Strategic Planning of a Joint SARS-CoV-2 and Influenza Vaccination Campaign in the UK
Abstract
1. Introduction
2. Method: Vaccine Supply Chain Modelling
2.1. Structure of SARS-CoV-2 and Influenza Vaccines’ Supply Chains
2.2. SARS-CoV-2 and Influenza Vaccine Supply Chain Model
2.2.1. Objective Function
- Total transportation cost between supply chain entities, which is defined as the unit transportation cost for a specific transport mode multiplied by the number of trips covered at a given time period. Note that the unit transportation cost accounts for travel distance, driver wages, the fuel and vehicle maintenance cost, and the annualised capital cost of the transport vehicle.
- Total cost of dry ice is calculated as the total dry ice required multiplied by the unit price of dry ice. Note that each full shipper leaving warehouses is loaded with sufficient dry ice to maintain the sub-zero storage temperature of −80 °C.
- The cost of vaccine shippers is estimated by multiplying the number of shippers supplied at the start of the vaccination campaign by the unit price of each shipper. Here, it is assumed that no shipper will be damaged and/or replaced throughout the vaccination campaign.
2.2.2. Model Constraints
- Tracking vaccine shippers: warehouses–regional store–clinics–warehouses;
- Shelf life of vaccines at administration points;
- Safety stock, maximum inventory, and bounds on QC checks, production rate, and import rate;
- SARS-CoV-2 and influenza vaccines demand;
- Number of trips.
3. Application: SARS-CoV-2 and Influenza Vaccination Campaign in the UK
3.1. Target Population and Vaccine Candidates
