; Song, Z.; Ding, C. Study on the effect of ultrasonic and cold plasma non-thermal pretreatment combined with hot air on the drying characteristics and quality of yams. Foods 2025, 14, 2831. [Google Scholar] [CrossRef]
- Wu, S.; Wang, J.; Zhang, L.; Liu, S.; Li, C. Effects of osmotic dehydration on mass transfer of tender coconut kernel. Foods 2024, 13, 2188. [Google Scholar] [CrossRef]
- Llavata, B.; Collazos-Escobar, G.A.; García-Pérez, J.V.; Carcel, J.A. PEF pre-treatment and ultrasound-assisted drying at different temperatures as a stabilizing method for the up-cycling of kiwifruit: Effect on drying kinetics and final quality. Innov. Food Sci. Emerg. Technol. 2024, 92, 103591. [Google Scholar] [CrossRef]
- Chaudhary, N.K.; Thakur, S.; Budhathoki, S.; Baral, D. pH profile and acidity analysis of some Nepalese tea brands: Effects of tea type and temperature. Bibechana 2024, 21, 321–327. [Google Scholar] [CrossRef]
- Li, J.; Wan, F.; Huang, X.; Yang, X.; Zang, Z.; Xu, Y.; Wu, B.; Zhang, K.; Ma, G. Novel ultrasonic pretreatment for improving drying performance and physicochemical properties of licorice slices during radio frequency vacuum drying. Foods 2024, 13, 4071. [Google Scholar] [CrossRef] [PubMed]
- Zhang, L.; Zhang, X.; Liang, Z. Post-harvest processing methods have critical roles in the contents of active ingredients of Scutellaria baicalensis Georgi. Molecules 2022, 27, 8302. [Google Scholar] [CrossRef]
- Mendonça, K.S.; Corrêa, J.L.G.; Junqueira, J.R.J.; Carvalho, E.E.N.; Silveira, P.G.S.; Uemura, J.H.S. Peruvian carrot chips obtained by microwave and microwave-vacuum drying. LWT—Food Sci. Technol. 2023, 185, 115346. [Google Scholar] [CrossRef]
- Monteiro, R.L.; Link, J.V.; Tribuzi, G.; Carciofi, B.A.M.; Laurindo, J.B. Microwave vacuum drying and multi-flash drying of pumpkin slices. J. Food Eng. 2018, 232, 1–10. [Google Scholar] [CrossRef]
- Tauhiduzzaman, M.; Hafez, I.; Bousfield, D.W.; Tajvidi, M. Modeling microwave heating and drying of lignocellulosic foams through coupled electromagnetic and heat transfer analysis. Processes 2021, 9, 2001. [Google Scholar] [CrossRef]
- Fernandes, L.; Fernandes, J.R.; Nunes, F.M.; Tavares, P.B. Effect of drying temperature and storage time on the crispiness of homemade apple snacks. J. Sci. Food Agric. 2024, 104, 916–931. [Google Scholar] [CrossRef]
- Mandal, R.; Pratap-Singh, A. Microwave vacuum dehydration technology in food processing. In Innovative Food Processing Technologies: A Comprehensive Review; CRC Press: Boca Raton, FL, USA, 2021. [Google Scholar] [CrossRef]
- Siebert, T.; Zubér, M.; Engelhardt, S.; Baumbach, T.; Karbstein, H.P.; Gaukd, V. Visualization of crust formation during hot-air-drying via micro-CT. Dry. Technol. 2018, 37, 1881–1890. [Google Scholar] [CrossRef]
- Taşkın, O.; Polat, A.; İzli, N.; Asik, B.B. Intermittent microwave-vacuum drying effects on pears. Pol. J. Food Nutr. Sci. 2019, 69, 365–374. [Google Scholar] [CrossRef]
- Kisel, N.N.; Vaganova, A.A.; Savitskiy, A.N. Simulation modeling of grain heating by the energy of electromagnetic microwave field. Izvestiâ ÛFU. Tehničeskie Nauki 2020, 78–88. [Google Scholar] [CrossRef]
