A Novel Screening Strategy Reveals ROS-Generating Antimicrobials That Act Synergistically against the Intracellular Veterinary Pathogen Rhodococcus equi
Abstract
1. Introduction
2. Materials and Methods
2.1. Bacterial Strains, Reagents, and Antibiotic Susceptibility Tests
2.2. In vivo Quantification of Redox Homeostasis
2.3. Minimum Inhibitory Concentration (MIC) Assays
2.4. Macrophage Survival Test in the Presence of Different Antibacterial Compounds
2.5. Statistical Analyses
3. Results and Discussion
3.1. Identification of ROS-Generating Antibacterial Compounds Active against R. equi
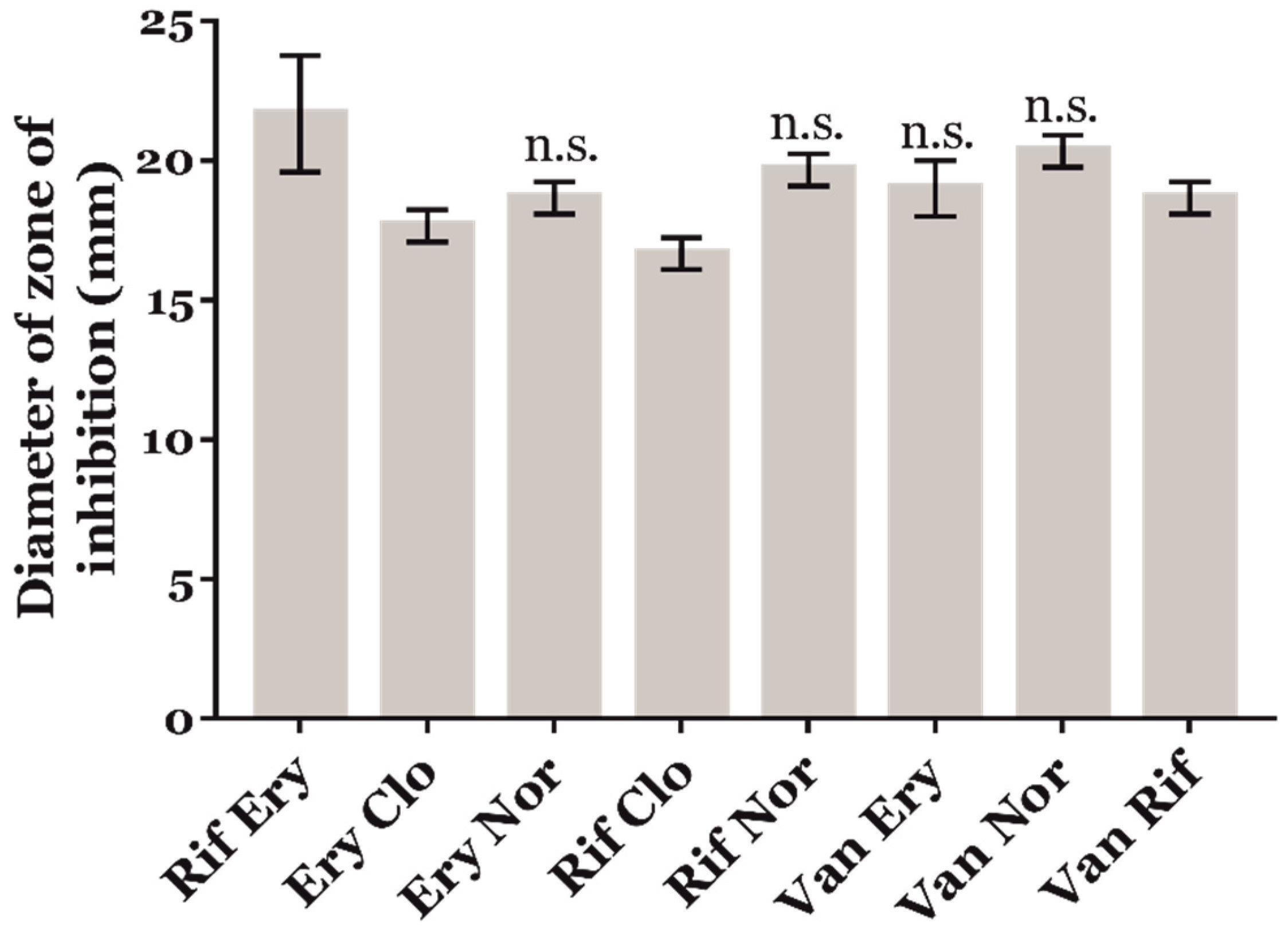
3.2. Combinatorial Antibiotherapy against R. equi with ROS-Generating Antimicrobials
3.3. Antimicrobial Activity of ROS-Generating Anti-Infectives against Intracellular R. equi
4. Conclusions
Author Contributions
Funding
Acknowledgments
Conflicts of Interest
References
- Weinstock, D.M.; Brown, A.E. Rhodococcus equi: An emerging pathogen. Clin. Infect. Dis. 2002, 34, 1379–1385. [Google Scholar] [CrossRef] [PubMed]
- Vázquez-Boland, J.A.; Giguère, S.; Hapeshi, A.; MacArthur, I.; Anastasi, E.; Valero-Rello, A. Rhodococcus equi: The many facets of a pathogenic actinomycete. Vet. Microbiol. 2013, 167, 9–33. [Google Scholar] [CrossRef] [PubMed]
- Yamshchikov, A.V.; Schuetz, A.; Lyon, G.M. Rhodococcus equi infection. Lancet Infect. Dis. 2010, 10, 350–359. [Google Scholar] [CrossRef]
- Kedlaya, I.; Ing, M.B.; Wong, S.S. Rhodococcus equi infections in immunocompetent hosts: Case report and review. Clin. Infect. Dis. 2001, 32, E39–E46. [Google Scholar] [CrossRef] [PubMed]
- Muscatello, G.; Anderson, G.A.; Gilkerson, J.R.; Browning, G.F. Associations between the ecology of virulent Rhodococcus equi and the epidemiology of R. equi pneumonia on Australian thoroughbred farms. Appl. Environ. Microbiol. 2006, 72, 6152–6160. [Google Scholar] [CrossRef] [PubMed]
- Muscatello, G.; Gerbaud, S.; Kennedy, C.; Gilkerson, J.R.; Buckley, T.; Klay, M.; Leadon, D.P.; Browning, G.F. Comparison of concentrations of Rhodococcus equi and virulent R. equi in air of stables and paddocks on horse breeding farms in a temperate climate. Equine Vet. J. 2006, 38, 263–265. [Google Scholar] [CrossRef]
- Huber, L.; Giguère, S.; Cohen, N.D.; Slovis, N.M.; Berghaus, L.; Greiter, M.; Hart, K.A. Identification of macrolide- and rifampicin-resistant Rhodococcus equi in environmental samples from equine breeding farms in central Kentucky during 2018. Vet. Microbiol. 2019, 232, 74–78. [Google Scholar] [CrossRef]
- Huber, L.; Giguère, S.; Slovis, N.M.; Carter, C.N.; Barr, B.S.; Cohen, N.D.; Elam, J.; Erol, E.; Locke, S.J.; Phillips, E.D.; et al. Emergence of resistance to macrolides and rifampin in clinical isolates of Rhodococcus equi from foals in central Kentucky, 1995 to 2017. Antimicrob. Agents Chemother. 2019, 63, 1–6. [Google Scholar] [CrossRef]
