Exploring the Nutraceutical Potential of Dried Pepper Capsicum annuum L. on Market from Altino in Abruzzo Region
Abstract
1. Introduction
2. Materials and Methods
2.1. Reagents and Standards
2.2. Plant Material
2.3. Extractions for HPLC-DAD Analysis
2.4. Sample Preparation for GC-MS Analysis
2.5. Soxhlet Extraction of Hot and Sweet Pepper Powders
2.6. Microwave (MW) Extraction of Hot and Sweet Pepper Powders
2.7. Decoction in Methanol
2.8. Decoction in n-Hexane
2.9. Phytochemical Profile
2.10. Fatty Acids, Methyl Esters (FAMEs) Preparation and Gas Chromatographic Analysis
2.11. Antioxidant Properties
2.12. Enzyme Inhibitory Assays
2.13. Cytotoxic Activity Test
2.14. In Vivo Anti-Inflammatory Assay
2.15. Statistical Analysis
3. Results and Discussion
3.1. Phytochemical Composition
3.2. Antioxidant Properties
3.3. Evaluation of Enzyme Inhibition
3.4. Fatty Acid Composition
3.5. In Vitro Cell Assay
3.6. In Vivo Anti-Inflammatory Assay
4. Conclusions
Author Contributions
Funding
Conflicts of Interest
References
- Eshbaugh, W. History and Exploitation of a Serendipitous New Crop Discovery. New Crops; Janick, J., Simon, J.E., Eds.; Wiley: New York, NY, USA, 1993; pp. 132–139. [Google Scholar]
- Chung, M.-K.; Campbell, J.N. Use of capsaicin to treat pain: Mechanistic and therapeutic considerations. Pharmaceuticals 2016, 9, 66. [Google Scholar] [CrossRef] [PubMed]
- Fattori, V.; Hohmann, M.S.; Rossaneis, A.C.; Pinho-Ribeiro, F.A.; Verri, W.A. Capsaicin: Current understanding of its mechanisms and therapy of pain and other pre-clinical and clinical uses. Molecules 2016, 21, 844. [Google Scholar] [CrossRef] [PubMed]
- Antonio, A.; Wiedemann, L.; Junior, V.V. The genus Capsicum: A phytochemical review of bioactive secondary metabolites. RSC Adv. 2018, 8, 25767–25784. [Google Scholar] [CrossRef]
- Luo, X.-J.; Peng, J.; Li, Y.-J. Recent advances in the study on capsaicinoids and capsinoids. Eur. J. Pharmacol. 2011, 650, 1–7. [Google Scholar] [CrossRef]
- García-Closas, R.; Berenguer, A.; Tormo, M.J.; Sánchez, M.J.; Quiros, J.R.; Navarro, C.; Arnaud, R.; Dorronsoro, M.; Chirlaque, M.D.; Barricarte, A. Dietary sources of vitamin C, vitamin E and specific carotenoids in Spain. Br. J. Nutr. 2004, 91, 1005–1011. [Google Scholar] [CrossRef]
- Sanati, S.; Razavi, B.M.; Hosseinzadeh, H. A review of the effects of Capsicum annuum L. and its constituent, capsaicin, in metabolic syndrome. Iran. J. Basic Med. Sci. 2018, 21, 439–448. [Google Scholar]
