Epiretinal Membrane Surgery: Structural Retinal Changes Correlate with the Improvement of Visual Function
Abstract
1. Introduction
2. Materials and Methods
2.1. Study Participants
2.2. Image Acquisition
2.3. Surgical Procedure
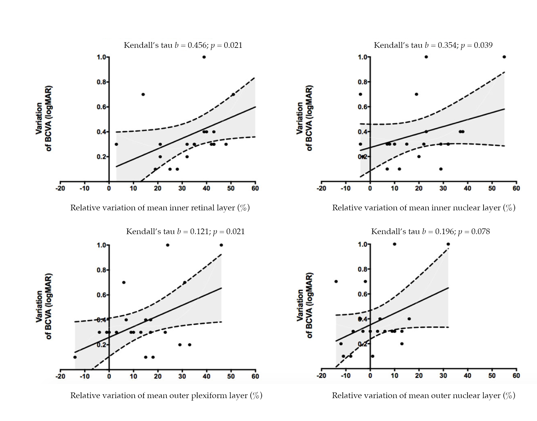
2.4. Statistical Analysis
3. Results
4. Discussion
5. Conclusions
Author Contributions
Funding
Institutional Review Board Statement
Informed Consent Statement
Data Availability Statement
Acknowledgments
Conflicts of Interest
References
- Mitchell, P.; Smith, W.; Chey, T.; Wang, J.J.; Chang, A. Prevalence and associations of epiretinal membranes. The Blue Mountains Eye Study, Australia. Ophthalmology 1997, 104, 1033–1040. [Google Scholar] [CrossRef]
- De Bustros, S.; Thompson, J.T.; Michels, R.G.; Rice, T.A.; Glaser, B.M. Vitrectomy for idiopathic epiretinal membranes causing macular pucker. Br. J. Ophthalmol. 1988, 72, 692–695. [Google Scholar] [CrossRef]
- Sebag, J.; Gupta, P.; Rosen, R.R.; Garcia, P.; Sadun, A.A. Macular holes and macular pucker: The role of vitreoschisis as imaged by optical coherence tomography/scanning laser ophthalmoscopy. Trans. Am. Ophthalmol. Soc. 2007, 105, 121–129. [Google Scholar] [PubMed]
- Iannetti, L.; Accorinti, M.; Malagola, R.; Bozzoni-Pantaleoni, F.; Da Dalt, S.; Nicoletti, F.; Gradini, R.; Traficante, A.; Campanella, M.; Pivetti-Pezzi, P. Role of the intravitreal growth factors in the pathogenesis of idiopathic epiretinal membrane. Investig. Ophthalmol. Vis. Sci. 2011, 52, 5786–5789. [Google Scholar] [CrossRef] [PubMed]
- Russo, A.; Ragusa, M.; Barbagallo, C.; Longo, A.; Avitabile, T.; Uva, M.G.; Bonfiglio, V.; Toro, M.D.; Caltabiano, R.; Mariotti, C.; et al. Correction: miRNAs in the vitreous humor of patients affected by idiopathic epiretinal membrane and macular hole. PLoS ONE 2017, 12, e0176618. [Google Scholar] [CrossRef] [PubMed]
- Kumagai, K.; Ogino, N.; Furukawa, M.; Hangai, M.; Kazama, S.; Nishigaki, S.; Larson, E. Retinal thickness after vitrectomy and internal limiting membrane peeling for macular hole and epiretinal membrane. Clin. Ophthalmol. 2012, 6, 679–688. [Google Scholar] [CrossRef] [PubMed][Green Version]
- Mathews, N.R.; Tarima, S.; Kim, D.G.; Kim, J.E. Foveal contour changes following surgery for idiopathic epiretinal membrane. Invest. Ophthalmol. Vis. Sci. 2014, 55, 7754–7760. [Google Scholar] [CrossRef] [PubMed]
- Hartmann, K.I.; Schuster, A.K.; Bartsch, D.U.; Kim, J.S.; Chhablani, J.; Freeman, W.R. Restoration of retinal layers after epiretinal membrane peeling. Retina 2014, 34, 647–654. [Google Scholar] [CrossRef]
- Hecht, I.; Yeshurun, I.; Bartov, E.; Bar, A.; Burgansky-Eliash, Z.; Achiron, A. Retinal layers thickness changes following epiretinal membrane surgery. Eye 2018, 32, 555–562. [Google Scholar] [CrossRef]
