Electrochemical Conversion of CO2 to CO Utilizing Quaternized Polybenzimidazole Anion Exchange Membrane
Abstract
1. Introduction
2. Experimental
2.1. Reagents and Materials
2.2. Preparation of Quaternized Polybenzimidazole Membranes
2.3. Characterization of Membranes
3. Results and Discussion
3.1. Chemical Structure Analyses
3.2. Morphological Analyses
3.3. Mechanical and Thermal Properties Analyses
3.4. Water Uptake, Swelling Ratio and Ion Exchange Capacity Analyses
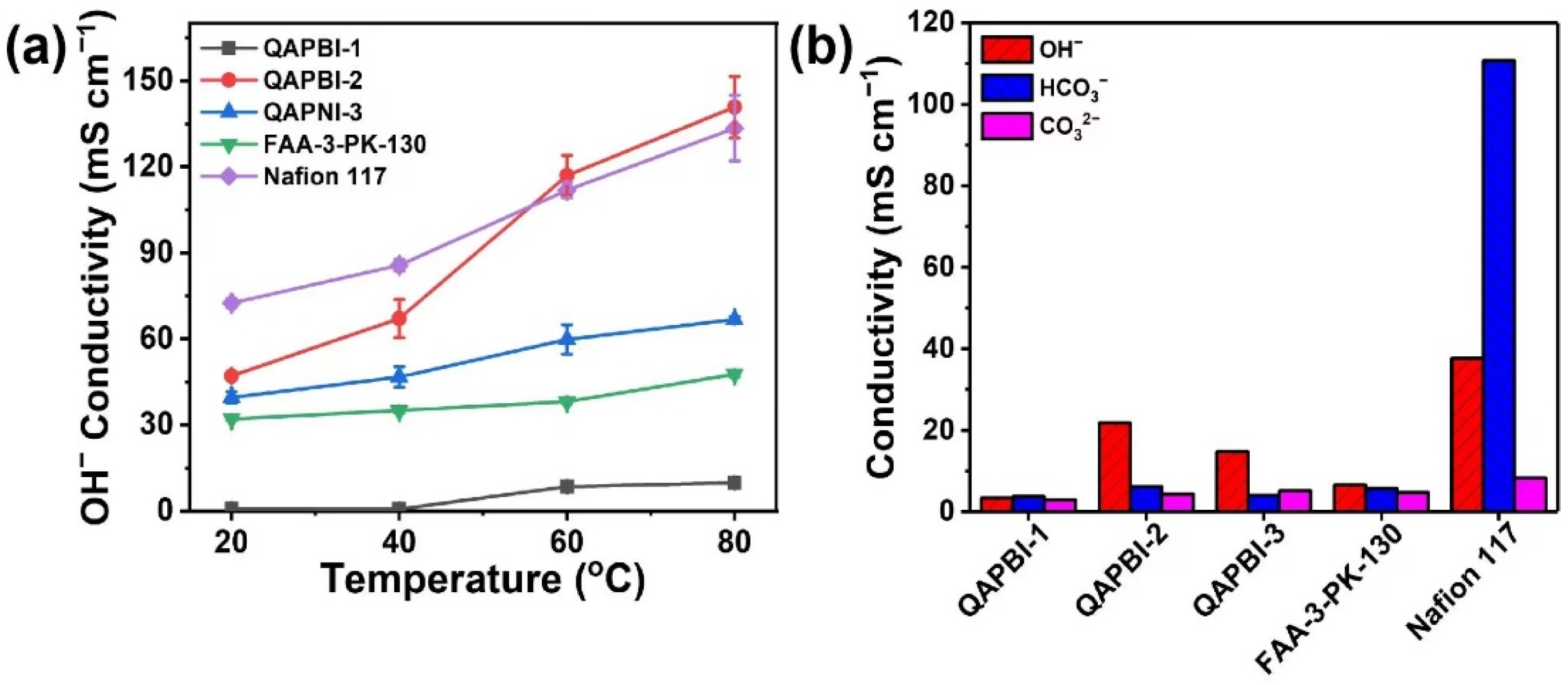
3.5. OH− Conductivity Analysis
3.6. ECR Performances
4. Conclusions
Supplementary Materials
Author Contributions
Funding
Institutional Review Board Statement
Informed Consent Statement
Data Availability Statement
Conflicts of Interest
References
- Perry, S.C.; Leung, P.K.; Wang, L.; León, C.P. Developments on carbon dioxide reduction: Their promise, achievements, and challenges. Curr. Opin. Electrochem. 2020, 20, 88–98. [Google Scholar] [CrossRef]
- Lai, W.C.; Qiao, Y.; Zhang, J.W.; Lin, Z.Q.; Huang, H.W. Design strategies for markedly enhancing energy efficiency in electrocatalytic CO2 reduction reaction. Energy Environ. Sci. 2022, 15, 3603–3629. [Google Scholar] [CrossRef]
- You, J.K.; Xiao, M.; Wang, Z.L.; Wang, L.Z. Non-noble metal-based cocatalysts for photocatalytic CO2 reduction. J. CO2 Util. 2022, 55, 101817. [Google Scholar] [CrossRef]
- Wagner, A.; Sahm, C.D.; Reisner, E. Towards molecular understanding of local chemical environment effects in electro- and photocatalytic CO2 reduction. Nat. Catal. 2020, 3, 775–786. [Google Scholar] [CrossRef]
- Xie, Y.L.; Li, X.; Wang, Y.; Li, B.W.; Yang, L.; Zhao, N.; Liu, M.F.; Wang, X.Z.; Yu, Y.; Liu, J.M. Reaction mechanisms for reduction of CO2 to CO on monolayer MoS2. Appl. Surf. Sci. 2020, 499, 143964. [Google Scholar] [CrossRef]
- Woldu, A.R.; Huang, Z.L.; Zhao, P.X.; Hu, L.S.; Astruc, D. Electrochemical CO2 reduction (CO2RR) to multi-carbon products over copper-based catalysts. Coord. Chem. Rev. 2022, 454, 214340. [Google Scholar] [CrossRef]
- Delacourt, C.; Ridgway, P.L.; Kerr, J.B.; Newman, J. Design of an electrochemical cell making syngas (CO+H2) from CO2 and H2O reduction at room temperature. J. Electrochem. Soc. 2008, 155, B42–B49. [Google Scholar] [CrossRef]
- Colin, O.; Hui, L. Electrochemical processing of carbon dioxide. ChemSusChem 2008, 1, 385–391. [Google Scholar]
- Lu, Q.; Jiao, F. Electrochemical CO2 reduction: Electrocatalyst, reaction mechanism, and process engineering. Nano Energy 2016, 29, 439–456. [Google Scholar] [CrossRef]
