Study on the Effects of Different Light Supply Modes on the Development and Extracellular Enzyme Activity of Ganoderma lucidum
Abstract
1. Introduction
2. Materials and Methods
2.1. Experimental Design
2.2. Sampling and Index Determination
2.3. Statistical Analysis
3. Results
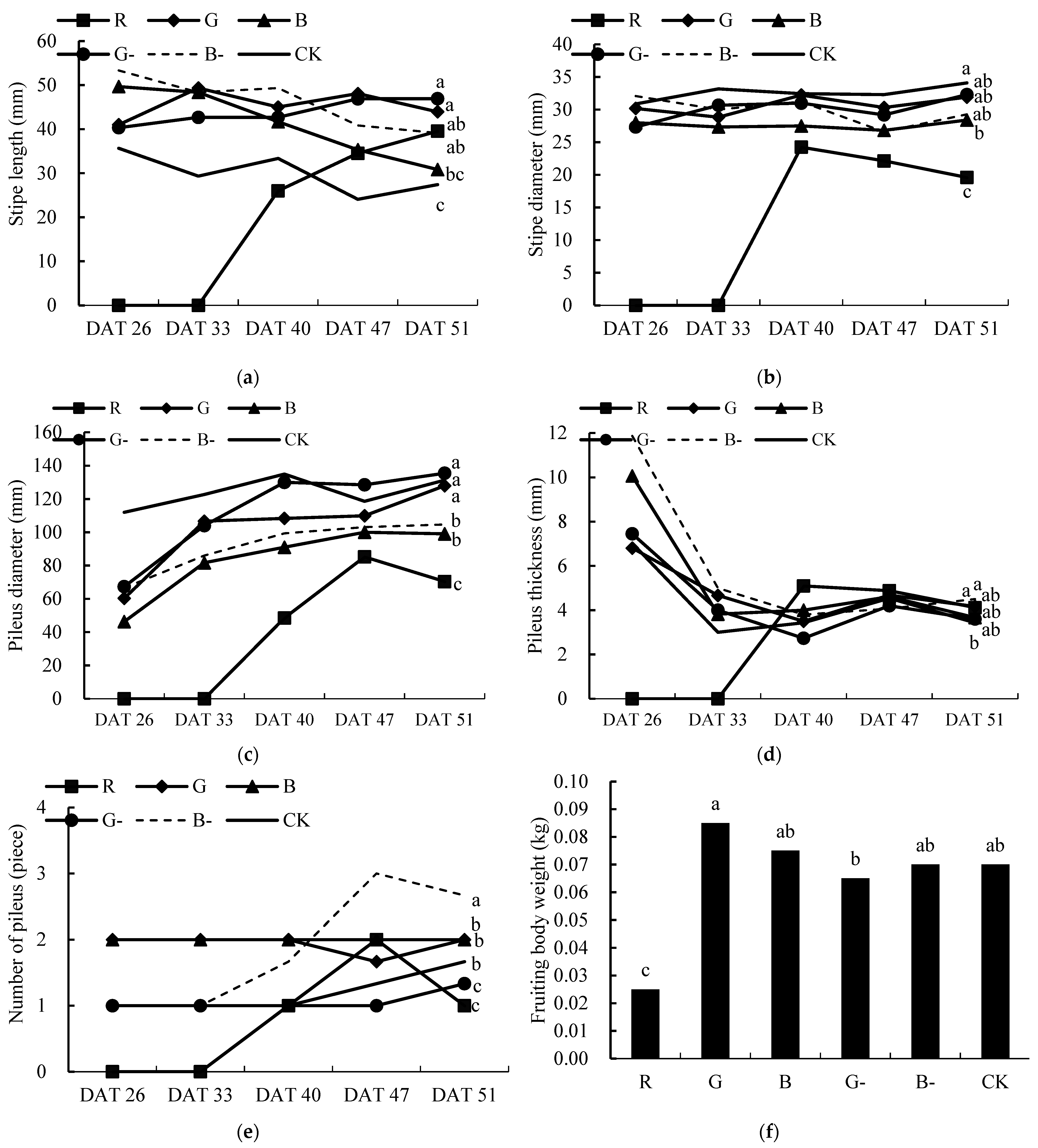
3.1. Effects of Different Light Supply Modes on the Characteristics of Ganoderma lucidum
3.2. Effects of Different Light Supply Modes on the Nutritional Quality of Ganoderma lucidum
3.3. Effects of Different Light Supply Modes on the Extracellular Enzyme Activity of Ganoderma lucidum
3.4. Correlation Analysis between Different Characteristics, Nutritional Quality, and Extracellular Enzymes Activity of Ganoderma lucidum
4. Discussion
5. Conclusions
Author Contributions
Funding
Institutional Review Board Statement
Data Availability Statement
Conflicts of Interest
References
- Xu, J.W.; Zhao, W.; Zhong, J.J. Biotechnological production and application of ganoderic acids. Appl. Microbiol. Biotechnol. 2010, 87, 457–466. [Google Scholar] [CrossRef] [PubMed]
- Liu, G.Q.; Zhang, K.C. Mechanisms of the Anticancer Action of Ganoderma lucidum (Leyss. ex Fr.) Karst.: A New Understanding. J. Integr. Plant Biol. 2005, 47, 129–135. [Google Scholar] [CrossRef]
- Schwerdtfeger, C.; Linden, H. VIVID is a flavoprotein and serves as a fungal blue light photoreceptor for photoadaptation. EMBO J. 2003, 22, 4846–4855. [Google Scholar] [CrossRef] [PubMed]
- Tisch, D.; Schmoll, M. Light regulation of metabolic pathways in fungi. Appl. Microbiol. Biotechnol. 2010, 85, 1259–1277. [Google Scholar] [CrossRef] [PubMed]
- Ye, D.; Du, F.; Hu, Q.; Zou, Y.; Bai, X. Transcriptome Analysis Reveals Candidate Genes Involved in Light-Induced Primordium Differentiation in Pleurotus eryngii. Int. J. Mol. Sci. 2022, 23, 435. [Google Scholar] [CrossRef] [PubMed]
- Janusz, G.; Sulej, J.; Jaszek, M.; Osińska-Jaroszuk, M. Effect of different wavelengths of light on laccase, cellobiose dehydrogenase, and proteases produced by Cerrena unicolor, Pycnoporus sanguineus and Phlebia lindtneri. Acta Biochim. Pol. 2016, 63, 223–228. [Google Scholar] [CrossRef] [PubMed]
- Kamada, T.; Sano, H.; Nakazawa, T.; Nakahori, K. Regulation of fruiting body photomorphogenesis in Coprinopsis cinerea. Fungal Genet. Biol. 2010, 47, 917–921. [Google Scholar] [CrossRef] [PubMed]
- Kuratani, M.; Tanaka, K.; Terashima, K.; Muraguchi, H.; Nakazawa, T.; Nakahori, K.; Kamada, T. The dst2 gene essential for photomorphogenesis of Coprinopsis cinerea encodes a protein with a putative FAD-binding-4 domain. Fungal Genet. Biol. 2010, 47, 152–158. [Google Scholar] [CrossRef] [PubMed]
