Next Article in Journal
Environmental Impacts of Egg Production from a Life Cycle Perspective
Previous Article in Journal
Effect of the Time of Herbicide Application and the Properties of the Spray Solution on the Efficacy of Weed Control in Maize (Zea mays L.) Cultivation
 
 
Font Type:
Arial Georgia Verdana
Font Size:
Aa Aa Aa
Line Spacing:
Column Width:
Background:
Article

Non-Composted Chinaberry (Melia azedarach L.) Sawdust Mixtures as Growth Medium for Okra (Abelmoschus esculentus (L.) Moench)

1
Department of Agronomy, College of Agriculture, University of Sargodha, Sargodha PK-40100, Pakistan
2
Department of Plant and Environmental Sciences, University of Copenhagen, Højbakkegard Alle 13, 2630 Taastrup, Denmark
*
Author to whom correspondence should be addressed.
Agriculture 2022, 12(3), 354; https://doi.org/10.3390/agriculture12030354
Submission received: 14 December 2021 / Revised: 24 February 2022 / Accepted: 25 February 2022 / Published: 1 March 2022

Abstract

:
Sawdust as a soilless growth substrate for plants is becoming popular in greenhouse production. However, fresh sawdust often requires time for decomposition before it is ready for use as a growth substrate. We studied whether amendments of banana peels (as a source of potassium), eggshells (as a source of calcium), and urea (as a source of nitrogen) in non-composted fresh chinaberry (Melia azedarach) sawdust could enhance its potential as a growth medium. In two pot experiments, the growth of okra (Abelmoschus esculentus (L.) Moench) was evaluated using mixtures of non-composted M. azedarach sawdust. The treatments were: (T1) 100% soil (control) (vol/vol); (T2) 100% M. azedarach sawdust (vol/vol); (T3) 80% M. azedarach sawdust +20% banana peel (vol/vol); (T4) 60% M. azedarach sawdust +20% banana peel +20% eggshell (vol/vol); and (T5) 60% M. azedarach sawdust +20% banana peel +20% eggshell (vol/vol) +91 kg N ha−1 (urea). There was no significant difference between the treatments regarding seed germination and okra emergence, but leaf area, chlorophyll content index, plant biomass, number of pods per plant−1, fresh pods, and dry weight were significantly lower in pots with fresh sawdust mixtures. Organic amendments of banana peels and eggshells improved the sawdust substrate. Adding a further 91 kg N hectare−1 improved the growth but was insufficient to produce the same yield of okra as in non-fertilized sandy clay loam soil. We cannot exclude that non-composted M. azedarach sawdust may be a potential growth substrate for okra, but the amendments added were not enough to obtain the same yields as when okra was grown in soil.

1. Introduction

Soilless plant production is widely used to obtain efficient and economic plant production in greenhouses and in private small-scale plant production [1]. Handling, diverse soil types, and climate conditions complicate plant production. Some of the challenges are temperature fluctuations, the water holding capacity, the cation exchange capacity of the soil, contamination of soils with heavy metals, nutrient supply disorder, soil-borne diseases, and pests. These challenges are reduced in soilless media with better control of growth factors, resulting in uniform plant growth [2]. Moreover, increasing concerns about the environmental effects of the overconsumption of utilized materials such as peat have driven plant producers to recognize and survey more sustainable materials. In recent decades, there has been increasing focus on recycling natural organic waste as soilless media for containerized plant production [1]. There has been attention towards inexhaustible materials from farming and metropolitan waste streams. While a significant number of these seem useful at a trial level, few have been taken up on a larger scale. To develop and support soilless agriculture, sustainable and environmentally friendly materials need to be investigated and developed [3].
The soilless media can either be organic, inorganic, or both. Organic media include sawdust, peat moss, and compost, whereas inorganic substrates, for example, include perlite and vermiculite [4]. Sawdust is a derivative of the wood industry, which is a principal economic activity in regions with extensive woodlands [5]. Sawdust is intensively produced in timber processing and industrialized areas, and some sawdust sources can be used as a growth medium due to the low price, ease of accessibility, light weight, and good drainage [6]. Sawdust is a dry wood material consisting of cellulose, lignin, hemicelluloses, and 5–10% other materials [7]. Sawdust has usually low bulk density, high water porosity, low air porosity, and low cation exchange capacity [8]. Abad et al. [1] proposed that the ideal soilless substrate should contain the following chemical properties: pH = 5.2 – 6.3; EC (dS m−1) = 0.75 – 3.49; organic matter (%) > 80; NO3 (µg mL−1) = 100 – 199; K+ (µg mL−1) = 150 – 249; Na+ (µg mL−1) ≤ 115; Cl (µg mL−1) ≤ 180. Domtar sawdust (commercially prepared) mixed with organic (atlas fish emulsion, bone meal, and chicken manure) and inorganic materials (clay, loam soil, and vermiculite) and NH4NO3 enhanced the growth and production of greenhouse tomatoes (Solanum lycopersicum L.) and ornamental flowers, coleus (Coleus scutellarioides (L) Benth,, and gloxinias (Sinningia speciose (lodd.) Hiern) plants [9]. Okalebo et al. [10] argued that the composition of nutrient contents of sawdust limits the population of the microorganisms, making sawdust an almost sterile medium for growth, with a slow decomposition rate and temporary shortage of nitrogen to plants. Some types of sawdust may be toxic to plants and are not suitable as plant growth substrates [11]. Meanwhile, other types of sawdust favor the plants. Nielsen and Lewis [12] found that entomopathogenic nematodes were negatively impacted by redwood sawdust, reducing the infection of Steinernema riobrave and Heterorhabditis bacteriophora.
Several types of sawdust have proven to be beneficial to plants as a container substrate. Douglas fir sawdust has been used as a benifical substrate in glasshouse production [13]. In Argentina and Alberta, sawdust has been used as a regular growth medium for plants in glasshouses [14]. Oxygen-fumigated Douglas fir sawdust was filled in plastic bags to produce cucumbers (Cucumis sativus L.) in a glasshouse, resulting in 20% more fresh weight yield [13]. Comparison between sawdust and coir as growth media showed that tomatoes retained better calcium and manganese concentrations in sawdust media [15]. When sawdust was compared with coir for the growth of English cucumber, coir proved to be a better medium, but sawdust gave a better nutrient supply to bell pepper (Capsicum annuum L.) [16]. The yield of strawberries ((Fragaria ananassa L.) increased when the plants were grown in a mixture of sawdust and pumice (50:50 ratio) compared to growth in 100% sawdust, but the leaf number doubled in 100% sawdust [17]. In a study conducted by Ruifen et al. [18], tomato yield was up to 48% larger in a mixture of carbonized rice hulls and sawdust (ratio, 2:1 vol/vol) than in soil or 100% sawdust. Moreover, flower and fruit number, plant height, root dry weight, the quantity of green foliage, chlorophyll content, and root length were higher in the mixture than in the soil. Mixing different components carefully in appropriate proportions may create attractive physical and chemical characteristics of the growth medium to improve the development of plants [1].
Okra is a common vegetable crop grown under tropical and subtropical conditions. Okra is especially valued for its tender, delicious fruits and is a good source of essential vitamins (e.g., Vitamin C) and minerals, such as calcium, phosphorus, magnesium, and iron [19]. Okra is generally grown in locations where the crop receives full sunlight throughout the day. Soil types for okra production can vary, with loams and sandy loams preferred, but even heavier soils can produce well if the soil drains well enough to prevent waterlogging. Okra is tolerant of a wide range of soil pH, but prefers soil with a pH between 6.0 and 6.8. If the soil pH is below 5.8, it should be limed to increase the pH to 6.0 or more. Soils at or below 5.8 can result in okra with poorly developed pods [20].
We chose okra as a container plant in our experiments and soilless sawdust from chinaberry (Melia azedarach L.) as a growth substrate to provide an option to urban people to grow okra—for example, in containers on rooftops. Melia azedarach is a species of deciduous tree in the mahogany family, Meliaceae. The main utility of chinaberry is its timber.
Banana peels and eggshells were selected and amended as potential sources of organic fertilizers. In some densely populated areas, it is possible to collect banana and eggshell efficiently and use them as fertilizers for small-scale vegetable production. Panwar [21] claimed that banana peels contained essential plant nutrients, particularly potassium, and Gaonkar and Chakraborty [22] declared eggshells as the best source of calcium for tomato plants suffering from calcium deficiency.
In this study, we investigated whether amendments of banana peels (as a source of potassium), eggshells (as a source of calcium), and urea (as a source of nitrogen) in non-composted (fresh) Melia azedarach sawdust may enhance its potential as a growth medium for okra.

