Litter Decomposition of Two Kiwifruit Cultivars (‘Jinkui’ and ‘Hort-16A’) with Different Litter Qualities in the Orchard Ecosystem
Abstract
:1. Introduction
2. Materials and Methods
2.1. Study Site and Species
2.2. Litter Decomposition Study
2.3. Data Analysis
3. Results
3.1. Decomposition Model and Rate
3.2. Dynamic Trend of Nutrients in the Decomposition Process
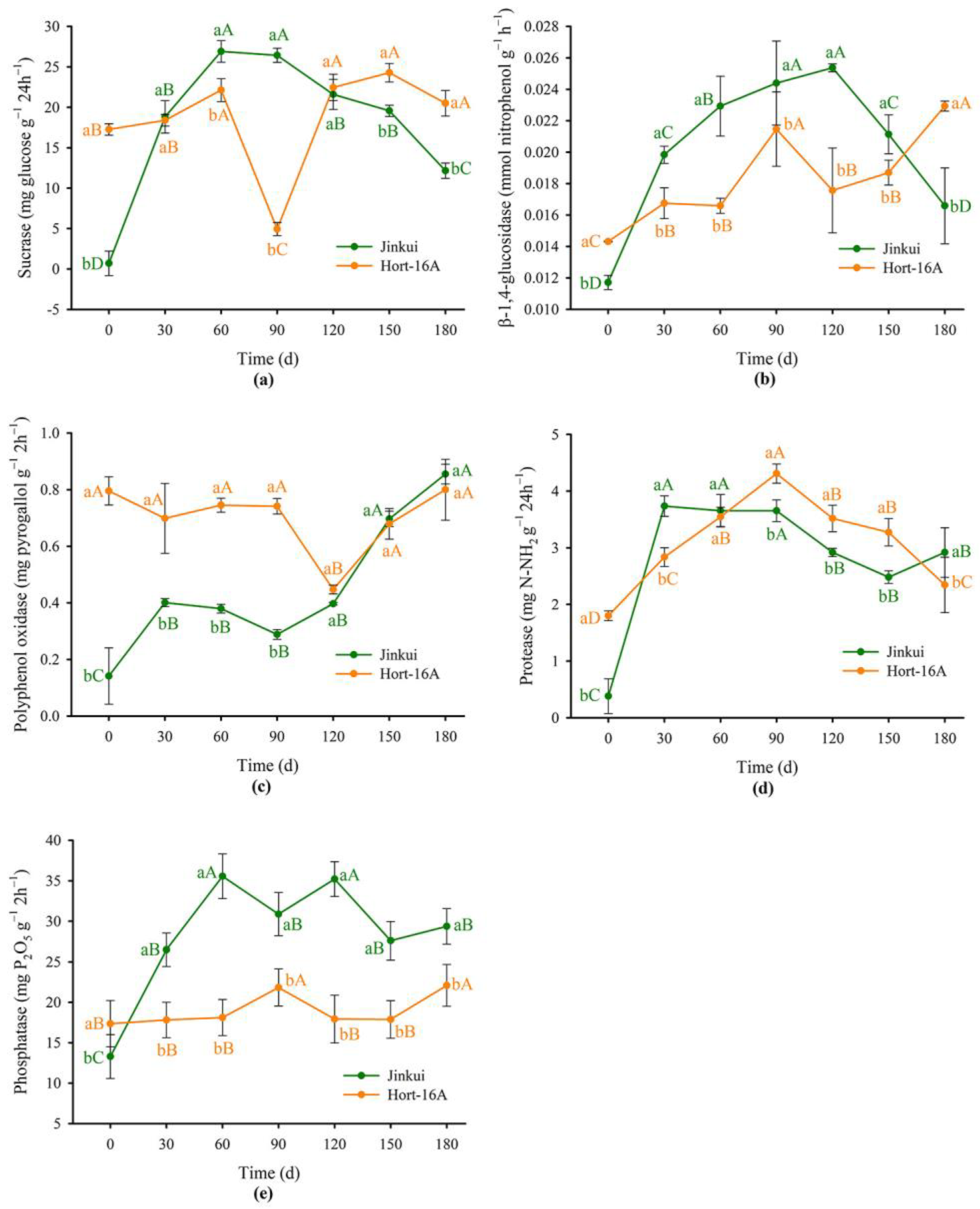
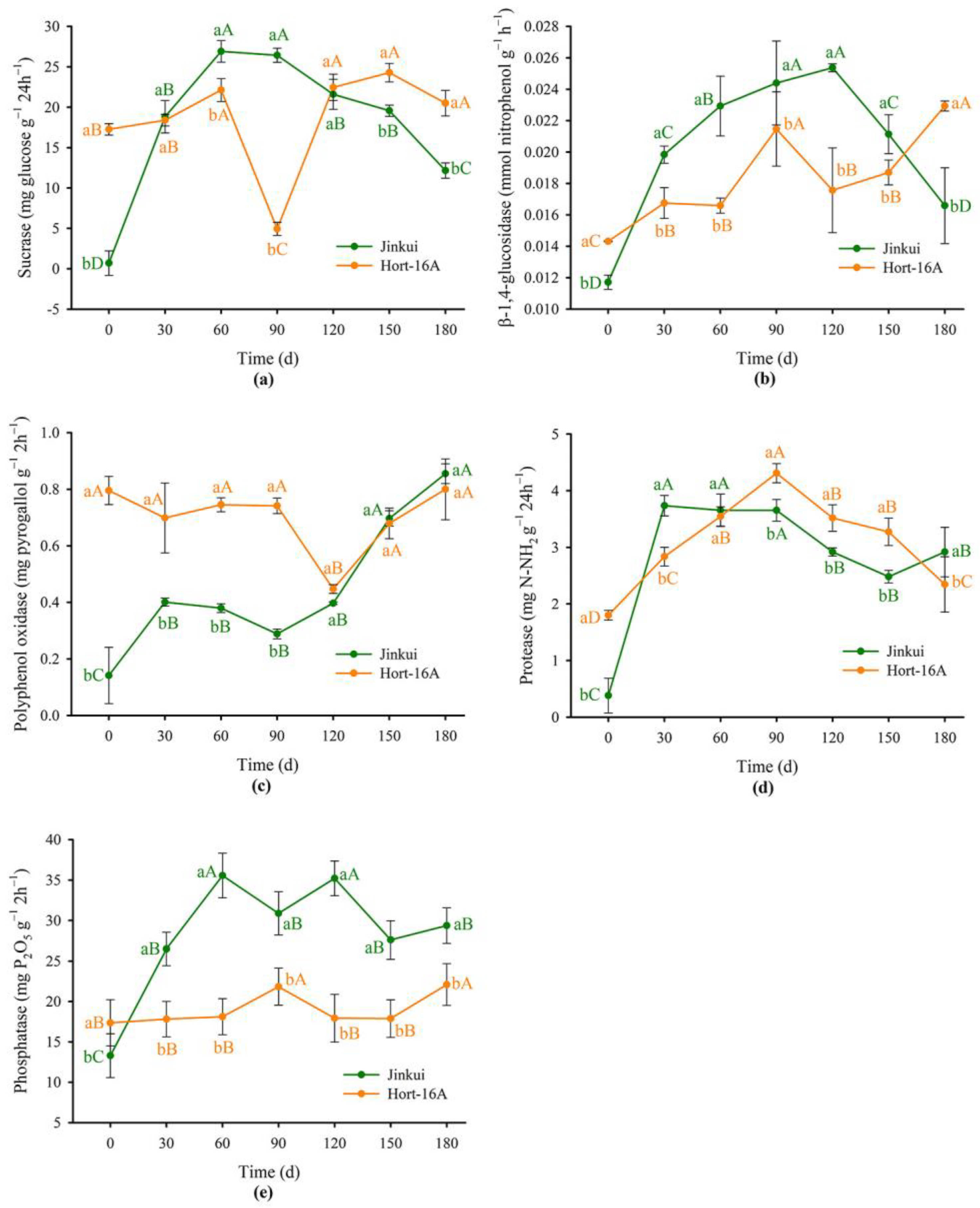
3.3. Dynamic Trend of Soil Enzyme Activity in the Decomposition Process
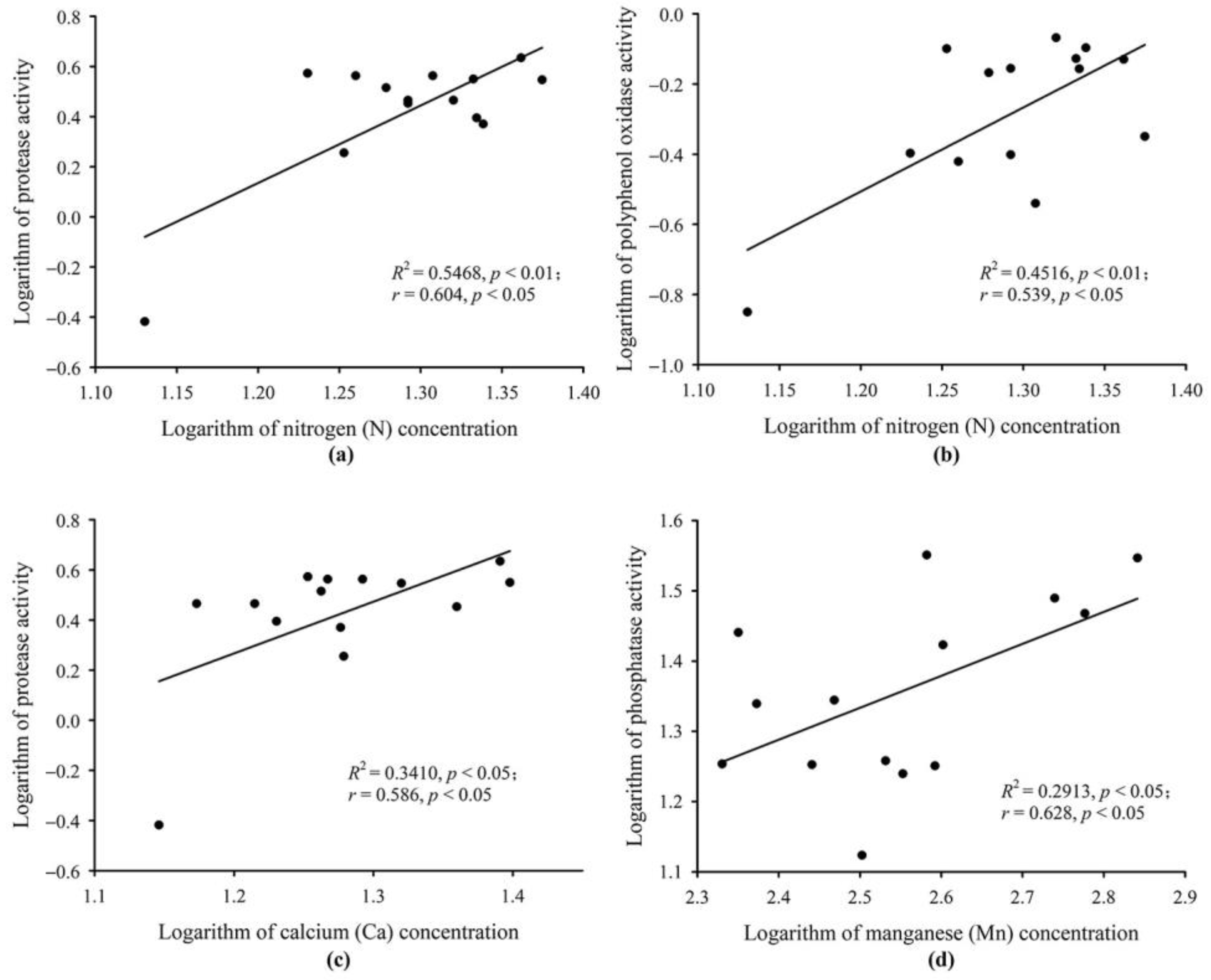
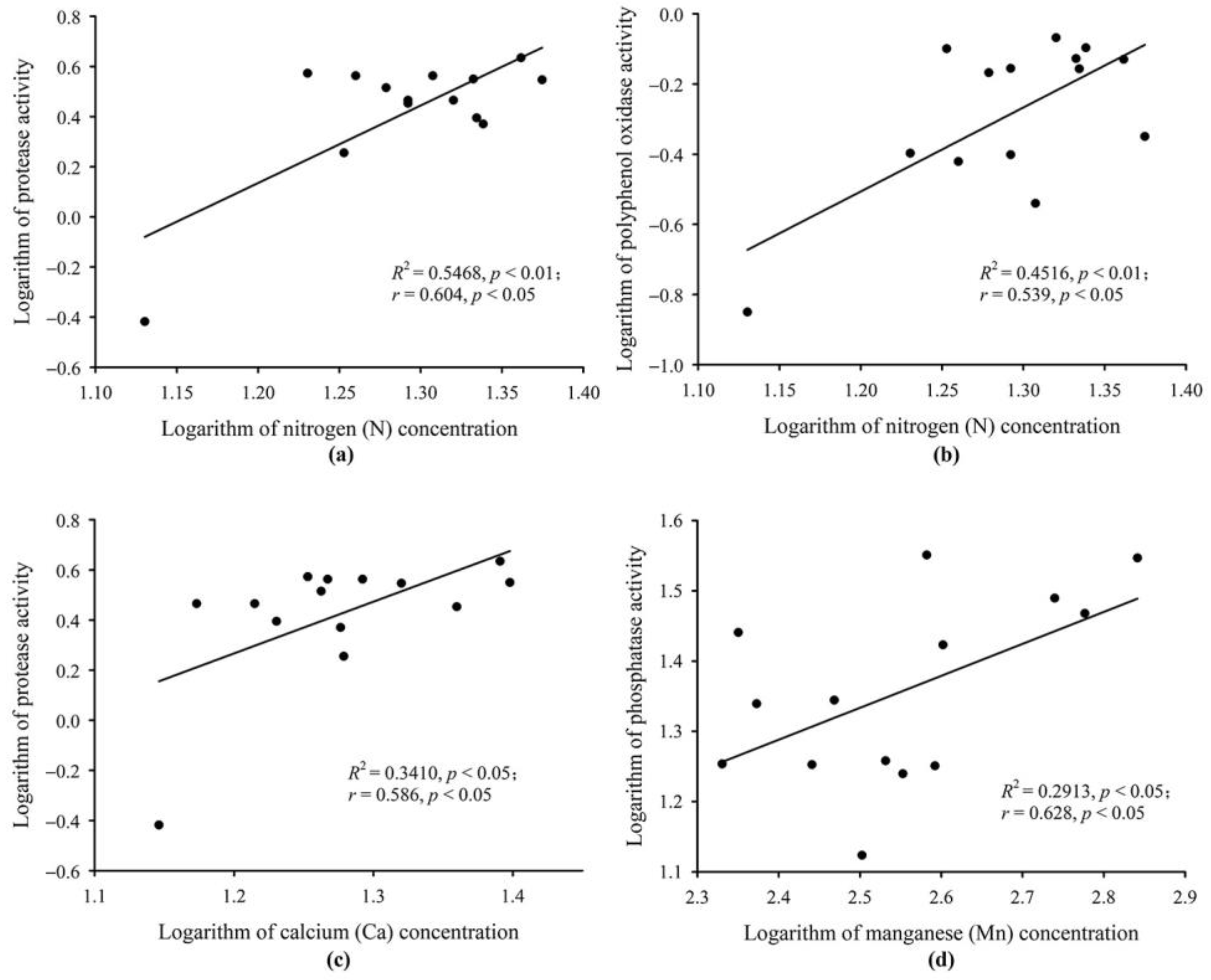
3.4. Relationship between Nutrient Concentration and Soil Enzyme Activity during Litter Decomposition
4. Discussion
4.1. Decomposition Rate and Litter Quality
4.2. Litter Quality and the Dynamics of Nutrients
4.3. Litter Quality and Soil Enzyme Activities
5. Conclusions
Supplementary Materials
Author Contributions
Funding
Institutional Review Board Statement
Data Availability Statement
Conflicts of Interest
References
- Wang, S.; Qiu, Y.; Zhu, F. Kiwifruit (Actinidia spp.): A review of chemical diversity and biological activities. Food Chem. 2021, 350, 128469. [Google Scholar] [CrossRef]
- Guo, J.; Yuan, Y.; Dou, P.; Yue, T. Multivariate statistical analysis of the polyphenolic constituents in kiwifruit juices to trace fruit varieties and geographical origins. Food Chem. 2017, 232, 552–559. [Google Scholar] [CrossRef]
- Tait, A.; Paul, V.; Sood, A.; Mowat, A. Potential impact of climate change on Hayward kiwifruit production viability in New Zealand. N. Z. J. Crop Hortic. Sci. 2018, 46, 175–197. [Google Scholar] [CrossRef]
- Ferguson, A.R. Chapter Two—Kiwifruit: The Wild and the Cultivated Plants. In Advances in Food and Nutrition Research; Boland, M., Moughan, P.J., Eds.; Academic Press: Cambridge, MA, USA, 2013; Volume 68, pp. 15–32. [Google Scholar]
- Huang, H.; Ferguson, A.R. Review: Kiwifruit in China. N. Z. J. Crop Hortic. Sci. 2001, 29, 1–14. [Google Scholar] [CrossRef]
- Richardson, A.C.; Boldingh, H.L.; McAtee, P.A.; Gunaseelan, K.; Luo, Z.; Atkinson, R.G.; David, K.M.; Burdon, J.N.; Schaffer, R.J. Fruit development of the diploid kiwifruit, Actinidia chinensis ‘Hort16A’. BMC Plant Biol. 2011, 11, 182. [Google Scholar] [CrossRef]