- Wu, J.Y.; Chen, H.B.; Chen, M.J.; Kan, S.C.; Shieh, C.J.; Liu, Y.C. Quantitative analysis of LED effects on edible mushroom Pleurotus eryngiiin solid and submerged cultures. J. Chem. Technol. Biotechnol. 2013, 88, 1841–1846. [Google Scholar] [CrossRef]
- Dong, J.Z.; Lei, C.; Zheng, X.J.; Ai, X.L.; Wang, Y.; Wang, Q. Light Wavelengths regulate growth and active components of Cordyceps militaris fruit bodies. J. Food Biochem. 2013, 37, 578–584. [Google Scholar] [CrossRef]
- Jang, M.; Lee, Y. The suitable mixed LED and light intensity for cultivation of oyster mushroom. J. Mushrooms 2014, 12, 258–262. [Google Scholar] [CrossRef]
- Miyake, T.; Mori, A.; Kii, T.; Okuno, T.; Usui, Y.; Sato, F.; Sammoto, H.; Watanabe, A.; Kariyama, M. Light effects on cell development and secondary metabolism in Monascus. J. Ind. Microbiol. Biotechnol. 2005, 32, 103–108. [Google Scholar] [CrossRef] [PubMed]
- Rodríguez-Romero, J.; Corrochano, L.M. Regulation by blue light and heat shock of gene transcription in the fungus Phycomyces: Proteins required for photoinduction and mechanism for adaptation to light. Mol. Microbiol. 2006, 61, 1049–1059. [Google Scholar] [CrossRef] [PubMed]
- Velmurugan, P.; Lee, Y.H.; Venil, C.K.; Lakshmanaperumalsamy, P.; Chae, J.C.; Oh, B.T. Effect of light on growth, intracellular and extracellular pigment production by five pigment-producing filamentous fungi in synthetic medium. J. Biosci. Bioeng. 2010, 109, 346–350. [Google Scholar] [CrossRef] [PubMed]
- Gupta, V.K.; Kubicek, C.P.; Berrin, J.G.; Wilson, D.W.; Couturier, M.; Berlin, A.; Filho, E.X.F.; Ezeji, T. Fungal Enzymes for Bio-Products from Sustainable and Waste Biomass. Trends Biochem. Sci. 2016, 41, 633–645. [Google Scholar] [CrossRef] [PubMed]
- Paramjeet, S.; Manasa, P.; Korrapati, N. Biofuels: Production of fungal-mediated ligninolytic enzymes and the modes of bioprocesses utilizing agro-based residues. Biocatal. Agric. Biotechnol. 2018, 14, 57–71. [Google Scholar] [CrossRef] [PubMed]
- Rabemanolontsoa, H.; Saka, S. Various pretreatments of lignocellulosics. Bioresour. Technol. 2016, 199, 83–91. [Google Scholar] [CrossRef] [PubMed]
- Shon, Y.H.; Nam, K.S. Antimutagenicity and induction of anticarcinogenic phase II enzymes by basidiomycetes. J. Ethnopharmacol. 2001, 77, 103–109. [Google Scholar] [CrossRef]
- Araújo, N.L.; Avelino, K.V.; Halabura, M.I.W.; Marim, R.A.; Kassem, A.S.S.; Linde, G.A.; Colauto, N.B.; do Valle, J.S. Use of green light to improve the production of lignocellulose-decay enzymes by Pleurotus spp. in liquid cultivation. Enzym. Microb. Technol. 2021, 149, 109860. [Google Scholar] [CrossRef]