2. Materials and Methods

2.1. Selection of Growth Substrate

The growth substrate consisted of sawdust mixed with banana peel powder, eggshell powder, and urea fertilizer. Banana peels were collected from fresh fruit juice shops and household kitchens. It was sun-dried and ground into powder by using a spice grinding mill. The eggshells were collected from hatcheries, bakeries, fast food shops, and household kitchens. Eggshells were also sun-dried and ground into powder using a spice grinding mill. The average chip size of M. azedarach sawdust was 8−16 µm, obtained using a wood sawdust crusher machine (Zhengzhou Yuxi wood sawdust crusher machine, Zhengzhou Yuxi Machinery Equipment Co., Ltd., Zhengzhou, China). Healthy and young M. azedarach trees approximately 23 feet tall and around 6 years old were selected. We used fresh non-composted sawdust. The banana peels and eggshells were dried and ground into powder to be used as organic fertilizers. The treatments were: T1—100% sandy clay loam unfertilized soil from a fellow field (control) (vol/vol, herafter equal to v/v), T2—100% M. azedarach sawdust (v/v) non-composted, T3—80% M. azedarach sawdust +20% banana peel (v/v) non-composted, T4—60% M. azedarach sawdust +20% banana peel +20% eggshells (v/v) non-composted, T5—60% M. azedarach sawdust +20% banana peel +20% eggshells (v/v) + urea (91 kg N hectare−1 as recommendation for okra [19]) non-composted. Fertilizer was mixed manually in the substrate.

2.2. Experimental Design

Two pot experiments (exp-1 and exp-2) placed at different locations with different light and climate conditions were conducted during summer 2019 at a research area of the Department of Agronomy, College of Agriculture, University of Sargodha, Pakistan (32.07° N, 72.68° E).
The experiments were completely randomized designs (CRD) with five treatments and four replications. We used plastic pots (21 × 20 cm) with two small holes at the bottom to facilitate proper water drainage. Pots were filled with 5.6 liters of growth substrates. Each growth substrate had a different density and weight. The total mass and composition of the sawdust substrate mixtures are shown in Table 1. The basic physio-chemical properties of the soil and non-composted M. azedarach sawdust mixtures are shown in Table 2. Okra (Abelmoschus esculentus L. Moench) (cultivar: Punjab Selection) was used as a test plant. Four seeds per pot were sown at 2−3 cm depth. The number of seedlings was reduced to two per pot 15 days after sowing (DAS). One plant was further uprooted 30 days after sowing (S1). Hence, one plant remained in the pots. Plant growth at S1 was recorded. The plants were harvested 110 DAS (S2). Weeds were removed from control pots after emergence. No weeds emerged from pots with sawdust.
Irrigation was applied to provide proper moisture for seed germination. Each pot was placed on a plastic tray filled with water. The base of each plastic pot remained submerged in water until all the substrate mixtures and the soil in the pots were wetted completely through the holes in the bottom.
Subsequent irrigations were applied regularly from the top of each pot, ensuring that water never became a limiting factor for the plant growth.

2.3. Phenological Development

The number of days to plant emergence was recorded for each pot. Plant height was measured at S1 and S2. Stem diameter was recorded with an electronic digital vernier caliper (Mitutoyo 500-196-20 Digital Vernier Caliper, Mitutoyo Corporation; 20-1, Sakado 1-Chome, Takatsu-Ku, Kawasaki-shi, Kanagawa 213-8533, Japan) at S1 and S2. One plant of okra from each treatment was uprooted, and the above-ground biomass and root fresh and dry weight (oven: Model DGH-9240A; 540 S Brea Blvd. Brea, California 92821, USA; biomass dried at 85 °C for 48 h) were measured at S1 and S2 using a digital weight balance (Sartorius Model No. BSA2235, Made by Sartorius Scientific Instruments (Beijing) Co., Ltd. 33 Yu An Road, Airport Industrial Park Zone B, Shunyi District, Beijing 101300, China). At S1 and S2, root length (cm) was measured. The average number of days to the first flower was estimated for each treatment. The number of pods per plant was counted at S2. The fresh and oven-dry weight of pods from each plant were weighed separately, and the average weight was calculated. The length of each pod was measured. The average diameter of pods per plant was measured by using a digital vernier caliper (Electronic Digital Caliper by Hangzhou Maxwell Tools Co., Ltd. Zhejiang, China). Seeds were counted manually by removing the seeds from each pod and the average number of seeds per pod was calculated.

2.4. Physiological Parameters

Chlorophyll content index (CCI) was measured by using a CCI meter (“CCI Meter”, Beijing Yaxinliyi Science and Technology Co., Ltd.; No. F707 Jiahua Building, No. 9 3th Street Shangdi, Haidian District 10085, Beijing, China) at S1 and S2. The single leaf area (mm2) was calculated at S1 and S2 using a Leaf Area Meter (Yaxin-1241 Leaf Meter, Beijing Yaxinliyi Science and Technology Co., Ltd.; No. F707 Jiahua Building, No.9 3th Street Shangdi, Haidian District 10085, Beijing, China). Relative leaf water content (RWC) (%) was determined according to the method described by Smart [23]. One leaf from each plant was selected randomly from the middle of the canopy from each replication and detached from the plant using a scissor. Leaves were cleaned with tissue paper, and fresh weight was recorded (FW). Then, the leaves were dipped in distilled water for four hours in dim light to obtain a turgid weight (TW). Afterward, the leaves were dried in an oven (Model DGH-9240A; 540 S Brea Blvd. Brea, California 92821, USA) at 85 °C for 24 h, and the dry weight (DW) of the leaves was recorded. Relative leaf water content was measured by using the following formula:
Relative leaf water content RWC = F W D W T W D W × 100
The membrane stability index (MSI) (%) was measured according to the method described by Sairam [24]. One hundred mg leaf discs from each replicate were taken and thoroughly washed with distilled water. Thereafter, leaf discs were heated in 10 mL distilled water for 30 min at 40 °C. Electrical conductivity (C1) was measured by the EC meter (DDS-307 Conductivity Meter by Ningbo Hinotek Technology Co., Ltd. Qiancheng Building, Ningbo Hi-Tech Zone, Ningbo 315040, China). The samples were placed in a boiling water bath for 10 min, and electrical conductivity (C2) was measured again, and the MSI index was calculated:
Membrane stability index MSI = 1 C 1 C 2 × 100

2.5. Statistical Analysis

The two experiments were analyzed separately. The data recorded were subjected to one-way analysis of variance (ANOVA) and presented as the mean of four replicates ± standard error (SE). Significance between the treatments was checked at p ≤ 0.05. In a post hoc procedure, all pair-wise comparisons were made, and significance levels were assessed using the Least Significant Difference (LSD) test at the 5% probability level.