- Yang, X.; Ma, Z.; Wan, F.; Chen, A.; Zhang, W.; Xu, Y.; Zang, Z.; Huang, X. Different Pretreatment Methods to Strengthen the Microwave Vacuum Drying of Honeysuckle: Effects on the Moisture Migration and Physicochemical Quality. Foods 2024, 13, 3712. [Google Scholar] [CrossRef]
- Alaei, B.; Chayjan, R.A. Modelling of nectarine drying under near infrared—Vacuum conditions. Acta Sci. Pol. Technol. Aliment. 2015, 14, 15–27. [Google Scholar] [CrossRef]
- Gayvas, B.; Markovych, B.M.; Dmytruk, A.A.; Havran, M.; Dmytruk, V. The methods of optimization and regulation of the convective drying process of materials in drying installations. Math. Model. Comput. 2024, 11, 546–554. [Google Scholar] [CrossRef]
- Ligarda-Samanez, C.A.; Choque-Quispe, D.; Moscoso-Moscoso, E.; Palomino-Rincón, H. Nanoencapsulation of phenolic extracts from native potato clones (Solanum tuberosum spp. andigena) by spray drying. Molecules 2023, 28, 4961. [Google Scholar] [CrossRef]
- Niu, Z.; Zhao, Y.; Zhang, Q.; Zhao, Z.; Ge, D.; Zhou, J.; Xu, Y. Suppression of cracking in drying colloidal suspensions with chain-like particles. J. Chem. Phys. 2024, 160, 164904. [Google Scholar] [CrossRef] [PubMed]
- Koutra, C.; Routsi, E.; Stathopoulos, P.; Kalpoutzakis, E.; Humbert, M.; Maubert, O.; Skaltsounis, A.-L. A novel process for oleacein production from olive leaves using freeze drying methodology. Foods 2025, 14, 313. [Google Scholar] [CrossRef] [PubMed]
- Garland, N.; Gordon, R.; McElroy, C.R.; Parkin, A.; MacQuarrie, D. Optimising low temperature pyrolysis of mesoporous alginate-derived Starbon® for selective heavy metal adsorption. ChemSusChem 2024, 17, e202400015. [Google Scholar] [CrossRef] [PubMed]
- Zhang, L.; Chen, K.; He, L.; Peng, L. Reinforcement of the bio-gas conversion from pyrolysis of wheat straw by hot caustic pre-extraction. Biotechnol. Biofuels 2018, 11, 72. [Google Scholar] [CrossRef]
- Ma, Q.; Bi, J.; Yi, J.; Wu, X.; Li, X.; Zhao, Y. Stability of phenolic compounds and drying characteristics of apple peel as affected by three drying treatments. Food Sci. Hum. Wellness 2021, 10, 174–182. [Google Scholar] [CrossRef]
- García, L.M.; Ceccanti, C.; Negro, C.; Bellis, L.D.; Incrocci, L.; Pardossi, A.; Guidi, L. Effect of drying methods on phenolic compounds and antioxidant activity of Urtica dioica L. leaves. Horticulturae 2021, 7, 10. [Google Scholar] [CrossRef]
- Alsved, M.; Holm, S.; Christiansen, S.; Smidit, M.; Rosati, B.; Ling, M.; Boesen, T.; Finster, K.; Bilde, M.; Londahi, J.; et al. Effect of aerosolization and drying on the viability of Pseudomonas syringae cells. Front. Microbiol. 2018, 9, 3086. [Google Scholar] [CrossRef]
- Lin, X.; Xu, J.L.; Sun, D.W. Evaluating drying feature differences between ginger slices and splits during microwave-vacuum drying by hyperspectral imaging technique. Food Chem. 2020, 332, 127407. [Google Scholar] [CrossRef]












| Experiment Number | Deff (10−10 m2 s−1) | R2 |
|---|---|---|
| 40 °C/−70 kPa/4.2 rad/s | 2.87 | 0.9949 |
| 45 °C/−70 kPa/4.2 rad/s | 3.33 | 0.9983 |
| 50 °C/−70 kPa/4.2 rad/s | 3.78 | 0.9757 |
| 45 °C/−65 kPa/4.2 rad/s | 2.46 | 0.9809 |
| 45 °C/−70 kPa/4.2 rad/s | 3.33 | 0.9983 |
| 45 °C/−75 kPa/4.2 rad/s | 3.91 | 0.9959 |