- Kromer, R.; Vogt, C.; Wagenfeld, L.; Spitzer, M.S.; Stemplewitz, B. Predicting Surgical Success in Patients with Idiopathic Epiretinal Membrane Using the Spectral-Domain Optical Coherence Tomography Segmentation Module for Single Retinal Layer Analysis. Curr. Eye Res. 2018, 43, 1024–1031. [Google Scholar] [CrossRef]
- Jonna, G.; Thompson, I.A.; Mendel, T.A.; Kim, S.J. Five-Year Functional Outcomes After Epiretinal Membrane Surgery: A Prospective, Controlled Study. Retina 2019, 39, 2326–2331. [Google Scholar] [CrossRef] [PubMed]
- Reibaldi, M.; Longo, A.; Avitabile, T.; Bonfiglio, V.; Toro, M.D.; Russo, A.; Viti, F.; Nicolai, M.; Saitta, A.; Giovannini, A.; et al. Transconjunctival Nonvitrectomizing Vitreous Surgery Versus 25-Gauge Vitrectomy in Patients with Epiretinal Membrane: A Prospective Randomized Study. Retina 2015, 35, 873–879. [Google Scholar] [CrossRef] [PubMed]
- Saito, Y.; Lewis, J.M.; Park, I.; Ikuno, Y.; Hayashi, A.; Ohji, M.; Tano, Y. Nonvitrectomizing vitreous surgery: A strategy to prevent postoperative nuclear sclerosis. Ophthalmology 1999, 106, 1541–1545. [Google Scholar] [CrossRef]
- Sun, Z.; Tang, F.; Wong, R.; Lok, J.; Szeto, S.K.H.; Chan, J.C.K.; Chan, C.K.M.; Tham, C.C.; Ng, D.S.; Cheung, C.Y. OCT Angiography Metrics Predict Progression of Diabetic Retinopathy and Development of Diabetic Macular Edema: A Prospective Study. Ophthalmology 2019, 126, 1675–1684. [Google Scholar] [CrossRef]
- Inoue, M.; Morita, S.; Watanabe, Y.; Kaneko, T.; Yamane, S.; Kobayashi, S.; Arakawa, A.; Kadonosono, K. Preoperative inner segment/outer segment junction in spectral-domain optical coherence tomography as a prognostic factor in epiretinal membrane surgery. Retina 2011, 31, 1366–1372. [Google Scholar] [CrossRef]
- Thompson, J.T. Vitrectomy for epiretinal membranes with good visual acuity. Trans. Am. Ophthalmol. Soc. 2004, 102, 97–103. [Google Scholar]
- Rahman, R.; Stephenson, J. Early surgery for epiretinal membrane preserves more vision for patients. Eye 2014, 28, 410–414. [Google Scholar] [CrossRef]
- Arichika, S.; Hangai, M.; Yoshimura, N. Correlation between thickening of the inner and outer retina and visual acuity in patients with epiretinal membrane. Retina 2010, 30, 503–508. [Google Scholar] [CrossRef]
- Ctori, I.; Huntjens, B. Repeatability of Foveal Measurements Using Spectralis Optical Coherence Tomography Segmentation Software. PLoS ONE 2015, 10, e0129005. [Google Scholar] [CrossRef]
- Cacciamani, A.; Cosimi, P.; Di Nicola, M.; Di Martino, G.; Ripandelli, G.; Scarinci, F. Correlation between Outer Retinal Thickening and Retinal Function Impairment in Patients with Idiopathic Epiretinal Membranes. Retina 2019, 39, 331–338. [Google Scholar] [CrossRef]
- Govetto, A.; Lalane, R.A., III; Sarraf, D.; Figueroa, M.S.; Hubschman, J.P. Insights into Epiretinal Membranes: Presence of Ectopic Inner Foveal Layers and a New Optical Coherence Tomography Staging Scheme. Am. J. Ophthalmol. 2017, 175, 99–113. [Google Scholar] [CrossRef] [PubMed]
