Phenolic Constituents of Chrysophyllum oliviforme L. Leaf Down-Regulate TGF-β Expression and Ameliorate CCl4-Induced Liver Fibrosis: Evidence from In Vivo and In Silico Studies
Abstract
1. Introduction
2. Materials and Methods
2.1. Plant Material
2.2. Plant Extracts and Sample Solutions
2.3. Experimental Animals and Laboratory Diet
2.4. Drugs and Diagnostic Kits
2.5. Chemicals and Chromatographic Materials
2.6. Evaluation of Hepatoprotective and Antioxidant Activities
2.6.1. Experimental Design
2.6.2. Biological Assays
2.6.3. Antioxidant Assay
2.7. Histopathological Examination
2.8. Genetic Profiling of Liver Tissues
2.8.1. Real Time Reverse Transcriptase—PCR
2.8.2. DNA Fragmentation Assay
2.9. Phenolic Composition
2.9.1. Determination of Total Phenolic and Flavonoid Contents (TPC and TFC)
2.9.2. Isolation and Identification of Phenolic Components
2.10. Molecular Docking of the Isolated Compounds in TGF-β Active Site
2.11. Statistical Analysis
3. Results and Discussion
3.1. Antioxidant Activities and Liver Function Parameters
3.2. Effect on Lipid Peroxidation and Lipid Profile
3.3. Histopathological examination
3.4. In-Vivo Genetic Profiling
3.4.1. DNA Laddering Assay
3.4.2. Measurement of mRNA Expression Level of TGF-β
3.5. Extractives Yield and Phenolic Composition
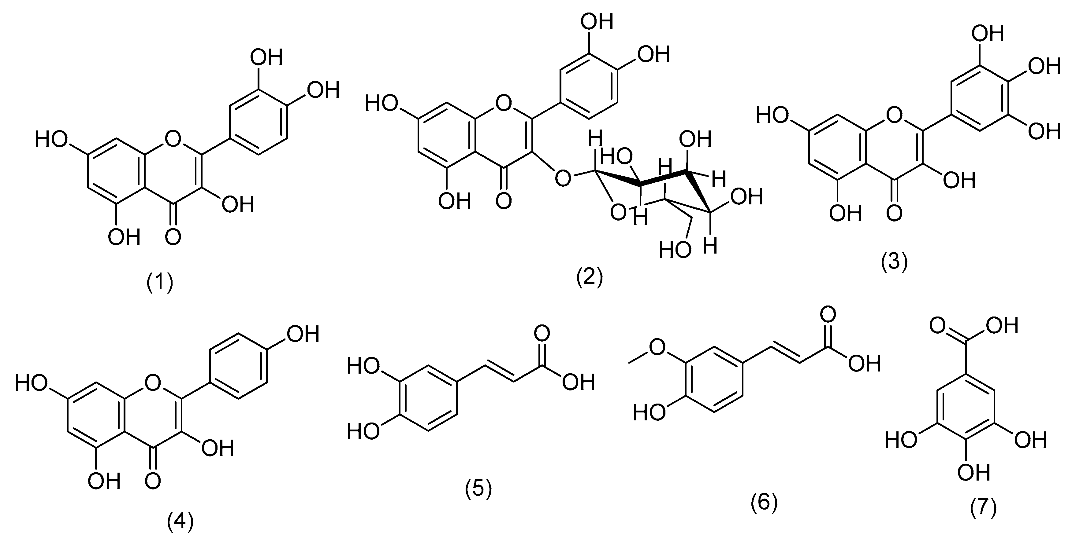
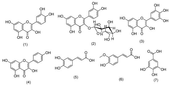
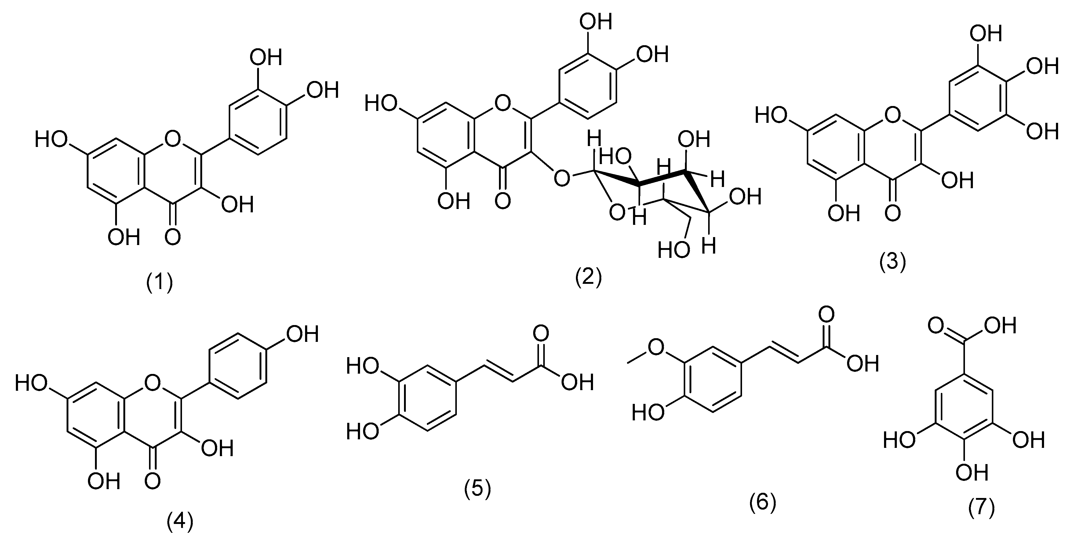
3.6. Phenolic Isolation
3.7. Molecular Study of Isolated Compounds (1- 7) on Gene Expression of TGF-β1
4. Conclusions
Author Contributions
Funding
Acknowledgments
Conflicts of Interest
Abbreviations
References
- Lobo, V.; Patil, A.; Phatak, A.; Chandra, N. Free radicals, antioxidants and functional foods: Impact on human health. Pharmacogn. Rev. 2010, 4, 118. [Google Scholar] [CrossRef] [PubMed]
- Chapman, H.A. Epithelial-mesenchymal interactions in pulmonary fibrosis. Annu. Rev. Physiol. 2011, 73, 413–435. [Google Scholar] [CrossRef] [PubMed]
- Seki, E.; Schwabe, R.F. Hepatic inflammation and fibrosis: Functional links and key pathways. Hepatology 2015, 61, 1066–1079. [Google Scholar] [CrossRef] [PubMed]
- Ningsih, I.Y.; Zulaikhah, S.; Hidayat, M.A.; Kuswandi, B. Antioxidant Activity of Various Kenitu (Chrysophyllum Cainito L.) Leaves Extracts from Jember, Indonesia. Agric. Agric. Sci. Procedia 2016, 9, 378–385. [Google Scholar] [CrossRef][Green Version]
- Shailajan, S.; Gurjar, D. Pharmacognostic and phytochemical evaluation of Chrysophyllum cainito Linn. leaves. Int. J. Pharm. Sci. Rev. Res. 2014, 26, 106–111. [Google Scholar]
