Physical Properties of Cellulose Derivative-Based Edible Films Elaborated with Liposomes Encapsulating Grape Seed Tannins
Abstract
1. Introduction
2. Materials and Methods
2.1. Materials
2.2. The Extraction of Partial Purified Phosphatidylcholine (PC)
2.3. Preparation of Tannin-Containing Liposome Suspensions (TLS)
2.4. Particle Size, Polydispersity Index and Zeta Potential
2.5. Encapsulation Efficiency
2.6. Antioxidant Activity Analysis
2.6.1. ABTS●+ Radical Scavenging Assay of TLS
2.6.2. DPPH● Radical Scavenging Assay of TLS
2.7. Detection of Total Phenolic Compounds (TPC) in TLS
2.8. Microstructure
2.9. In Vitro Release of Tannins from Liposomes
TLS Thiolysis and UHPLC Quantification
2.10. Preparation of Edible Films (EF)
2.11. Physical Properties of EF
Density and Surface Tension
2.12. Preparation of Edible Films with Tannin-Containing Liposome Suspensions (EF/TLS)
2.13. Physical Properties of EF/TLS
Density and Surface Tension of EF/TLS
2.14. EF/TLS Wettability Parameters
2.15. Mechanical Properties of EF/TLS
Tensile Test
2.16. EF/TLS Color Parameters
2.17. Statistical Analyzes
3. Results and Discussion
3.1. Particle Size, Polydispersity Index and Zeta Potential
3.1.1. Encapsulation Efficiency (% EE)
3.1.2. Antioxidant Activity and TPC
3.2. Microstructure
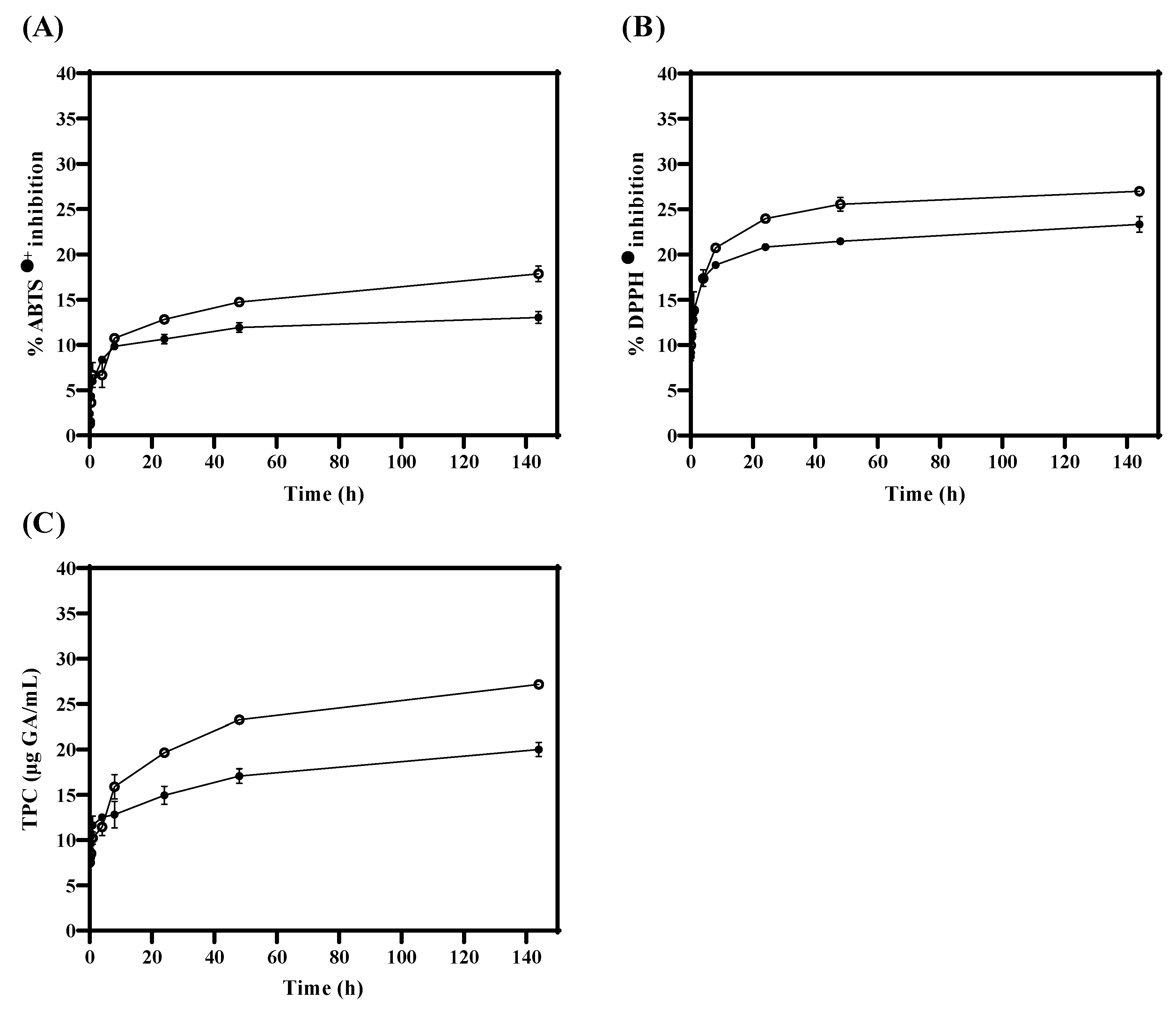
3.3. In Vitro Release of Tannins from Liposomes
3.4. Physical Properties of EF/TLS
3.5. Surface Tension and EF/TLS Density
3.6. EF/TLS Wettability Parameters
3.7. Mechanical Properties of EF/TLS
Tensile Test
3.8. EF/TLS Color Parameters
4. Conclusions
Supplementary Materials
Author Contributions
Funding
Institutional Review Board Statement
Data Availability Statement
Acknowledgments
Conflicts of Interest
References
- Costa, G.N.S.; Tonon, R.V.; Mellinger-Silva, C.; Galdeano, M.C.; Iacomini, M.; Santiago, M.C.P.A.; Almeida, E.L.; Freitas, S.P. Grape seed pomace as a valuable source of antioxidant fibers. J. Sci. Food Agric. 2019, 99, 4593–4601. [Google Scholar] [CrossRef] [PubMed]
- Díaz, H.S.; Ríos-Gallardo, A.; Ortolani, D.; Díaz-Jara, E.; Flores, M.J.; Vera, I.; Monasterio, A.; Ortiz, F.C.; Brossard, N.; Osorio, F.; et al. Lipid-Encapsuled Grape Tannins Prevent Oxidative-Stress-Induced Neuronal Cell Death, Intracellular ROS Accumulation and Inflammation. Antioxidants 2022, 11, 1928. [Google Scholar] [CrossRef] [PubMed]
- Shi, J.; Wang, Y.; Wei, H.; Hu, J.; Gao, M.T. Structure analysis of condensed tannin from rice straw and its inhibitory effect on Staphylococcus aureus. Ind. Crops Prod. 2020, 145, 112130. [Google Scholar] [CrossRef]
- Li, W.; Yao, R.; Xie, L.; Liu, J.; Weng, X.; Yue, X.; Li, F. Dietary supplementation of grape seed tannin extract stimulated testis development, changed fatty acid profiles and increased testis antioxidant capacity in pre-puberty hu lambs. Theriogenology 2021, 172, 160–168. [Google Scholar] [CrossRef] [PubMed]
- Soldado, D.; Bessa, R.J.; Jerónimo, E. Condensed tannins as antioxidants in ruminants—Effectiveness and action mechanisms to improve animal antioxidant status and oxidative stability of products. Animals 2021, 11, 3243. [Google Scholar] [CrossRef] [PubMed]
- Peng, K.; Lv, X.; Zhao, H.; Chen, B.; Chen, X.; Huang, W. Antioxidant and intestinal recovery function of condensed tannins in Lateolabrax maculatus responded to in vivo and in vitro oxidative stress. Aquaculture 2022, 547, 737399. [Google Scholar] [CrossRef]
- Ananga, A.; Obuya, J.; Ochieng, J.; Tsolova, V. Grape seed nutraceuticals for disease prevention: Current status and future prospects. In Phenolic Compounds—Biological Activity; InTech: Houston, TX, USA, 2017; pp. 119–137. [Google Scholar] [CrossRef]
- Sochorova, L.; Prusova, B.; Jurikova, T.; Mlcek, J.; Adamkova, A.; Baron, M.; Sochor, J. The study of antioxidant components in grape seeds. Molecules 2020, 25, 3736. [Google Scholar] [CrossRef]
- Jones, D.; Caballero, S.; Davidov-Pardo, G. Bioavailability of nanotechnology-based bioactives and nutraceuticals. In Advances in Food and Nutrition Research, 1st ed.; Elsevier Inc.: Amsterdam, The Netherlands, 2019; Volume 88. [Google Scholar] [CrossRef]