- Zhang, Y.-J.; Gan, R.-Y.; Li, S.; Zhou, Y.; Li, A.-N.; Xu, D.-P.; Li, H.-B. Antioxidant phytochemicals for the prevention and treatment of chronic diseases. Molecules 2015, 20, 21138–21156. [Google Scholar] [CrossRef]
- Colavita, G.; Piccirilli, M.; Iafigliola, P.; Amadoro, C. Levels of nitrates and nitrites in chili pepper and ventricina salami. Italian J. Food Saf. 2014, 3, 114–116. [Google Scholar] [CrossRef][Green Version]
- Manzi, A.; De Falcis, D. Origine e storia delle piante coltivate in Abruzzo; Rocco Carabba: Lanciano, Abruzzo, 2006; p. 311. [Google Scholar]
- Zhao, Y. The mysterious relation between inflammation and prostate cancer. Infect. Int. 2017, 6, 8–12. [Google Scholar] [CrossRef][Green Version]
- Yagi, S.; Mohammed, A.B.A.; Tzanova, T.; Schohn, H.; Abdelgadir, H.; Stefanucci, A.; Mollica, A.; Zengin, G. Chemical profile, antiproliferative, antioxidant, and enzyme inhibition activities and docking studies of Cymbopogon schoenanthus (L.) Spreng. and Cymbopogon nervatus (Hochst.) Chiov. from Sudan. J. Food Biochem. 2020, 44, e13107. [Google Scholar] [CrossRef]
- Stefanucci, A.; Zengin, G.; Locatelli, M.; Macedonio, G.; Wang, C.K.; Novellino, E.; Mahomoodally, M.F.; Mollica, A. Impact of different geographical locations on varying profile of bioactives and associated functionalities of caper (Capparis spinosa L.). Food Chem. Toxicol. 2018, 118, 181–189. [Google Scholar] [CrossRef] [PubMed]
- Zengin, G.; Aktumsek, A. Investigation of antioxidant potentials of solvent extracts from different anatomical parts of Asphodeline anatolica E. Tuzlaci: An endemic plant to Turkey. Afr. J. Trad. Complement. Altern. Med. 2014, 11, 481–488. [Google Scholar] [CrossRef] [PubMed]
- Di Sotto, A.; Vecchiato, M.; Abete, L.; Toniolo, C.; Giusti, A.M.; Mannina, L.; Locatelli, M.; Nicoletti, M.; Di Giacomo, S. Capsicum annuum L. var. Cornetto di Pontecorvo PDO: Polyphenolic profile and in vitro biological activities. J. Funct. Foods 2018, 40, 679–691. [Google Scholar] [CrossRef]
- Paquot, C. Standard Methods for the Analysis of Oils, Fats and Derivatives, 6th ed.; Pergamon Press: Oxford, UK; Elsevier: Amsterdam, The Netherlands, 1979; p. 188. [Google Scholar]
- Aktumsek, A.; Zengin, G.; Guler, G.O.; Cakmak, Y.S.; Duran, A. Assessment of the antioxidant potential and fatty acid composition of four Centaurea L. taxa from Turkey. Food Chem. 2013, 141, 91–97. [Google Scholar] [CrossRef]