- Zhang, W.; Tang, Y.J. A novel three-stage light irradiation strategy in the submerged fermentation of medicinal mushroom Ganoderma lucidum for the efficient production of ganoderic acid and Ganoderma polysaccharides. Biotechnol. Progr. 2008, 24, 1249–1261. [Google Scholar] [CrossRef]
- Tang, Y.J.; Zhong, J.J. Exopolysaccharide biosynthesis and related enzyme activities of the medicinal fungus, Ganoderma lucidum, grown on lactose in a bioreactor. Biotechnol. Lett. 2002, 24, 1023–1026. [Google Scholar] [CrossRef]
- Ye, L.Y.; Liu, S.R.; Xie, F.; Zhao, L.L.; Wu, X.P. Enhanced production of polysaccharides and triterpenoids in Ganoderma lucidum fruit bodies on induction with signal transduction during the fruiting stage. PLoS ONE 2018, 13, e0196287. [Google Scholar] [CrossRef] [PubMed]
- Löptien, J.; Vesting, S.; Dobler, S.; Mohammadi, S. Evaluating the efficacy of protein quantification methods on membrane proteins. bioRxiv 2024. preprint. [Google Scholar] [CrossRef]
- Zhu, P.L.; Zhang, J.; Li, S.Y.; Cui, X.G.; Yuan, S.J.; Wang, W.; Peng, C.; Zhou, J. Purification of total triterpenoids from fruiting body and spore powder of Ganoderma lucidum by Macroporous adsorption resins. Food Res. Dev. 2023, 44, 79–85. [Google Scholar]
- Chai, S.M.; Zhang, X.L.; Jia, Z.Y.; Xu, X.F.; Zhang, Y.F.; Wang, S.C.; Feng, Z.Y. Identification and characterization of a novel bifunctional cellulase/hemicellulase from a soil metagenomic library. Appl. Microbiol. Biotechnol. 2020, 104, 7563–7572. [Google Scholar] [CrossRef] [PubMed]
- Silva, E.M.; Milagres, A.M.F. Production of Extracellular Enzymes by Lentinula edodes Strains in Solid-State Fermentation on Lignocellulosic Biomass Sterilized by Physical and Chemical Methods. Curr. Microbiol. 2023, 80, 395. [Google Scholar] [CrossRef]
- Valle, J.S.; Vandenberghe, L.P.; Oliveira, A.C.; Tavares, M.F.; Linde, G.A.; Colauto, N.B.; Soccol, C.R. Effect of different compounds on the induction of laccase production by Agaricus blazei. Genet. Mol. Res. 2015, 14, 15882–15891. [Google Scholar] [CrossRef]
- Jin, J.; Kang, W.L.; Sheng, J.P.; Cheng, F.S.; Wang, Q.S.; Zhang, Y.X.; Zhang, G.P.; Sheng, L. Enzymological characteristics of lignin peroxidase (LiP) from Coriolus versicolor. Food Sci. 2010, 31, 224–227. [Google Scholar]
