Effect of No-Tillage Management on Soil Organic Matter and Net Greenhouse Gas Fluxes in a Rice-Oilseed Rape Cropping System
Abstract
:1. Introduction
2. Materials and Methods
2.1. Experimental Design and Field Management
2.2. Soil Chemical Properties
2.3. Real-Time CH4 and CO2 Flux Measurements
2.4. Daytime and Seasonal CO2 and CH4 Net Ecosystem Exchange
2.5. Soil Microbe C and N
2.6. Data Analyses
3. Results
3.1. Soil Chemical Properties
3.2. Daytime and Annual CH4 and CO2 Net Ecosystem Exchange
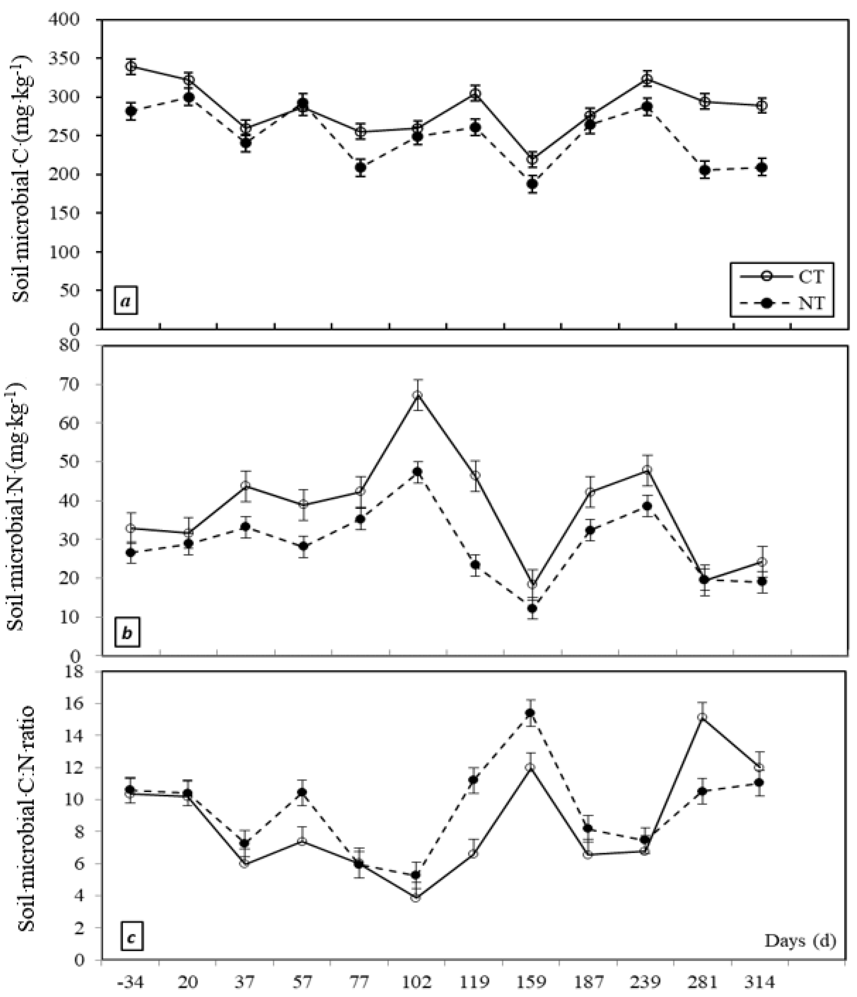
3.3. Soil Microbial C and N
4. Discussion
5. Conclusions
Author Contributions
Funding
Institutional Review Board Statement
Informed Consent Statement
Data Availability Statement
Acknowledgments
Conflicts of Interest
References
- Kassam, A.; Friedrich, T.; Derpsch, R.; Kienzle, J. Overview of the worldwide spread of conservation agriculture. Field Actions Sci. Rep. 2015, 8, 1–11. [Google Scholar]
- Palm, C.; Blanco-Canqui, H.; DeClerck, F.; Gatere, L.; Grace, P. Conservation agriculture and ecosystem services: An overview. Agric. Ecosyst. Environ. 2014, 187, 87–105. [Google Scholar] [CrossRef] [Green Version]
- Mitchell, J.; Harben, R.; Sposito, G.; Shrestha, A.; Munk, D.; Miyao, G.; Sothard, R.; Ferris, H.; Horwath, W.R.; Kueneman, E.; et al. Conservation agriculture: Systems thinking for sustainable farming. Calif. Agric. 2016, 70, 53–56. [Google Scholar] [CrossRef] [Green Version]
- Yin, M.H.; Li, Y.N.; Chen, P.P.; Xu, L.Q.; Shen, S.L.; Wang, X.Y. Effect of no-tillage on maize yield in northern region of China—A meta-analysis. Sci. Agric. Sin. 2018, 51, 843–854. (In Chinese) [Google Scholar]
- Canisares, L.P.; Grove, J.; Miguez, F.; Poffenbarger, H. Long-term no-till increases soil nitrogen mineralization but does not affect optimal corn nitrogen fertilization practices relative to inversion tillage. Soil Tillage Res. 2021, 213, 105080. [Google Scholar] [CrossRef]
- Sanz-Cobena, A.; Lassaletta, L.; Aguilera, E.; del Prado, A.; Garnier, J.; Billen, G.; Iglesias, A.; Sanchez, B.; Guardia, G.; Abalos, D.; et al. Strategies for greenhouse gas emissions mitigation in Mediterranean agriculture: A review. Agric. Ecosyst. Environ. 2017, 238, 5–24. [Google Scholar] [CrossRef] [Green Version]
- Blanco-Canqui, H.; Ruis, S.J. No-tillage and soil physical environment. Geoderma 2018, 326, 164–200. [Google Scholar] [CrossRef]