- Patterson, K.; Burdon, J.; Lallu, N. ‘HORT16A’ kiwifruit: Progress and issues with commercialisation. Acta Hortic. 2003, 610, 267–273. [Google Scholar] [CrossRef]
- Miller, S.A.; Broom, F.D.; Thorp, T.G.; Barnett, A.M. Effects of leader pruning on vine architecture, productivity and fruit quality in kiwifruit (Actinidia deliciosa cv. Hayward). Sci. Hortic. 2001, 91, 189–199. [Google Scholar] [CrossRef]
- Salinero, M.C.; Vela, P.; Sainz, M.J. Phenological growth stages of kiwifruit (Actinidia deliciosa ‘Hayward’). Sci. Hortic. 2009, 121, 27–31. [Google Scholar] [CrossRef]
- Germer, S.; Dongen, R.V.; Kern, J. Decomposition of cherry tree prunings and their short-term impact on soil quality. Appl. Soil Ecol. 2017, 117–118, 156–164. [Google Scholar] [CrossRef]
- Sofo, A.; Mininni, A.N.; Ricciuti, P. Comparing the effects of soil fauna on litter decomposition and organic matter turnover in sustainably and conventionally managed olive orchards. Geoderma 2020, 372, 114393. [Google Scholar] [CrossRef]
- Webber, S.M.; Bailey, A.P.; Huxley, T.; Potts, S.G.; Lukac, M. Traditional and cover crop-derived mulches enhance soil ecosystem services in apple orchards. Appl. Soil Ecol. 2022, 178, 104569. [Google Scholar]
- Liu, S.; Yang, R.; Peng, X.; Hou, C.; Ma, J.; Guo, J. Contributions of plant litter decomposition to soil nutrients in ecological tea gardens. Agriculture 2022, 12, 957. [Google Scholar] [CrossRef]
- Notaro, K.d.A.; Medeiros, E.V.d.; Duda, G.P.; Silva, A.O.; Moura, P.M.d. Agroforestry systems, nutrients in litter and microbial activity in soils cultivated with coffee at high altitude. Sci. Agric. 2014, 71, 87–95. [Google Scholar] [CrossRef]
- Aldana, J.P.; Rahman, M.; Conrado, P.; Cruz, A.I.; Arenas, O.R. Litter Decomposition Process in Coffee Agroforestry Systems. J. For. Environ. Sci. 2019, 35, 121–139. [Google Scholar] [CrossRef]
- Mathew, S.; Kumar, R.R.; Marichamy, M.; Kumar, P.M. Carbon sequestration in tea soil through burial of pruning and its impact on biomass production and soil characteristics. J. Plant. Crops 2012, 40, 125–131. [Google Scholar]
- Bhatnagar, J.M.; Peay, K.G.; Treseder, K.K. Litter chemistry influences decomposition through activity of specific microbial functional guilds. Ecol. Monogr. 2018, 88, 429–444. [Google Scholar] [CrossRef]