- Tan, X.Y.; Yu, C.; Ren, Y.W.; Cui, S.; Li, W.B.; Qiu, J.S. Recent advances in innovative strategies for the CO2 electroreduction reaction. Energy Environ. Sci. 2021, 14, 765–780. [Google Scholar] [CrossRef]
- Guo, C.; Zhang, T.; Liang, X.Y.; Deng, X.X.; Guo, W.Y.; Wang, Z.J.; Lu, X.Q.; Wu, C.M.L. Single transition metal atoms on nitrogen-doped carbon for CO2 electrocatalytic reduction: CO production or further CO reduction? Appl. Surf. Sci. 2020, 533, 147466. [Google Scholar] [CrossRef]
- Yin, Z.L.; Peng, H.Q.; Wei, X.; Zhou, H.; Gong, J.; Huai, M.M.; Xiao, L.; Wang, G.W.; Lu, J.T.; Zhuang, L. An alkaline polymer electrolyte CO2 electrolyzer operated with pure water. Energy Environ. Sci. 2019, 12, 2455–2462. [Google Scholar] [CrossRef]
- Guo, W.; Shim, K.B.; Kim, Y.T. Ag layer deposited on Zn by physical vapor deposition with enhanced CO selectivity for electrochemical CO2 reduction. Appl. Surf. Sci. 2020, 526, 146651. [Google Scholar] [CrossRef]
- Liu, Z.C.; Yang, H.Z.; Kutz, R.; Masel, R.I. CO2 electrolysis to CO and O2 at high selectivity, stability and efficiency using sustainion membranes. J. Electrochem. Soc. 2008, 15, J3371–J3377. [Google Scholar]
- Jheng, L.; Hsu, S.L.; Lin, B.; Hsu, Y. Quaternized polybenzimidazoles with imidazolium cation moieties for anion exchange membrane fuel cells. J. Membr. Sci. 2014, 460, 160–170. [Google Scholar] [CrossRef]
- Xia, Z.; Yuan, S.; Jiang, G.; Guo, X.; Fang, J.; Liu, L.; Qiao, J.; Yin, J. Polybenzimidazoles with pendant quaternary ammonium groups as potential anion exchange membranes for fuel cells. J. Membr. Sci. 2012, 390–391, 152–159. [Google Scholar] [CrossRef]
- Salvatore, D.A.; Gabardo, C.M.; Reyes, A.; O’Brien, C.P.; Holdcroft, S.; Pintauro, P.; Bahar, B.; Hickner, M.; Bae, C.; Sinton, D.; et al. Designing anion exchange membranes for CO2 electrolysers. Nat. Energy 2021, 6, 339–348. [Google Scholar] [CrossRef]
- Zhai, F.H.; Zhan, Q.Q.; Yang, Y.F.; Ye, N.Y.; Wan, R.Y.; Wang, J.; Chen, S.; He, R.H. A deep learning protocol for analyzing and predicting ionic conductivity of anion exchange membranes. J. Membr. Sci. 2022, 642, 119983. [Google Scholar] [CrossRef]
- Kutz, R.B.; Chen, Q.M.; Yang, H.Z.; Sajjad, S.D.; Liu, Z.C.; Masel, R. SustainionTM imidazolium functionalized polymers for CO2 electrolysis. Energy Tech. 2017, 6, 929–936. [Google Scholar] [CrossRef]