3.2. Vaccine Distribution Network in the UK
4. Results
4.1. SARS-CoV-2 and Influenza Vaccines Demand Planning
4.2. Optimal Planning of Joint SARS-CoV-2 and Influenza Vaccination
4.3. Impact of SARS-CoV-2 Vaccine Type on Logistics and Total Cost
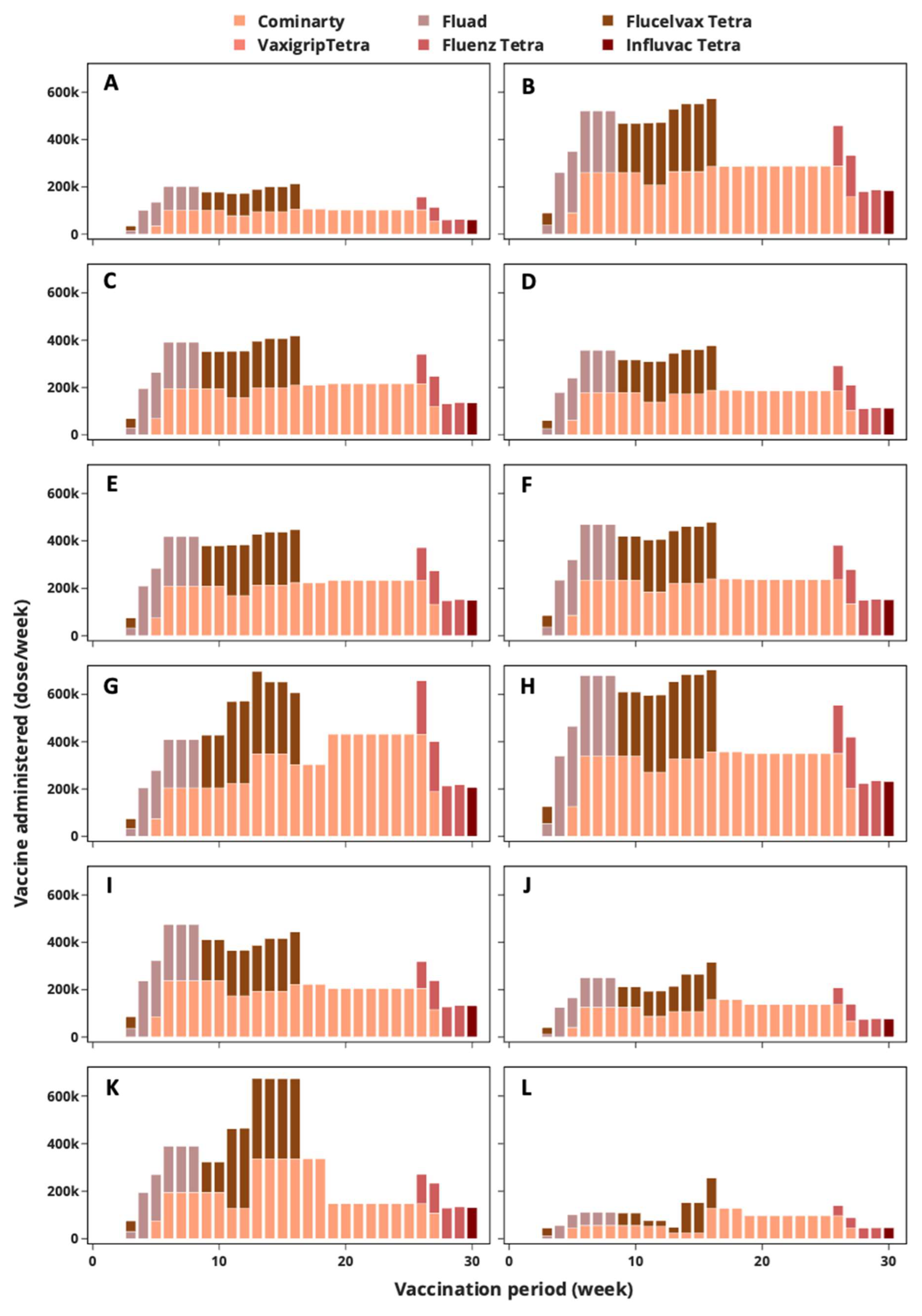
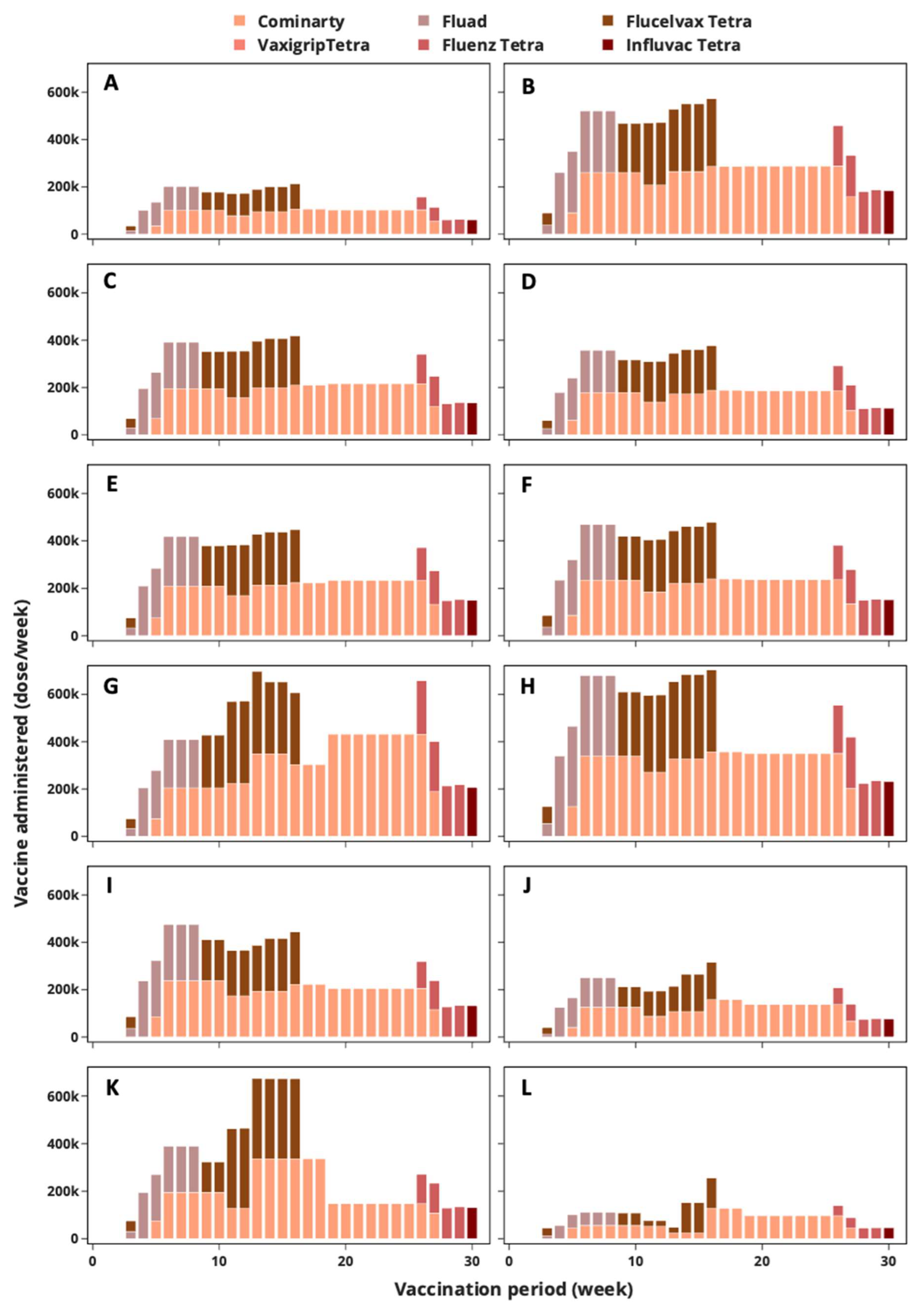
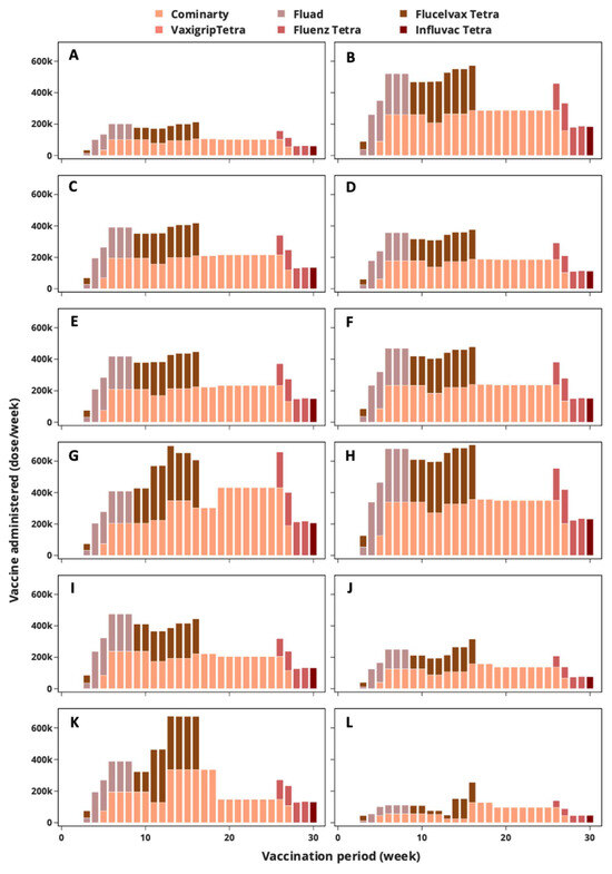
4.4. Vaccine Administration at Clinics, Hospitals, GP Surgeries, and Vaccination Centres
5. Discussion
6. Conclusions
Supplementary Materials
Author Contributions
Funding
Institutional Review Board Statement
Informed Consent Statement
Data Availability Statement
Conflicts of Interest
References
- WHO Timeline—COVID-19. Available online: https://www.who.int/news/item/27-04-2020-who-timeline---covid-19 (accessed on 30 April 2021).