- Arana-Argáez, V.E.; Chan-Zapata, I.; Canul-Canche, J.; Fernández-Martín, K.; Martín-Quintal, Z.; Torres-Romero, J.C.; Coral-Martínez, T.I.; Lara-Riegos, J.C.; Ramírez-Camacho, M.A. Immunosuppresive effects of the methanolic extract of Chrysophyllum cainito leaves on macrophage functions. Afr. J. Tradit. Complementary Altern. Med. 2017, 14, 179. [Google Scholar]
- Meira, N.A.; Rocha, L.W.; da Silva, G.F.; Quintal, Z.M.; Delle Monache, F.; Cechinel Filho, V.; Quintão, N.L.M. Chrysophyllum cainito leaves are effective against pre-clinical chronic pain models: Analysis of crude extract, fraction and isolated compounds in mice. J. Ethnopharmacol. 2016, 184, 30–41. [Google Scholar] [CrossRef]
- Mao, L.-M.; Qi, X.-W.; Hao, J.-H.; Liu, H.-F.; Xu, Q.-H.; Bu, P.-L. In vitro, ex vivo and in vivo anti-hypertensive activity of Chrysophyllum cainito L. extract. Int. J. Clin. Exp. Med. 2015, 8, 17912. [Google Scholar]
- Anju Varghesee, R.; Anandhi, P.; Arunadevi, R. Satin leaf (Chrysophyllum oliviforme) extract mediated green synthesis of silver nanoparticles: Antioxidant and anticancer activities. J. Pharma. Sci. Res. 2015, 7, 266–273. [Google Scholar]
- McGill, M.R.; Jaeschke, H. Animal models of drug-induced liver injury. Biochim. Biophys. Acta Mol. Basis Dis. 2019, 1865, 1031–1039. [Google Scholar] [CrossRef]
- Teschke, R. Liver injury by carbon tetrachloride intoxication in 16 patients treated with forced ventilation to accelerate toxin removal via the lungs: A clinical report. Toxics 2018, 6, 25. [Google Scholar] [CrossRef] [PubMed]
- Smejkalová, J.; Obrsál, J.; Tusl, M.; Simek, J. Changes in the level of CCl4 and its toxic radical CCl3 in the blood and liver in rats of both sexes. Sb. Ved. Pr. Lek. Fak. Karlovy Univerzity Hradci Kralove Suppl. 1985, 28, 391–398. [Google Scholar] [PubMed]
- Jain, N.K.; Singhai, A.K. Protective effects of Phyllanthus acidus (L.) Skeels leaf extracts on acetaminophen and thioacetamide induced hepatic injuries in Wistar rats. Asian Pac. J. Trop. Med. 2011, 4, 470–474. [Google Scholar] [CrossRef]
- Allain, C.C.; Poon, L.S.; Chan, C.S.; Richmond, W.; Fu, P.C. Enzymatic determination of total serum cholesterol. Clin. Chem. 1974, 20, 470–475. [Google Scholar] [PubMed]
- Fossati, P.; Prencipe, L. Serum triglycerides determined colorimetrically with an enzyme that produces hydrogen peroxide. Clin. Chem. 1982, 28, 2077–2080. [Google Scholar] [PubMed]