3. Results

All mixtures of M. azedarach sawdust substrate significantly reduced the growth and development of okra. The roots became stunted compared to plants grown in the soil (control) (Figure 1).
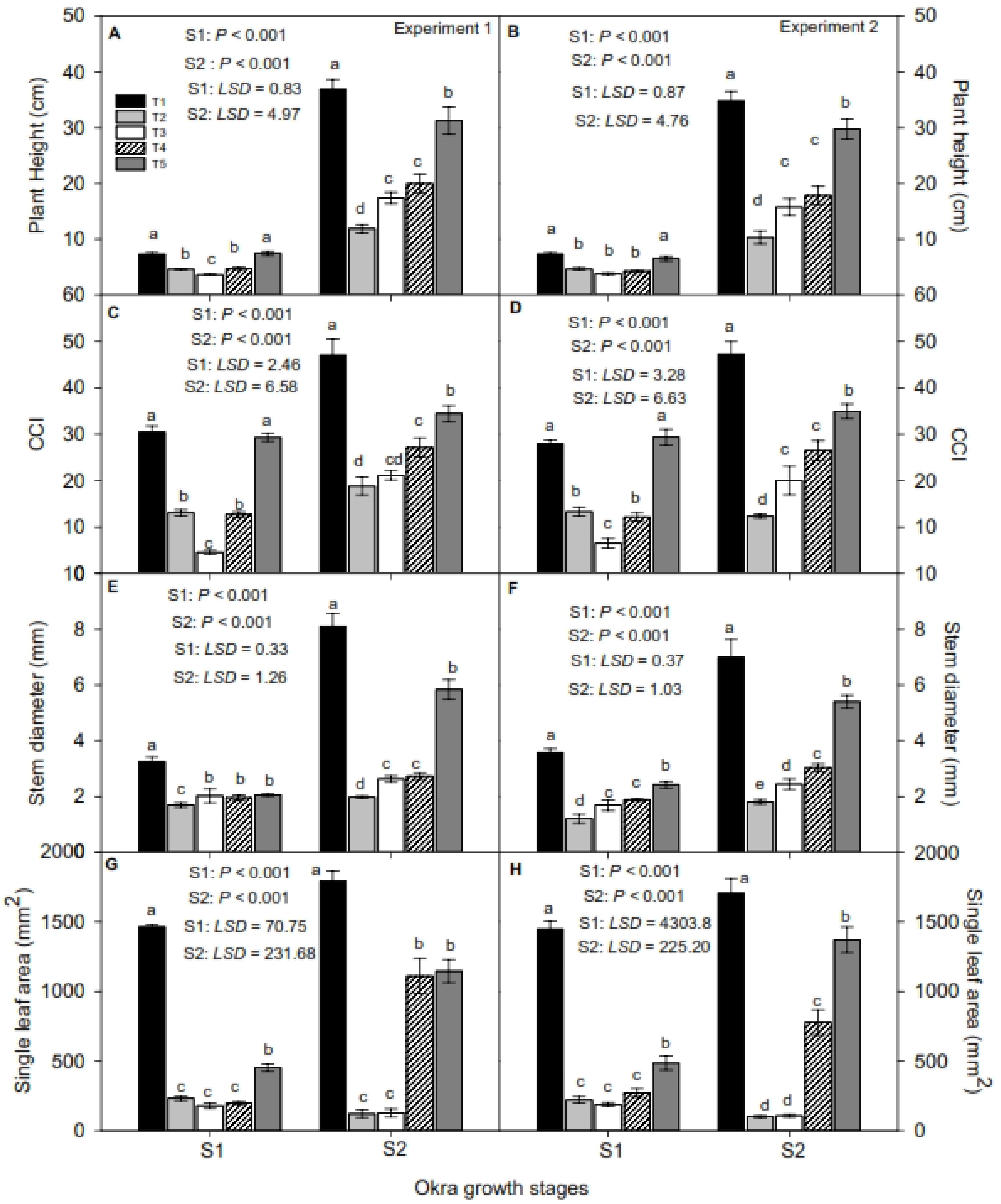
Plant height varied significantly between treatments at S1 and S2 (Figure 2A,B). In exp-1, at S1, the maximum plant height (7.42 cm) was recorded in T5, and it was statistically on par with T1 (7.25 cm). The shortest plant height was recorded in T3 (3.62 cm).
In exp-2, at S1, plants grown in soil were tallest (7.27 cm), followed by plants grown in T5 (6.5 cm). The same was observed at S2 in both experiments. The shortest plants were found in T2 with plant heights of 11.85 cm and 10.30 cm in exp-1 and exp-2, respectively (Figure 2A,B). In exp-1, the chlorophyll content index (CCI) at S1 was largest (30.47) for plants grown in soil and T5 (29.30) (Figure 2C,D) and smallest (4.57) for plants grown in T3 in exp-1. For exp-2, at S1, the largest CCI (29.37) was measured in T5 and was statistically on par with T1 (CCI = 28) (Figure 2C,D). At S2, maximum CCI was measured in T1, followed by T5, in both experiments. The lowest CCI was recorded in T2 (Figure 2C,D).
At S1, the largest stem diameter (SD) (3.25 mm) was measured in T1, followed by T5 (2.05 mm) (Figure 2E,F). Plants exposed to T2 had the smallest SD (1.19 mm). In both experiments, SDs at S2 showed the same trends as at S1 (Figure 2E,F).
The average single leaf area (SLA) significantly differed for the various sawdust treatments (p ≤ 0.001). In both experiments, the single leaf area was the largest for plants exposed to T1, followed by plants exposed to T5. The lowest SLA was recorded in T3 (Figure 2G,H).
The shoot fresh weight (SFW) in both experiments at S1 and S2 was largest for T1, followed by T5. Plants exposed to T3 had the smallest SFW (Figure 3A,B). The root fresh weight (RFW) showed the same trend as SFW (Figure 3 C,D).