- Ågren, G.; Hyvönen, R.; Berglund, S.; Hobbie, S. Estimating the critical N: C from litter decomposition data and its relation to soil organic matter stoichiometry. Soil Biol. Biochem. 2013, 67, 312–318. [Google Scholar] [CrossRef]
- Talbot, J.M.; Treseder, K.K. Interactions among lignin, cellulose, and nitrogen drive litter chemistry–decay relationships. Ecology 2012, 93, 345–354. [Google Scholar] [CrossRef]
- Krishna, M.P.; Mohan, M. Litter decomposition in forest ecosystems: A review. Energy Ecol. Environ. 2017, 2, 236–249. [Google Scholar] [CrossRef]
- Spohn, M.; Berg, B. Import and release of nutrients during the first five years of plant litter decomposition. Soil Biol. Biochem. 2023, 176, 108878. [Google Scholar] [CrossRef]
- Tian, L.; Shi, W. Short-term effects of plant litter on the dynamics, amount, and stoichiometry of soil enzyme activity in agroecosystems. Eur. J. Soil Biol. 2014, 65, 23–29. [Google Scholar] [CrossRef]
- Mooshammer, M.; Wanek, W.; Zechmeister-Boltenstern, S.; Richter, A. Stoichiometric imbalances between terrestrial decomposer communities and their resources: Mechanisms and implications of microbial adaptations to their resources. Front. Microbiol. 2014, 5, 22. [Google Scholar] [CrossRef] [PubMed]
- Wickings, K.; Grandy, A.S.; Reed, S.C.; Cleveland, C.C. The origin of litter chemical complexity during decomposition. Ecol. Lett. 2012, 15, 1180–1188. [Google Scholar] [CrossRef] [PubMed]
- Trinsoutrot, I.; Recous, S.; Bentz, B.; Linères, M.; Chèneby, D.; Nicolardot, B. Biochemical quality of crop residues and carbon and nitrogen mineralization kinetics under nonlimiting nitrogen conditions. Soil Sci. Soc. Am. J. 2000, 64, 918–926. [Google Scholar] [CrossRef]
- Lu, Y.; Gao, Z.; Mao, J.; Chen, L.; Zhang, X.; Wang, X. Litter Decomposition Characteristics and Variety Differences in a Kiwifruit Orchard in Subtropical Climate Zone of China. Agronomy 2023, 13, 774. [Google Scholar] [CrossRef]
- Levine, K.E.; Ross, G.T.; Fernando, R.A.; Blake, J.C.; Sparacino, C.M.; Pellizzari, E.D. Trace Element Content of Senna Study Material and Selected Senna-Based Dietary Supplements as Determined by Inductively Coupled Plasma-Optical Emission Spectrometry and Inductively Coupled Plasma-Mass Spectrometry. Commun. Soil Sci. Plant Anal. 2004, 35, 835–851. [Google Scholar] [CrossRef]