- Demacker, P.; Vos-Janssen, H.; Hijmans, A.; Van’t Laar, A.; Jansen, A. Measurement of high-density lipoprotein cholesterol in serum: Comparison of six isolation methods combined with enzymic cholesterol analysis. Clin. Chem. 1980, 26, 1780–1786. [Google Scholar]
- Reitman, S.; Frankel, S. A colorimetric method for the determination of serum glutamic oxalacetic and glutamic pyruvic transaminases. Am. J. Clin. Pathol. 1957, 28, 56–63. [Google Scholar] [CrossRef]
- Gornall, A.G.; Bardawill, C.J.; David, M.M. Determination of serum proteins by means of the biuret reaction. J. Biol. Chem. 1949, 177, 751–766. [Google Scholar]
- Doumas, B.T.; Watson, W.A.; Biggs, H.G. Albumin standards and the measurement of serum albumin with bromcresol green. Clin. Chim. Acta 1971, 31, 87–96. [Google Scholar] [CrossRef]
- Beutler, E. Improved method for determination of blood glutathione. J. Lab. Clin. Med. 1963, 61, 882–888. [Google Scholar]
- Ohkawa, H.; Ohishi, N.; Yagi, K. Assay for lipid peroxides in animal tissues by thiobarbituric acid reaction. Anal. Biochem. 1979, 95, 351–358. [Google Scholar] [CrossRef]
- Koracevic, D.; Koracevic, G.; Djordjevic, V.; Andrejevic, S.; Cosic, V. Method for the measurement of antioxidant activity in human fluids. J. Clin. Pathol. 2001, 54, 356–361. [Google Scholar] [CrossRef] [PubMed]
- Bancroft, J.; Stevens, A. The Haematoxylin and Eosin: Theory and Practice of Histological Techniques, 4th ed.; Churchill Livingstone: New York, NY, USA, 1996; Chapter 6; pp. 99–112. [Google Scholar]
- Morgan, A.; Galal, M.K.; Ogaly, H.A.; Ibrahim, M.A.; Abd-Elsalam, R.M.; Noshy, P. Tiron ameliorates oxidative stress and inflammation in titanium dioxide nanoparticles induced nephrotoxicity of male rats. Biomed. Pharmacother. 2017, 93, 779–787. [Google Scholar] [CrossRef] [PubMed]
- Khalaf, A.; Ibrahim, M.; Tohamy, A.; Abd Allah, A.; Zaki, A.R. Protective Effect of Vitazinc on Chlorsan Induced Oxidative Stress, Genotoxicity and Histopathological Changes in Testicular Tissues of Male Rats. Int. J. Pharmacol. 2017, 13, 22–32. [Google Scholar]
- Geissman, T.A. The Chemistry of Flavonoid Compounds; Pergamon Press: Oxford, UK; London, UK; New York, NY, USA; Paris, France, 1962. [Google Scholar]
- Saboo, S.; Tapadiya, R.; Khadabadi, S.; Deokate, U. In vitro antioxidant activity and total phenolic, flavonoid contents of the crude extracts of Pterospermum acerifolium wild leaves (Sterculiaceae). J. Chem. Pharm. Res. 2010, 2, 417–423. [Google Scholar]
- Kiranmai, M.; Kumar, C.; Ibrahim, M. Comparison of total flavanoid content of Azadirachta indica root bark extracts prepared by different methods of extraction. Res. J. Pharm. Biol. Chem. Sci. 2011, 2, 254–261. [Google Scholar]