For root length (RL) in exp-1, at S1, T5, T4, and T2 were statistically on par (6.42, 6.15, and 6.12 cm, respectively) (Figure 4A,B). In exp-2, at S1, the largest RL (7.8 cm) was measured in T5, followed by T2 (6.17 cm). At S2, in exp-1, the largest RL was recorded in T5 (38.35 cm), followed by T1 (23.95 cm) and T3 (21.82 cm). In exp-2, T5 had the largest RL (37.37 cm), followed by T1 (23.6 cm), while plants exposed to T2 had the shortest RL (18.57 cm) (Figure 4A,B). In exp-1, at S1, the maximum shoot dry weight (SDW) was measured in T1, followed by T5. In T2 and T4, SDW was estimated to be 0.09 g, and plants exposed to T3 had the lowest SDW (0.08 g) (Figure 4C,D). In exp-2, at S1, the largest SDW (0.57 g) was measured in T1, followed by 0.23 g in T5 (Figure 4C,D). At S2, similar trends were observed for SDW in both experiments as in S1 (Figure 4C,D).
In both experiments at S1, the largest root dry weight (RDW) was measured in T1, followed by T5 and T4 (Figure 4E,F). In both experiments, we saw the same trends at S2 (Figure 4E,F).
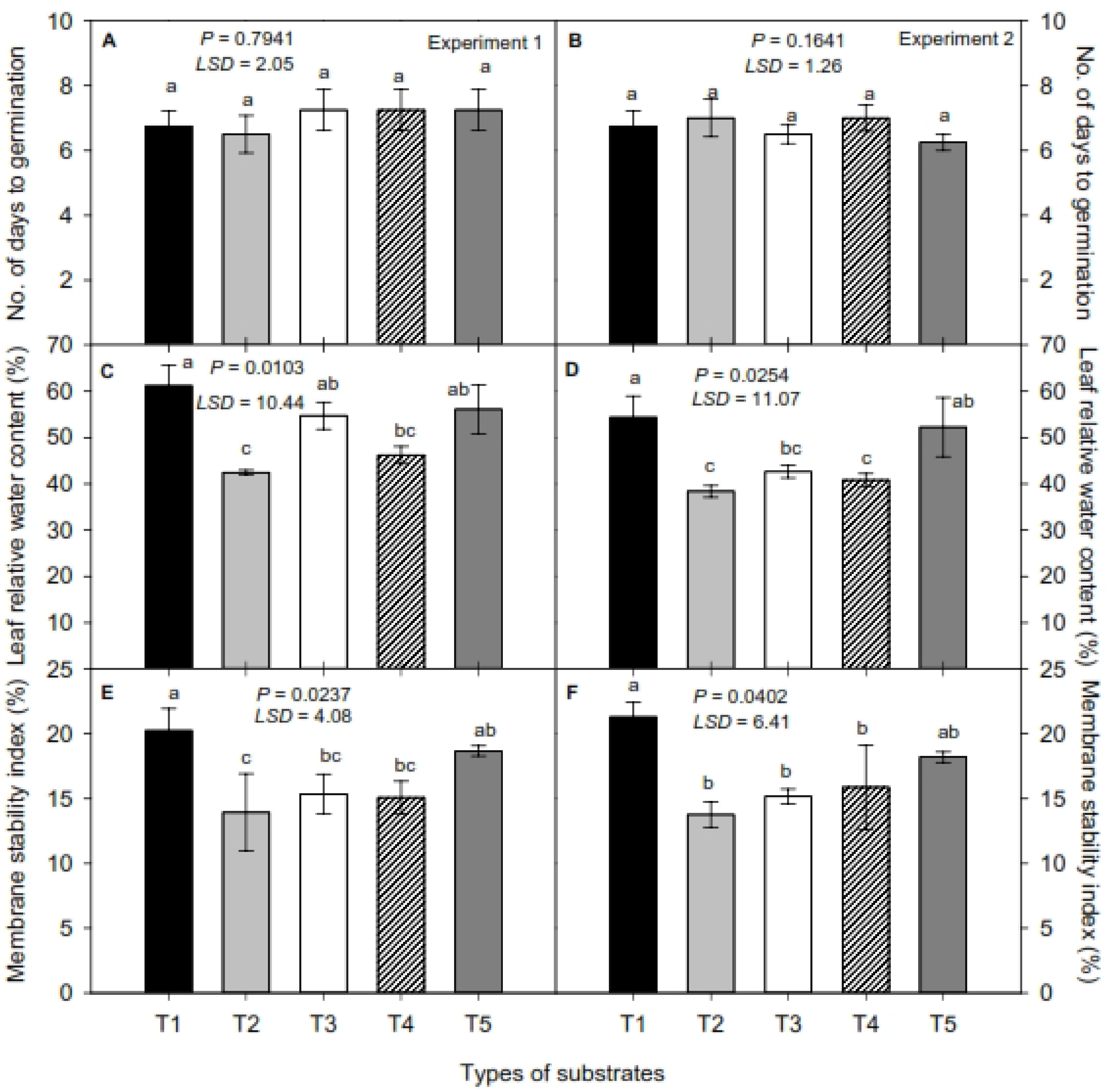
In both experiments, there was no significant difference in the number of days to emergence of plants among the treatments (Figure 5A,B). The leaf relative water content (RWC) was, in both experiments, the highest for plants exposed to T1, followed by T5 and T3, respectively (Figure 5C,D). The membrane stability index (MSI) was, in both experiments, the largest for T1, followed by T5, and the lowest for T2 (Figure 5E,F).
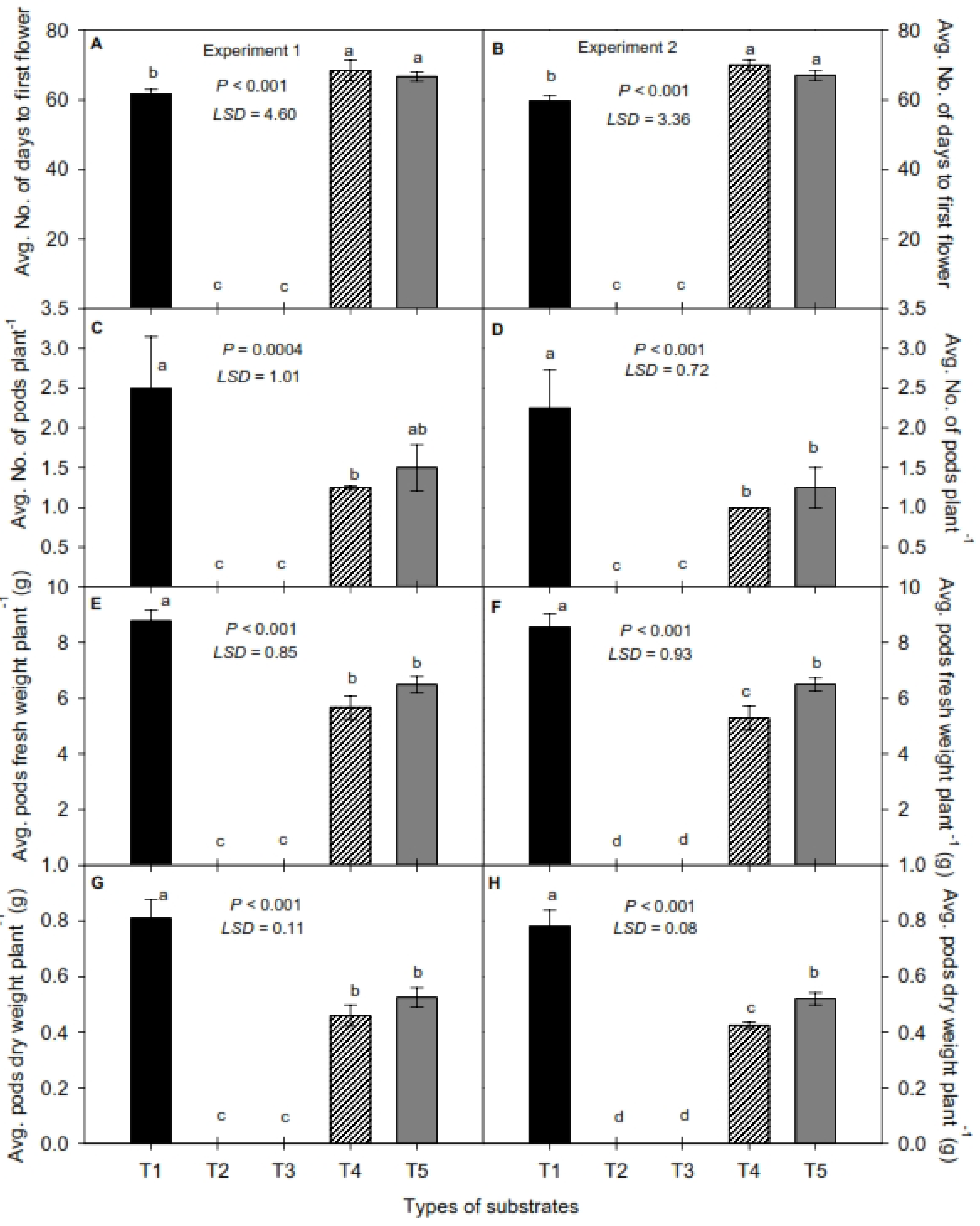
Plants grown in the soil had the least number of days to first flower in both experiments (Figure 6A,B). No blooming occurred in T2 and T3 in both experiments (Figure 6A,B). Most pods were found in T1, followed by T5, in both experiments, while the smallest number was found in T4 (Figure 6C,D). The treatments had the same effect on the average pod’s fresh weight (Figure 6E,F) and the average pod’s dry weight per plant−1 (Figure 6G,H).
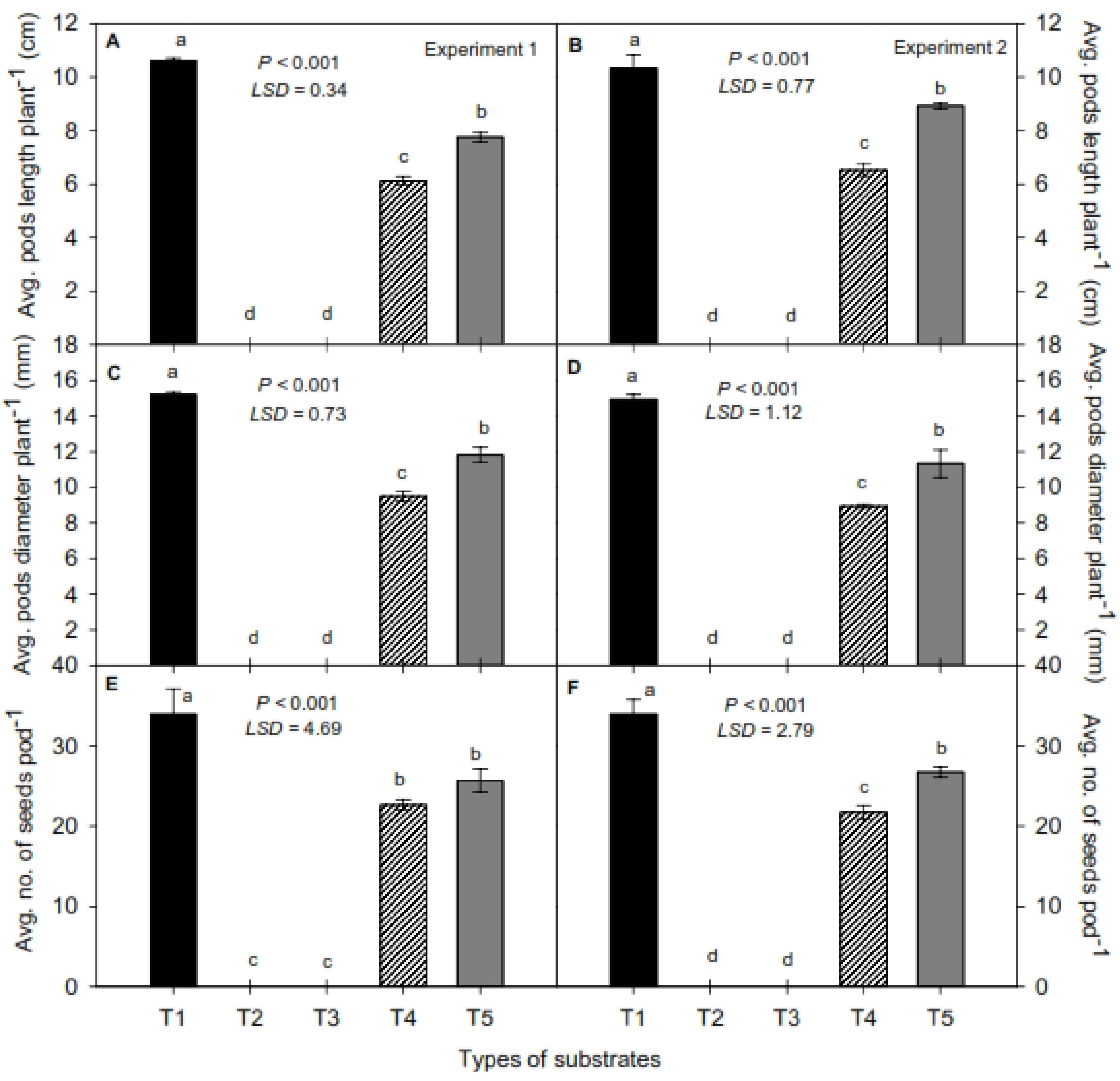
Plants that were grown in the soil produced pods with a greater average pod length in both experiments (Figure 7A,B). Similarly, the average pod diameter (Figure 7C,D) and the average number of seeds per pod−1 (Figure 7E,F) were higher in okra plants grown in soil. There was no blooming and hence no pod settings in T2 and T3 in both experiments. The greatest pod length, diameter, and number of seeds were found in T1, followed by T5 and T4 in both experiments.