| 45 °C/−70 kPa/3.7 rad/s | 3.12 | 0.9998 |
| 45 °C/−70 kPa/4.2 rad/s | 3.33 | 0.9983 |
| 45 °C/−70 kPa/4.7 rad/s | 3.76 | 0.9876 |
| Drying Conditions | Hardness (kgf) | Brittleness (mm) | pH | Turbidity (NTU) |
|---|---|---|---|---|
| Natural Drying | 1.99 ± 0.29 f | 1.49 ± 0.011 e | 6.35 ± 0.12 e | 25.8 ± 2.1 a |
| Hot Drying | 8.16 ± 0.68 a | 1.57 ± 0.017 d | 6.90 ± 0.07 bc | 16.5 ± 1.4 d |
| 40 °C/−70 kPa/4.2 rad/s | 4.48 ± 0.13 e | 1.51 ± 0.004 e | 6.70 ± 0.09 d | 14.8 ± 1.3 e |
| 45 °C/−70 kPa/4.2 rad/s | 4.59 ± 0.32 e | 1.82 ± 0.013 b | 6.82 ± 0.08 cd | 12.4 ± 1.2 f |
| 50 °C/−70 kPa/4.2 rad/s | 7.46 ± 0.18 ab | 1.76 ± 0.008 c | 7.15 ± 0.10 a | 18.6 ± 1.5 c |
| 45 °C/−65 kPa/4.2 rad/s | 6.05 ± 0.64 cd | 1.54 ± 0.015 e | 6.50 ± 0.09 e | 20.3 ± 1.7 b |
| 45 °C/−70 kPa/4.2 rad/s | 4.59 ± 0.32 e | 1.82 ± 0.013 b | 6.82 ± 0.08 cd | 12.4 ± 1.2 f |
| 45 °C/−75 kPa/4.2 rad/s | 6.88 ± 0.73 bc | 2.08 ± 0.037 a | 7.05 ± 0.11 ab | 13.9 ± 1.1 f |
| 45 °C/−70 kPa/3.7 rad/s | 5.14 ± 0.27 de | 1.05 ± 0.003 f | 6.78 ± 0.08 d | 15.2 ± 1.3 e |
| 45 °C/−70 kPa/4.2 rad/s | 4.59 ± 0.32 e | 1.82 ± 0.013 b | 6.82 ± 0.08 cd | 12.4 ± 1.2 f |
| 45 °C/−70 kPa/4.7 rad/s | 6.45 ± 0.03 bc | 0.98 ± 0.001 g | 6.80 ± 0.07 cd | 13.1 ± 1.0 f |
Disclaimer/Publisher’s Note: The statements, opinions and data contained in all publications are solely those of the individual author(s) and contributor(s) and not of MDPI and/or the editor(s). MDPI and/or the editor(s) disclaim responsibility for any injury to people or property resulting from any ideas, methods, instructions or products referred to in the content. |
© 2025 by the authors. Licensee MDPI, Basel, Switzerland. This article is an open access article distributed under the terms and conditions of the Creative Commons Attribution (CC BY) license (https://creativecommons.org/licenses/by/4.0/).
Share and Cite
Zhu, Z.; Ma, G.; Huang, X.; Wan, F.; Yang, X.; Wang, P.; Liu, Y.; Kang, C.; Zheng, Y.; Zang, Z. Tray-Rotating Microwave Vacuum Drying of Scutellaria baicalensis Slices: Multivariate Links Between Bioactive Retention, Color, and Sensory Quality. Agriculture 2025, 15, 2347. https://doi.org/10.3390/agriculture15222347
Zhu Z, Ma G, Huang X, Wan F, Yang X, Wang P, Liu Y, Kang C, Zheng Y, Zang Z. Tray-Rotating Microwave Vacuum Drying of Scutellaria baicalensis Slices: Multivariate Links Between Bioactive Retention, Color, and Sensory Quality. Agriculture. 2025; 15(22):2347. https://doi.org/10.3390/agriculture15222347
Chicago/Turabian StyleZhu, Zewen, Guojun Ma, Xiaopeng Huang, Fangxin Wan, Xiaoping Yang, Pan Wang, Ying Liu, Changsheng Kang, Yuqing Zheng, and Zepeng Zang. 2025. "Tray-Rotating Microwave Vacuum Drying of Scutellaria baicalensis Slices: Multivariate Links Between Bioactive Retention, Color, and Sensory Quality" Agriculture 15, no. 22: 2347. https://doi.org/10.3390/agriculture15222347
APA StyleZhu, Z., Ma, G., Huang, X., Wan, F., Yang, X., Wang, P., Liu, Y., Kang, C., Zheng, Y., & Zang, Z. (2025). Tray-Rotating Microwave Vacuum Drying of Scutellaria baicalensis Slices: Multivariate Links Between Bioactive Retention, Color, and Sensory Quality. Agriculture, 15(22), 2347. https://doi.org/10.3390/agriculture15222347