- Cook, R.L.; Trlica, A. Tillage and fertilizer effects on crop yield and soil properties over 45 years in southern Illinois. Agron. J. 2016, 108, 415–426. [Google Scholar] [CrossRef] [Green Version]
- Yuan, J.; Sadiq, M.; Rahim, N.; Li, G.; Yan, L.; Wu, J.; Xu, G. Tillage Strategy and Nitrogen Fertilization Methods Influences on Selected Soil Quality Indicators and Spring Wheat Yield under Semi-Arid Environmental Conditions of the Loess Plateau, China. Appl. Sci. 2022, 12, 1101. [Google Scholar] [CrossRef]
- Amin, M.M.; Al Minhaj, A.; Islam, D.; Bhowmik, B.; Hasan, M.M.; Islam, M.N. Mulch and no-till impacts on nitrogen and phosphorus leaching in a maize field under sub-tropic monsoon climate. Environ. Chall. 2021, 5, 100346. [Google Scholar] [CrossRef]
- Pandey, D.; Agrawal, M.; Bohra, J.S. Effects of conventional tillage and no tillage permutations on extracellular soil enzyme activities and microbial biomass under rice cultivation. Soil Tillage Res. 2014, 136, 51–60. [Google Scholar] [CrossRef]
- Briedis, C.; de Moraes Sa, J.C.; Lal, R.; Tivet, F.; de Oliveira Ferreira, A.; Franchini, J.C.; Schimiguel, R.; da Cruz Hartman, D.; dos Santos, J.Z. Can highly weathered soils under conservation agriculture be C saturated? Catena 2016, 147, 638–649. [Google Scholar] [CrossRef]
- Rodrigues, L.A.T.; Dieckow, J.; Giacomini, S.; Ottonelli, A.S.; Zorzo, G.P.P.; Bayer, C. Carbon sequestration capacity in no-till soil decreases in the long-term due to saturation of fine silt plus clay-size fraction. Geoderma 2022, 412, 115711. [Google Scholar] [CrossRef]
- Tang, H.; Li, C.; Shi, L.; Cheng, K.; Wen, L.; Li, W.; Xiao, X. Effects of Short-Term Tillage Managements on CH4 and N2O Emissions from a Double-Cropping Rice Field in Southern of China. Agronomy 2022, 12, 517. [Google Scholar] [CrossRef]
- Vilakazi, B.S.; Zengeni, R.; Mafongoya, P.; Ntsasa, N.; Tshilongo, J. Seasonal Effluxes of Greenhouse Gases Under Different Tillage and N Fertilizer Management in a Dryland Maize Mono-crop. J. Soil Sci. Plant Nutr. 2021, 21, 2873–2883. [Google Scholar] [CrossRef]
- Lenka, S.; Lenka, N.K.; Rao, A.S.; Raghuwanshi, J.; Singh, B.; Saha, J.K.; Patra, A.K. Tillage and nutrient management influence net global warming potential and greenhouse gas intensity in soybean-wheat cropping system. Indian J. Exp. Biol. IJEB 2022, 60, 207–214. [Google Scholar]
- Cheng, C.; Zeng, Y.J.; Yang, X.X.; Huang, S.; Luo, K.; Shi, Q.H.; Pan, X.H.; Shang, Q.Y. Effects of different farming methods on net warming potential and greenhouse gas intensity of rice fields. J. Environ. Sci. 2015, 35, 1887–1895. (In Chinese) [Google Scholar]