- Asselah, T.; Durantel, D.; Pasmant, E.; Lau, G.; Schinazi, R.F. COVID-19: Discovery, Diagnostics and Drug Development. J. Hepatol. 2021, 74, 168–184. [Google Scholar] [CrossRef] [PubMed]
- Liu, Y.C.; Kuo, R.L.; Shih, S.R. COVID-19: The First Documented Coronavirus Pandemic in History. Biomed. J. 2020, 43, 328–333. [Google Scholar] [CrossRef] [PubMed]
- Cucinotta, D.; Vanelli, M. WHO Declares COVID-19 a Pandemic. Acta Biomed. 2020, 91, 157–160. [Google Scholar] [CrossRef] [PubMed]
- COVID-19 Situation Update Worldwide, as of Week 19. 19 May 2022. Available online: https://www.ecdc.europa.eu/en/geographical-distribution-2019-ncov-cases (accessed on 24 May 2022).
- WHO Coronavirus (COVID-19) Dashboard. Available online: https://covid19.who.int/ (accessed on 24 May 2022).
- COVID-19 Coronavirus Pandemic. Available online: https://www.worldometers.info/coronavirus/ (accessed on 12 June 2022).
- IFPMA; CEPI; COVAX; BIO. Towards Vaccinating The World Landscape of Current COVID-19 Supply Chain and Manufacturing Capacity, Potential Challenges, Initial Responses, and Possible “Solution Space”—A Discussion Document; IFPMA: Geneva, Switzerland, 2020; pp. 1–29. [Google Scholar]
- CEPI Advances 8 COVID-19 Vaccine Programmes. Available online: https://www.glopid-r.org/newsletter-13th-edition/cepi-advances-8-covid-19-vaccine-programmes/ (accessed on 30 April 2021).
- Why We’re Giving $250 Million More to Fight COVID-19. Available online: https://www.gatesfoundation.org/ideas/articles/coronavirus-funding-additional-250-million-suzman (accessed on 30 April 2021).
- Gavi Progress Report 2016. Available online: https://www.gavi.org/sites/default/files/publications/progress-reports/Gavi-Progress-Report-2016.pdf (accessed on 30 April 2021).
- Funding COVID-19 Vaccines: A Timeline. Available online: https://www.devex.com/news/funding-covid-19-vaccines-a-timeline-97950 (accessed on 30 April 2021).
- West, S.; Kis, Z.; Kontoravdi, C.; Papathanasiou, M.; Nilay Shah, B.C. Is the World Ready to Produce a Billion Doses of a COVID-19 Vaccine? Available online: https://www.imperial.ac.uk/news/197321/is-world-ready-produce-billion-doses/ (accessed on 30 April 2021).
- Q&A: Cold Chains, COVID-19 Vaccines and Reaching Low-Income Countries. Available online: https://www.imperial.ac.uk/news/209993/qa-cold-chains-covid-19-vaccines-reaching/ (accessed on 30 April 2021).