4. Discussion

In general, the non-composted Melia azedarach sawdust substrate mixtures with and without organic amendments reduced the growth and yield of okra compared with unfertilized sandy clay loam soil (control). However, there was no significant difference between the treatments for the number of days it took okra to emergence. During germination and emergence, plants are usually solely dependent on the nutrients stored in the seed. Hence, M. azedarach sawdust substrates have the potential to be used as a nursery germination medium for okra seed germination due to their porosity and good water drainage.
In T5, 91 kg N hectare−1 as urea was added because many studies have reported nitrogen deficiency in sawdust growth substrates due to nitrogen immobilization [25,26,27]. The amount of N incorporated into the sawdust mixture was not sufficient to attain the same growth of okra as in the soil, probably because of nitrogen immobilization in the non-composted sawdust. A lack of plant nutritents reduces the plants’ abilty to achieve their full yield potential, and affects the plants below and above the ground, reducing root growth, shoot biomass, and fruit and seed production. These yield components are highly correlated.
We used non-composted M. azedarach sawdust to grow okra plants to avoid 10−24 weeks of composting time of the sawdust and speed up the process for commercial manufacturing of sawdust as a growth substrate. Maas and Adamson [28] showed that Pseudotsuga menziesii and Tsuga heterophylla non-composted sawdust could be used as a growth substrate for various plants in Canada. However, fresh sawdust could result in reduced plant yields compared to other substrates.
Along with low fertility, phytotoxicity may be another reason for the reduced growth of okra and yield in non-composted M. azedarach sawdust mixtures. However, we did not study the phytotoxicity of M. azedarach sawdust. Ortega et al. [29] stated that forest waste can contain phytotoxic phenolic compounds that reduce plants’ growth. They studied cork oak bark’s phytotoxic effects on tomato and lettuce. Nichols [30] stated that the growth of many containerized plants was impaired due to the phytotoxicity of fresh Pinus radiate D. Don bark used as a growth medium.
Yasin et al. [6] reported that garlic cloves’ emergence was on par when grown in soil and six different types of sawdust substrates (Eucalyptus albens, Morus alba, Bombax ceiba, Azadirachta indica, Acacia nilotica, and Mangifera indica), but garlic growth was better in A. indica and B. ceiba sawdust, probably because sawdust has good porosity, which allowed radicals and root tips to penetrate deep into the medium during garlic cloves’ emergence and bulb establishment.
All growth and physiological parameters (i.e., plant height, leaf area, shoot and root fresh and dry weight, stem diameter, pod number, diameter of plant−1, average pod length per plant−1, total yield, and CCI) after emergence were negatively affected by the non-composted M. azedarach sawdust mixtures compared to soil, probably because of the reduced availability of plant nutrients in the sawdust mixtures. Palacios et al. [31] reported that phytotoxic compounds were present in M. azedarach fruit extract. When this extract was mixed with soil, they observed the inhibition of seed germination and reduced radicle and shoot length of Avena sativa L. and Sorghum halepense (L.). The lower leaf area and CCI might be due to N immobilization and N deficiency in non-composted M. azedarach sawdust soilless mixtures. Nitrogen increases the photosynthetic process, resulting in greater leaf production and chlorophyll content [32]. Poor dry matter accumulation might be due to the poor nutritional status and unfavorable pH of sawdust substrate mixtures, which restricted the nutrient supply to the plants and therefore reduced photosynthetic activity, resulting in a lower plant dry biomass in our experiments.
The root length in T5 was longer than in the soil. This might be due to the higher porosity of the sawdust substrate, which permitted easy penetration and enhanced root length, whereas the compactness of the clay soil in the control pots influenced the root penetration.
Leaf relative water content percentage was observed to be higher in plants grown in soil, maybe because the sawdust substrates had larger pore spaces and less water holding capacity compared to clay soil. Okra grown in the soil had the highest membrane stability index, meaning that the plants retained more water in leaves and suffered less leaf cuticle membrane injury during summer by heat.
No blooming or fruiting were observed in T2 and T3, and the blooming was delayed in T4 and T5 compared to soil. A lack of sufficient plant nutrients and immobilization of nutrients caused an imbalanced C:N ratio in non-composted M. azedarach sawdust mixtures, which could be the reasons for the reduction in all yield components.

5. Conclusions

We could not conclude that non-composted Melia azedarach (chinaberry) sawdust substrate has potential as a growth substrate for okra plant production. Organic amendments of banana peels and eggshells improved the sawdust substrate but were insufficient to produce the same yield as in an unfertilized sandy clay loam soil. Adding a further 90 kg N hectare−1 as urea improved the growth but did not result in a corresponding yield of okra as un-fertilized soil. Unavailable plant nutrition in the non-composted sawdust mixtures may be the main reason for the low yield in okra. Further research about how amendments can improve non-composted M. azedarach sawdust to be a growth substrate for okra production, replacing sandy clay loam soil, is required before it can be recommended.

Author Contributions

Conceptualization, M.Y.; formal analysis, M.Y., H.N., F.A., M.E.S., M.S.; investigation, H.N., F.A., M.E.S., M.S.; data curation, H.N., F.A., M.E.S., M.S., M.Y.; writing—original draft preparation, M.Y., H.N.; writing—review and editing, M.Y., C.A.; supervision, M.Y., C.A.; project administration, M.Y. All authors have read and agreed to the published version of the manuscript.

Funding

Financial support and research facilities were provided by the Office of Research, Innovation & Commercialization (ORIC) and the College of Agriculture (COA) at the University of Sargodha.

Institutional Review Board Statement

Not applicable.

Informed Consent Statement

Not applicable.

Data Availability Statement

Not applicable.

Conflicts of Interest

The authors declare no conflict of interest. The funders had no role in the design of the study; in the collection, analyses, or interpretation of data; in the writing of the manuscript, or in the decision to publish the results.

