Clinical Outcome of Carbon Fiber Reinforced Polyetheretherketone Plates in Patients with Proximal Humeral Fracture: One-Year Follow-Up
Abstract
:1. Introduction
2. Materials and Methods
Statistics
3. Results
Functional Outcome
4. Discussion
5. Conclusions
Author Contributions
Funding
Institutional Review Board Statement
Informed Consent Statement
Data Availability Statement
Conflicts of Interest
Abbreviations
| ASA | American Society of Anesthesiologists |
| BMI | Body Mass Index |
| DASH-Score | Disabilities of the Arm, Shoulder and Hand-Score |
| CFR-PEEK | carbon fiber reinforced polyetheretherketone |
| PHILOS | proximal humerus internal locking system |
References
- Baron, J.A.; Karagas, M.; Barrett, J.; Kniffin, W.; Malenka, D.; Mayor, M.; Keller, R.B. Basic epidemiology of fractures of the upper and lower limb among Americans over 65 years of age. Epidemiology 1996, 7, 612–618. [Google Scholar] [CrossRef]
- Bell, J.E.; Leung, B.C.; Spratt, K.F.; Koval, K.J.; Weinstein, J.D.; Goodman, D.C.; Tosteson, A.N. Trends and variation in incidence, surgical treatment, and repeat surgery of proximal humeral fractures in the elderly. J. Bone Jt. Surg. 2011, 93, 121–131. [Google Scholar] [CrossRef]
- Court-Brown, C.M.; McQueen, M.M. Global Forum: Fractures in the Elderly. J. Bone Jt. Surg. 2016, 98, e36. [Google Scholar] [CrossRef]
- Passaretti, D.; Candela, V.; Sessa, P.; Gumina, S. Epidemiology of proximal humeral fractures: A detailed survey of 711 patients in a metropolitan area. J. Shoulder Elb. Surg. 2017, 26, 2117–2124. [Google Scholar] [CrossRef]
- Gupta, A.K.; Harris, J.D.; Erickson, B.J.; Abrams, G.D.; Bruce, B.; McCormick, F.; Nicholson, G.P.; Romeo, A.A. Surgical management of complex proximal humerus fractures-a systematic review of 92 studies including 4500 patients. J. Orthop. Trauma 2015, 29, 54–59. [Google Scholar] [CrossRef] [PubMed]
- Konigshausen, M.; Kubler, L.; Godry, H.; Citak, M.; Schildhauer, T.A.; Seybold, D. Clinical outcome and complications using a polyaxial locking plate in the treatment of displaced proximal humerus fractures. A reliable system? Injury 2012, 43, 223–231. [Google Scholar] [CrossRef] [PubMed]
- Schliemann, B.; Siemoneit, J.; Theisen, C.; Kosters, C.; Weimann, A.; Raschke, M.J. Complex fractures of the proximal humerus in the elderly—Outcome and complications after locking plate fixation. Musculoskelet. Surg. 2012, 96 (Suppl. 1), S3–S11. [Google Scholar] [CrossRef]