- Mollica, A.; Zengin, G.; Stefanucci, A.; Ferrante, C.; Menghini, L.; Orlando, G.; Brunetti, L.; Locatelli, M.; Dimmito, M.P.; Novellino, E. Nutraceutical potential of Corylus avellana daily supplements for obesity and related dysmetabolism. J. Funct. Foods 2018, 47, 562–574. [Google Scholar] [CrossRef]
- Savran, A.; Zengin, G.; Aktumsek, A.; Mocan, A.; Glamoćlija, J.; Ćirić, A.; Soković, M. Phenolic compounds and biological effects of edible Rumex scutatus and Pseudosempervivum sempervivum: Potential sources of natural agents with health benefits. Food Funct. 2016, 7, 3252–3262. [Google Scholar] [CrossRef] [PubMed]
- Zengin, G. A study on in vitro enzyme inhibitory properties of Asphodeline anatolica: New sources of natural inhibitors for public health problems. Ind. Crops Prod. 2016, 83, 39–43. [Google Scholar] [CrossRef]
- Yerlikaya, S.; Baloglu, M.C.; Diuzheva, A.; Jekő, J.; Cziáky, Z.; Zengin, G. Investigation of chemical profile, biological properties of Lotus corniculatus L. extracts and their apoptotic-autophagic effects on breast cancer cells. J. Pharm. Biomed. Anal. 2019, 174, 286–299. [Google Scholar] [CrossRef]
- Colucci, M.; Maione, F.; Bonito, M.C.; Piscopo, A.; Di Giannuario, A.; Pieretti, S. New insights of dimethyl sulphoxide effects (DMSO) on experimental in vivo models of nociception and inflammation. Pharmacol. Res. 2008, 57, 419–425. [Google Scholar] [CrossRef]
- Zengin, G.; Menghini, L.; Malatesta, L.; De Luca, E.; Bellagamba, G.; Uysal, S.; Aktumsek, A.; Locatelli, M. Comparative study of biological activities and multicomponent pattern of two wild Turkish species: Asphodeline anatolica and Potentilla speciosa. J. Enz. Inhib. Med. Chem. 2016, 31, 203–208. [Google Scholar] [CrossRef]
- Sobolev, A.P.; Mannina, L.; Capitani, D.; Sanzò, G.; Ingallina, C.; Botta, B.; Fornarini, S.; Crestoni, M.E.; Chiavarino, B.; Carradori, S. A multi-methodological approach in the study of Italian PDO “Cornetto di Pontecorvo” red sweet pepper. Food Chem. 2018, 255, 120–131. [Google Scholar] [CrossRef] [PubMed]
- Daud, M.N.H.; Fatanah, D.N.; Abdullah, N.; Ahmad, R. Evaluation of antioxidant potential of Artocarpus heterophyllus L. J33 variety fruit waste from different extraction methods and identification of phenolic constituents by LCMS. Food Chem. 2017, 232, 621–632. [Google Scholar] [CrossRef] [PubMed]