- Peng, H.; Li, R.; Li, F.L.; Zhai, L.; Zhang, X.H.; Xiao, Y.Z.; Gao, Y. Extensive hydrolysis of raw rice starch by a chimeric α-amylase engineered with α-amylase (AmyP) and a starch-binding domain from Cryptococcus sp. S-2. Appl. Microbiol. Biotechnol. 2018, 102, 743–750. [Google Scholar] [CrossRef]
- Arjona, D.; Aragón, C.; Aguilera, J.A.; Ramírez, L.; Pisabarro, A.G. Reproducible and controllable light induction of in vitro fruiting of the white-rot basidiomycete Pleurotus ostreatus. Mycol. Res. 2009, 113, 552–558. [Google Scholar] [CrossRef]
- Ellis, R.J.; Bragdon, G.A.; Schlosser, B.J. Properties of the blue light requirements for primordia initiation and basidiocarp maturation in Coprinus stercorarius. Mycol. Res. 1999, 103, 779–784. [Google Scholar] [CrossRef]
- Halabura, M.I.W.; Avelino, K.V.; Araújo, N.L.; Kassem, A.S.S.; Seixas, F.A.V.; Barros, L.; Fernandes, A.; Liberal, A.; Ivanov, M.; Soković, M.; et al. Light conditions affect the growth, chemical composition, antioxidant and antimicrobial activities of the white-rot fungus Lentinus crinitus mycelial biomass. Photochem. Photobiol. Sci. 2023, 22, 669–686. [Google Scholar] [CrossRef] [PubMed]
- Tang, L.H.; Jian, H.H.; Song, C.Y.; Bao, D.P.; Shang, X.D.; Wu, D.Q.; Tan, Q.; Zhang, X.H. Transcriptome analysis of candidate genes and signaling pathways associated with light-induced brown film formation in Lentinula edodes. Appl. Microbio. Biotechnol. 2013, 97, 4977–4989. [Google Scholar] [CrossRef] [PubMed]
- Kim, J.Y.; Kim, D.Y.; Park, Y.J.; Jang, M.J. Transcriptome analysis of the edible mushroom Lentinula edodes in response to blue light. PLoS ONE 2020, 15, e0230680. [Google Scholar] [CrossRef]
- Deshpande, N.; Wilkins, M.R.; Packer, N.; Nevalainen, H. Protein glycosylation pathways in filamentous fungi. Glycobiology 2008, 18, 626–637. [Google Scholar] [CrossRef] [PubMed]
- Zhang, X.; Dong, X.; Song, X.; Wang, F.; Dong, C. Photoperiodic Responses and Characterization of the Cmvvd Gene Encoding a Blue Light Photoreceptor from the Medicinal Caterpillar Fungus Cordyceps militaris (Ascomycetes). Int. J. Med. Mushrooms 2017, 19, 163–172. [Google Scholar] [CrossRef] [PubMed]
- Xie, C.L.; Gong, W.B.; Zhu, Z.H.; Yan, L.; Hu, Z.X.; Peng, Y.D. Comparative transcriptomics of Pleurotus eryngii reveals blue-light regulation of carbohydrate-active enzymes (CAZymes) expression at primordium differentiated into fruiting body stage. Genomic. 2018, 110, 201–209. [Google Scholar] [CrossRef]
- Ramírez, D.A.; Muñoz, S.V.; Atehortua, L.; Michel, F.C., Jr. Effects of different wavelengths of light on lignin peroxidase production by the white-rot fungi Phanerochaete chrysosporium grown in submerged cultures. Bioresour. Technol. 2010, 101, 9213–9220. [Google Scholar] [CrossRef]