- Song, S.J.; Lee, M.Y.; Smiddy, W.E. Ganglion Cell Layer Thickness and Visual Improvement after Epiretinal Membrane Surgery. Retina 2016, 36, 305–310. [Google Scholar] [CrossRef] [PubMed]
- Song, S.H. Complication characteristics between young-onset type 2 versus type 1 diabetes in a UK population. BMJ Open Diabetes Res. Care 2015, 3, e000044. [Google Scholar] [CrossRef] [PubMed]
- Govetto, A.; Virgili, G.; Rodriguez, F.J.; Figueroa, M.S.; Sarraf, D.; Hubschman, J.P. Functional and Anatomical Significance of the Ectopic Inner Foveal Layers in Eyes with Idiopathic Epiretinal Membranes: Surgical Results at 12 Months. Retina 2019, 39, 347–357. [Google Scholar] [CrossRef]
- Okamoto, F.; Sugiura, Y.; Okamoto, Y.; Hiraoka, T.; Oshika, T. Inner Nuclear Layer Thickness as a Prognostic Factor for Metamorphopsia after Epiretinal Membrane Surgery. Retina 2015, 35, 2107–2114. [Google Scholar] [CrossRef]
- Ichikawa, Y.; Imamura, Y.; Ishida, M. Inner Nuclear Layer Thickness, a Biomarker of Metamorphopsia in Epiretinal Membrane, Correlates with Tangential Retinal Displacement. Am. J. Ophthalmol. 2018, 193, 20–27. [Google Scholar] [CrossRef]
- Usui, Y.; Westenskow, P.D.; Kurihara, T.; Aguilar, E.; Sakimoto, S.; Paris, L.P.; Wittgrove, C.; Feitelberg, D.; Friedlander, M.S.; Moreno, S.K.; et al. Neurovascular crosstalk between interneurons and capillaries is required for vision. J. Clin. Investig. 2015, 125, 2335–2346. [Google Scholar] [CrossRef]
- Reichenbach, A.; Wurm, A.; Pannicke, T.; Iandiev, I.; Wiedemann, P.; Bringmann, A. Müller cells as players in retinal degeneration and edema. Graefes Arch. Clin. Exp. Ophthalmol. 2007, 245, 627–636. [Google Scholar] [CrossRef]
- Yagi, T.; Sakata, K.; Funatsu, H.; Noma, H.; Yamamoto, K.; Hori, S. Macular microcirculation in patients with epiretinal membrane before and after surgery. Graefes Arch. Clin. Exp. Ophthalmol. 2012, 250, 931–934. [Google Scholar] [CrossRef]
- Mastropasqua, R.; D’Aloisio, R.; Viggiano, P.; Borrelli, E.; Iafigliola, C.; Di Nicola, M.; Aharrh-Gnama, A.; Di Marzio, G.; Toto, L.; Mariotti, C.; et al. Early retinal flow changes after vitreoretinal surgery in idiopathic epiretinal membrane using swept source optical coherence tomography angiography. J. Clin. Med. 2019, 8, 2067. [Google Scholar] [CrossRef]
- Rommel, F.; Brinkmann, M.P.; Sochurek, J.A.M.; Prasuhn, M.; Grisanti, S.; Ranjbar, M. Ocular Blood Flow Changes Impact Visual Acuity Gain after Surgical Treatment for Idiopathic Epiretinal Membrane. J. Clin. Med. 2020, 9, 1768. [Google Scholar] [CrossRef] [PubMed]
- Birol, G.; Wang, S.; Budzynski, E.; Wangsa-Wirawan, N.D.; Linsenmeier, R.A. Oxygen distribution and consumption in the macaque retina. Am. J. Physiol. Heart Circ. Physiol. 2007, 293, H1696–H1704. [Google Scholar] [CrossRef] [PubMed]