- Peng, S.; Zou, L.; Zhou, W.; Liu, W.; Liu, C.; McClements, D.J. Encapsulation of Lipophilic Polyphenols into Nanoliposomes Using pH-Driven Method: Advantages and Disadvantages. J. Agric. Food Chem. 2019, 67, 7506–7511. [Google Scholar] [CrossRef] [PubMed]
- Liu, W.; Hou, Y.; Jin, Y.; Wang, Y.; Xu, X.; Han, J. Research progress on liposomes: Application in food, digestion behavior and absorption mechanism. Trends Food Sci. Technol. 2020, 104, 177–189. [Google Scholar] [CrossRef]
- Ben-Fadhel, Y.; Maherani, B.; Salmieri, S.; Lacroix, M. Preparation and characterization of natural extracts-loaded food grade nanoliposomes. Lwt 2022, 154, 112781. [Google Scholar] [CrossRef]
- Pateiro, M.; Gómez, B.; Munekata, P.E.S.; Barba, F.J.; Putnik, P.; Kovačević, D.B.; Lorenzo, J.M. Nanoencapsulation of promising bioactive compounds to improve their absorption, stability, functionality and the appearance of the final food products. Molecules 2021, 26, 1547. [Google Scholar] [CrossRef] [PubMed]
- Ballesteros, L.F.; Teixeira, J.A.; Cerqueira, M.A. Active Carboxymethyl Cellulose-Based Edible Coatings for the Extension of Fresh Goldenberries Shelf-Life†. Horticulturae 2022, 8, 936. [Google Scholar] [CrossRef]
- Zambrano-Zaragoza, M.L.; González-Reza, R.; Mendoza-Muñoz, N.; Miranda-Linares, V.; Bernal-Couoh, T.F.; Mendoza-Elvira, S.; Quintanar-Guerrero, D. Nanosystems in edible coatings: A novel strategy for food preservation. Int. J. Mol. Sci. 2018, 19, 705. [Google Scholar] [CrossRef] [PubMed]
- Bhagath, Y.B.; Manjula, K. Influence of composite edible coating systems on preservation of fresh meat cuts and products: A brief review on their trends and applications. Int. Food Res. J. 2019, 26, 377–392. [Google Scholar]
- Parreidt, T.S.; Schott, M.; Schmid, M.; Müller, K. Effect of presence and concentration of plasticizers, vegetable oils, and surfactants on the properties of sodium-alginate-based edible coatings. Int. J. Mol. Sci. 2018, 19, 742. [Google Scholar] [CrossRef] [PubMed]
- Yadav, A.; Kumar, N.; Upadhyay, A.; Sethi, S.; Singh, A. Edible coating as postharvest management strategy for shelf-life extension of fresh tomato (Solanum lycopersicum L.): An overview. J. Food Sci. 2022, 87, 2256–2290. [Google Scholar] [CrossRef]
- Oztuna Taner, O.; Ekici, L.; Akyuz, L. CMC-based edible coating composite films from Brewer’s spent grain waste: A novel approach for the fresh strawberry package. Polym. Bull. 2022, 80, 9033–9058. [Google Scholar] [CrossRef]
- Wang, Y.; Jiang, S.; Chen, Y.; Qiu, D.; Weng, Y. Synthesis and Characterization of a Novel Composite Edible Film Based on Hydroxypropyl Methyl Cellulose Grafted with Gelatin. Gels 2023, 9, 332. [Google Scholar] [CrossRef] [PubMed]
- Bahrami Feridoni, S.; Khademi Shurmasti, D. Effect of the nanoencapsulated sour tea (Hibiscus sabdariffa L.) extract with carboxymethylcellulose on quality and shelf life of chicken nugget. Food Sci. Nutr. 2020, 8, 3704–3715. [Google Scholar] [CrossRef] [PubMed]
- Niaz, T.; Shabbir, S.; Noor, T.; Imran, M. Active Composite Packaging Reinforced with Nisin-Loaded Nano-Vesicles for Extended Shelf Life of Chicken Breast Filets and Cheese Slices. Food Bioprocess Technol. 2022, 15, 1284–1298. [Google Scholar] [CrossRef] [PubMed]
- Monasterio, A.; Núñez, E.; Brossard, N.; Vega, R.; Osorio, F.A. Mechanical and Surface Properties of Edible Coatings Elaborated with Nanoliposomes Encapsulating Grape Seed Tannins and Polysaccharides. Polymers 2023, 15, 3774. [Google Scholar] [CrossRef] [PubMed]
- Taladrid, D.; Marín, D.; Alemán, A.; Álvarez-Acero, I.; Montero, P.; Gómez-Guillén, M.C. Effect of chemical composition and sonication procedure on properties of food-grade soy lecithin liposomes with added glycerol. Food Res. Int. 2017, 100, 541–550. [Google Scholar] [CrossRef] [PubMed]
- Babazadeh, A.; Ghanbarzadeh, B.; Hamishehkar, H. Phosphatidylcholine-rutin complex as a potential nanocarrier for food applications. J. Funct. Foods 2017, 33, 134–141. [Google Scholar] [CrossRef]
- Re, R.; Pellegrini, N.; Proteggente, A.; Pannala, A.; Yang, M.; Rice-Evans, C. Antioxidant activity applying an improved ABTS radical cation decolorization assay. Free Radic. Biol. Med. 1999, 26, 1231–1237. [Google Scholar] [CrossRef] [PubMed]
- Brand-Williams, W.; Cuvelier, M.E.; Berset, C. Use of a free radical method to evaluate antioxidant activity. LWT -Food Sci. Technol. 1995, 28, 25–30. [Google Scholar] [CrossRef]