References

  1. Abad, M.; Noguera, P.; Bures, S. National inventory of organic wastes for use as growing media for ornamental potted plant production: A case study in Spain. Bioresour. Technol. 2001, 77, 197–200. [Google Scholar] [CrossRef]
  2. DuPlooy, C.P.; Maboko, M.M.; Van den Heever, E.; Chiloane, S. Research and technology transfer by the Agricultural Research Council to sustain the South African hydroponic industry. Acta Hortic. 2012, 947, 147–152. [Google Scholar] [CrossRef]
  3. Barrett, G.E.; Alexander, P.D.; Robinson, J.S.; Bragg, N.C. Achieving environmentally sustainable growing media for soilless plant cultivation systems–A review. Sci. Hortic.-Amst. 2016, 212, 220–234. [Google Scholar] [CrossRef] [Green Version]
  4. Grunert, O.; Perneel, M.; Vandaele, S. Peat-based organic grow bags as a solution to the mineral wool waste problem. Mires Peat 2008, 3, 1–12. [Google Scholar]
  5. Leconte, M.; Mazzarino, M.; Satti, P.; Iglesias, M.; Laos, F. Co-composting rice hulls and/or sawdust with poultry manure in NE Argentina. Waste Manag. 2009, 29, 2446–2453. [Google Scholar] [CrossRef] [PubMed]
  6. Yasin, M.; Jabran, K.; Afzal, I.; Iqbal, S.; Nawaz, M.A.; Mahmood, A.; Asif, M.; Nadeem, M.A.; Rahman, Z.U.; Adnan, M.; et al. Industrial sawdust waste: An alternative to a soilless substrate for garlic (Allium sativum L.). J. Appl. Res. Med. Aromat. Plants 2020, 18, 100252. [Google Scholar] [CrossRef]
  7. Horisawa, S.; Sunagawa, M.; Tamai, Y.; Matsuoka, Y.; Miura, T.; Terazawa, M. Biodegradation of non-lignocellulosic substances II: Physical and chemical properties of sawdust before and after use as artificial soil. J. Wood Sci. 1999, 45, 492–497. [Google Scholar] [CrossRef]
  8. Landis, T.D.; Jacobs, D.F.; Wilkinson, K.M.; Luna, T. Growing media. Contain. Grow. Media 1990, 2, 41–85. [Google Scholar]
  9. Cheng, B. Systems: Sawdust as a greenhouse growing medium. J. Plant Nutr. 1987, 10, 1437–1446. [Google Scholar] [CrossRef]
  10. Okalebo, J.R.; Othieno, C.O.; Woomer, P.L.; Karanja, N.K.; Semoka, J.R.M.; Bekunda, M.A.; Mugendi, D.N.; Muasya, R.M.; Bationo, A.; Mukhwana, E.J. Available technologies to replenish soil fertility in East Africa. In Advances in Integrated Soil Fertility Management in Sub-Saharan Africa: Challenges and Opportunities; Bationo, A., Waswa, B., Kihara, J., Kimetu, J., Eds.; Springer: Dordrecht, The Netherlands, 2007; pp. 45–62. [Google Scholar] [CrossRef]
  11. Olympios, C.M. Soilless media under protected cultivation rockwool, peat, perlite and other substrates. Acta Hortic. 1993, 323, 215–234. [Google Scholar] [CrossRef]
  12. Nielsen, A.L.; Lewis, E.E. Designing the ideal habitat for entomopathogen use in nursery production. Pest Manag. Sci. 2012, 68, 1053–1061. [Google Scholar] [CrossRef]
  13. Bowen, P. The effect of oxygen fumigation of sawdust medium on the yield and yield-components of greenhouse cucumbers. Sci. Hortic. 1983, 20, 131–136. [Google Scholar] [CrossRef]
  14. Sawan, O.M.M.; Eissa, A. Sawdust as an alternative to peat moss media for cucumber seedlings production in greenhouses. Acta Hortic. 1996, 434, 127–138. [Google Scholar] [CrossRef]
  15. Maboko, M.M.; Du Plooy, C.P. High-density planting of tomato cultivar’s with early decapitation of growing point increased yield in a closed hydroponic system. Acta Agric. Scand. Sect. B-Soil Plant Sci. 2013, 63, 676–682. [Google Scholar] [CrossRef]
  16. Nichols, M.A.; Savidov, N.A. Evaluation of greenhouse substrates containing zeolite. Int. Symp. Soil. Cult. Hydroponics 2008, 843, 297–302. [Google Scholar] [CrossRef]
  17. Marinou, E.; Chrysargyris, A.; Tzortzakis, N. Use of sawdust, coco soil and pumice in hydroponically grown strawberry. Plant Soil Environ. 2013, 59, 452–459. [Google Scholar] [CrossRef] [Green Version]
  18. Ruifen, Q.; Dewei, Z.; Zhihao, X.; Genhua, Y.; Yonghua, M. Effects of soilless culture substrates on the physiology and yield of tomato. Acta Agric. Zhejiangensis 1991, 2, 88–95. [Google Scholar]
  19. Gemechu, E.M. Effect of inter-row spacing and nitrogen rates on growth, yield components, and yield of okra [Abelmoschus esculentus (L.) Moench] at Assosa. Western Ethiopia. Life Sci. J. 2018, 15, 1–16. [Google Scholar]
  20. Brandenberger, L.; Shrefler, J.; Damicone, J.; Eric Rebek, E.; Okra Production. Oklahoma Cooperative Extension Fact Sheets HLA-6025. 2018. Available online: https://extension.okstate.edu/fact-sheets/print-publications/hla/okra-production-hla-6025.pdf (accessed on 11 February 2022).
  21. Panwar, N. Studies on physicochemical characteristics and fertility of soil by addition of banana peels–waste management. Int. J. Sci. Res. Develop. 2015, 3, 121–125. [Google Scholar]
  22. Gaonkar, M.; Chakraborty, A.P. Application of eggshell as fertilizer and calcium supplement tablet. Int. J. Innov. Res. Sci. Eng. Technol. 2016, 5, 3520–3525. [Google Scholar] [CrossRef]
  23. Smart, R.E.; Bingham, G.E. Rapid estimates of relative water content. Plant Physiol. 1974, 53, 258–260. [Google Scholar] [CrossRef] [PubMed] [Green Version]
  24. Sairam, R.K. Effect of moisture-stress on physiological activities of two contrasting wheat genotypes. Indian J. Exp. Biol. 1994, 32, 594. [Google Scholar]
  25. Handreck, K.A. Nitrogen drawdown key to optimum growth. Aust. Hortic. 1991, 89, 38–43. [Google Scholar]
  26. Hoitink, H.A. Composted bark, a lightweight growth medium. Plant Dis. 1980, 64, 142–147. [Google Scholar] [CrossRef]
  27. Worrall, R.J. Composting wood wastes for potting mixes. Aust. Hortic. 1985, 83, 34–37. [Google Scholar]
  28. Maas, E.F.; Adamson, R.M. Resistance of sawdusts, peats, and bark to decomposition in the presence of soil and nutrient solution. Soil Sci. Soc. Am. J. 1972, 36, 769–772. [Google Scholar] [CrossRef]
  29. Ortega, M.C.; Moreno, M.T.; Ordovas, J.; Aguado, M.T. Behavior of different horticultural species in phytotoxicity bioassays of bark substrates. Sci. Hortic.-Amst. 1996, 66, 125–132. [Google Scholar] [CrossRef]
  30. Nichols, D. The effect of Pinus radiata bark toxicity on the early growth of plants in containers. Sci. Hortic. 1981, 15, 291–298. [Google Scholar] [CrossRef]
  31. Palacios, S.M.; Carpinella, M.C.; Diaz Napal, G.N.; Vaccarini, C.; Ferrayoli, C.G. Phytotoxic effects of Melia azedarach L. (Meliaceae) fruit extract on weeds and crops. Allelopath. J. 2009, 24, 389–396. [Google Scholar]
  32. Rafiq, M.A.; Ali, A.; Malik, M.A.; Hussain, M. Effect of fertilizer levels and plant densities on yield and protein contents of autumn planted maize. Pak. J. Agric. Sci. 2010, 47, 201–208. [Google Scholar]
Figure 1. Comparison of okra roots 110 days after sowing (S2) grown in mixtures of non-composted Melia azedarach (chinaberry) sawdust substrates in experiment 1. T1: 100% Soil (control) (v/v), T2: 100% M. azedarach sawdust (v/v) non-composted, T3: 80% M. azedarach sawdust +20% banana peel (v/v) non-composted, T4: 60% M. azedarach sawdust +20% banana peel +20% eggshells (v/v) non-composted, and T5: 60% M. azedarach sawdust +20% banana peel +20% eggshells (v/v) + urea (91 kg N ha−1) non-composted.
Figure 1. Comparison of okra roots 110 days after sowing (S2) grown in mixtures of non-composted Melia azedarach (chinaberry) sawdust substrates in experiment 1. T1: 100% Soil (control) (v/v), T2: 100% M. azedarach sawdust (v/v) non-composted, T3: 80% M. azedarach sawdust +20% banana peel (v/v) non-composted, T4: 60% M. azedarach sawdust +20% banana peel +20% eggshells (v/v) non-composted, and T5: 60% M. azedarach sawdust +20% banana peel +20% eggshells (v/v) + urea (91 kg N ha−1) non-composted.
Agriculture 12 00354 g001
Figure 2. Effect of non-composted Melia azedarach (chinaberry) sawdust substrates on Abelmoschus esculentus L. (okra) plant height (cm) (A,B), chlorophyll content index (C,D), stem diameter (mm) (E,F), and single leaf area (mm2) (G,H), at two plant growth stages, S1 (30 days after sowing), S2 (110 days after sowing), in experiment 1 and experiment 2. T1: 100% Soil (control) (v/v), T2: 100% M. azedarach sawdust (v/v) non-composted, T3: 80% M. azedarach sawdust +20% banana peel (v/v) non-composted, T4: 60% M. azedarach sawdust +20% banana peel +20% eggshells (v/v) non-composted, and T5: 60% M. azedarach sawdust +20% banana peel +20% eggshells (v/v) + urea (91 kg N ha−1) non-composted. Error bars indicate SE (n = 4). Different lettering at the top of vertical bars indicates a significant difference among treatments’ mean values measured by the Least Significant Difference test (LSD) at p < 0.05.
Figure 2. Effect of non-composted Melia azedarach (chinaberry) sawdust substrates on Abelmoschus esculentus L. (okra) plant height (cm) (A,B), chlorophyll content index (C,D), stem diameter (mm) (E,F), and single leaf area (mm2) (G,H), at two plant growth stages, S1 (30 days after sowing), S2 (110 days after sowing), in experiment 1 and experiment 2. T1: 100% Soil (control) (v/v), T2: 100% M. azedarach sawdust (v/v) non-composted, T3: 80% M. azedarach sawdust +20% banana peel (v/v) non-composted, T4: 60% M. azedarach sawdust +20% banana peel +20% eggshells (v/v) non-composted, and T5: 60% M. azedarach sawdust +20% banana peel +20% eggshells (v/v) + urea (91 kg N ha−1) non-composted. Error bars indicate SE (n = 4). Different lettering at the top of vertical bars indicates a significant difference among treatments’ mean values measured by the Least Significant Difference test (LSD) at p < 0.05.
Agriculture 12 00354 g002
Figure 3. Shoot fresh weight (g) (A,B) and root fresh weight (g) (C,D) of Abelmoschus esculentus L. (okra) grown in various mixtures of non-composted Melia azedarach (chinaberry) sawdust substrates at two different plant growth stages, S1 (30 days after sowing) and S2 (110 days after sowing), in exp-1 (experiment 1) and in exp-2 (experiment 2), respectively. T1: 100% soil (control) (v/v), T2: 100% M. azedarach sawdust (v/v) non-composted, T3: 80% M. azedarach sawdust +20% banana peel (v/v) non-composted, T4: 60% M. azedarach sawdust +20% banana peel +20% eggshells (v/v) non-composted, and T5: 60% M. azedarach sawdust +20% banana peel +20% eggshells (v/v) + urea (91 kg N ha−1) non-composted. Error bars indicate SE (n = 4). Different lettering at the top of vertical bars indicates a significant difference among treatments’ mean values measured by the Least Significant Difference test (LSD) at p < 0.05.