- Acharya, K.P.; Ghimire, T.R.; Subramanya, S.H. Access to and Equitable Distribution of COVID-19 Vaccine in Low-Income Countries. npj Vaccines 2021, 6, 2–4. [Google Scholar] [CrossRef] [PubMed]
- Hall, S.; Kaplow, L.; Sun, Y.S.; Holt, T.Z. ‘None Are Safe until All Are Safe’: COVID-19 Vaccine Rollout in Low- and Middle-Income Countries; McKinsey & Company: Chicago, IL, USA, 2021. [Google Scholar]
- Choi, E.M. COVID-19 Vaccines for Low- and Middle-Income Countries. Trans. R. Soc. Trop. Med. Hyg. 2021, 115, 447–456. [Google Scholar] [CrossRef] [PubMed]
- Wouters, O.J.; Shadlen, K.C.; Salcher-Konrad, M.; Pollard, A.J.; Larson, H.J.; Teerawattananon, Y.; Jit, M. Challenges in Ensuring Global Access to COVID-19 Vaccines: Production, Affordability, Allocation, and Deployment. Lancet 2021, 397, 1023–1034. [Google Scholar] [CrossRef] [PubMed]
- Coronavirus Pandemic (COVID-19). Available online: https://ourworldindata.org/coronavirus (accessed on 12 June 2022).
- Coronavirus (COVID-19) Global Data Tracker. Available online: https://www.tableau.com/en-gb/covid-19-coronavirus-data-resources/global-tracker (accessed on 12 June 2022).
- COVID-19 Dashboard by the Center for Systems Science and Engineering (CSSE) at Johns Hopkins University (JHU). Available online: https://www.arcgis.com/apps/dashboards/bda7594740fd40299423467b48e9ecf6 (accessed on 12 June 2022).
- SARS-CoV-2 Variant Classifications and Definitions. Available online: https://www.cdc.gov/coronavirus/2019-ncov/variants/variant-classifications.html (accessed on 24 May 2022).
- SARS-CoV-2 Variants of Concern as of 9 June 2022. Available online: https://www.ecdc.europa.eu/en/covid-19/variants-concern (accessed on 12 June 2022).
- Tracking SARS-CoV-2 Variants. Available online: https://www.who.int/activities/tracking-SARS-CoV-2-variants (accessed on 30 May 2022).
- COVID-19 (SARS-CoV-2) Variants. Available online: https://www.gov.uk/government/collections/new-sars-cov-2-variant (accessed on 30 May 2022).
- Walsh, E.E.; Frenck, R.W.; Falsey, A.R.; Kitchin, N.; Absalon, J.; Gurtman, A.; Lockhart, S.; Neuzil, K.; Mulligan, M.J.; Bailey, R.; et al. Safety and Immunogenicity of Two RNA-Based Covid-19 Vaccine Candidates. N. Engl. J. Med. 2020, 383, 2439–2450. [Google Scholar] [CrossRef] [PubMed]
- Polack, F.P.; Thomas, S.J.; Kitchin, N.; Absalon, J.; Gurtman, A.; Lockhart, S.; Perez, J.L.; Pérez Marc, G.; Moreira, E.D.; Zerbini, C.; et al. Safety and Efficacy of the BNT162b2 MRNA Covid-19 Vaccine. N. Engl. J. Med. 2020, 383, 2603–2615. [Google Scholar] [CrossRef]
- Lamb, Y.N. BNT162b2 MRNA COVID-19 Vaccine: First Approval. Drugs 2021, 81, 495–501. [Google Scholar] [CrossRef]
- Anderson, E.J.; Rouphael, N.G.; Widge, A.T.; Jackson, L.A.; Roberts, P.C.; Makhene, M.; Chappell, J.D.; Denison, M.R.; Stevens, L.J.; Pruijssers, A.J.; et al. Safety and Immunogenicity of SARS-CoV-2 MRNA-1273 Vaccine in Older Adults. N. Engl. J. Med. 2020, 383, 2427–2438. [Google Scholar] [CrossRef]
- Baden, L.R.; El Sahly, H.M.; Essink, B.; Kotloff, K.; Frey, S.; Novak, R.; Diemert, D.; Spector, S.A.; Rouphael, N.; Creech, C.B.; et al. Efficacy and Safety of the MRNA-1273 SARS-CoV-2 Vaccine. N. Engl. J. Med. 2021, 384, 403–416. [Google Scholar] [CrossRef]
- Kim, J.H.; Marks, F.; Clemens, J.D. Looking beyond COVID-19 Vaccine Phase 3 Trials. Nat. Med. 2021, 27, 205–211. [Google Scholar] [CrossRef]
- Influenza Update N° 418. Available online: https://www.who.int/publications/m/item/influenza-update-n-418 (accessed on 24 May 2022).