- Cisek, A.A.; Rzewuska, M.; Witkowski, L.; Binek, M. Antimicrobial resistance in Rhodococcus equi. Acta Biochim. Pol. 2014, 61, 633–638. [Google Scholar] [CrossRef]
- Giguère, S.; Berghaus, L.J.; Willingham-Lane, J.N. Antimicrobial resistance in Rhodococcus equi. Microbiol. Spectrum. 2017, 5. [Google Scholar] [CrossRef]
- Giles, C.; Vanniasinkam, T.; Ndi, S.; Barton, M.D. Rhodococcus equi (Prescottella equi) vaccines; the future of vaccine development. Equine Vet. J. 2015, 47, 510–518. [Google Scholar] [CrossRef] [PubMed]
- Giguère, S.; Berghaus, L.J.; Lee, E.A. Activity of 10 antimicrobial agents against intracellular Rhodococcus equi. Vet. Microbiol. 2015, 178, 275–278. [Google Scholar] [CrossRef] [PubMed]
- Higuchi, T.; Arakawa, T.; Hashikura, S.; Inui, T.; Senba, H.; Takai, S. Effect of prophylactic administration of hyperimmune plasma to prevent Rhodococcus equi infection on foals from endemically affected farms. J. Vet. Med. Ser. B 1999, 46, 641–648. [Google Scholar] [CrossRef]
- Kohanski, M.A.; Dwyer, D.J.; Hayete, B.; Lawrence, C.A.; Collins, J.J. A common mechanism of cellular death induced by bactericidal antibiotics. Cell 2007, 130, 797–810. [Google Scholar] [CrossRef] [PubMed]
- Kalghatgi, S.; Spina, C.S.; Costello, J.C.; Liesa, M.; Morones-Ramirez, J.R.; Slomovic, S.; Molina, A.; Shirihai, O.S.; Collins, J.J. Bactericidal antibiotics induce mitochondrial dysfunction and oxidative damage in mammalian cells. Sci. Transl. Med. 2013, 5, 192ra85. [Google Scholar] [CrossRef] [PubMed]
- Kim, S.Y.; Park, C.; Jang, H.J.; Kim, B.O.; Bae, H.W.; Chung, I.Y.; Kim, E.S.; Cho, Y.H. Antibacterial strategies inspired by the oxidative stress and response networks. J. Microbiol. 2019, 57, 203–212. [Google Scholar] [CrossRef]
- Mourenza, Á.; Bravo-Santano, N.; Pradal, I.; Gil, J.A.; Mateos, L.M.; Letek, M. Mycoredoxins are required for redox homeostasis and intracellular survival in the actinobacterial pathogen Rhodococcus equi. Antioxidants 2019, 8, 558. [Google Scholar] [CrossRef]
- Tung, Q.N.; Loi, V.V.; Busche, T.; Nerlich, A.; Mieth, M.; Milse, J.; Kalinowski, J.; Hocke, A.C.; Antelmann, H. Stable integration of the Mrx1-roGFP2 biosensor to monitor dynamic changes of the mycothiol redox potential in Corynebacterium glutamicum. Redox Biol. 2019, 20, 514–525. [Google Scholar] [CrossRef]
- Bhaskar, A.; Chawla, M.; Mehta, M.; Parikh, P.; Chandra, P.; Bhave, D.; Kumar, D.; Carroll, K.S.; Singh, A. Reengineering Redox sensitive GFP to measure mycothiol Redox potential of Mycobacterium tuberculosis during infection. PLoS Pathog. 2014, 10, e1003902. [Google Scholar] [CrossRef]
- Gutscher, M.; Pauleau, A.-L.; Marty, L.; Brach, T.; Wabnitz, G.H.; Samstag, Y.; Meyer, A.J.; Dick, T.P. Real-time imaging of the intracellular glutathione redox potential. Nat. Methods 2008, 5, 553–559. [Google Scholar] [CrossRef]