- Guo, L.; Zhang, L.; Liu, L.; Sheng, F.; Cao, C.; Li, C. Effects of long-term no tillage and straw return on greenhouse gas emissions and crop yields from a rice-wheat system in central China. Agric. Ecosyst. Environ. 2021, 322, 107650. [Google Scholar] [CrossRef]
- González-Sanchez, E.J.; Kassam, A.; Basch, G.; Streit, B.; Holgado-Cabrera, A.; Trivino-Tarradas, P. Conservation agriculture and its contribution to the achievement of agri-environmental and economic challenges in Europe. AIMS Agric. Food 2016, 1, 387–408. [Google Scholar] [CrossRef]
- Huang, M.; Zou, Y.B.; Feng, Y.H.; Cheng, Z.W.; Mo, Y.L.; Ibrahim, M.D.; Xia, B.; Jiang, P. No-tillage and direct seeding for super hybrid rice production in rice–oilseed rape cropping system. Eur. J. Agron. 2011, 34, 278–286. [Google Scholar] [CrossRef]
- Liang, S.M.; Xie, R.Z.; Li, C.S.; Yang, J.Z.; Tang, Y.L.; Wu, C.; Wang, L.B.; Li, S.K. Effects of Tillage Systems on Fields in Chengdu Plain Ⅱ: The Evaluation of Soil Quality. Sci. Agric. Sin. 2011, 44, 738–744. (In Chinese) [Google Scholar]
- Yonemura, S.; Nouchi, I.; Nishimura, S.; Sakurai, G.; Togami, K.; Yagi, K. Soil respiration, N2O, and CH4 emissions from an andisol under conventional-tillage and no-tillage cultivation for 4 years. Biol. Fertil. Soils 2014, 50, 63–74. [Google Scholar] [CrossRef]
- Li, Y.C.; Hou, C.C.; Li, Y.; Guo, Z.J. Effects of no-tillage and straw mulching on greenhouse gas emissions from farmland soil. J. Ecol. Environ. 2014, 23, 1076–1083. (In Chinese) [Google Scholar]
- Lou, Y.L.; Xu, M.G.; Chen, X.N.; He, X.H.; Zhao, K. Stratification of soil organic C, N and C:N ratio as affected by conservation tillage in two maize fields of China. Catena 2012, 95, 124–130. [Google Scholar] [CrossRef]
- Wan, X.H.; Huang, Z.Q.; He, Z.M.; Yu, Z.P.; Wang, M.H.; Davis, M.R.; Yang, Y.S. Soil C:N ratio is the major determinant of soil microbial community structure in subtropical coniferous and broadleaf forest plantations. Plant Soil 2015, 387, 103–116. [Google Scholar] [CrossRef]
- Devine, S.; Markewitz, D.; Hendrix, P.; Coleman, D. Soil aggregates and associated organic matter under conventional tillage, no-tillage, and forest succession after three decades. PLoS ONE 2014, 9, e84988. [Google Scholar] [CrossRef] [Green Version]