- Irwin, J.J.; Shoichet, B.K. ZINC− a free database of commercially available compounds for virtual screening. J. Chem. Inf. Model. 2005, 45, 177–182. [Google Scholar] [CrossRef]
- Gellibert, F.; Woolven, J.; Fouchet, M.-H.; Mathews, N.; Goodland, H.; Lovegrove, V.; Laroze, A.; Nguyen, V.-L.; Sautet, S.; Wang, R. Identification of 1, 5-naphthyridine derivatives as a novel series of potent and selective TGF-β type I receptor inhibitors. J. Med. Chem. 2004, 47, 4494–4506. [Google Scholar] [CrossRef]
- Hsu, K.-C.; Chen, Y.-F.; Lin, S.-R.; Yang, J.-M. iGEMDOCK: A graphical environment of enhancing GEMDOCK using pharmacological interactions and post-screening analysis. BMC Bioinform. 2011, 12, S33. [Google Scholar] [CrossRef]
- Studio, D. Version 2.5; Accelrys Inc.: San Diego, CA, USA, 2009. [Google Scholar]
- Sobeh, M.; Esmat, A.; Petruk, G.; Abdelfattah, M.A.; Dmirieh, M.; Monti, D.M.; Abdel-Naim, A.B.; Wink, M. Phenolic compounds from Syzygium jambos (Myrtaceae) exhibit distinct antioxidant and hepatoprotective activities in vivo. J. Funct. Foods 2018, 41, 223–231. [Google Scholar] [CrossRef]
- Adebayo, H.; Abolaji, A.O.; Kela, R.; Ayepola, O.O.; Olorunfemi, T.B.; Taiwo, O.S. Antioxidant activities of the leaves of Chrysophyllum Albidum G. Pak. J. Pharm. Sci. 2011, 24, 545–551. [Google Scholar] [PubMed]
- Mahmoodzadeh, Y.; Mazani, M.; Rezagholizadeh, L. Hepatoprotective effect of methanolic Tanacetum parthenium extract on CCl4-induced liver damage in rats. Toxicol. Rep. 2017, 4, 455–462. [Google Scholar] [CrossRef] [PubMed]
- Pokharkar, V.; Dhar, S.; Bhumkar, D.; Mali, V.; Bodhankar, S.; Prasad, B.L. Acute and subacute toxicity studies of chitosan reduced gold nanoparticles: A novel carrier for therapeutic agents. J. Biomed. Nanotechnol. 2009, 5, 233–239. [Google Scholar] [CrossRef] [PubMed]
- Jaishree, V.; Badami, S. Anti-oxidant and hepatoprotective effect of swetiamarin from Enocostemma axillare against D-galactosamine induced acute liver damage in rats. J. Ethnopharmacol. 2010, 130, 103–106. [Google Scholar] [CrossRef] [PubMed]
- Kumar, S.S.; Kumar, B.R.; Mohan, G.K. Hepatoprotective effect of Trichosanthes cucumerina Var cucumerina L. on carbon tetrachloride induced liver damage in rats. J. Ethnopharmacol. 2009, 123, 347–350. [Google Scholar] [CrossRef] [PubMed]
- Fernandez, M.L.; West, K.L. Mechanisms by which dietary fatty acids modulate plasma lipids. J. Nutr. 2005, 135, 2075–2078. [Google Scholar] [CrossRef] [PubMed]