- Chevallier, E.; Chekri, R.; Zinck, J.; Guérin, T.; Noël, L. Simultaneous determination of 31 elements in foodstuffs by ICP-MS after closed-vessel microwave digestion: Method validation based on the accuracy profile. J. Food Compos. Anal. 2015, 41, 35–41. [Google Scholar] [CrossRef]
- Zhao, Q.; Bai, J.; Liu, P.; Gao, H.; Wang, J. Decomposition and Carbon and Nitrogen Dynamics of Phragmites australis Litter as Affected by Flooding Periods in Coastal Wetlands. CLEAN—Soil Air Water 2015, 43, 441–445. [Google Scholar] [CrossRef]
- Chen, Y.; Wang, L.; Yang, Y.; Guo, Y.; Han, M.; Wang, J.; Shao, L. Resource assessment of fruit tree pruning branches and fertilizer utilization potential analysis in Shandong Province. China Fruits 2020, 44, 92–95. [Google Scholar] [CrossRef]
- Zhang, M.; Cheng, X.; Geng, Q.; Shi, Z.; Luo, Y.; Xu, X. Leaf litter traits predominantly control litter decomposition in streams worldwide. Glob. Ecol. Biogeogr. 2019, 28, 1469–1486. [Google Scholar] [CrossRef]
- Hättenschwiler, S.; Jørgensen, H.B. Carbon quality rather than stoichiometry controls litter decomposition in a tropical rain forest. J. Ecol. 2010, 98, 754–763. [Google Scholar] [CrossRef]
- Jabiol, J.; Cornut, J.; Tlili, A.; Gessner, M.O. Interactive effects of dissolved nitrogen, phosphorus and litter chemistry on stream fungal decomposers. FEMS Microbiol. Ecol. 2018, 94, fiy151. [Google Scholar] [CrossRef]
- Schneider, T.; Keiblinger, K.M.; Schmid, E.; Sterflinger-Gleixner, K.; Ellersdorfer, G.; Roschitzki, B.; Richter, A.; Eberl, L.; Zechmeister-Boltenstern, S.; Riedel, K. Who is who in litter decomposition? Metaproteomics reveals major microbial players and their biogeochemical functions. ISME J. 2012, 6, 1749–1762. [Google Scholar] [CrossRef] [PubMed]
- Berg, B.; McClaugherty, C. Decomposition as a Process—Some Main Features. In Plant Litter: Decomposition, Humus Formation, Carbon Sequestration; Berg, B., McClaugherty, C., Eds.; Springer International Publishing: Cham, Switzerland, 2020; pp. 13–43. [Google Scholar]
- Purahong, W.; Kapturska, D.; Pecyna, M.J.; Schulz, E.; Schloter, M.; Buscot, F.; Hofrichter, M.; Krüger, D. Influence of different forest system management practices on leaf litter decomposition rates, nutrient dynamics and the activity of ligninolytic enzymes: A case study from Central European forests. PLoS ONE 2014, 9, e93700. [Google Scholar]