- Sarafi, E.; Siomos, A.; Tsouvaltzis, P.; Chatzissavvidis, C.; Therios, I. Boron and maturity effects on biochemical parameters and antioxidant activity of pepper (Capsicum annuum L.) cultivars. Turk. J. Agric. For. 2018, 42, 237–247. [Google Scholar] [CrossRef]
- Rauf, A.; Jehan, N. Natural products as a potential enzyme inhibitors from medicinal plants. In Enzyme Inhibitors and Activators; InTech: Rijeka, Croatia, 2017; pp. 165–177. [Google Scholar]
- Zolghadri, S.; Bahrami, A.; Hassan Khan, M.T.; Munoz-Munoz, J.; Garcia-Molina, F.; Garcia-Canovas, F.; Saboury, A.A. A comprehensive review on tyrosinase inhibitors. J. enz. inhib. Med. Chem. 2019, 34, 279–309. [Google Scholar] [CrossRef]
- Rawla, P. Epidemiology of Prostate Cancer. World J. Oncol. 2019, 10, 63–89. [Google Scholar] [CrossRef]
- Nelson, W.G.; DeWeese, T.L.; DeMarzo, A.M. The diet, prostate inflammation, and the development of prostate cancer. Cancer Metastasis Rev. 2002, 21, 3–16. [Google Scholar] [CrossRef]
- Torre, L.A.; Bray, F.; Siegel, R.L.; Ferlay, J.; Lortet-Tieulent, J.; Jemal, A. Global cancer statistics, 2012. CA: Cancer J. Clin. 2015, 65, 87–108. [Google Scholar] [CrossRef]
- Ramos-Torres, Á.; Bort, A.; Morell, C.; Rodríguez-Henche, N.; Díaz-Laviada, I. The pepper’s natural ingredient capsaicin induces autophagy blockage in prostate cancer cells. Oncotarget 2016, 7, 1569–1583. [Google Scholar] [CrossRef]
- Schneider, C.; Pratt, D.A.; Porter, N.A.; Brash, A.R. Control of oxygenation in lipoxygenase and cyclooxygenase catalysis. Chem. Biol. 2007, 14, 473–488. [Google Scholar] [CrossRef]
- Hsu, A.; Bray, T.M.; Ho, E. Anti-inflammatory activity of soy and tea in prostate cancer prevention. Exp. Biol. Med. 2010, 235, 659–667. [Google Scholar] [CrossRef]
- Karan, D.; Dubey, S. From inflammation to prostate cancer: The role of inflammasomes. Adv. Urol. 2016, 1, 1–5. [Google Scholar] [CrossRef] [PubMed]
- Rani, A.; Dasgupta, P.; Murphy, J.J. Prostate Cancer: The Role of Inflammation and Chemokines. Am. J. Pathol. 2019, 189, 2119–2137. [Google Scholar] [CrossRef] [PubMed]
- Hayashi, T.; Fujita, K.; Matsushita, M.; Nonomura, N. Main Inflammatory Cells and Potentials of Anti-Inflammatory Agents in Prostate Cancer. Cancers 2019, 11, 1153. [Google Scholar] [CrossRef] [PubMed]
- Beckmann, K.; Russell, B.; Josephs, D.; Garmo, H.; Haggstrom, C.; Holmberg, L.; Stattin, P.; Van Hemelrijck, M.; Adolfsson, J. Chronic inflammatory diseases, anti-inflammatory medications and risk of prostate cancer: A population-based case-control study. BMC Cancer 2019, 19, 612–621. [Google Scholar] [CrossRef] [PubMed]