- Weber, L.W.; Boll, M.; Stampfl, A. Hepatotoxicity and mechanism of action of haloalkanes: Carbon tetrachloride as a toxicological model. Crit. Rev. Toxicol. 2003, 33, 105–136. [Google Scholar] [CrossRef]
- Dong, S.; Chen, Q.L.; Song, Y.N.; Sun, Y.; Wei, B.; Li, X.Y.; Hu, Y.Y.; Liu, P.; Su, S.B. Mechanisms of CCl4-induced liver fibrosis with combined transcriptomic and proteomic analysis. J. Toxicol. Sci. 2016, 41, 561–572. [Google Scholar] [CrossRef]
- Heeba, G.H.; Mahmoud, M.E. Therapeutic potential of morin against liver fibrosis in rats: Modulation of oxidative stress, cytokine production and nuclear factor kappa B. Environ. Toxicol. Pharmacol. 2014, 37, 662–671. [Google Scholar] [CrossRef]
- Gooch, J.L.; Gorin, Y.; Zhang, B.-X.; Abboud, H.E. Involvement of calcineurin in transforming growth factor-β-mediated regulation of extracellular matrix accumulation. J. Biol. Chem. 2004, 279, 15561–15570. [Google Scholar] [CrossRef]
- Swart, P.J.; Hirano, T.; Kuipers, M.E.; Ito, Y.; Smit, C.; Hashida, M.; Nishikawa, M.; Beljaars, L.; Meijer, D.K.; Poelstra, K. Targeting of superoxide dismutase to the liver results in anti-inflammatory effects in rats with fibrotic livers. J. Hepatol. 1999, 31, 1034–1043. [Google Scholar] [CrossRef]
- Moo-Huchin, V.M.; Moo-Huchin, M.I.; Estrada-León, R.J.; Cuevas-Glory, L.; Estrada-Mota, I.A.; Ortiz-Vázquez, E.; Betancur-Ancona, D.; Sauri-Duch, E. Antioxidant compounds, antioxidant activity and phenolic content in peel from three tropical fruits from Yucatan. Food Chem. 2015, 1, 17–22. [Google Scholar] [CrossRef] [PubMed]
- Kim, M.-J.; Park, S.-A.; Kim, C.H.; Park, S.-Y.; Kim, J.-S.; Kim, D.-K.; Nam, J.-S.; Sheen, Y.Y. TGF-β type I receptor kinase inhibitor EW-7197 suppresses cholestatic liver fibrosis by inhibiting HIF1α-induced epithelial mesenchymal transition. Cell. Physiol. Biochem. 2016, 38, 571–588. [Google Scholar] [CrossRef] [PubMed]
- Oboh, G.; Ademosun, A.O.; Akinleye, M.; Omojokun, O.S.; Boligon, A.A.; Athayde, M.L. Starch composition, glycemic indices, phenolic constituents, and antioxidative and antidiabetic properties of some common tropical fruits. J. Ethn. Foods 2015, 2, 64–73. [Google Scholar] [CrossRef]
- Marqui, S.R.d. Estudo Fitoquímico e Busca de Substâncias Bioativas de Chrysophyllum Flexuosum (Sapotaceae); Universidade Estadual Paulista (UNESP): Sao Paulo, Brazil, 2007. [Google Scholar]
- Silva, V.C.d.; Lopes, M.N.; Bolzani, V.d.S. Chemical study of leaves of Chrysophyllum marginatum (HOOK. & ARN.) RADLK (Sapotaceae). Química Nova 2006, 29, 493–495. [Google Scholar]