- Purahong, W.; Wubet, T.; Lentendu, G.; Schloter, M.; Pecyna, M.J.; Kapturska, D.; Hofrichter, M.; Krüger, D.; Buscot, F. Life in leaf litter: Novel insights into community dynamics of bacteria and fungi during litter decomposition. Mol. Ecol. 2016, 25, 4059–4074. [Google Scholar] [PubMed]
- Keiluweit, M.; Nico, P.; Harmon, M.E.; Mao, J.; Pett-Ridge, J.; Kleber, M. Long-term litter decomposition controlled by manganese redox cycling. Proc. Natl. Acad. Sci. USA 2015, 112, E5253–E5260. [Google Scholar] [CrossRef]
- Li, Q.; Zhang, M.; Geng, Q.; Jin, C.; Zhu, J.; Ruan, H.; Xu, X. The roles of initial litter traits in regulating litter decomposition: A “common plot” experiment in a subtropical evergreen broadleaf forest. Plant Soil 2020, 452, 207–216. [Google Scholar] [CrossRef]
- Zhang, T.; Luo, Y.; Chen, H.Y.H.; Ruan, H. Responses of litter decomposition and nutrient release to N addition: A meta-analysis of terrestrial ecosystems. Appl. Soil Ecol. 2018, 128, 35–42. [Google Scholar] [CrossRef]
- Yue, K.; Yang, W.; Peng, Y.; Zhang, C.; Huang, C.; Xu, Z.; Tan, B.; Wu, F. Dynamics of multiple metallic elements during foliar litter decomposition in an alpine forest river. Ann. For. Sci. 2016, 73, 547–557. [Google Scholar] [CrossRef]
- Leroy, C.J.; Marks, J.C. Litter quality, stream characteristics and litter diversity influence decomposition rates and macroinvertebrates. Freshw. Biol. 2006, 51, 605–617. [Google Scholar] [CrossRef]
- Lovett, G.M.; Arthur, M.A.; Crowley, K.F. Effects of calcium on the rate and extent of litter decomposition in a northern hardwood forest. Ecosystems 2016, 19, 87–97. [Google Scholar] [CrossRef]
- García-Palacios, P.; McKie, B.G.; Handa, I.T.; Frainer, A.; Hättenschwiler, S. The importance of litter traits and decomposers for litter decomposition: A comparison of aquatic and terrestrial ecosystems within and across biomes. Funct. Ecol. 2016, 30, 819–829. [Google Scholar] [CrossRef]
- Yue, K.; Ni, X.; Fornara, D.A.; Peng, Y.; Liao, S.; Tan, S.; Wang, D.; Wu, F.; Yang, Y. Dynamics of calcium, magnesium, and manganese during litter decomposition in alpine forest aquatic and terrestrial ecosystems. Ecosystems 2021, 24, 516–529. [Google Scholar] [CrossRef]
- Gautam, M.K.; Lee, K.-S.; Berg, B.; Song, B.-Y.; Yeon, J.-Y. Trends of major, minor and rare earth elements in decomposing litter in a cool temperate ecosystem, South Korea. Chemosphere 2019, 222, 214–226. [Google Scholar] [CrossRef]