- Favarín, F.R.; Gündel, S.d.S.; Ledur, C.M.; Roggia, I.; Fagan, S.B.; Gündel, A.; Fogaça, A.d.O.; Ourique, A.F. Vitamin C as a shelf-life extender in liposomes. Braz. J. Pharm. Sci. 2022, 58, e20492. [Google Scholar] [CrossRef]
- Lopez-Polo, J.; Silva-Weiss, A.; Zamorano, M.; Osorio, F.A. Humectability and physical properties of hydroxypropyl methylcellulose coatings with liposome-cellulose nanofibers: Food application. Carbohydr. Polym. 2020, 231, 115702. [Google Scholar] [CrossRef] [PubMed]
- Estevez-Areco, S.; Guz, L.; Candal, R.; Goyanes, S. Release kinetics of rosemary (Rosmarinus officinalis) polyphenols from polyvinyl alcohol (PVA) electrospun nanofibers in several food simulants. Food Packag. Shelf Life 2018, 18, 42–50. [Google Scholar] [CrossRef]
- Requena, R.; Vargas, M.; Chiralt, A. Release kinetics of carvacrol and eugenol from poly(hydroxybutyrate-co-hydroxyvalerate) (PHBV) films for food packaging applications. Eur. Polym. J. 2017, 92, 185–193. [Google Scholar] [CrossRef]
- Guo, Y.; Shen, L.; Lu, Y.; Li, H.; Min, K.; Li, L.; Yu, C.; Zheng, X. Preparation of Rutin-liposome Drug Delivery Systems and Evaluation on Their in vitro Antioxidant Activity. Chin. Herb. Med. 2016, 8, 371–375. [Google Scholar] [CrossRef]
- Bianchi, S.; Kroslakova, I.; Mayer, I. Determination of Molecular Structures of Condensed Tannins from Plant Tissues Using HPLC-UV Combined with Thiolysis and MALDI-TOF Mass Spectrometry. Bio-Protocol 2016, 6, e1975. [Google Scholar] [CrossRef]
- Skurtys, O.; Velásquez, P.; Henriquez, O.; Matiacevich, S.; Enrione, J.; Osorio, F. Wetting behavior of chitosan solutions on blueberry epicarp with or without epicuticular waxes. Lwt 2011, 44, 1449–1457. [Google Scholar] [CrossRef]
- Nguyen, P.T.M.; Nguyen, T.A.H.; Bhandari, B.; Prakash, S. Comparison of solid substrates to differentiate the lubrication property of dairy fluids by tribological measurement. J. Food Eng. 2016, 185, 1–8. [Google Scholar] [CrossRef]
- Peter, A.; Cozmuta, L.M.; Nicula, C.; Cozmuta, A.M.; Apjok, R.; Talasman, C.M.; Drazic, G.; Peñas, A.; Calahorro, A.J.; Kamgang Nzekoue, F.; et al. Barrier properties, migration into the food simulants and antimicrobial activity of paper-based materials with functionalized surface. Polym. Polym. Compos. 2022, 30, 1–12. [Google Scholar] [CrossRef]
- Zembyla, M.; Liamas, E.; Andablo-Reyes, E.; Gu, K.; Krop, E.M.; Kew, B.; Sarkar, A. Surface adsorption and lubrication properties of plant and dairy proteins: A comparative study. Food Hydrocoll. 2021, 111, 106364. [Google Scholar] [CrossRef] [PubMed]
- Andrade, R.; Skurtys, O.; Osorio, F.; Zuluaga, R.; Gañán, P.; Castro, C. Wettability of gelatin coating formulations containing cellulose nanofibers on banana and eggplant epicarps. Lwt 2014, 58, 158–165. [Google Scholar] [CrossRef]
- Danaei, M.; Dehghankhold, M.; Ataei, S.; Hasanzadeh Davarani, F.; Javanmard, R.; Dokhani, A.; Khorasani, S.; Mozafari, M.R. Impact of particle size and polydispersity index on the clinical applications of lipidic nanocarrier systems. Pharmaceutics 2018, 10, 57. [Google Scholar] [CrossRef] [PubMed]
- Khorasani, S.; Danaei, M.; Mozafari, M.R. Nanoliposome technology for the food and nutraceutical industries. Trends Food Sci. Technol. 2018, 79, 106–115. [Google Scholar] [CrossRef]
- Subramani, T.; Ganapathyswamy, H. An overview of liposomal nano-encapsulation techniques and its applications in food and nutraceutical. J. Food Sci. Technol. 2020, 57, 3545–3555. [Google Scholar] [CrossRef] [PubMed]
- Montagner, G.E.; Ribeiro, M.F.; Cadoná, F.C.; Franco, C.; Gomes, P. Liposomes loading grape seed extract: A nanotechnological solution to reduce wine-making waste and obtain health-promoting products. Future Foods 2022, 5, 100144. [Google Scholar] [CrossRef]
- Chen, G.; Li, D.; Jin, Y.; Zhang, W.; Teng, L.; Bunt, C.; Wen, J. Deformable liposomes by reverse-phase evaporation method for an enhanced skin delivery of (+)-catechin. Drug Dev. Ind. Pharm. 2014, 40, 260–265. [Google Scholar] [CrossRef] [PubMed]