- Congreves, K.A.; Hooker, D.C.; Hayes, A.; Verhallen, E.A.; van Eerd, L.L. Interaction of long-term nitrogen fertilizer application, crop rotation, and tillage system on soil carbon and nitrogen dynamics. Plant Soil 2017, 410, 113–127. [Google Scholar] [CrossRef]
- Halvorson, J.J.; Liebig, M.A.; Archer, D.W.; West, M.S.; Tanaka, D.L. Impacts of crop sequence and tillage management on soil carbon stocks in south-central North Dakota. Soil Sci. Soc. Am. J. 2016, 80, 1003–1010. [Google Scholar] [CrossRef]
- Triberti, L.; Nastri, A.; Baldoni, G. Long-term effects of crop rotation, manure and mineral fertilisation on carbon sequestration and soil fertility. Eur. J. Agron. 2016, 74, 47–55. [Google Scholar] [CrossRef]
- Xiao, L.; Zhou, S.; Zhao, R.; Greenwood, P.; Kuhn, N.J. Evaluating soil organic carbon stock changes induced by no-tillage based on fixed depth and equivalent soil mass approaches. Agric. Ecosyst. Environ. 2020, 300, 106982. [Google Scholar] [CrossRef]
- Kibet, L.C.; Blanco-Canqui, H.; Jasa, P. Long-term impacts on soil organic matter components and related properties on a Typic Argiudoll. Soil Tillage Res. 2016, 155, 78–84. [Google Scholar] [CrossRef]
- Singh, K.; Mishra, A.K.; Singh, B.; Singh, R.P.; Dhar, P.D. Tillage effects on crop yield and physicochemical properties of sodic soils. Soil Use Manag. 2014, 30, 414–422. [Google Scholar] [CrossRef]
- Kulmány, I.M.; Giczi, Z.; Beslin, A.; Bede, L.; Kalocsai, R.; Vona, V. Impact of environmental and soil factors in the prediction of soil carbon dioxide emissions under different tillage systems. Ecocycles 2022, 8, 27–39. [Google Scholar] [CrossRef]
- Zhang, X.; Sun, Z.; Liu, J.; Ouyang, Z.; Wu, L. Simulating greenhouse gas emissions and stocks of carbon and nitrogen in soil from a long-term no-till system in the North China Plain. Soil Tillage Res. 2018, 178, 32–40. [Google Scholar] [CrossRef]




| Year | SOC(g·kg−1) | STN(g·kg−1) | STP(g·kg−1) | STK(g·kg−1) | SNN(mg·kg−1) | SOP(mg·kg−1) | SNK(mg·kg−1) | |||||||
|---|---|---|---|---|---|---|---|---|---|---|---|---|---|---|
| CT | NT | CT | NT | CT | NT | CT | NT | CT | NT | CT | NT | CT | NT | |
| 2004 | 15.0 | 1.40 | 1.18 | 18.10 | 137.0 | 38.4 | 113.0 | |||||||
| 2016 | 18.2 | 21.0 | 1.15 | 1.21 | 1.17 | 1.23 | 13.79 | 12.99 | 154.8 | 154.7 | 52.3 | 57.6 | 37.9 | 30.2 | 
| Year | ns | * | ns | ns | ns | ns | * | * | ns | ns | ns | ns | * | * | 
| Tillage # | * | ns | ns | ns | ns | ns | ns | |||||||
| Soil Layer (cm) | SOC(g·kg−1) | STN(g·kg−1) | STP(g·kg−1) | STK(g·kg−1) | SNN(mg·kg−1) | SOP(mg·kg−1) | SNK(mg·kg−1) | |||||||