- Si, Z.H.; Qiu, L.H.; Dong, H.L.; Gu, F.L.; Li, Y.Y.; Yan, F. Effects of substituents and substitution positions on alkaline stability of imidazolium cations and their corresponding anion exchange membranes. ACS Appl. Mater. Interfaces 2014, 6, 4346–4355. [Google Scholar] [CrossRef]
- Yang, J.S.; Aili, D.; Li, Q.F.; Xu, Y.X.; Liu, P.P.; Che, Q.T.; Jensen, J.O.; Bjerrum, N.J.; He, R.H. Benzimidazole grafted polybenzimidazoles for proton exchange membrane fuel cells. Polym. Chem. 2013, 4, 4768–4775. [Google Scholar] [CrossRef]
- Li, J.S.; Wang, S.; Liu, F.X.; Chen, H.; Wang, X.; Mao, T.J.; Wang, D.; Liu, G.; Wang, Z. Flame-retardant AEMs based on organic-inorganic composite polybenzimidazole membranes with enhanced hydroxide conductivity. J. Membr. Sci. 2019, 591, 117360. [Google Scholar] [CrossRef]
- Ren, X.R.; Zhao, L.N.; Che, X.F.; Cai, Y.Y.; Li, Y.Q.; Li, H.H.; Chen, H.; He, H.X.; Liu, J.G.; Yang, J.S. Quaternary ammonium groups grafted polybenzimidazole membranes for vanadium redox flow battery applications. J. Power Sources 2020, 457, 228037. [Google Scholar] [CrossRef]
- Liu, G.L.; Wang, A.L.; Ji, X.W.; Zhang, F.F.; Wu, J.N.; Zhang, T.Y.; Tang, H.L.; Zhang, H.N. In-situ crosslinked, side chain polybenzimidazole-based anion exchange membranes for alkaline direct methanol fuel cells. Chem. Eng. J. 2023, 454, 140046. [Google Scholar] [CrossRef]
- McNair, R.; Cseri, l.; Szekely, G.; Dryfe, R. Asymmetric membrane capacitive deionization using anion-exchange membranes based on quaternized polymer blends. ACS Appl. Polym. Mater. 2020, 2, 2946–2956. [Google Scholar] [CrossRef]
- Li, X.B.; Wang, P.; Liu, Z.C.; Peng, J.W.; Shi, C.Y.; Hu, W.; Jiang, Z.H.; Liu, B.J. Arylether-type polybenzimidazoles bearing benzimidazolyl pendants for high-temperature proton exchange membrane fuel cells. J. Power Sources 2018, 393, 99–107. [Google Scholar] [CrossRef]
- Ran, J.; Wu, L.; Varcoe, J.R.; Ong, A.L.; Poynton, S.D.; Xu, T.W. Development of imidazolium-type alkaline anion exchange membranes for fuel cell application. J. Membr. Sci. 2012, 415, 242–249. [Google Scholar] [CrossRef]
- Wu, J.R.; Wei, X.T.; Jiang, H.; Zhu, Y.Q. Synthesis and properties of anion conductive polymers containing dual quaternary ammonium groups without beta-hydrogen via CuAAC click chemistry. Polymer 2021, 228, 123920. [Google Scholar] [CrossRef]
- Chen, W.; Zhang, X.P.; Zhang, Y.D.; Mamadiev, M. Facile and efficient synthesis of polyacrylonitrile-based functional fibers and its sorption properties of perfluorooctane sulfonate and perfluorooctanoate. J. Mol. Liq. 2017, 241, 1013–1022. [Google Scholar] [CrossRef]