- Schliemann, B.; Wähnert, D.; Theisen, C.; Herbort, M.; Kösters, C.; Raschke, M.J.; Weimann, A. How to enhance the stability of locking plate fixation of proximal humerus fractures? An overview of current biomechanical and clinical data. Injury 2015, 46, 1207–1214. [Google Scholar] [CrossRef] [PubMed]
- Acklin, Y.P.; Stoffel, K.; Sommer, C. A prospective analysis of the functional and radiological outcomes of minimally invasive plating in proximal humerus fractures. Injury 2013, 44, 456–460. [Google Scholar] [CrossRef]
- Brunner, F.; Sommer, C.; Bahrs, C.; Heuwinkel, R.; Hafner, C.; Rillmann, P.; Kohut, G.; Ekelund, A.; Muller, M.; Audigé, L.; et al. Open reduction and internal fixation of proximal humerus fractures using a proximal humeral locked plate: A prospective multicenter analysis. J. Orthop. Trauma 2009, 23, 163–172. [Google Scholar] [CrossRef]
- Falez, F.; Papalia, M.; Greco, A.; Teti, A.; Favetti, F.; Panegrossi, G.; Casella, F.; Necozione, S. Minimally invasive plate osteosynthesis in proximal humeral fractures: One-year results of a prospective multicenter study. Int. Orthop. 2016, 40, 579–585. [Google Scholar] [CrossRef]
- Handschin, A.E.; Cardell, M.; Contaldo, C.; Trentz, O.; Wanner, G.A. Functional results of angular-stable plate fixation in displaced proximal humeral fractures. Injury 2008, 39, 306–313. [Google Scholar] [CrossRef] [PubMed]
- Tepass, A.; Blumenstock, G.; Weise, K.; Rolauffs, B.; Bahrs, C. Current strategies for the treatment of proximal humeral fractures: An analysis of a survey carried out at 348 hospitals in Germany, Austria, and Switzerland. J. Shoulder Elb. Surg. 2013, 22, e8–e14. [Google Scholar] [CrossRef]
- Konrad, G.; Bayer, J.; Hepp, P.; Voigt, C.; Oestern, H.; Kääb, M.; Luo, C.; Plecko, M.; Wendt, K.; Köstler, W.; et al. Open reduction and internal fixation of proximal humeral fractures with use of the locking proximal humerus plate. Surgical technique. J. Bone Jt. Surg. 2010, 92 Pt 1 (Suppl. 1), 85–95. [Google Scholar] [CrossRef] [PubMed]
- Owsley, K.C.; Gorczyca, J.T. Fracture displacement and screw cutout after open reduction and locked plate fixation of proximal humeral fractures [corrected]. J. Bone Jt. Surg. 2008, 90, 233–240. [Google Scholar] [CrossRef]
- Spross, C.; Platz, A.; Erschbamer, M.; Lattmann, T.; Dietrich, M. Surgical treatment of Neer Group VI proximal humeral fractures: Retrospective comparison of PHILOS(R) and hemiarthroplasty. Clin. Orthop. Relat. Res. 2012, 470, 2035–2042. [Google Scholar] [CrossRef] [PubMed]