- Siyar, Z.; Motamedzadegan, A.; Mohammadzadeh Milani, J.; Rashidinejad, A. The effect of the liposomal encapsulated saffron extract on the physicochemical properties of a functional ricotta cheese. Molecules 2022, 27, 120. [Google Scholar] [CrossRef] [PubMed]
- Eskandari, V.; Sadeghi, M.; Hadi, A. Physical and chemical properties of nano-liposome, application in nano medicine. J. Comput. Appl. Mech. 2021, 52, 751–767. [Google Scholar] [CrossRef]
- Lombardo, D.; Kiselev, M.A. Methods of Liposomes Preparation: Formation and Control Factors of Versatile Nanocarriers for Biomedical and Nanomedicine Application. Pharmaceutics 2022, 14, 543. [Google Scholar] [CrossRef] [PubMed]
- Chotphruethipong, L.; Hutamekalin, P.; Sukketsiri, W.; Benjakul, S. Effects of sonication and ultrasound on properties and bioactivities of liposomes loaded with hydrolyzed collagen from defatted sea bass skin conjugated with epigallocatechin gallate. J. Food Biochem. 2021, 45, e13809. [Google Scholar] [CrossRef] [PubMed]
- Sun, L.; Wang, H.; Du, J.; Wang, T.; Yu, D. Ultrasonic-assisted extraction of grape seed procyanidins, preparation of liposomes, and evaluation of their antioxidant capacity. Ultrason. Sonochemistry 2024, 105, 106856. [Google Scholar] [CrossRef] [PubMed]
- Yi, X.; Gao, S.; Gao, X.; Zhang, X.; Xia, G.; Liu, Z.; Shi, H.; Shen, X. Glycolipids improve the stability of liposomes: The perspective of bilayer membrane structure. Food Chem. 2023, 412, 135517. [Google Scholar] [CrossRef] [PubMed]
- Faria, M.J.; Machado, R.; Ribeiro, A.; Gonçalves, H.; Real Oliveira, M.E.C.; Viseu, T.; das Neves, J.; Lúcio, M. Rational development of liposomal hydrogels: A strategy for topical vaginal antiretroviral drug delivery in the context of HIV prevention. Pharmaceutics 2019, 11, 485. [Google Scholar] [CrossRef] [PubMed]
- Xu, J.; Jiang, S.; Liu, L.; Zhao, Y.; Zeng, M. Encapsulation of oyster protein hydrolysates in nanoliposomes: Vesicle characteristics, storage stability, in vitro release, and gastrointestinal digestion. J. Food Sci. 2021, 86, 960–968. [Google Scholar] [CrossRef] [PubMed]
- Luo, X.; Guan, R.; Chen, X.; Liu, M.; Hao, Y.; Jiang, H. Optimized preparation of catechin nanoliposomes by orthogonal design and stability study. Adv. J. Food Sci. Technol. 2014, 6, 921–925. [Google Scholar] [CrossRef]
- Wu, Z.; Guan, R.; Xiao, C.; Lyu, F.; Cao, G.; Liu, M.; Gao, J. Optimization of Catechin Nanoliposomes and Evaluation of Their Antioxidant Activity and Cytotoxicity. Sci. Adv. Mater. 2017, 9, 697–704. [Google Scholar] [CrossRef]
- Ramili, N.A.; Ali, N.; Hamzah, S. Physicochemical Characterization of Quercetin-Loaded Liposomes Prepared by Sonication for Functional Food Application. J. Sustain. Sci. Manag. 2020, 15, 15–27. [Google Scholar] [CrossRef]
- Gulzar, S.; Benjakul, S. Characteristics and storage stability of nanoliposomes loaded with shrimp oil as affected by ultrasonication and microfluidization. Food Chem. 2020, 310, 125916. [Google Scholar] [CrossRef]
- Cheng, X.; Zang, M.; Wang, S.; Zhao, X.; Zhai, G.; Wang, L.; Li, X.; Zhao, Y.; Yue, Y. Physicochemical and Antioxidant Properties of Nanoliposomes Loaded with Rosemary Oleoresin and Their Oxidative Stability Application in Dried Oysters. Bioengineering 2022, 9, 818. [Google Scholar] [CrossRef] [PubMed]
- Olatunde, O.O.; Benjakul, S.; Vongkamjan, K.; Amnuaikit, T. Liposomal Encapsulated Ethanolic Coconut Husk Extract: Antioxidant and Antibacterial Properties. J. Food Sci. 2019, 84, 3664–3673. [Google Scholar] [CrossRef] [PubMed]
- Maqsoudlou, A.; Assadpour, E.; Mohebodini, H.; Jafari, S.M. The influence of nanodelivery systems on the antioxidant activity of natural bioactive compounds. Crit. Rev. Food Sci. Nutr. 2022, 62, 3208–3231. [Google Scholar] [CrossRef] [PubMed]
- Rashidinejad, A.; Birch, E.J.; Sun-Waterhouse, D.; Everett, D.W. Delivery of green tea catechin and epigallocatechin gallate in liposomes incorporated into low-fat hard cheese. Food Chem. 2014, 156, 176–183. [Google Scholar] [CrossRef] [PubMed]
- Caddeo, C.; Gabriele, M.; Fernàndez-Busquets, X.; Valenti, D.; Fadda, A.M.; Pucci, L.; Manconi, M. Antioxidant activity of quercetin in Eudragit-coated liposomes for intestinal delivery. Int. J. Pharm. 2019, 565, 64–69. [Google Scholar] [CrossRef] [PubMed]