- Riesenberg, A.; Feßler, A.T.; Erol, E.; Prenger-Berninghoff, E.; Stamm, I.; Böse, R.; Heusinger, A.; Klarmann, D.; Werckenthin, C.; Schwarz, S. MICs of 32 antimicrobial agents for Rhodococcus equi isolates of animal origin. J. Antimicrob. Chemother. 2014, 69, 1045–1049. [Google Scholar] [CrossRef] [PubMed]
- Letek, M.; González, P.; MacArthur, I.; Rodríguez, H.; Freeman, T.C.; Valero-Rello, A.; Blanco, M.; Buckley, T.; Cherevach, I.; Fahey, R.; et al. The genome of a pathogenic Rhodococcus: Cooptive virulence underpinned by key gene acquisitions. PLoS Genet. 2010, 6, e1001145. [Google Scholar] [CrossRef] [PubMed]
- Van Loi, V.; Rossius, M.; Antelmann, H. Redox regulation by reversible protein S-thiolation in bacteria. Front. Microbiol. 2015, 6, 1–22. [Google Scholar] [CrossRef]
- Bauer, A.W.; Kirby, W.M.M.; Sherris, J.C.; Turck, M. Antibiotic susceptibility testing by a standardized single disk method. Am. J. Clin. Pathol. 1966, 45, 493–496. [Google Scholar] [CrossRef]
- Dwyer, D.J.; Kohanski, M.A.; Hayete, B.; Collins, J.J. Gyrase inhibitors induce an oxidative damage cellular death pathway in Escherichia coli. Mol. Syst. Biol. 2007, 3, 91. [Google Scholar] [CrossRef]
- Yano, T.; Kassovska-Bratinova, S.; Shin Teh, J.; Winkler, J.; Sullivan, K.; Isaacs, A.; Schechter, N.M.; Rubin, H. Reduction of clofazimine by mycobacterial type 2 NADH: Quinone Oxidoreductase: A pathway for the generation of bactericidal levels of reactive oxygen species. J. Biol. Chem. 2011, 286, 10276–10287. [Google Scholar] [CrossRef]
- Kottur, J.; Nair, D.T. Reactive oxygen species play an important role in the bactericidal activity of quinolone antibiotics. Angew. Chem. Int. Ed. 2016, 55, 2397–2400. [Google Scholar] [CrossRef]
- Dwyer, D.J.; Belenky, P.A.; Yang, J.H.; MacDonald, C.I.; Martell, J.D.; Takahashi, N.; Chan, C.T.Y.; Lobritz, M.A.; Braff, D.; Schwarz, E.G.; et al. Antibiotics induce redox-related physiological alterations a part of their lethality. Proc. Natl. Acad. Sci. USA 2014, 111, E2100–E2109. [Google Scholar] [CrossRef]
- Riesenberg, A.; Kaspar, H.; Feßler, A.T.; Werckenthin, C.; Schwarz, S. Susceptibility testing of Rhodococcus equi: An interlaboratory test. Vet. Microbiol. 2016, 194, 30–35. [Google Scholar] [CrossRef]
- Chierentin, L.; Salgado, H.R.N. Review of properties and analytical methods for the determination of Norfloxacin. Crit. Rev. Anal. Chem. 2016, 46, 22–39. [Google Scholar] [CrossRef]
- Sande, L.; Sanchez, M.; Montes, J.; Wolf, A.J.; Morgan, M.A.; Omri, A.; Liu, G.Y. Liposomal encapsulation of vancomycin improves killing of methicillin-resistant Staphylococcus aureus in a murine infection model. J. Antimicrob. Chemother. 2012, 67, 2191–2194. [Google Scholar] [CrossRef] [PubMed]