- Mishra, S.; Mittal, K.; Hora, S.; Mani, R.J.; Katare, D.P. Targeting inflammatory proteins using immunomodulation for regulation of hepatocellular carcinoma microenvironment. IJPSR 2017, 8, 4750–4757. [Google Scholar]
- Galle, P.R.; Gerken, G.; Schmidt, W.E.; Wiedenmann, B. Disease Progression and Carcinogenesis in the Gastrointestinal Tract; Springer: New York, NY, USA, 2003; p. 260. [Google Scholar]












| Group | Reduced Glutathione (GSH) | Total Antioxidant Activity | Lipid Peroxidase (Malondialdehyde) |
|---|---|---|---|
| mg/dL | mM/L | nmol/mL | |
| Control negative | 25.8 ± 2.05 * | 2.25 ± 0.02 ** | 5.90 ± 0.46 ** |
| Control positive | 15.3 ± 1.04 $ | 1.07 ± 0.10 $$ | 12.23 ± 0.81 $$ |
| Silymarin | 26.1 ± 1.32 ** | 1.88 ± 0.02 ** | 5.35 ± 0.35 ** |
| Cp 250 | 20.8 ± 2.01 | 1.55 ± 0.20 $ | 7.86 ± 0.64 ** |
| Cp 500 | 24.4 ± 2.07 * | 1.77 ± 0.14 * | 6.15 ± 0.60 ** |
| Ce 250 | 22.8 ± 2.14 * | 1.89 ± 0.15 ** | 6.26 ± 0.54 ** |
| Ce 500 | 25.2 ± 2.18 ** | 2.05 ± 0.04 ** | 5.97 ± 0.38 ** |
| Op 250 | 22.2 ± 2.17 * | 1.92 ± 0.08 ** | 6.74 ± 0.53 ** |
| Op 500 | 25.0 ± 1.52 ** | 1.97 ± 0.07 ** | 6.37 ± 0.36 ** |
| Oe 250 | 23.9 ± 2.25 * | 1.95 ± 0.05 ** | 5.49 ± 0.30 ** |
| Oe 500 | 26.3 ± 1.45 ** | 2.06 ± 0.04 ** | 4.88 ± 0.42 ** |
| Group | AST | ALT | Total Protein | Albumin |
|---|---|---|---|---|
| IU/L | g/dL | |||
| Control negative | 41.0 ± 1.24 * | 31.3 ± 3.26 | 7.57 ± 0.65 * | 3.915 ± 0.17 * |
| Control positive | 70.4 ± 4.93 $ | 48.6 ± 4.25 $ | 3.25 ± 0.94 $ | 1.23 ± 0.08 $ |
| Silymarin | 41.9 ± 2.13 ** | 27.6 ± 3.51 * | 7.49 ± 1.27 * | 3.03 ± 0.42 * |
| Cp 250 | 62.2 ± 4.75 * | 32.5 ± 4.74 * | 7.1 ± 1.57 * | 3.84 ± 0.37 * |
| Cp 500 | 46.5 ± 1.12 | 29.8 ± 5.53 * | 6.98 ± 1.06 * | 3.48 ± 0.19 * |
| Ce 250 | 23.8 ± 1.02 **,$ | 21.7 ± 1.96 * | 7.23 ± 0.98 * | 3.29 ± 0.15 * |
| Ce 500 | 20.3 ± 1.52 **,$ | 24.2 ± 1.60 * | 7.55 ± 0.43 * | 3.16 ± 0.19 * |
| Op 250 | 37.5 ± 2.10 * | 24.8 ± 4.57 * | 7.41 ± 0.31 * | 3.17 ± 0.19 * |
| Op 500 | 29.0 ± 1.42 **,$ | 21.9 ± 1.56 * | 7.74 ± 0.71 * | 3.20 ± 0.26 * |
| Oe 250 | 22.38 ± 1.48 **,$ | 21.9 ± 2.09 * | 7.58 ± 0.74 * | 3.16 ± 0.20 * |
| Oe 500 | 19.4 ± 1.60 **,$ | 20.5 ± 1.13 * | 7.70 ± 0.62 * | 3.10 ± 0.20 * |
| Compounds | Human TGF-β1 | ||||
|---|---|---|---|---|---|
| Pharmascore | Interaction with Key Amino Acid | Total Binding Energy | VDW | H Bond | |
| Quercetin | −149.1 | LEU-260, LEU-340, LYS-232, VAL-219, ASP-351 | −116.7 | −83.7005 | −33.0111 |
| Isoquercitrin | −158.4 | LEU-260, LEU-340, VAL-219 | −150.5 | −108.313 | −42.209 |