- Sun, T.; Cui, Y.; Berg, B.; Zhang, Q.; Dong, L.; Wu, Z.; Zhang, L. A test of manganese effects on decomposition in forest and cropland sites. Soil Biol. Biochem. 2019, 129, 178–183. [Google Scholar] [CrossRef]
- Berg, B.; Kjønaas, O.; Johansson, M.-B.; Erhagen, B.; Åkerblom, S. Late stage pine litter decomposition: Relationship to litter N, Mn, and acid unhydrolyzable residue (AUR) concentrations and climatic factors. For. Ecol. Manag. 2015, 358, 41–47. [Google Scholar] [CrossRef]
- Innangi, M.; Schenk, M.K.; d’Alessandro, F.; Pinto, S.; Menta, C.; Papa, S.; Fioretto, A. Field and microcosms decomposition dynamics of European beech leaf litter: Influence of climate, plant material and soil with focus on N and Mn. Appl. Soil Ecol. 2015, 93, 88–97. [Google Scholar] [CrossRef]
- Song, Q.-N.; Ouyang, M.; Yang, Q.-P.; Lu, H.; Yang, G.-Y.; Chen, F.-S.; Shi, J.-M. Degradation of litter quality and decline of soil nitrogen mineralization after moso bamboo (Phyllostachys pubscens) expansion to neighboring broadleaved forest in subtropical China. Plant Soil 2016, 404, 113–124. [Google Scholar]
- Martínez-García, L.; Korthals, G.; Brussaard, L.; Mainardi, G.; De Deyn, G. Litter quality drives nitrogen release, and agricultural management (organic vs. conventional) drives carbon loss during litter decomposition in agro-ecosystems. Soil Biol. Biochem. 2021, 153, 108115. [Google Scholar]
- Hess, L.J.; Hinckley, E.-L.S.; Robertson, G.P.; Matson, P.A. Rainfall intensification increases nitrate leaching from tilled but not no-till cropping systems in the US Midwest. Agric. Ecosyst. Environ. 2020, 290, 106747. [Google Scholar] [CrossRef]
- Schuster, M.J. Increased rainfall variability and N addition accelerate litter decomposition in a restored prairie. Oecologia 2016, 180, 645–655. [Google Scholar] [CrossRef] [PubMed]
- Meyer, U.-N.; Tischer, A.; Freitag, M.; Klaus, V.H.; Kleinebecker, T.; Oelmann, Y.; Kandeler, E.; Hölzel, N.; Hamer, U. Enzyme kinetics inform about mechanistic changes in tea litter decomposition across gradients in land-use intensity in Central German grasslands. Sci. Total Environ. 2022, 836, 155748. [Google Scholar] [CrossRef]