- Grivennikov, S.I.; Greten, F.R.; Karin, M. Immunity, inflammation, and cancer. Cell 2010, 140, 883–899. [Google Scholar] [CrossRef] [PubMed]
- Sfanos, K.S.; De Marzo, A.M. Prostate cancer and inflammation: The evidence. Histopathology 2012, 60, 199–215. [Google Scholar] [CrossRef]
- Udensi, U.K.; Tchounwou, P.B. Oxidative stress in prostate hyperplasia and carcinogenesis. J. Exp. Clin. Cancer Res. 2016, 35, 139–158. [Google Scholar] [CrossRef]
- Eleazu, C.; Eleazu, K.; Kalu, W. Management of benign prostatic hyperplasia: Could dietary polyphenols be an alternative to existing therapies? Front. Pharmacol. 2017, 8, 234–245. [Google Scholar] [CrossRef]







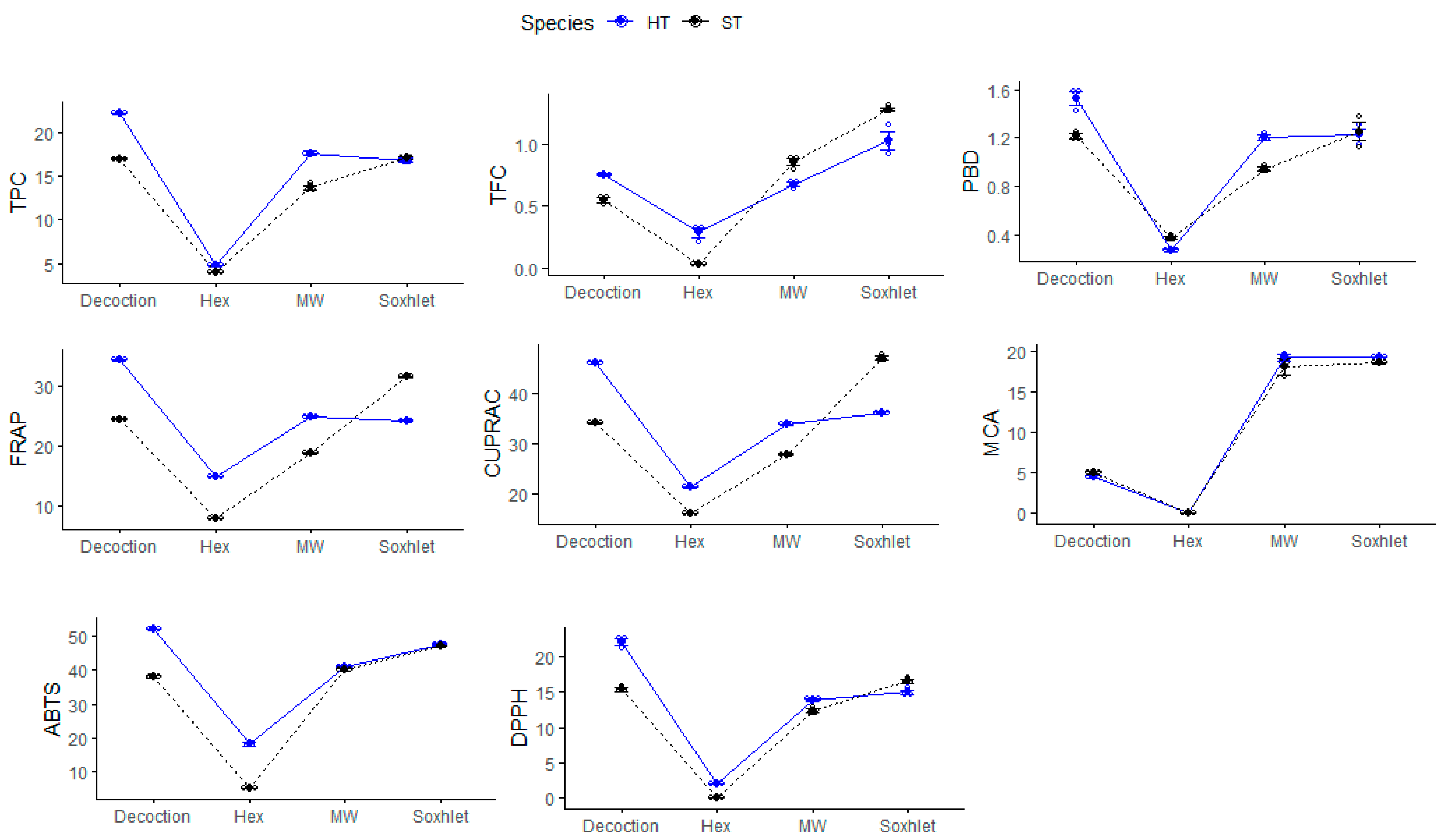
| Samples | Methods | Total Phenolic Content (mg GAE/g)x | Total Flavonoid Content (mg RE/g) y |
|---|---|---|---|
| Hot pepper | Decoction | 22.19 ± 0.14a | 0.75 ± 0.01cd |
| Soxhlet | 16.82 ± 0.38bc | 1.03 ± 0.12b | |
| Microwave | 17.65 ± 0.32ab | 0.67 ± 0.03de | |
| Hexane | 4.71 ± 0.08c | 0.28 ± 0.06f | |
| Sweet pepper | Decoction | 17.00 ± 0.14abc | 0.55 ± 0.04e |
| Soxhlet | 17.09 ± 0.28ab | 1.28 ± 0.03a | |
| Microwave | 13.69 ± 0.47bc | 0.85 ± 0.05c | |
| Hexane | 4.00 ± 0.04c | 0.03 ± 0.01g |
| Concentration | ||||||||
|---|---|---|---|---|---|---|---|---|
| Standard Compounds | Hot Pepper | Sweet Pepper | ||||||
| Microwave | Soxhlet | Decoction | Decoction n-Hexane | Microwave | Soxhlet | Decoction | Decoction n-Hexane | |
| Gallic acid | 0.21 ± 0.02 | |||||||
| Catechin | 3.49 ± 0.14 | 2.47 ± 0.13 | 0.76 ± 0.08 | 0.32 ± 0.03 | 5.22 ± 0.17 | 0.56 ± 0.05 | 5.09 ± 0.23 | |
| Chlorogenic acid | ||||||||
| p-OH benzoic acid | ||||||||
| Vanillic acid | BLD | BLD | BLD | |||||
| Epicatechin | ||||||||
| Syringic acid | 0.22 ± 0.02 | |||||||
| 3-OH benzoic acid | 0.58 ± 0.05 | 1.20 ± 0.09 | 0.34 ± 0.03 | |||||
| 3-OH-4-MeO benzaldehide | ||||||||
| p-Coumaric acid | ||||||||
| Rutin | BLQ | BLD | ||||||
| Sinapinic acid | BLD | BLD | ||||||
| t-Ferulic acid | BLD | 0.40 ± 0.03 | ||||||
| Naringin | ||||||||
| 2.3-diMeO benzoic acid | ||||||||
| Benzoic acid | 0.25 ± 0.02 | |||||||
| o-Coumaric acid | ||||||||
| Quercetin dihydrate | ||||||||
| Harpagoside | ||||||||
| t-Cinnamic acid | ||||||||