| Myricetin | −152 | LEU-260, LEU-340, LYS-232, VAL-219, ASP-351 | −118.5 | −87.6131 | −30.8507 |
| Kaempferol | −141.7 | LEU-260, LEU-340, LYS-232, VAL-219, ASP-351 | −108.2 | −81.402 | −26.8215 |
| Caffeic acid | −106.9 | LEU-260, LEU-340, LYS-232, VAL-219, ASP-351 | −78.7 | −54.8976 | −22.2599 |
| Trans-Ferulic acid | −112.7 | LEU-260, LEU-340, LYS-232, VAL-219, ASP-351 | −84.4 | −65.2541 | −17.6243 |
| Gallic acid | −113 | LEU-260, LYS-232, VAL-219, ASP-351. | −86.7 | −63.9845 | −25.2021 |
| Silbinin | −173.4 | LEU-260, LEU-340, LYS-232, VAL-219, ASP-351 | −145.1 | −121.657 | −23.4008 |
| Reference inhibitor (co-crystallized ligand) | −127.7 | LEU-260, LEU-340, LYS-232, VAL-219 | −112 | −102.822 | −9.14506 |
© 2019 by the authors. Licensee MDPI, Basel, Switzerland. This article is an open access article distributed under the terms and conditions of the Creative Commons Attribution (CC BY) license (http://creativecommons.org/licenses/by/4.0/).
Share and Cite
El-Hawary, S.S.E.-D.; El Zalabani, S.M.; Selim, N.M.; Ibrahim, M.A.; Wahba, F.A.; El Badawy, S.A.; Mahdy, N.E.S.; Yasri, A.; Sobeh, M. Phenolic Constituents of Chrysophyllum oliviforme L. Leaf Down-Regulate TGF-β Expression and Ameliorate CCl4-Induced Liver Fibrosis: Evidence from In Vivo and In Silico Studies. Antioxidants 2019, 8, 646. https://doi.org/10.3390/antiox8120646
El-Hawary SSE-D, El Zalabani SM, Selim NM, Ibrahim MA, Wahba FA, El Badawy SA, Mahdy NES, Yasri A, Sobeh M. Phenolic Constituents of Chrysophyllum oliviforme L. Leaf Down-Regulate TGF-β Expression and Ameliorate CCl4-Induced Liver Fibrosis: Evidence from In Vivo and In Silico Studies. Antioxidants. 2019; 8(12):646. https://doi.org/10.3390/antiox8120646
Chicago/Turabian StyleEl-Hawary, Seham S. El-Din, Soheir M. El Zalabani, Nabil M. Selim, Marwa A. Ibrahim, Fatma A. Wahba, Shymaa A. El Badawy, Nariman El Sayed Mahdy, Aziz Yasri, and Mansour Sobeh. 2019. "Phenolic Constituents of Chrysophyllum oliviforme L. Leaf Down-Regulate TGF-β Expression and Ameliorate CCl4-Induced Liver Fibrosis: Evidence from In Vivo and In Silico Studies" Antioxidants 8, no. 12: 646. https://doi.org/10.3390/antiox8120646
APA StyleEl-Hawary, S. S. E.-D., El Zalabani, S. M., Selim, N. M., Ibrahim, M. A., Wahba, F. A., El Badawy, S. A., Mahdy, N. E. S., Yasri, A., & Sobeh, M. (2019). Phenolic Constituents of Chrysophyllum oliviforme L. Leaf Down-Regulate TGF-β Expression and Ameliorate CCl4-Induced Liver Fibrosis: Evidence from In Vivo and In Silico Studies. Antioxidants, 8(12), 646. https://doi.org/10.3390/antiox8120646