- Yan, X.M.; Zhang, C.M.; Dong, Z.W.; Jiang, B.W.; Dai, Y.; Wu, X.M.; He, G.H. Amphiprotic side-chain functionalization constructing highly proton/vanadium-selective transport channels for high-performance membranes in Vanadium redox flow batteries. ACS Appl. Mater. Interfaces 2018, 10, 32247–32255. [Google Scholar] [CrossRef]
- Herranz, D.; Escudero-Cid, R.; Montiel, M.; Palacio, C.; Fatás, E.; Ocón, P. Poly (vinyl alcohol) and poly (benzimidazole) blend membranes for high performance alkaline direct ethanol fuel cells. Renew. Energy 2018, 127, 883–895. [Google Scholar] [CrossRef]
- Jheng, L.C.; Hsu, S.L.C.; Tsaia, T.Y.; Chang, W.J.Y. A novel asymmetric polybenzimidazole membrane for high temperature proton exchange membrane fuel cells. J. Mater. Chem. A 2014, 2, 4225–4233. [Google Scholar] [CrossRef]
- Devrim, Y.; Durmuş, G.N.B. Composite membrane by incorporating sulfonated graphene oxide in polybenzimidazole for high temperature proton exchange membrane fuel cells. Int. J. Hydrogen Energy 2022, 47, 9004–9017. [Google Scholar] [CrossRef]
- Irfan, M.; Bakangura, E.; Afsar, N.U.; Hossain, M.M.; Ran, J.; Xu, T.W. Preparation and performance evaluation of novel alkaline stable anion exchange membranes. J. Power Sources 2017, 355, 171–180. [Google Scholar] [CrossRef]
- Lin, C.X.; Huang, X.L.; Guo, D.; Zhang, Q.G.; Zhu, A.M.; Ye, M.L.; Liu, Q.L. Side-chain-type anion exchange membranes bearing pendant quaternary ammonium groups via flexible spacer for fuel cells. J. Mater. Chem. A 2016, 4, 13938–13948. [Google Scholar] [CrossRef]
- Han, J.J.; Gong, S.Q.; Peng, Z.S.; Cheng, X.Q.; Li, Y.H.; Peng, H.Q.; Zhu, Y.C.; Ren, Z.D.; Xiao, L.; Zhuang, L. Comb-shaped anion exchange membranes: Hydrophobic side chains grafted onto backbones or linked to cations? J. Membr. Sci. 2021, 626, 119096. [Google Scholar] [CrossRef]
- Li, H.T.; Zhang, G.; Ma, W.J.; Zhao, C.J.; Zhang, Y.; Han, M.M.; Zhu, J.; Liu, Z.G.; Wu, J.; Na, H. Composite membranes based on a novel benzimidazole grafted PEEK and SPEEK for fuel cells. Int. J. Hydrogen Eng. 2010, 35, 11172–11179. [Google Scholar] [CrossRef]
- Lin, C.X.; Liu, X.; Yang, Q.; Wu, H.Y.; Liu, F.H.; Zhang, Q.G.; Zhu, A.M.; Liu, Q.L. Hydrophobic side chains to enhance hydroxide conductivity and physicochemical stabilities of side-chain-type polymer AEMs. J. Membr. Sci. 2019, 585, 90–98. [Google Scholar] [CrossRef]