| Naringenin | 1.64 ± 0.18 | 1.31 ± 0.13 | 1.25 ± 0.11 | 1.28 ± 0.12 | ||||
| Carvacrol | 0.28 ± 0.03 | 0.47 ± 0.05 | 2.50 ± 0.22 | 0.31 ± 0.03 | ||||
| Total (µg/mL) | 5.71 | 4.07 | 1.45 | 5.27 | 5.53 | 1.50 | 6.63 | 0.00 |
| Total (µg/mg) (solid:liquid ratio 1:1. w:v) | 5.71 | 4.07 | 1.45 | 5.27 | 5.53 | 1.50 | 6.63 | 0.00 |
| Samples | Methods | DPPH (mg TE/g)x | ABTS (mg TE/g)x | CUPRAC (mg TE/g)x | FRAP (mg TE/g)y | PHBD (mmol TE/g)x | Chelating Activity (mg EDTAE/g) y |
|---|---|---|---|---|---|---|---|
| Hot pepper | Decoction | 22.13 ± 0.86a | 52.00 ± 0.12a | 46.23 ± 0.31ab | 34.38 ± 0.25a | 1.5 3± 0.09a | 4.47 ± 0.17bc |
| Soxhlet | 15.08 ± 0.52abc | 47.62 ± 0.33ab | 36.26 ± 0.42abc | 24.18 ± 0.22d | 1.23 ± 0.08abc | 19.25 ± 0.03a | |
| Microwave | 13.91 ± 0.35bcd | 40.98 ± 0.52abcd | 33.83 ± 0.18bcde | 24.85 ± 0.38c | 1.21 ± 0.04bcd | 19.15 ± 0.37a | |
| Hexan | 2.01 ± 0.08cd | 18.17 ± 0.90de | 21.35 ± 0.28de | 14.84 ± 0.05f | 0.27 ± 0.02d | NA | |
| Sweet pepper | Decoction | 15.44 ± 0.55ab | 38.01 ± 0.56cde | 34.14 ± 0.10abcd | 24.42 ± 0.24 | 1.21 ± 0.04bcd | 4.93 ± 0.16bc |
| Soxhlet | 16.65 ± 0.47ab | 47.08 ± 0.16abc | 47.15 ± 0.62a | 31.60 ± 0.21b | 1.25 ± 0.13ab | 18.49 ± 0.04ab | |
| Microwave | 12.37 ± 0.46bcd | 40.20 ± 0.51bcde | 27.95 ± 0.24cde | 18.74 ± 0.26e | 0.94 ± 0.03bcd | 18.05 ± 1.05abc | |
| Hexan | NA | 5.17 ± 0.16e | 16.21 ± 0.11e | 7.81 ± 0.07g | 0.38 ± 0.03cd | NA |
| Samples | Methods | AChE Inhibition (mg GALAE/g)x | BChE Inhibition (mg GALAE/g)y | Tyrosinase Inhibition (mg KAE/g)x | Amylase Inhibition (mmol ACAE/g)x | Glucosidase Inhibition (mmol ACAE/g) |
|---|---|---|---|---|---|---|
| Hot pepper | Decoction | 1.18 ± 0.05abc | 2.21 ± 0.26 | 22.60 ± 1.95cd | 0.08 ± 0.01b | NA |
| Soxhlet | 1.63 ± 0.05ab | 3.54 ± 0.39b | 55.83 ± 0.26ab | 0.27 ± 0.01ab | NA | |
| Microwave | 0.29 ± 0.01bcd | 2.98 ± 0.53bc | 59.60 ± 0.28a | 0.31 ± 0.01a | 0.48 ± 0.07abc | |
| Hexan | 1.87 ± 0.05ab | 3.72 ± 0.51b | 49.94 ± 1.08bcd | 0.26 ± 0.01b | 4.05 ± 0.04a | |
| Sweet pepper | Decoction | 0.28 ± 0.02cd | 0.82 ± 0.09e | 3.24 ± 0.66d | 0.05 ± 0.01b | NA |
| Soxhlet | 0.79 ± 0.04bcd | 5.99 ± 0.67a | 52.71 ± 0.44abc | 0.30 ± 0.01a | 3.72 ± 0.07a | |
| Microwave | NA | 1.78 ± 0.11de | 52.48 ± 0.94ab | 0.31 ± 0.01a | 3.37 ± 0.01ab | |
| Hexan | 2.25 ± 0.24a | 3.55 ± 0.30b | 37.40 ± 1.82bcd | 0.27 ± 0.01ab | 3.87 ± 0.11a |
| Fatty Acids | Sweet Pepper | Hot Pepper |
|---|---|---|