- Govetto, A.; Bhavsar, K.V.; Virgili, G.; Gerber, M.J.; Freund, K.B.; Curcio, C.A.; Burgoyne, C.F.; Hubschman, J.P.; Sarraf, D. Tractional Abnormalities of the Central Foveal Bouquet in Epiretinal Membranes: Clinical Spectrum and Pathophysiological Perspectives. Am. J. Ophthalmol. 2017, 184, 167–180. [Google Scholar] [CrossRef] [PubMed]




| Pre-Operative | 1 Month | 3 Months | 6 Months | Relative Variation vs. Baseline | p-Value † | |
|---|---|---|---|---|---|---|
| IRL central | 159.57 ± 46.90 | 111.33 ± 19.16 *** | 102.29 ± 20.39 ** | 100.62 ± 17.41 | −0.31 ± 0.25 | <0.001 |
| Average IRL | 179.7 ± 32.1 | 130.2 ± 16.9 *** | 120.4 ± 17.2 ** | 115.7 ± 16.8 ** | −0.34 ± 0.13 | <0.001 |
| INL central | 87.05 ± 26.19 | 73.14 ± 16.37 *** | 65.57 ± 12.94 ** | 62.10 ± 13.87 ** | −0.25 ± 0.19 | <0.001 |
| Average INL | 70.8 ± 14.7 | 62.3 ± 10.42 | 58.3 ± 8.60 | 55.53 ± 8.07 * | −0.19 ± 0.15 | 0.014 |
| OPL central | 51.48 ± 10.78 | 43.86 ± 9.75 *** | 41.14 ± 7.67 ** | 38.29 ± 6.40 | −0.23 ± 0.15 | <0.001 |
| Average OPL | 47.2 ± 8.0 | 43.0 ± 5.72 *** | 41.5 ± 4.66 * | 39.85 ± 5.92 | −0.14 ± 0.13 | <0.001 |
| ONL central | 128.10 ± 27.34 | 122.10 ± 23.22 * | 118.86 ± 21.69 * | 115.10 ± 19.27 | −0.08 ± 0.14 | 0.005 |
| Average ONL | 91.2 ± 15.8 | 92.9 ± 14.8 | 90.8 ± 13.66 * | 87.28 ± 12.32 ** | −0.03 ± 0.11 | 0.043 |
Publisher’s Note: MDPI stays neutral with regard to jurisdictional claims in published maps and institutional affiliations. |
© 2020 by the authors. Licensee MDPI, Basel, Switzerland. This article is an open access article distributed under the terms and conditions of the Creative Commons Attribution (CC BY) license (http://creativecommons.org/licenses/by/4.0/).
Share and Cite
Cacciamani, A.; Cosimi, P.; Ripandelli, G.; Di Nicola, M.; Scarinci, F. Epiretinal Membrane Surgery: Structural Retinal Changes Correlate with the Improvement of Visual Function. J. Clin. Med. 2021, 10, 90. https://doi.org/10.3390/jcm10010090
Cacciamani A, Cosimi P, Ripandelli G, Di Nicola M, Scarinci F. Epiretinal Membrane Surgery: Structural Retinal Changes Correlate with the Improvement of Visual Function. Journal of Clinical Medicine. 2021; 10(1):90. https://doi.org/10.3390/jcm10010090
Chicago/Turabian StyleCacciamani, Andrea, Pamela Cosimi, Guido Ripandelli, Marta Di Nicola, and Fabio Scarinci. 2021. "Epiretinal Membrane Surgery: Structural Retinal Changes Correlate with the Improvement of Visual Function" Journal of Clinical Medicine 10, no. 1: 90. https://doi.org/10.3390/jcm10010090
APA StyleCacciamani, A., Cosimi, P., Ripandelli, G., Di Nicola, M., & Scarinci, F. (2021). Epiretinal Membrane Surgery: Structural Retinal Changes Correlate with the Improvement of Visual Function. Journal of Clinical Medicine, 10(1), 90. https://doi.org/10.3390/jcm10010090