- De Leo, V.; Milano, F.; Mancini, E.; Comparelli, R.; Giotta, L.; Nacci, A.; Longobardi, F.; Garbetta, A.; Agostiano, A.; Catucci, L. Encapsulation of curcumin-loaded liposomes for colonic drug delivery in a pH-responsive polymer cluster using a pH-driven and organic solvent-free process. Molecules 2018, 23, 739. [Google Scholar] [CrossRef] [PubMed]
- Pavlović, N.; Mijalković, J.; Đorđević, V.; Pecarski, D.; Bugarski, B.; Knežević-Jugović, Z. Ultrasonication for production of nanoliposomes with encapsulated soy protein concentrate hydrolysate: Process optimization, vesicle characteristics and in vitro digestion. Food Chem. X 2022, 15, 100370. [Google Scholar] [CrossRef]
- Huang, M.; Wang, J.; Tan, C.; Ying, R.; Wu, X.; Chen, W.; Liu, J.; Ahmad, M. Liposomal co-delivery strategy to improve stability and antioxidant activity of trans-resveratrol and naringenin. Int. J. Food Sci. Technol. 2022, 57, 2701–2714. [Google Scholar] [CrossRef]
- Ezzat, H.M.; Elnaggar, Y.S.R.; Abdallah, O.Y. Improved oral bioavailability of the anticancer drug catechin using chitosomes: Design, in-vitro appraisal and in-vivo studies. Int. J. Pharm. 2019, 565, 488–498. [Google Scholar] [CrossRef] [PubMed]
- Gu, Y.; Zhao, Z.; Xue, F.; Zhang, Y. Alginate-Chitosan Coated Nanoliposomes as Effective Delivery Systems for Bamboo Leaf Flavonoids: Characterization, In Vitro Release, Skin Permeation and Anti-Senescence Activity. Antioxidants 2022, 11, 1024. [Google Scholar] [CrossRef] [PubMed]
- Silva-Weiss, W.; Quilaqueo, M.; Venegas, O.; Ahumada, M.; Silva, W.; Osorio, F.; Giménez, B. Design of dipalmitoyl lecithin liposomes loaded with quercetin and rutin and their release kinetics from carboxymethyl cellulose edible films. J. Food Eng. 2018, 224, 165–173. [Google Scholar] [CrossRef]
- Choudhary, P.; Dutta, S.; Moses, J.A.; Anandharamakrishnan, C. Nanoliposomal encapsulation of chia oil for sustained delivery of α-linolenic acid. Int. J. Food Sci. Technol. 2021, 56, 4206–4214. [Google Scholar] [CrossRef]
- Jiao, Y.; Li, D.; Liu, C.; Chang, Y.; Song, J.; Xiao, Y. Polypeptide-decorated nanoliposomes as novel delivery systems for lutein. RSC Adv. 2018, 8, 31372–31381. [Google Scholar] [CrossRef] [PubMed]
- Miao, Z.L.; Deng, Y.J.; Du, H.Y.; Suo, X.B.; Wang, X.Y.; Wang, X.; Wang, L.; Cui, L.J.; Duan, N. Preparation of a liposomal delivery system and its in vitro release of rapamycin. Exp. Ther. Med. 2015, 9, 941–946. [Google Scholar] [CrossRef] [PubMed]
- Yarce, C.J.; Alhajj, M.J.; Sanchez, J.D.; Oñate-Garzón, J.; Salamanca, C.H. Development of Antioxidant-Loaded Nanoliposomes Employing Lecithins with Different Purity Grades. Molecules 2020, 25, 5344. [Google Scholar] [CrossRef] [PubMed]
- Izadiyan, P.; Hemmateenejad, B. Multi-response optimization of factors affecting ultrasonic assisted extraction from Iranian basil using central composite design. Food Chem. 2016, 190, 864–870. [Google Scholar] [CrossRef] [PubMed]
- Toro-Uribe, S.; López-Giraldo, L.J.; Alvarez-Rivera, G.; Ibánez, E.; Herrero, M. Insight of Stability of Procyanidins in Free and Liposomal Form under an in Vitro Digestion Model: Study of Bioaccessibility, Kinetic Release Profile, Degradation, and Antioxidant Activity. J. Agric. Food Chem. 2019, 67, 1990–2003. [Google Scholar] [CrossRef] [PubMed]
- Ji, Y.; Wang, Z.; Ju, X.; Deng, F.; Yang, F.; He, R. Co-encapsulation of rutinoside and β-carotene in liposomes modified by rhamnolipid: Antioxidant activity, antibacterial activity, storage stability, and in vitro gastrointestinal digestion. J. Food Sci. 2023, 88, 2064–2077. [Google Scholar] [CrossRef] [PubMed]
- Lisitsyn, A.; Semenova, A.; Nasonova, V.; Polishchuk, E.; Revutskaya, N.; Kozyrev, I.; Kotenkova, E. Approaches in animal proteins and natural polysaccharides application for food packaging: Edible film production and quality estimation. Polymers 2021, 13, 1592. [Google Scholar] [CrossRef] [PubMed]
- Szulc, K.; Lenart, A. Surface modification of dairy powders: Effects of fluid-bed agglomeration and coating. Int. Dairy J. 2013, 33, 55–61. [Google Scholar] [CrossRef]
- Huesca-Urióstegui, K.; García-Valderrama, E.J.; Gutierrez-Uribe, J.A.; Antunes-Ricardo, M.; Guajardo-Flores, D. Nanofiber Systems as Herbal Bioactive Compounds Carriers: Current Applications in Healthcare. Pharmaceutics 2022, 14, 191. [Google Scholar] [CrossRef] [PubMed]