- Fu, T.; Xia, C.; Li, Z.; Wu, H. Surgical versus conservative treatment for displaced proximal humeral fractures in elderly patients: A meta-analysis. Int. J. Clin. Exp. Med. 2014, 7, 4607–4615. [Google Scholar] [PubMed]
- Okike, K.; Lee, O.C.; Makanji, H.; Morgan, J.H.; Harris, M.B.; Vrahas, M.S. Comparison of locked plate fixation and nonoperative management for displaced proximal humerus fractures in elderly patients. Am. J. Orthop. 2015, 44, E106–E112. [Google Scholar]
- Olerud, P.; Ahrengart, L.; Ponzer, S.; Saving, J.; Tidermark, J. Internal fixation versus nonoperative treatment of displaced 3-part proximal humeral fractures in elderly patients: A randomized controlled trial. J. Shoulder Elb. Surg. 2011, 20, 747–755. [Google Scholar] [CrossRef]
- Padolino, A.; Porcellini, G.; Guollo, B.; Fabbri, E.; Kiran Kumar, G.N.; Paladini, P.; Merolla, G. Comparison of CFR-PEEK and conventional titanium locking plates for proximal humeral fractures: A retrospective controlled study of patient outcomes. Musculoskelet. Surg. 2018, 102, 49–56. [Google Scholar] [CrossRef]
- Rotini, R.; Cavaciocchi, M.; Fabbri, D.; Bettelli, G.; Catani, F.; Campochiaro, G.; Fontana, M.; Colozza, A.; De Biase, C.F.; Ziveri, G.; et al. Proximal humeral fracture fixation: Multicenter study with carbon fiber peek plate. Musculoskelet. Surg. 2015, 99 (Suppl. 1), S1–S8. [Google Scholar] [CrossRef]
- Schliemann, B.; Hartensuer, R.; Koch, T.; Theisen, C.; Raschke, M.J.; Kösters, C.; Weimann, A. Treatment of proximal humerus fractures with a CFR-PEEK plate: 2-year results of a prospective study and comparison to fixation with a conventional locking plate. J. Shoulder Elb. Surg. 2015, 24, 1282–1288. [Google Scholar] [CrossRef] [PubMed]
- Schliemann, B.; Seifert, R.; Theisen, C.; Gehweiler, D.; Wähnert, D.; Schulze, M.; Raschke, M.J.; Weimann, A. PEEK versus titanium locking plates for proximal humerus fracture fixation: A comparative biomechanical study in two- and three-part fractures. Arch. Orthop. Trauma Surg. 2017, 137, 63–71. [Google Scholar] [CrossRef] [PubMed]
- Katthagen, J.C.; Schwarze, M.; Warnhoff, M.; Voigt, C.; Hurschler, C.; Lill, H. Influence of plate material and screw design on stiffness and ultimate load of locked plating in osteoporotic proximal humeral fractures. Injury 2016, 47, 617–624. [Google Scholar] [CrossRef] [PubMed]