- Influenza (Seasonal). Available online: https://www.who.int/en/news-room/fact-sheets/detail/influenza-(seasonal) (accessed on 24 May 2022).
- Factsheet About Seasonal Influenza. Available online: https://www.ecdc.europa.eu/en/seasonal-influenza/facts/factsheet (accessed on 30 May 2022).
- Flu Season. Available online: https://www.cdc.gov/flu/about/season/flu-season.htm (accessed on 29 May 2022).
- Haidari, L.A.; Wahl, B.; Brown, S.T.; Privor-Dumm, L.; Wallman-Stokes, C.; Gorham, K.; Connor, D.L.; Wateska, A.R.; Schreiber, B.; Dicko, H.; et al. One Size Does Not Fit All: The Impact of Primary Vaccine Container Size on Vaccine Distribution and Delivery. Vaccine 2015, 33, 3242–3247. [Google Scholar] [CrossRef]
- Assi, T.M.; Brown, S.T.; Djibo, A.; Norman, B.A.; Rajgopal, J.; Welling, J.S.; Chen, S.I.; Bailey, R.R.; Kone, S.; Kenea, H.; et al. Impact of Changing the Measles Vaccine Vial Size on Niger’s Vaccine Supply Chain: A Computational Model. BMC Public Health 2011, 11, 425. [Google Scholar] [CrossRef]
- Assi, T.M.; Rookkapan, K.; Rajgopal, J.; Sornsrivichai, V.; Brown, S.T.; Welling, J.S.; Norman, B.A.; Connor, D.L.; Chen, S.I.; Slayton, R.B.; et al. How Influenza Vaccination Policy May Affect Vaccine Logistics. Vaccine 2012, 30, 4517–4523. [Google Scholar] [CrossRef][Green Version]
- Lee, B.Y.; Schreiber, B.; Wateska, A.R.; Connor, D.L.; Dicko, H.M.; Jaillard, P.; Mvundura, M.; Levin, C.; Avella, M.; Haidari, L.A.; et al. The Benin Experience: How Computational Modeling Can Assist Major Vaccine Policy Changes in Low and Middle Income Countries. Vaccine 2015, 33, 2858–2861. [Google Scholar] [CrossRef] [PubMed]
- Lee, B.Y.; Assi, T.M.; Rajgopal, J.; Norman, B.A.; Chen, S.I.; Brown, S.T.; Slayton, R.B.; Kone, S.; Kenea, H.; Welling, J.S.; et al. Impact of Introducing the Pneumococcal and Rotavirus Vaccines into the Routine Immunization Program in Niger. Am. J. Public Health 2012, 102, 269–276. [Google Scholar] [CrossRef] [PubMed]
- Brown, S.T.; Schreiber, B.; Cakouros, B.E.; Wateska, A.R.; Dicko, H.M.; Connor, D.L.; Jaillard, P.; Mvundura, M.; Norman, B.A.; Levin, C.; et al. The Benefits of Redesigning Benin’s Vaccine Supply Chain. Vaccine 2014, 32, 4097–4103. [Google Scholar] [CrossRef] [PubMed]
- Huang, X.X.; Guillermet, E.; Le Gargasson, J.B.; Alfa, D.A.; Gbodja, R.; Sossou, A.J.; Jaillard, P. Costing Analysis and Anthropological Assessment of the Vaccine Supply Chain System Redesign in the Comé District (Benin). Vaccine 2017, 35, 2183–2188. [Google Scholar] [CrossRef] [PubMed]
- Lee, B.Y.; Haidari, L.A.; Prosser, W.; Connor, D.L.; Bechtel, R.; Dipuve, A.; Kassim, H.; Khanlawia, B.; Brown, S.T. Re-Designing the Mozambique Vaccine Supply Chain to Improve Access to Vaccines. Vaccine 2016, 34, 4998–5004. [Google Scholar] [CrossRef] [PubMed]
- De Carvalho, M.I.; Ribeiro, D.; Barbosa-Povoa, A.P. Design and Planning of Sustainable Vaccine Supply Chain. Springer Nat. 2019, 2019, 23–55. [Google Scholar]