- Huang, T.; Song, J.F.; He, H.L.; Zhang, Y.B.; Li, X.M.; He, T. Impact of SPEEK on PEEK membranes: Demixing, morphology and performance enhancement in lithium membrane extraction. J. Membr. Sci. 2020, 615, 118448. [Google Scholar] [CrossRef]
- Haubold, H.G.; Vad, T.; Jungbluth, H.; Hiller, P. Nano structure of NAFION: A SAXS study. Electrochim. Acta 2001, 46, 1559–1563. [Google Scholar] [CrossRef]
- Dong, D.W.; Xiao, Y.F.; Zhang, M.H.; Yang, Z.J.; Wang, K.; Fan, M.M. Crosslinked anion exchange membranes with regional intensive ion clusters prepared from quaternized branched polyethyleneimine/quaternized polysulfone. Int. J. Hydrogen Energy 2022, 47, 24991–25006. [Google Scholar] [CrossRef]
- Nairab, R.M.; Kumar, S.; Wonanked, A.D.D.; Addicoatd, M.A.; Dryfe, R.A.W.; Szekelyac, G. Ionic covalent organic nanosheet (iCON)−quaternized polybenzimidazole nanocomposite anion-exchange membranes to enhance the performance of membrane capacitive deionization. Desalination 2022, 533, 115777. [Google Scholar]
- Wang, X.Z.; Chen, W.T.; Yan, X.M.; Li, T.T.; Wu, X.M.; Zhang, Y.; Zhang, F.; Pang, B.; He, G.H. Pre-removal of polybenzimidazole anion to improve flexibility of grafted quaternized side chains for high performance anion exchange membranes. J. Power Sources 2020, 451, 227813. [Google Scholar] [CrossRef]
- Wang, X.Z.; Chen, W.T.; Li, T.T.; Yan, X.M.; Zhang, Y.; Zhang, F.; Wu, X.M.; Pang, B.; Li, J.N.; He, G.H. Ultra-thin quaternized polybenzimidazole anion exchange membranes with throughout OH− conducive highway networks for high-performance fuel cells. J. Mater. Chem. A 2021, 12, 7522–7530. [Google Scholar] [CrossRef]
- Kunimatsu, K.; Bae, B.; Miyatake, K.; Uchida, H.; Watanabe, M. ATR-FTIR study of water in Nafion membrane combined with proton conductivity measurements during hydration/dehydration cycle. J. Phys. Chem. B 2011, 115, 4315–4321. [Google Scholar] [CrossRef]
- Lee, W.H.; Kim, K.; Lim, C.; Ko, Y.J.; Hwang, Y.J.; Min, B.Y.; Lee, U.; Oh, H.S. New strategies for economically feasible CO2 electroreduction using a porous membrane in zero-gap configuration. J. Mater. Chem. A 2021, 9, 16169–16177. [Google Scholar] [CrossRef]
- Wang, G.L.; Pan, J.; Jiang, S.P.; Yang, H. Gas phase electrochemical conversion of humidified CO2 to CO and H2 on proton-exchange and alkaline anion-exchange membrane fuel cell reactors. J. CO2 Util. 2018, 23, 152–158. [Google Scholar] [CrossRef]