|---|---|---|---|---|---|---|---|---|---|---|---|---|---|---|
| CT | NT | CT | NT | CT | NT | CT | NT | CT | NT | CT | NT | CT | NT | |
| 0∼10 | 18.45 | 21.97 | 1.46 | 1.45 | 1.25 | 1.25 | 12.85 | 12.90 | 186.21 | 189.69 | 57.50 | 60.47 | 43.94 | 36.87 | 
| 10∼20 | 18.00 | 20.10 | 0.83 | 0.97 | 1.09 | 1.21 | 14.72 | 13.08 | 123.31 | 119.64 | 47.14 | 54.77 | 31.80 | 23.55 | 
| 20∼30 | 16.87 | 17.67 | 0.68 | 0.69 | 0.80 | 0.95 | 15.56 | 14.85 | 97.05 | 105.75 | 28.03 | 40.57 | 19.18 | 19.90 | 
| 30∼40 | 16.17 | 15.96 | 0.86 | 0.74 | 0.62 | 0.69 | 16.08 | 16.38 | 104.47 | 95.33 | 17.79 | 25.67 | 20.80 | 20.17 | 
| 40∼50 | 13.94 | 14.02 | 0.81 | 0.87 | 0.55 | 0.52 | 14.63 | 15.81 | 84.14 | 75.54 | 13.48 | 12.54 | 16.70 | 19.13 | 
| 50∼60 | 9.38 | 9.47 | 0.65 | 0.62 | 0.39 | 0.44 * | 17.89 | 20.67 * | 60.50 | 70.70 ** | 4.42 | 6.07 * | 17.21 | 19.22 | 
| Publisher’s Note: MDPI stays neutral with regard to jurisdictional claims in published maps and institutional affiliations. | 
© 2022 by the authors. Licensee MDPI, Basel, Switzerland. This article is an open access article distributed under the terms and conditions of the Creative Commons Attribution (CC BY) license (https://creativecommons.org/licenses/by/4.0/).
Share and Cite
Zheng, H.; Tang, X.; Wei, J.; Xu, H.; Zou, Y.; Tang, Q. Effect of No-Tillage Management on Soil Organic Matter and Net Greenhouse Gas Fluxes in a Rice-Oilseed Rape Cropping System. Agriculture 2022, 12, 918. https://doi.org/10.3390/agriculture12070918
Zheng H, Tang X, Wei J, Xu H, Zou Y, Tang Q. Effect of No-Tillage Management on Soil Organic Matter and Net Greenhouse Gas Fluxes in a Rice-Oilseed Rape Cropping System. Agriculture. 2022; 12(7):918. https://doi.org/10.3390/agriculture12070918
Chicago/Turabian StyleZheng, Huabin, Xianliang Tang, Jiabin Wei, Huaqin Xu, Yingbin Zou, and Qiyuan Tang. 2022. "Effect of No-Tillage Management on Soil Organic Matter and Net Greenhouse Gas Fluxes in a Rice-Oilseed Rape Cropping System" Agriculture 12, no. 7: 918. https://doi.org/10.3390/agriculture12070918
APA StyleZheng, H., Tang, X., Wei, J., Xu, H., Zou, Y., & Tang, Q. (2022). Effect of No-Tillage Management on Soil Organic Matter and Net Greenhouse Gas Fluxes in a Rice-Oilseed Rape Cropping System. Agriculture, 12(7), 918. https://doi.org/10.3390/agriculture12070918
 
         
                                                

 
       