| C 12:0 | 2.69 ± 0.04 * | 0.96 ± 0.04 |
| C 14:0 | 5.85 ± 0.08 | 3.07 ± 0.05 |
| C 15:0 | 0.09 ± 0.01 | 0.08 ± 0.01 |
| C 16:0 | 23.40 ± 0.39 | 29.18 ± 0.25 |
| C 17:0 | 0.05 ± 0.01 | 0.16 ± 0.03 |
| C 18:0 | 12.00 ± 0.23 | 6.86 ± 0.09 |
| ΣSFA | 44.07 ± 0.11 | 40.30 ± 0.22 |
| C 14:1 ω5 | 0.11 ± 0.01 | 0.11 ± 0.01 |
| C 15:1 ω5 | 0.24 ± 0.01 | 0.05 ± 0.02 |
| C 16:1 ω7 | 0.85 ± 0.02 | 0.57 ± 0.03 |
| C 17:1 ω8 | 0.23 ± 0.01 | 0.05 ± 0.01 |
| C 18:1 n9 | 8.44 ± 0.13 | 16.69 ± 0.23 |
| ΣMUFA | 9.85 ± 0.11 | 17.46 ± 0.19 |
| C 18:2 ω6 | 37.19 ± 0.19 | 33.73 ± 0.06 |
| C 18:3 ω6 | 0.38 ± 0.03 | 0.38 ± 0.01 |
| C 18:3 ω3 | 8.52 ± 0.46 | 8.14 ± 0.07 |
| ΣPUFA | 46.08 ± 0.24 | 42.25 ± 0.03 |
| ΣUFA | 55.93 ± 0.13 | 59.71 ± 0.22 |
| ΣEFA | 45.70 ± 0.27 | 41.87 ± 0.01 |
© 2020 by the authors. Licensee MDPI, Basel, Switzerland. This article is an open access article distributed under the terms and conditions of the Creative Commons Attribution (CC BY) license (http://creativecommons.org/licenses/by/4.0/).
Share and Cite
Della Valle, A.; Dimmito, M.P.; Zengin, G.; Pieretti, S.; Mollica, A.; Locatelli, M.; Cichelli, A.; Novellino, E.; Ak, G.; Yerlikaya, S.; et al. Exploring the Nutraceutical Potential of Dried Pepper Capsicum annuum L. on Market from Altino in Abruzzo Region. Antioxidants 2020, 9, 400. https://doi.org/10.3390/antiox9050400
Della Valle A, Dimmito MP, Zengin G, Pieretti S, Mollica A, Locatelli M, Cichelli A, Novellino E, Ak G, Yerlikaya S, et al. Exploring the Nutraceutical Potential of Dried Pepper Capsicum annuum L. on Market from Altino in Abruzzo Region. Antioxidants. 2020; 9(5):400. https://doi.org/10.3390/antiox9050400
Chicago/Turabian StyleDella Valle, Alice, Marilisa Pia Dimmito, Gokhan Zengin, Stefano Pieretti, Adriano Mollica, Marcello Locatelli, Angelo Cichelli, Ettore Novellino, Gunes Ak, Serife Yerlikaya, and et al. 2020. "Exploring the Nutraceutical Potential of Dried Pepper Capsicum annuum L. on Market from Altino in Abruzzo Region" Antioxidants 9, no. 5: 400. https://doi.org/10.3390/antiox9050400
APA StyleDella Valle, A., Dimmito, M. P., Zengin, G., Pieretti, S., Mollica, A., Locatelli, M., Cichelli, A., Novellino, E., Ak, G., Yerlikaya, S., Baloglu, M. C., Celik Altunoglu, Y., & Stefanucci, A. (2020). Exploring the Nutraceutical Potential of Dried Pepper Capsicum annuum L. on Market from Altino in Abruzzo Region. Antioxidants, 9(5), 400. https://doi.org/10.3390/antiox9050400