- Ziegler, P.; Maier, S.; Stockle, U.; Guhring, M.; Stuby, F.M. The Treatment of Proximal Humerus Fracture Using Internal Fixation with Fixed-angle Plates. Dtsch. Arztebl. Int. 2019, 116, 757–763. [Google Scholar] [CrossRef]
- Arbeitsgemeinschaft der Wissenschaftlichen Medizinischen Fachgesellschaften. S1 Leitlinie: Oberarmkopffraktur; AWMF-Nr. 012-023; AWMF: Duesseldorfc, Germany, 18 October 2017. [Google Scholar]
- Lill, H.; Hepp, P.; Korner, J.; Kassi, J.P.; Verheyden, A.P.; Josten, C.; Duda, G.N. Proximal humeral fractures: How stiff should an implant be? A comparative mechanical study with new implants in human specimens. Arch. Orthop. Trauma Surg. 2003, 123, 74–81. [Google Scholar] [CrossRef]
- Katthagen, J.C.; Ellwein, A.; Lutz, O.; Voigt, C.; Lill, H. Outcomes of proximal humeral fracture fixation with locked CFR-PEEK plating. Eur. J. Orthop. Surg. Traumatol. 2017, 27, 351–358. [Google Scholar] [CrossRef]

| (a) | |||
| Average | Standard Deviation | Median | |
| Age Overall Collective (1-Year-Follow-Up) | 62.65 | 11.34 | 61 |
| Age Titanium Collective (1-Year-Follow-Up) | 62.80 | 9.79 | 62 |
| Age PEEK Collective (1-Year Follow-Up) | 62.52 | 12.53 | 61 |
| (b) | |||
| Gender | PEEK | Titanium | |
| Female | 24 (82.8%) | 21 (84.0%) | |
| Male | 5 (17.2%) | 4 (16.0%) | |
| (c) | |||
| Neer-Classification | PEEK | Titanium | |
| 2-Part | 6 (20.7%) | 3 (12.0%) | |
| 3-Part | 19 (65.5%) | 13 (52.0%) | |
| 4-Part | 4 (13.8%) | 9 (36.0%) | |
| PEEK | Titan | ||
|---|---|---|---|
| Questionnaire | Time Point | p-Value | p-Value |
| OSS | 6 w–12 m | <0.0001 | <0.0001 |
| 6 w–6 m | <0.0001 | <0.0001 | |
| 6 w–12 w | <0.0001 | <0.0001 | |
| 12 w–12 m | ns | 0.0201 | |
| 12 w–6 m | ns | 0.0358 | |
| SST | 6 w–12 m | <0.0001 | <0.0001 |
| 6 w–6 m | <0.0001 | <0.0001 | |
| 6 w–12 w | <0.0001 | 0.0001 | |
| 12 w–12 m | 0.0185 | 0.0014 | |
| 12 w–6 m | ns | 0.0363 | |
| DASH | 6 w–12 m | <0.0001 | <0.0001 |
| 6 w–6 m | <0.0001 | <0.0001 | |
| 6 w–12 w | 0.0006 | <0.0001 | |
| 12 w–12 m | 0.0015 | 0.0264 |
| PEEK | Titan | ||||
|---|---|---|---|---|---|
| Questionnaire | Time Point | Mean ± SD | Median (Min–Max) | Mean ± SD | Median (Min–Max) |
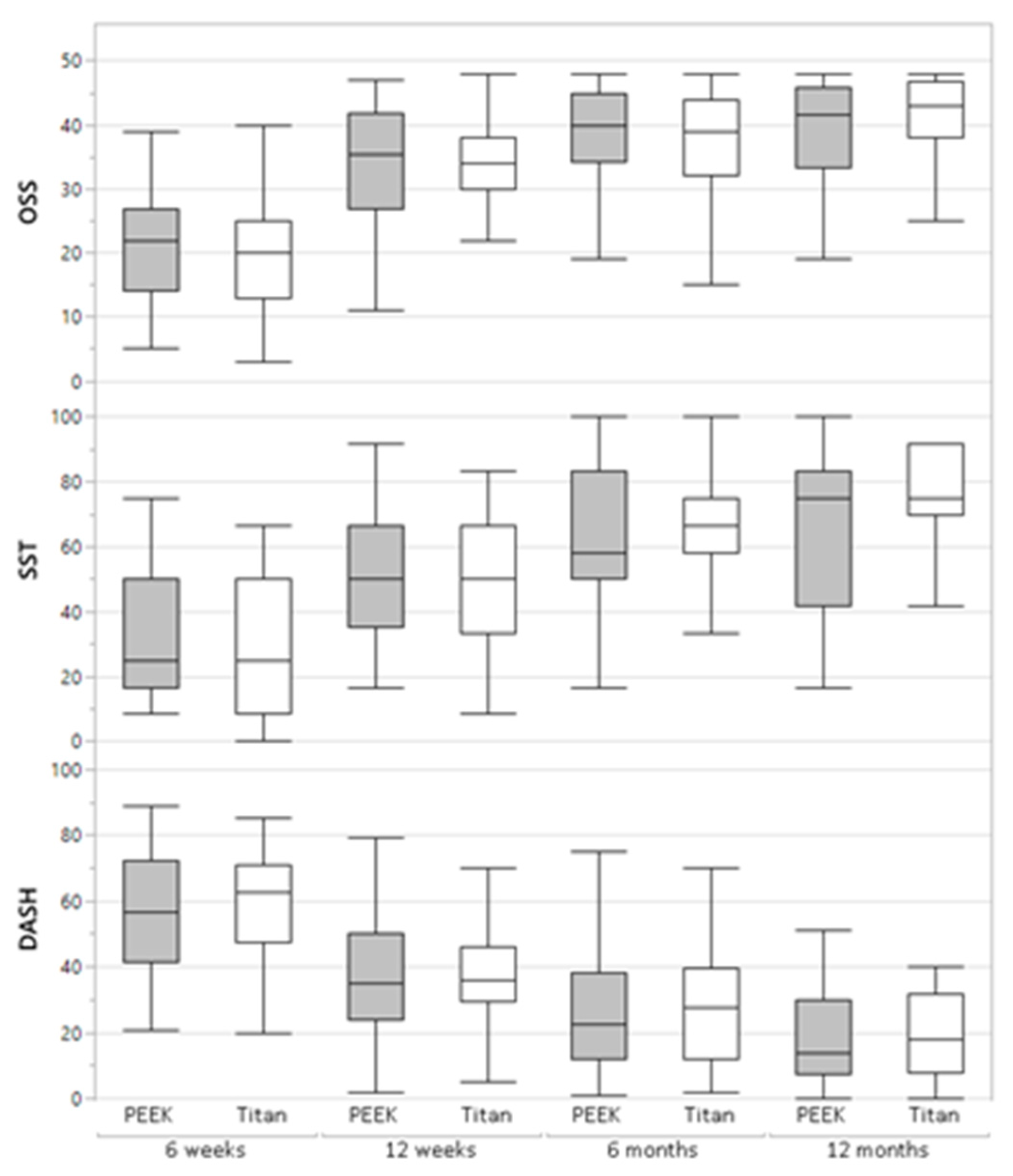
| OSS | 6 weeks | 20.3 ± 9.8 | 20.5 (3.0–40.0) | 20.4 ± 8.5 | 21.5 (3.0–39.0) |
| 12 weeks | 33.8 ± 10.0 | 35.5 (11.0–47.0) | 33.3 ± 6.5 | 34.0 (17.0–48.0) | |
| 6 months | 37.7 ± 8.8 | 40 (15.0–48.0) | 38.6 ± 6.8 | 39.0 (19.0–48.0) | |
| 12 months | 38.4 ± 12.2 | 43 (22–48.0) | 39.3 ± 8.6 | 42 (19.0–48.0) | |
| SST | 6 weeks | 30.0 ± 20.8 | 29.2 (0.0–75.0) | 29.4 ± 18.9 | 25.0 (0.0–75.0) |