- Ma, M.; Liu, K.; Shen, J.; Kas, R.; Smith, W.A. In situ fabrication and reactivation of highly selective and stable Ag catalysts for electrochemical CO2 conversion. ACS Energy Lett. 2018, 3, 1301–1306. [Google Scholar] [CrossRef]






| Cathode | Anode | |
|---|---|---|
| Reaction | CO2+H2O+2e− → CO+2OH− CO2+2H++2e− → CO+H2O HCO3−+H++2e− → CO↑+2OH− | 4OH−−4e− → 2H2O+O2↑ 2H2O−4e− → 4H++O2↑ |
| Side reaction | 2H++2e− → H2↑ CO2+OH− → HCO3− |
| Membrane | Thickness (μm) | SR (%) | WU (%) | IEC (mmol g−1) | AR (Ω cm2) | OH− Conductivity (mS cm−1) |
|---|---|---|---|---|---|---|
| PBI | 22 | 2.5 | 1.8 | 1.37 | 5.95 | 3.70 |
| QAPBI-1 | 22 | 3.5 | 16.9 | 2.05 | 1.45 | 15.17 |
| QAPBI-2 | 22 | 5.7 | 25.7 | 3.01 | 0.46 | 48.13 |
| QAPBI-3 | 22 | 6.4 | 27.9 | 4.13 | 0.54 | 41.07 |
| FAA-3-PK-130 | 130 | 9.6 | 3.4 | 0.93 | 3.89 | 33.42 |
| Nafion 117 | 175 | 10.3 | 20.7 | / | 2.37 | 73.88 |
Disclaimer/Publisher’s Note: The statements, opinions and data contained in all publications are solely those of the individual author(s) and contributor(s) and not of MDPI and/or the editor(s). MDPI and/or the editor(s) disclaim responsibility for any injury to people or property resulting from any ideas, methods, instructions or products referred to in the content. |
© 2023 by the authors. Licensee MDPI, Basel, Switzerland. This article is an open access article distributed under the terms and conditions of the Creative Commons Attribution (CC BY) license (https://creativecommons.org/licenses/by/4.0/).
Share and Cite
Li, J.; Cao, Z.; Zhang, B.; Zhang, X.; Li, J.; Zhang, Y.; Duan, H. Electrochemical Conversion of CO2 to CO Utilizing Quaternized Polybenzimidazole Anion Exchange Membrane. Membranes 2023, 13, 166. https://doi.org/10.3390/membranes13020166
Li J, Cao Z, Zhang B, Zhang X, Li J, Zhang Y, Duan H. Electrochemical Conversion of CO2 to CO Utilizing Quaternized Polybenzimidazole Anion Exchange Membrane. Membranes. 2023; 13(2):166. https://doi.org/10.3390/membranes13020166
Chicago/Turabian StyleLi, Jingfeng, Zeyu Cao, Bo Zhang, Xinai Zhang, Jinchao Li, Yaping Zhang, and Hao Duan. 2023. "Electrochemical Conversion of CO2 to CO Utilizing Quaternized Polybenzimidazole Anion Exchange Membrane" Membranes 13, no. 2: 166. https://doi.org/10.3390/membranes13020166
APA StyleLi, J., Cao, Z., Zhang, B., Zhang, X., Li, J., Zhang, Y., & Duan, H. (2023). Electrochemical Conversion of CO2 to CO Utilizing Quaternized Polybenzimidazole Anion Exchange Membrane. Membranes, 13(2), 166. https://doi.org/10.3390/membranes13020166