- Kis, Z.; Papathanasiou, M.; Calvo-Serrano, R.; Kontoravdi, C.; Shah, N. A Model-based Quantification of the Impact of New Manufacturing Technologies on Developing Country Vaccine Supply Chain Performance: A Kenyan Case Study. J. Adv. Manuf. Process. 2019, 1, e10025. [Google Scholar] [CrossRef]
- Georgiadis, G.P.; Georgiadis, M.C. Optimal Planning of the COVID-19 Vaccine Supply Chain. Vaccine 2021, 39, 5302–5312. [Google Scholar] [CrossRef] [PubMed]
- Ibrahim, D.; Tak, K.; Papathanasiou, M.M.; Kontoravdi, C. Model-Based Planning and Delivery of Mass Vaccination Campaigns against Infectious Disease: Application to the COVID-19 Pandemic in the UK. Vaccines 2021, 9, 1460. [Google Scholar]
- Ibrahim, D.; Kis, Z.; Tak, K.; Papathanasiou, M. Optimal Design and Planning of Supply Chains for Viral Vectors and RNA. Vaccines 2022, 9, 1460. [Google Scholar]
- GD Corporation. General Algebraic Modeling System (GAMS) Release 24.2.1; GD Corporation: Reston, VA, USA, 2013. [Google Scholar]
- Vaccination Sites. Available online: https://www.england.nhs.uk/coronavirus/publication/vaccination-sites/ (accessed on 30 April 2021).
- NIBSC Statement on Batch Testing for the COVID-19 Vaccine AstraZeneca. Available online: https://www.nibsc.org/about_us/latest_news/batch_testing.aspx (accessed on 1 June 2021).
- COVID-19 Vaccination: Booster Dose Resources. Available online: https://www.gov.uk/government/publications/covid-19-vaccination-booster-dose-resources (accessed on 30 May 2022).
- COVID-19 Vaccination: A Guide to Booster Vaccination for Individuals Aged 18 Years and over and Those Aged 16 Years and over Who Are at Risk. Available online: https://www.gov.uk/government/publications/covid-19-vaccination-booster-dose-resources/covid-19-vaccination-a-guide-to-booster-vaccination-for-individuals-aged-18-years-and-over (accessed on 30 May 2022).
- The Flu Vaccination: Winter 2021 to 2022. Available online: https://www.gov.uk/government/publications/flu-vaccination-who-should-have-it-this-winter-and-why/the-flu-vaccination-who-should-have-it-and-why (accessed on 30 May 2022).
- Annual Flu Programme. Available online: https://www.gov.uk/government/collections/annual-flu-programme (accessed on 30 May 2022).
- Chapter 19: Influenza. Available online: https://assets.publishing.service.gov.uk/government/uploads/system/uploads/attachment_data/file/931139/Green_book_chapter_19_influenza_V7_OCT_2020.pdf (accessed on 30 May 2022).
- Kis, Z.; Tak, K.; Ibrahim, D.; Papathanasiou, M.M.; Chachuat, B.; Kontoravdi, C. Pandemic-Response Adenoviral Vector and RNA Vaccine Manufacturing. npj Vaccines 2022, 7, 29. [Google Scholar] [CrossRef]
- COVID-19: Booster Vaccine to Be Rolled Out in Autumn as UK Secures 60 m More Pfizer Doses. Available online: https://www.bmj.com/content/373/bmj.n1116 (accessed on 30 May 2022).