| 12 weeks | 54.9 ± 24.8 | 54.2 (8.3–91.7) | 51.5 ± 16.5 | 50.0 (16.7–83.3) | |
| 6 months | 62.5 ± 22.3 | 61.8 (18.2–100) | 65.0 ± 20.1 | 58.3 (16.7–100.) | |
| 12 months | 71.5 ± 18.2 | 75 (33.3–100) | 71.3 ± 22.8 | 75 (16.7–100.) | |
| DASH | 6 weeks | 56.5 ± 19.3 | 56.9 (20.7–88.9) | 59.8 ± 15.6 | 62.5 (19.8–85.3) |
| 12 weeks | 38.4 ± 21.4 | 35.1 (1.7–79.3) | 37.7 ± 16.2 | 35.8 (5.2–73.3) | |
| 6 months | 27.5 ± 20.5 | 22.4 (1.0–81.5) | 28.5 ± 17.9 | 27.6 (1.7–69.8) | |
| 12 months | 18.6 ± 14.7 | 13.8 (0.0–50.9) | 23.9 ± 22.0 | 17.9 (0.0–78.4) | |
Disclaimer/Publisher’s Note: The statements, opinions and data contained in all publications are solely those of the individual author(s) and contributor(s) and not of MDPI and/or the editor(s). MDPI and/or the editor(s) disclaim responsibility for any injury to people or property resulting from any ideas, methods, instructions or products referred to in the content. |
© 2023 by the authors. Licensee MDPI, Basel, Switzerland. This article is an open access article distributed under the terms and conditions of the Creative Commons Attribution (CC BY) license (https://creativecommons.org/licenses/by/4.0/).
Share and Cite
Ziegler, P.; Maier, S.; Stuby, F.; Histing, T.; Ihle, C.; Stöckle, U.; Gühring, M. Clinical Outcome of Carbon Fiber Reinforced Polyetheretherketone Plates in Patients with Proximal Humeral Fracture: One-Year Follow-Up. J. Clin. Med. 2023, 12, 6881. https://doi.org/10.3390/jcm12216881
Ziegler P, Maier S, Stuby F, Histing T, Ihle C, Stöckle U, Gühring M. Clinical Outcome of Carbon Fiber Reinforced Polyetheretherketone Plates in Patients with Proximal Humeral Fracture: One-Year Follow-Up. Journal of Clinical Medicine. 2023; 12(21):6881. https://doi.org/10.3390/jcm12216881
Chicago/Turabian StyleZiegler, Patrick, Sven Maier, Fabian Stuby, Tina Histing, Christoph Ihle, Ulrich Stöckle, and Markus Gühring. 2023. "Clinical Outcome of Carbon Fiber Reinforced Polyetheretherketone Plates in Patients with Proximal Humeral Fracture: One-Year Follow-Up" Journal of Clinical Medicine 12, no. 21: 6881. https://doi.org/10.3390/jcm12216881
APA StyleZiegler, P., Maier, S., Stuby, F., Histing, T., Ihle, C., Stöckle, U., & Gühring, M. (2023). Clinical Outcome of Carbon Fiber Reinforced Polyetheretherketone Plates in Patients with Proximal Humeral Fracture: One-Year Follow-Up. Journal of Clinical Medicine, 12(21), 6881. https://doi.org/10.3390/jcm12216881