- Ghadermazi, R.; Hamdipour, S.; Sadeghi, K.; Ghadermazi, R.; Khosrowshahi Asl, A. Effect of various additives on the properties of the films and coatings derived from hydroxypropyl methylcellulose—A review. Food Sci. Nutr. 2019, 7, 3363–3377. [Google Scholar] [CrossRef] [PubMed]
- Pavlath, A.E.; Orts, W. Edible Films and Coatings for Food Applications; Springer: New York, NY, USA, 2009; pp. 1–23. [Google Scholar] [CrossRef]
- Xu, T.; Pan, M.; Chiou, Y.; Li, Z.; Wei, S.; Yin, X.; Ding, B. Improvement of emulsifying properties of potato starch via complexation with nanoliposomes for stabilizing Pickering emulsion. Food Hydrocoll. 2023, 136, 108271. [Google Scholar] [CrossRef]
- Chen, M.; Li, R.; Lu, X.; Dai, Y.; Chen, T.; Xing, Y.; Xue, L.; Duan, Z.; Zhou, W.; Li, J. Fabrication and characterization of L-ascorbyl palmitate and phospholipid-based hybrid liposomes and their impacts on the stability of loaded hydrophobic polyphenols. Food Chem. 2023, 398, 133953. [Google Scholar] [CrossRef] [PubMed]
- Topkanloo, S.P.; Tan, T.B.; Abas, F.; Azam, M.; Nehdi, I.A.; Tan, C.P. Improving Vesicular Integrity and Antioxidant Activity of Novel Mixed Soy Lecithin-Based Liposomes Containing Squalene and Their Stability against UV Light. Molecules 2020, 25, 5873. [Google Scholar] [CrossRef]
- Jiménez, A.; Sánchez-González, L.; Desobry, S.; Chiralt, A.; Tehrany, E.A. Influence of nanoliposomes incorporation on properties of film forming dispersions and films based on corn starch and sodium caseinate. Food Hydrocoll. 2014, 35, 159–169. [Google Scholar] [CrossRef]
- Yussof, N.S.; Tan, C.P.; Tan, T.B.; Utra, U.; Ramli Uhammad, E. Influence of Soy Lecithin and Sodium Caseinate on The Stability and in vitro Bioaccessibility of Lycopene Nanodispersion. Food Technol. Biotechnol. 2023, 61, 39–50. [Google Scholar] [CrossRef] [PubMed]
- Fabra, M.J.; Jiménez, A.; Atarés, L.; Talens, P.; Chiralt, A. Effect of fatty acids and beeswax addition on properties of sodium caseinate dispersions and films. Biomacromolecules 2009, 10, 1500–1507. [Google Scholar] [CrossRef] [PubMed]
- Le, N.T.T.; Cao, V.D.; Nguyen, T.N.Q.; Le, T.T.H.; Tran, T.T.; Hoang Thi, T.T. Soy lecithin-derived liposomal delivery systems: Surface modification and current applications. Int. J. Mol. Sci. 2019, 20, 4706. [Google Scholar] [CrossRef] [PubMed]
- Pulla-Huillca, P.V.; Gomes, A.; Quinta Barbosa Bittante, A.M.; Lourenço, R.V.; Sobral, P.J.d.A. Wettability of gelatin-based films: The effects of hydrophilic or hydrophobic plasticizers and nanoparticle loads. J. Food Eng. 2021, 297, 110480. [Google Scholar] [CrossRef]
- Avramescu, S.M.; Butean, C.; Popa, C.V.; Ortan, A.; Moraru, I.; Temocico, G. Edible and functionalized films/coatings-performances and perspectives. Coatings 2020, 10, 687. [Google Scholar] [CrossRef]
- Sapper, M.; Palou, L.; Pérez-Gago, M.B.; Chiralt, A. Antifungal Starch-Gellan Edible coatings with thyme essential oil for the postharvest preservation of apple and persimmon. Coatings 2019, 9, 333. [Google Scholar] [CrossRef]
- Falcó, I.; Randazzo, W.; Sánchez, G.; López-Rubio, A.; Fabra, M.J. On the use of carrageenan matrices for the development of antiviral edible coatings of interest in berries. Food Hydrocoll. 2019, 92, 74–85. [Google Scholar] [CrossRef]
- Kalin, M.; Polajnar, M. The wetting of steel, DLC coatings, ceramics and polymers with oils and water: The importance and correlations of surface energy, surface tension, contact angle and spreading. Appl. Surf. Sci. 2014, 293, 97–108. [Google Scholar] [CrossRef]
- Osorio, F.; Valdés, G.; Skurtys, O.; Andrade, R.; Villalobos-Carvajal, R.; Silva-Weiss, A.; Silva-Vera, W.; Giménez, B.; Zamorano, M.; Lopez, J. Surface free energy utilization to evaluate wettability of hydrocolloid suspension on different vegetable epicarps. Coatings 2018, 8, 16. [Google Scholar] [CrossRef]
- Ribeiro, C.; Vicente, A.A.; Teixeira, J.A.; Miranda, C. Optimization of edible coating composition to retard strawberry fruit senescence. Postharvest Biol. Technol. 2007, 44, 63–70. [Google Scholar] [CrossRef]
- Pirozzi, A.; Del Grosso, V.; Ferrari, G.; Donsì, F. Edible Coatings Containing Oregano Essential Oil Nanoemulsion for Improving Postharvest Quality and Shelf Life of Tomatoes. Foods 2020, 9, 1605. [Google Scholar] [CrossRef] [PubMed]