- UK Secures Extra 60 Million Pfizer/BioNTech COVID-19 Vaccines. Available online: https://www.gov.uk/government/news/uk-secures-extra-60-million-pfizerbiontech-covid-19-vaccines (accessed on 12 June 2022).
- US Throws Out Millions of Doses of COVID Vaccine as World Goes Wanting. Available online: https://www.theguardian.com/world/2021/oct/16/us-throws-out-Millions-doses-covid-vaccine-world-shortages (accessed on 30 May 2022).
- Millions of COVID-19 Shots Set to Go to Waste, as Vaccine Rollout Slows. Available online: https://abcnews.go.com/Health/millions-covid-19-shots-set-waste-vaccine-rollout/story?id=84111412 (accessed on 30 May 2022).
- Available online: https://www.aljazeera.com/opinions/2021/12/30/too-many-covid-19-vaccine-doses-are-being-wasted (accessed on 30 May 2022).
- Lazarus, J.V.; Abdool Karim, S.S.; van Selm, L.; Doran, J.; Batista, C.; Ben Amor, Y.; Hellard, M.; Kim, B.; Kopka, C.J.; Yadav, P. COVID-19 Vaccine Wastage in the Midst of Vaccine Inequity: Causes, Types and Practical Steps. BMJ Glob. Health 2022, 7, e009010. [Google Scholar] [CrossRef]








| Item | Value | Unit |
|---|---|---|
| Cost of vaccine shipper | 0.0035 | Billion USD |
| Cost of dry ice | 0.0103 | Billion USD |
| Cost of vaccinating individuals | 0.9586 | Billion USD |
| Cost of vaccinating individuals at care home | 0.7027 | Billion USD |
| Cost of vaccine procured | 2.1038 | Billion USD |
| Cost of quality control checks | 0.0664 | Billion USD |
| Logistics cost | 3.4496 | Billion USD |
| Total cost | 7.2950 | Billion USD |
Disclaimer/Publisher’s Note: The statements, opinions and data contained in all publications are solely those of the individual author(s) and contributor(s) and not of MDPI and/or the editor(s). MDPI and/or the editor(s) disclaim responsibility for any injury to people or property resulting from any ideas, methods, instructions or products referred to in the content. |
© 2024 by the authors. Licensee MDPI, Basel, Switzerland. This article is an open access article distributed under the terms and conditions of the Creative Commons Attribution (CC BY) license (https://creativecommons.org/licenses/by/4.0/).
Share and Cite
Ibrahim, D.; Kis, Z.; Papathanasiou, M.M.; Kontoravdi, C.; Chachuat, B.; Shah, N. Strategic Planning of a Joint SARS-CoV-2 and Influenza Vaccination Campaign in the UK. Vaccines 2024, 12, 158. https://doi.org/10.3390/vaccines12020158
Ibrahim D, Kis Z, Papathanasiou MM, Kontoravdi C, Chachuat B, Shah N. Strategic Planning of a Joint SARS-CoV-2 and Influenza Vaccination Campaign in the UK. Vaccines. 2024; 12(2):158. https://doi.org/10.3390/vaccines12020158
Chicago/Turabian StyleIbrahim, Dauda, Zoltán Kis, Maria M. Papathanasiou, Cleo Kontoravdi, Benoît Chachuat, and Nilay Shah. 2024. "Strategic Planning of a Joint SARS-CoV-2 and Influenza Vaccination Campaign in the UK" Vaccines 12, no. 2: 158. https://doi.org/10.3390/vaccines12020158
APA StyleIbrahim, D., Kis, Z., Papathanasiou, M. M., Kontoravdi, C., Chachuat, B., & Shah, N. (2024). Strategic Planning of a Joint SARS-CoV-2 and Influenza Vaccination Campaign in the UK. Vaccines, 12(2), 158. https://doi.org/10.3390/vaccines12020158