- Burton, A.J.; Giguère, S.; Berghaus, L.J.; Hondalus, M.K.; Arnold, R.D. Efficacy of liposomal gentamicin against Rhodococcus equi in a mouse infection model and colocalization with R. equi in equine alveolar macrophages. Vet. Microbiol. 2015, 176, 292–300. [Google Scholar] [CrossRef] [PubMed]
- Cohen, N.D.; Giguère, S.; Burton, A.J.; Rocha, J.N.; Berghaus, L.J.; Brake, C.N.; Bordin, A.I.; Coleman, M.C. Use of liposomal gentamicin for treatment of 5 foals with experimentally induced Rhodococcus equi pneumonia. J. Vet. Intern. Med. 2016, 30, 322–325. [Google Scholar] [CrossRef]
- Abed, N.; Couvreur, P. Nanocarriers for antibiotics: A promising solution to treat intracellular bacterial infections. Int. J. Antimicrob. Agents 2014, 43, 485–496. [Google Scholar] [CrossRef]
- Álvarez-Narváez, S.; Giguère, S.; Anastasi, E.; Hearn, J.; Scortti, M.; Vázquez-Boland, J.A. Clonal confinement of a highly mobile resistance element driven by combination therapy in Rhodococcus equi. mBio 2019, 10, e02260-19. [Google Scholar] [CrossRef] [PubMed]




| Antibiotics | MIC |
|---|---|
| Rifampicin | 0.4 µg/mL |
| Erythromycin | 1.3 µg/mL |
| Vancomycin | 1 µg/mL |
| Norfloxacin | >10 µg/mL |
| Rifampicin + Erythromycin | 0.4 + 1.3 µg/mL |
| Rifampicin + Norfloxacin | 0.4 + 1 µg/mL |
| Erythromycin + Norfloxacin | 0.5 + 1 µg/mL |
| Rifampicin + Vancomycin | 0.05 + 0.25 µg/mL |
| Erythromycin + Vancomycin | 0.5 + 0.25 µg/mL |
| Vancomycin + Norfloxacin | 0.5 + 1 µg/mL |
© 2020 by the authors. Licensee MDPI, Basel, Switzerland. This article is an open access article distributed under the terms and conditions of the Creative Commons Attribution (CC BY) license (http://creativecommons.org/licenses/by/4.0/).
Share and Cite
Mourenza, Á.; Gil, J.A.; Mateos, L.M.; Letek, M. A Novel Screening Strategy Reveals ROS-Generating Antimicrobials That Act Synergistically against the Intracellular Veterinary Pathogen Rhodococcus equi . Antioxidants 2020, 9, 114. https://doi.org/10.3390/antiox9020114
Mourenza Á, Gil JA, Mateos LM, Letek M. A Novel Screening Strategy Reveals ROS-Generating Antimicrobials That Act Synergistically against the Intracellular Veterinary Pathogen Rhodococcus equi . Antioxidants. 2020; 9(2):114. https://doi.org/10.3390/antiox9020114
Chicago/Turabian StyleMourenza, Álvaro, José A. Gil, Luís M. Mateos, and Michal Letek. 2020. "A Novel Screening Strategy Reveals ROS-Generating Antimicrobials That Act Synergistically against the Intracellular Veterinary Pathogen Rhodococcus equi " Antioxidants 9, no. 2: 114. https://doi.org/10.3390/antiox9020114
APA StyleMourenza, Á., Gil, J. A., Mateos, L. M., & Letek, M. (2020). A Novel Screening Strategy Reveals ROS-Generating Antimicrobials That Act Synergistically against the Intracellular Veterinary Pathogen Rhodococcus equi . Antioxidants, 9(2), 114. https://doi.org/10.3390/antiox9020114