- Mohd Yusof, N.; Jai, J.; Sharif, Z.I.M.; Mustapha, F.A.; Pinijsuwan, S. Effect of different amount chitosan, starch and glycerol in composite edible coating. J. Phys. Conf. Ser. 2019, 1349, 012077. [Google Scholar] [CrossRef]
- Jafarzadeh, S.; Mohammadi Nafchi, A.; Salehabadi, A.; Oladzad-abbasabadi, N.; Jafari, S.M. Application of bio-nanocomposite films and edible coatings for extending the shelf life of fresh fruits and vegetables. Adv. Colloid Interface Sci. 2021, 291, 102405. [Google Scholar] [CrossRef] [PubMed]
- Cazón, P.; Velazquez, G.; Ramírez, J.A.; Vázquez, M. Polysaccharide-based films and coatings for food packaging: A review. Food Hydrocoll. 2017, 68, 136–148. [Google Scholar] [CrossRef]
- Pirozzi, A.; Ferrari, G.; Donsì, F. The use of nanocellulose in edible coatings for the preservation of perishable fruits and vegetables. Coatings 2021, 11, 990. [Google Scholar] [CrossRef]
- Sinha, A.; Bhargav, A. Young’s modulus estimation in food samples: Effect of experimental parameters. Mech. Ind. 2020, 21, 404. [Google Scholar] [CrossRef]
- Imran, M.; René, N.; Jamshidian, M.; Akhtar, M.J.; Arab-tehrany, E.; Jacquot, M.; Desobry, S. Food Hydrocolloids Microstructure and physico-chemical evaluation of nano-emulsion-based antimicrobial peptides embedded in bioactive packaging films. Food Hydrocoll. 2012, 29, 407–419. [Google Scholar] [CrossRef]
- De Simone, V.; Dalmoro, A.; Bochicchio, S.; Caccavo, D.; Lamberti, G.; Bertoncin, P.; Barba, A.A. Nanoliposomes in polymeric granules: Novel process strategy to produce stable and versatile delivery systems. J. Drug Deliv. Sci. Technol. 2020, 59, 101878. [Google Scholar] [CrossRef]
- Kamkar, A.; Molaee-Aghaee, E.; Khanjari, A.; Akhondzadeh-Basti, A.; Noudoost, B.; Shariatifar, N.; Sani, M.A.; Soleimani, M. Nanocomposite active packaging based on chitosan biopolymer loaded with nano-liposomal essential oil: Its characterizations and effects on microbial, and chemical properties of refrigerated chicken breast fillet. Int. J. Food Microbiol. 2021, 342, 109071. [Google Scholar] [CrossRef] [PubMed]
- Mirzaei-Mohkam, A.; Garavand, F.; Dehnad, D.; Keramat, J.; Nasirpour, A. Physical, mechanical, thermal and structural characteristics of nanoencapsulated vitamin E loaded carboxymethyl cellulose films. Prog. Org. Coat. 2020, 138, 105383. [Google Scholar] [CrossRef]
- Marín-Peñalver, D.; Alemán, A.; Gómez-Guillén, M.; Montero, P. Carboxymethyl cellulose films containing nanoliposomes loaded with an angiotensin-converting enzyme inhibitory collagen hydrolysate. Food Hydrocoll. 2019, 94, 553–560. [Google Scholar] [CrossRef]
- Zhou, X.; Liu, X.; Liao, W.; Wang, Q.; Xia, W. Chitosan/bacterial cellulose films incorporated with tea polyphenol nanoliposomes for silver carp preservation. Carbohydr. Polym. 2022, 297, 120048. [Google Scholar] [CrossRef] [PubMed]
- Mehdizadeh, A.; Shahidi, S.A.; Shariatifar, N.; Shiran, M.; Ghorbani-HasanSaraei, A. Physicochemical characteristics and antioxidant activity of the chitosan/zein films incorporated with Pulicaria gnaphalodes L. extract-loaded nanoliposomes. J. Food Meas. Charact. 2022, 16, 1252–1262. [Google Scholar] [CrossRef]
- Bigi, F.; Haghighi, H.; Siesler, H.W.; Licciardello, F.; Pulvirenti, A. Characterization of chitosan-hydroxypropyl methylcellulose blend films enriched with nettle or sage leaf extract for active food packaging applications. Food Hydrocoll. 2021, 120, 106979. [Google Scholar] [CrossRef]





| Analysis | TLS | FTS | LS |
|---|---|---|---|
| Mean particle size (nm) | 570.8 ± 6.0 a | 126.8 ± 0.2 b | |
| Polydispersity index | 0.56 ± 0.06 a | 0.27 ± 0.01 b | |
| Zeta potential (mV) | −37.9 ± 2.4 a | −30.1 ± 1.9 b | |
| Encapsulation efficiency (% EE) | |||
| (+)—Catechin (−)—Epicatechin Gallic acid | 99.8 ± 0.01 a | ||
| 99.7 ± 0.04 a | |||
| 99.6 ± 0.06 b | |||
| Antioxidant activity | |||
| % ABTS●+ inhibition | 60.0 ± 1.8 a | 86.3 ± 0.4 b | 7.1 ± 0.3 c |
| % DPPH● inhibition | 64.58 ± 0.6 a | 74.28 ± 0.3 b | 22.4 ± 0.5 c |
| TPC GAE (µg/mL) | 185.6 ± 2.2 a | 205.8 ± 3.7 b | 48.4 ± 0.4 c |
| Sample EF/TLS | ρ (kg/m3) at 20 °C | (mN/m) | ||