- Gan, P.T.; Lim, Y.Y.; Ting, A.S.Y. Influence of light regulation on growth and enzyme production in rare endolichenic fungi. Folia Microbiol. 2023, 68, 741–755. [Google Scholar] [CrossRef]







| Treatment | Supplementary Lighting | Light Intensity (μmol·m−2·s−1) | ||||
|---|---|---|---|---|---|---|
| Red Light | Green Light | Blue Light | White Light | |||
| Continuous light | R | Continuous red light | 15 | 0 | 0 | 0 |
| G | Continuous green light | 0 | 15 | 0 | 0 | |
| B | Continuous blue light | 0 | 0 | 15 | 0 | |
| Intermittent light | R- | Intermittent red light, interval of 30 min | 15 | 0 | 0 | 0 |
| G- | Intermittent green light, interval of 30 min | 0 | 15 | 0 | 0 | |
| B- | Intermittent blue light, interval of 30 min | 0 | 0 | 15 | 0 | |
| CK | Continuous white light | 0 | 0 | 0 | 15 | |
Disclaimer/Publisher’s Note: The statements, opinions and data contained in all publications are solely those of the individual author(s) and contributor(s) and not of MDPI and/or the editor(s). MDPI and/or the editor(s) disclaim responsibility for any injury to people or property resulting from any ideas, methods, instructions or products referred to in the content. |
© 2024 by the authors. Licensee MDPI, Basel, Switzerland. This article is an open access article distributed under the terms and conditions of the Creative Commons Attribution (CC BY) license (https://creativecommons.org/licenses/by/4.0/).
Share and Cite
Liu, Y.; Luo, Y.; Guo, W.; Zhang, X.; Zheng, W.; Chen, X. Study on the Effects of Different Light Supply Modes on the Development and Extracellular Enzyme Activity of Ganoderma lucidum. Agriculture 2024, 14, 835. https://doi.org/10.3390/agriculture14060835
Liu Y, Luo Y, Guo W, Zhang X, Zheng W, Chen X. Study on the Effects of Different Light Supply Modes on the Development and Extracellular Enzyme Activity of Ganoderma lucidum. Agriculture. 2024; 14(6):835. https://doi.org/10.3390/agriculture14060835
Chicago/Turabian StyleLiu, Yihan, Yuan Luo, Wenzhong Guo, Xin Zhang, Wengang Zheng, and Xiaoli Chen. 2024. "Study on the Effects of Different Light Supply Modes on the Development and Extracellular Enzyme Activity of Ganoderma lucidum" Agriculture 14, no. 6: 835. https://doi.org/10.3390/agriculture14060835
APA StyleLiu, Y., Luo, Y., Guo, W., Zhang, X., Zheng, W., & Chen, X. (2024). Study on the Effects of Different Light Supply Modes on the Development and Extracellular Enzyme Activity of Ganoderma lucidum. Agriculture, 14(6), 835. https://doi.org/10.3390/agriculture14060835