Figure 3. Shoot fresh weight (g) (A,B) and root fresh weight (g) (C,D) of Abelmoschus esculentus L. (okra) grown in various mixtures of non-composted Melia azedarach (chinaberry) sawdust substrates at two different plant growth stages, S1 (30 days after sowing) and S2 (110 days after sowing), in exp-1 (experiment 1) and in exp-2 (experiment 2), respectively. T1: 100% soil (control) (v/v), T2: 100% M. azedarach sawdust (v/v) non-composted, T3: 80% M. azedarach sawdust +20% banana peel (v/v) non-composted, T4: 60% M. azedarach sawdust +20% banana peel +20% eggshells (v/v) non-composted, and T5: 60% M. azedarach sawdust +20% banana peel +20% eggshells (v/v) + urea (91 kg N ha−1) non-composted. Error bars indicate SE (n = 4). Different lettering at the top of vertical bars indicates a significant difference among treatments’ mean values measured by the Least Significant Difference test (LSD) at p < 0.05.
Agriculture 12 00354 g003
Figure 4. Root length (cm) (A,B), shoot dry weight (g) (C,D), and root dry weight (g) (E,F) of Abelmoschus esculentus L. (okra) affected by various mixtures of non-composted Melia azedarach (chinaberry) sawdust substrates at two different plant growth stages, S1 (30 days after sowing) and S2 (110 days after sowing), in experiment 1 and experiment 2, respectively. T1: 100% soil (control) (v/v), T2: 100% M. azedarach sawdust (v/v) non-composted, T3: 80% M. azedarach sawdust +20% banana peel (v/v) non-composted, T4: 60% M. azedarach sawdust +20% banana peel +20% eggshells (v/v) non-composted, and T5: 60% M. azedarach sawdust +20% banana peel +20% eggshells (v/v) + urea (91 kg N ha−1) non-composted. Error bars indicate SE (n = 4). Different lettering at the top of vertical bars indicates a significant difference among treatments’ mean values measured by the Least Significant Difference test (LSD) at p ˂ 0.05.
Figure 4. Root length (cm) (A,B), shoot dry weight (g) (C,D), and root dry weight (g) (E,F) of Abelmoschus esculentus L. (okra) affected by various mixtures of non-composted Melia azedarach (chinaberry) sawdust substrates at two different plant growth stages, S1 (30 days after sowing) and S2 (110 days after sowing), in experiment 1 and experiment 2, respectively. T1: 100% soil (control) (v/v), T2: 100% M. azedarach sawdust (v/v) non-composted, T3: 80% M. azedarach sawdust +20% banana peel (v/v) non-composted, T4: 60% M. azedarach sawdust +20% banana peel +20% eggshells (v/v) non-composted, and T5: 60% M. azedarach sawdust +20% banana peel +20% eggshells (v/v) + urea (91 kg N ha−1) non-composted. Error bars indicate SE (n = 4). Different lettering at the top of vertical bars indicates a significant difference among treatments’ mean values measured by the Least Significant Difference test (LSD) at p ˂ 0.05.
Agriculture 12 00354 g004
Figure 5. The number of days to emergence (A,B), leaf relative water content (%) (C,D), and membrane stability index (%) (E,F) of Abelmoschus esculentus L. (okra) as affected by various mixtures of non-composted Melia azedarach (chinaberry) sawdust substrates in experiment 1 and experiment 2, respectively. T1: 100% soil (control) (v/v), T2: 100% M. azedarach sawdust (v/v) non-composted, T3: 80% M. azedarach sawdust +20% banana peel (v/v) non-composted, T4: 60% M. azedarach sawdust +20% banana peel +20% eggshells (v/v) non-composted, and T5: 60% M. azedarach sawdust +20% banana peel +20% eggshells (v/v) + urea (91 kg N ha−1) non-composted. Error bars indicate SE (n = 4). Different lettering at the top of vertical bars indicates a significant difference among treatments’ mean values measured by the Least Significant Difference test (LSD) at p < 0.05.
Figure 5. The number of days to emergence (A,B), leaf relative water content (%) (C,D), and membrane stability index (%) (E,F) of Abelmoschus esculentus L. (okra) as affected by various mixtures of non-composted Melia azedarach (chinaberry) sawdust substrates in experiment 1 and experiment 2, respectively. T1: 100% soil (control) (v/v), T2: 100% M. azedarach sawdust (v/v) non-composted, T3: 80% M. azedarach sawdust +20% banana peel (v/v) non-composted, T4: 60% M. azedarach sawdust +20% banana peel +20% eggshells (v/v) non-composted, and T5: 60% M. azedarach sawdust +20% banana peel +20% eggshells (v/v) + urea (91 kg N ha−1) non-composted. Error bars indicate SE (n = 4). Different lettering at the top of vertical bars indicates a significant difference among treatments’ mean values measured by the Least Significant Difference test (LSD) at p < 0.05.
Agriculture 12 00354 g005
Figure 6. The average number of days taken to first flower (A,B), average number of pods per plant−1 (C,D), average pod fresh weight per plant−1 (g) (E,F), and average pod dry weight per plant−1 (g) (G,H) of Abelmoschus esculentus L. (okra) as affected by various mixtures of non-composted Melia azedarach (Dhraik) sawdust substrates in exp-1 (experiment 1) and exp-2 (experiment 2), respectively. T1: 100% soil (control) (v/v), T2: 100% M. azedarach sawdust (v/v) non-composted, T3: 80% M. azedarach sawdust +20% banana peel (v/v) non-composted, T4: 60% M. azedarach sawdust +20% banana peel +20% eggshells (v/v) non-composted, and T5: 60% M. azedarach sawdust +20% banana peel +20% eggshells (v/v) + urea (91 kg N ha−1l) non-composted. Error bars indicate SE (n = 4). Different lettering at the top of vertical bars indicates a significant difference among treatments’ mean values measured by the Least Significant Difference test (LSD) at p ˂ 0.05.
Figure 6. The average number of days taken to first flower (A,B), average number of pods per plant−1 (C,D), average pod fresh weight per plant−1 (g) (E,F), and average pod dry weight per plant−1 (g) (G,H) of Abelmoschus esculentus L. (okra) as affected by various mixtures of non-composted Melia azedarach (Dhraik) sawdust substrates in exp-1 (experiment 1) and exp-2 (experiment 2), respectively. T1: 100% soil (control) (v/v), T2: 100% M. azedarach sawdust (v/v) non-composted, T3: 80% M. azedarach sawdust +20% banana peel (v/v) non-composted, T4: 60% M. azedarach sawdust +20% banana peel +20% eggshells (v/v) non-composted, and T5: 60% M. azedarach sawdust +20% banana peel +20% eggshells (v/v) + urea (91 kg N ha−1l) non-composted. Error bars indicate SE (n = 4). Different lettering at the top of vertical bars indicates a significant difference among treatments’ mean values measured by the Least Significant Difference test (LSD) at p ˂ 0.05.
Agriculture 12 00354 g006
Figure 7. Effect of non-composted Melia azedarach (chinaberry) sawdust substrates on the average pod length per plant−1 (cm) (A,B), average pod diameter per plant−1 (mm) (C,D), and the average number of seeds per pod−1 (E,F) of Abelmoschus esculentus L. (okra) when grown in various mixtures of non-composted M. azedarach sawdust, in experiment 1 and experiment 2, respectively. T1: 100% soil (control) (v/v), T2: 100% M. azedarach sawdust (v/v) non-composted, T3: 80% M. azedarach sawdust +20% banana peel (v/v) non-composted, T4: 60% M. azedarach sawdust +20% banana peel +20% eggshells (v/v) non-composted, and T5: 60% M. azedarach sawdust +20% banana peel +20% eggshells (v/v) + urea (91 kg N ha−1) non-composted. Error bars indicate SE (n = 4). Different lettering at the top of vertical bars indicates a significant difference among mean values measured by the Least Significant Difference test (LSD) at p < 0.05.
Figure 7. Effect of non-composted Melia azedarach (chinaberry) sawdust substrates on the average pod length per plant−1 (cm) (A,B), average pod diameter per plant−1 (mm) (C,D), and the average number of seeds per pod−1 (E,F) of Abelmoschus esculentus L. (okra) when grown in various mixtures of non-composted M. azedarach sawdust, in experiment 1 and experiment 2, respectively. T1: 100% soil (control) (v/v), T2: 100% M. azedarach sawdust (v/v) non-composted, T3: 80% M. azedarach sawdust +20% banana peel (v/v) non-composted, T4: 60% M. azedarach sawdust +20% banana peel +20% eggshells (v/v) non-composted, and T5: 60% M. azedarach sawdust +20% banana peel +20% eggshells (v/v) + urea (91 kg N ha−1) non-composted. Error bars indicate SE (n = 4). Different lettering at the top of vertical bars indicates a significant difference among mean values measured by the Least Significant Difference test (LSD) at p < 0.05.
Agriculture 12 00354 g007
Table 1. Total mass and composition of non-composted M. azedarach sawdust substrate mixtures used in each pot in the two experiments.
Table 1. Total mass and composition of non-composted M. azedarach sawdust substrate mixtures used in each pot in the two experiments.
TreatmentsSubstrateVolume %Volume (Liter Pot−1)Weight
T1Soil100%5.6 6 kg
T2Sawdust100%5.6 1 kg
T3Sawdust80%4.480.8 kg
Banana peels20%0.1120.35 kg
Total100%5.61.15 kg
T4Sawdust60%3.360.6 kg
Banana peels20%0.1120.35 kg
Eggshells20%0.1120.85 kg
Total100%5.61.80 g
T5Sawdust60%3.360.6 kg
Banana peels20%0.1120.35 kg
Eggshells20%0.1120.85 kg
Urea 0.0017 kg
Total100%5.61.8017 kg
Table 2. The basic physio-chemical properties of the soil and non-composted Melia azedarach sawdust mixtures used for experiments.
Table 2. The basic physio-chemical properties of the soil and non-composted Melia azedarach sawdust mixtures used for experiments.
AttributesT1T2T3T4T5
Soil textural classSandy clay loamSoillessSoillessSoillessSoilless
Sand (g kg−1 of soil)569.0----
Silt (g kg−1 of soil)198.0----
Clay (g kg−1 of soil)233.0----
pH7.76 ± 0.068.42 ± 0.028.23 ± 0.078.15 ± 0.047.91 ± 0.03
EC (µS cm−1)1127 ± 16.41994 ± 5.281031 ± 4.411045 ± 5.411078 ± 11.21
Water holding capacity (g g−1)0.38 ± 0.210.28 ± 0.360.29 ± 0.220.31 ± 0.260.32 ± 0.38
C:N ratio34.63 ± 0.2258.15 ± 0.1557.78 ± 0.2156.18 ± 0.1945.14 ± 0.11
Dissolved organic C (mg kg−1)44.57 ± 3.5131.39 ± 2.8133.21 ± 2.3533.96 ± 1.2734.57 ± 2.31
Available N (mg kg−1)49 ± 0.9333 ± 0.8534 ± 0.1934 ± 0.8440 ± 0.24
Available P (mg kg−1)6.89 ± 0.744.59 ± 0.484.61 ± 0.944.68 ± 0.634.71 ± 0.74
Available K (mg kg−1)185.82 ± 8.56163.79 ± 6.46171.35 ± 6.54172.87 ± 9.41174.72 ± 7.12
T1: 100% sandy clay loam unfertilized soil (control) (v/v), T2: 100% M. azedarach sawdust (v/v) non-composted, T3: 80% M. azedarach sawdust +20% banana peel (v/v) non-composted, T4: 60% M. azedarach sawdust +20% banana peel +20% eggshells (v/v) non-composted, and T5: 60% M. azedarach sawdust +20% banana peel +20% eggshells (v/v) + urea (91 kg N ha−1) non-composted.
Publisher’s Note: MDPI stays neutral with regard to jurisdictional claims in published maps and institutional affiliations.