|---|---|---|---|---|
| HPMC/TLS | CMC/TLS | HPMC/TLS | CMC/TLS | |
| Control (100:0) | 1078.8 ± 0.7 ax | 1042.1 ± 0.6 ay | 47.9 ± 0.7 ax | 74.5 ± 0.4 ay |
| (50:50) | 1040.0 ± 1.4 bx | 1019.4 ± 0.8 by | 46.2 ± 0.5 abx | 65.1 ± 1.4 bcy |
| (60:40) | 1047.6 ± 1.3 bcx | 1023.5 ± 0.7 bcy | 42.4 ± 1.0 bcx | 62.4 ± 1.2 by |
| (70:30) | 1039.6 ± 1.3 bx | 1027.5 ± 0.8 cy | 39.2 ± 0.5 cx | 64.5 ± 0.2 by |
| (80:20) | 1052.0 ± 1.4 cx | 1014.4 ± 2.1 dy | 43.5 ± 1.9 bx | 68.0 ± 1.5 cy |
| (90:10) | 1049.2 ± 4.7 cx | 1034.9 ± 4.7 ey | 41.0 ± 0.7 bcx | 68.1 ± 1.3 cy |
| Sample EF/TLS | Wa (mN/m) | Wc (mN/m) | Seq (mN/m) | |||
|---|---|---|---|---|---|---|
| HPMC/TLS | CMC/TLS | HPMC/TLS | CMC/TLS | HPMC/TLS | CMC/TLS | |
| Control (100:0) | 80.5 ± 0.3 ax | 123.4 ± 0.7 ay | 95.7 ± 0.7 ax | 148.9 ± 0.9 ay | −15.3 ± 0.0 ax | −25.6 ± 0.3 ay |
| (50:50) | 80.3 ± 0.8 ax | 117.1 ± 0.8 by | 92.4 ± 0.9 ax | 131.9 ± 0.4 by | −12.1 ± 0.2 bx | −14.5 ± 0.4 by |
| (60:40) | 76.2 ± 1.8 abx | 110.8 ± 0.9 cy | 84.8 ± 2.0 bx | 126.1 ± 1.4 cy | −8.6 ± 0.3 cx | −15.1 ± 0.6 by |
| (70:30) | 72.9 ± 1.1 bx | 111.2 ± 0.2 cy | 78.3 ± 1.0 cx | 129.0 ± 0.5 dy | −5.4 ± 0.1 dx | −17.8± 0.2 cy |
| (80:20) | 77.9 ± 3.6 abx | 114.5 ± 0.9 dy | 86.9 ± 3.9 abx | 137.6 ± 0.7 ey | −9.0 ± 0.3 cx | −22.9 ± 0.4 dy |
| (90:10) | 76.2 ± 0.1 abx | 105.8 ± 0.4 ey | 81.9 ± 1.4 bcx | 137.8 ± 0.2 ey | −5.7 ± 0.1 dx | −31.6 ± 0.7 ey |
| EF | Sample | TS (MPa) | EAB (%) | EM (MPa) | YI | |
|---|---|---|---|---|---|---|
| HPMC/TLS | Control (100:0) | 22.0 ± 1.0 ax | 8.4 ± 0.0 ax | 1002.0 ± 0.5 ax | - | 3.1 ± 0.5 ax |
| (50:50) | 6.3 ± 0.1 bx | 2.9 ± 0.1 bx | 261.4 ± 0.5 bx | 22.4 ± 1.2 ax | 36.6 ± 1.8 bx | |
| (60:40) | 10.7 ± 0.2 cx | 3.8 ± 0.1 bx | 540.3 ± 0.9 cx | 18.8 ± 0.9 bx | 30.7 ± 1.2 cx | |
| (70:30) | 17.1 ± 0.1 ax | 6.2 ± 0.0 cx | 692.6 ± 0.8 dx | 13.1 ± 0.9 cx | 22.0 ± 1.3 dx | |
| (80:20) | 16.7 ± 0.6 ax | 6.6 ± 0.3 cx | 762.9 ± 0.9 ex | 14.2 ± 0.3 cx | 23.8 ± 0.4 dx | |
| (90:10) | 26.7 ± 0.0 dx | 8.7 ± 0.0 ax | 953.7 ± 0.3 fx | 9.5 ± 0.7 dx | 17.0 ± 1.0 ex | |
| CMC/TLS | Control (100:0) | 19.0 ± 0.8 ax | 2.1 ± 0.1 ay | 891.3 ± 2.7 ay | - | 2.5 ± 0.2 ax |
| (50:50) | 0.9 ± 0.5 bx | 25.4 ± 1.1 by | 0.10 ± 0.0 by | 21.5 ± 0.4 ax | 35.5 ± 0.8 bx | |
| (60:40) | 1.6 ± 0.4 by | 24.9 ± 0.7 by | 0.12 ± 0.0 by | 20.5 ± 0.9 ay | 33.1 ± 1.0 cy | |
| (70:30) | 14.9 ± 1.9 abx | 16.5 ± 1.0 cy | 24.2 ± 0.0 cy | 11.3 ± 0.4 by | 19.4 ± 0.5 dy | |
| (80:20) | 7.6 ± 0.0 by | 11.8 ± 0.2 dy | 111.7 ± 0.3 dy | 9.2 ± 0.5 cy | 16.0 ± 0.7 ey | |
| (90:10) | 19.4 ± 1.6 bx | 3.8 ± 0.1 ey | 774.2 ± 0.3 ey | 4.5 ± 0.3 dy | 8.9 ± 0.5 fy |
Disclaimer/Publisher’s Note: The statements, opinions and data contained in all publications are solely those of the individual author(s) and contributor(s) and not of MDPI and/or the editor(s). MDPI and/or the editor(s) disclaim responsibility for any injury to people or property resulting from any ideas, methods, instructions or products referred to in the content. |
© 2024 by the authors. Licensee MDPI, Basel, Switzerland. This article is an open access article distributed under the terms and conditions of the Creative Commons Attribution (CC BY) license (https://creativecommons.org/licenses/by/4.0/).
Share and Cite
Vidal, C.; Lopez-Polo, J.; Osorio, F.A. Physical Properties of Cellulose Derivative-Based Edible Films Elaborated with Liposomes Encapsulating Grape Seed Tannins. Antioxidants 2024, 13, 989. https://doi.org/10.3390/antiox13080989
Vidal C, Lopez-Polo J, Osorio FA. Physical Properties of Cellulose Derivative-Based Edible Films Elaborated with Liposomes Encapsulating Grape Seed Tannins. Antioxidants. 2024; 13(8):989. https://doi.org/10.3390/antiox13080989
Chicago/Turabian StyleVidal, Constanza, Johana Lopez-Polo, and Fernando A. Osorio. 2024. "Physical Properties of Cellulose Derivative-Based Edible Films Elaborated with Liposomes Encapsulating Grape Seed Tannins" Antioxidants 13, no. 8: 989. https://doi.org/10.3390/antiox13080989
APA StyleVidal, C., Lopez-Polo, J., & Osorio, F. A. (2024). Physical Properties of Cellulose Derivative-Based Edible Films Elaborated with Liposomes Encapsulating Grape Seed Tannins. Antioxidants, 13(8), 989. https://doi.org/10.3390/antiox13080989