- Ge, X.; Xiao, W.; Zeng, L.; Huang, Z.; Zhou, B.; Schaub, M.; Li, M.-H. Relationships between soil–litter interface enzyme activities and decomposition in Pinus massoniana plantations in China. J. Soils Sediments 2017, 17, 996–1008. [Google Scholar] [CrossRef]
- Kotroczó, Z.; Veres, Z.; Fekete, I.; Krakomperger, Z.; Tóth, J.A.; Lajtha, K.; Tóthmérész, B. Soil enzyme activity in response to long-term organic matter manipulation. Soil Biol. Biochem. 2014, 70, 237–243. [Google Scholar] [CrossRef]
- Lin, S.; Liu, Z.; Wang, Y.; Li, J.; Wang, G.; Ye, J.; Wang, H.; He, H. Soil metagenomic analysis on changes of functional genes and microorganisms involved in nitrogen-cycle processes of acidified tea soils. Front. Plant Sci. 2022, 13, 998178. [Google Scholar] [CrossRef]
- Hu, Y.; Wang, S.; Zeng, D. Effects of single Chinese fir and mixed leaf litters on soil chemical, microbial properties and soil enzyme activities. Plant Soil 2006, 282, 379–386. [Google Scholar] [CrossRef]
- Wu, P.-P.; Jiang, L.-X.; Zhang, Y.; Tu, Q.-H.; Mao, R. Manganese addition accelerates litter decomposition and alters litter mixing effects in the late stage in subtropical plantations of southern China. Plant Soil 2022, 481, 501–510. [Google Scholar] [CrossRef]
- Zhang, H.; Cao, Y.; Lyu, J. Decomposition of different crop straws and variation in straw-associated microbial communities in a peach orchard, China. J. Arid. Land 2021, 13, 152–164. [Google Scholar] [CrossRef]
- Zhang, Z.; Ge, S.; Fan, L.-C.; Guo, S.; Hu, Q.; Ahammed, G.J.; Yan, P.; Zhang, L.-P.; Li, Z.-Z.; Zhang, J.-Y. Diversity in rhizospheric microbial communities in tea varieties at different locations and tapping potential beneficial microorganisms. Front. Microbiol. 2022, 13, 1027444. [Google Scholar]








| Nutrients | Jinkui | Hort-16A | Nutrients | Jinkui | Hort-16A |
|---|---|---|---|---|---|
| C (g/kg) | 417 ± 23 | 403 ± 19 | Ca (g/kg) | 14 ± 2 | 19 ± 4 |
| N (g/kg) | 13.5 ± 2.8 | 17.9 ± 3.7 * | Mg (g/kg) | 2.54 ± 0.30 | 3.59 ± 0.21 |
| P (g/kg) | 2.1 ± 0.2 | 4.3 ± 0.3 ** | Fe (mg/kg) | 186 ± 35 | 196 ± 29 |
| K (g/kg) | 14.8 ± 1.5 ** | 5.3 ± 0.6 | Mn (mg/kg) | 318 ± 21 | 357 ± 32 |
| C/N | 30.89 ± 4.52 * | 22.51 ± 4.58 | Cu (mg/kg) | 20.5 ± 2.8 | 18.7 ± 2.3 |
| C/P | 198.57 ± 25.36 ** | 93.72 ± 10.29 | Zn (mg/kg) | 21.0 ± 1.5 | 18.5 ± 2.0 |
| N/P | 6.43 ± 0.92 | 4.16 ± 1.08 | B (mg/kg) | 20.5 ± 2.2 | 32.6 ± 3.5 * |