Share and Cite

MDPI and ACS Style

Yasin, M.; Noorani, H.; Anwar, F.; Siddiqui, M.; Safdar, M.E.; Andreasen, C. Non-Composted Chinaberry (Melia azedarach L.) Sawdust Mixtures as Growth Medium for Okra (Abelmoschus esculentus (L.) Moench). Agriculture 2022, 12, 354. https://doi.org/10.3390/agriculture12030354

AMA Style

Yasin M, Noorani H, Anwar F, Siddiqui M, Safdar ME, Andreasen C. Non-Composted Chinaberry (Melia azedarach L.) Sawdust Mixtures as Growth Medium for Okra (Abelmoschus esculentus (L.) Moench). Agriculture. 2022; 12(3):354. https://doi.org/10.3390/agriculture12030354

Chicago/Turabian Style

Yasin, Muhammad, Hassan Noorani, Farhan Anwar, Manahil Siddiqui, Muhammad Ehsan Safdar, and Christian Andreasen. 2022. "Non-Composted Chinaberry (Melia azedarach L.) Sawdust Mixtures as Growth Medium for Okra (Abelmoschus esculentus (L.) Moench)" Agriculture 12, no. 3: 354. https://doi.org/10.3390/agriculture12030354

APA Style

Yasin, M., Noorani, H., Anwar, F., Siddiqui, M., Safdar, M. E., & Andreasen, C. (2022). Non-Composted Chinaberry (Melia azedarach L.) Sawdust Mixtures as Growth Medium for Okra (Abelmoschus esculentus (L.) Moench). Agriculture, 12(3), 354. https://doi.org/10.3390/agriculture12030354

Note that from the first issue of 2016, this journal uses article numbers instead of page numbers. See further details here.

Article Metrics

Back to TopTop