| Elements | Release of 1 kg of Litter (g) | Release of 1 hm2 of Orchard (kg) | Fertilizers | Converted to Fertilizer (kg) | Proportion of Annual Fertilization (%) | ||||
|---|---|---|---|---|---|---|---|---|---|
| Jinkui | Hort-16A | Jinkui | Hort-16A | Jinkui | Hort-16A | Jinkui | Hort-16A | ||
| C | 29.08 | 35.90 | 218.14 | 269.26 | Organic fertilizer | 2181.36 | 2692.61 | 48.47 | 59.84 |
| N | 0.57 | 1.53 | 4.29 | 11.47 | Urea | 9.19 | 24.57 | 6.12 | 16.38 |
| P | 0.13 | 0.41 | 0.96 | 3.09 | Ca(H2PO4)2 | 4.80 | 15.45 | 1.60 | 5.15 |
| K | 1.47 | 0.52 | 11.02 | 3.89 | K2SO4 | 22.03 | 7.79 | 14.69 | 5.19 |
Disclaimer/Publisher’s Note: The statements, opinions and data contained in all publications are solely those of the individual author(s) and contributor(s) and not of MDPI and/or the editor(s). MDPI and/or the editor(s) disclaim responsibility for any injury to people or property resulting from any ideas, methods, instructions or products referred to in the content. |
© 2023 by the authors. Licensee MDPI, Basel, Switzerland. This article is an open access article distributed under the terms and conditions of the Creative Commons Attribution (CC BY) license (https://creativecommons.org/licenses/by/4.0/).
Share and Cite
Lu, Y.; Gao, Z.; Mao, J.; Lin, M.; Gong, X.; Wang, X. Litter Decomposition of Two Kiwifruit Cultivars (‘Jinkui’ and ‘Hort-16A’) with Different Litter Qualities in the Orchard Ecosystem. Agriculture 2023, 13, 1968. https://doi.org/10.3390/agriculture13101968
Lu Y, Gao Z, Mao J, Lin M, Gong X, Wang X. Litter Decomposition of Two Kiwifruit Cultivars (‘Jinkui’ and ‘Hort-16A’) with Different Litter Qualities in the Orchard Ecosystem. Agriculture. 2023; 13(10):1968. https://doi.org/10.3390/agriculture13101968
Chicago/Turabian StyleLu, Yupeng, Zhu Gao, Jipeng Mao, Mengfei Lin, Xuchen Gong, and Xiaoling Wang. 2023. "Litter Decomposition of Two Kiwifruit Cultivars (‘Jinkui’ and ‘Hort-16A’) with Different Litter Qualities in the Orchard Ecosystem" Agriculture 13, no. 10: 1968. https://doi.org/10.3390/agriculture13101968
APA StyleLu, Y., Gao, Z., Mao, J., Lin, M., Gong, X., & Wang, X. (2023). Litter Decomposition of Two Kiwifruit Cultivars (‘Jinkui’ and ‘Hort-16A’) with Different Litter Qualities in the Orchard Ecosystem. Agriculture, 13(10), 1968. https://doi.org/10.3390/agriculture13101968
