Multi-Omics Revealed Resveratrol and β-Hydroxy-β-methyl Butyric Acid Alone or in Combination Improved the Jejunal Function in Tibetan Sheep
Abstract
1. Introduction
2. Materials and Methods
2.1. Ethical Statement
2.2. Experimental Design
2.3. Sample Collection
2.4. Enzyme-Linked Immunosorbent Assay (ELISA)
2.5. Jejunal Morphology
2.6. Quantitative PCR (qPCR)
2.7. Short-Chain Fatty Acid (SCFC) Composition
2.8. 16S rDNA Sequencing
2.9. Metabolome Sequencing
2.10. Statistical Analysis
3. Results
3.1. Antioxidant Capacity, Immune Response, and Digestive Enzyme Activity of Jejunal Contents
3.2. Jejunal Morphology
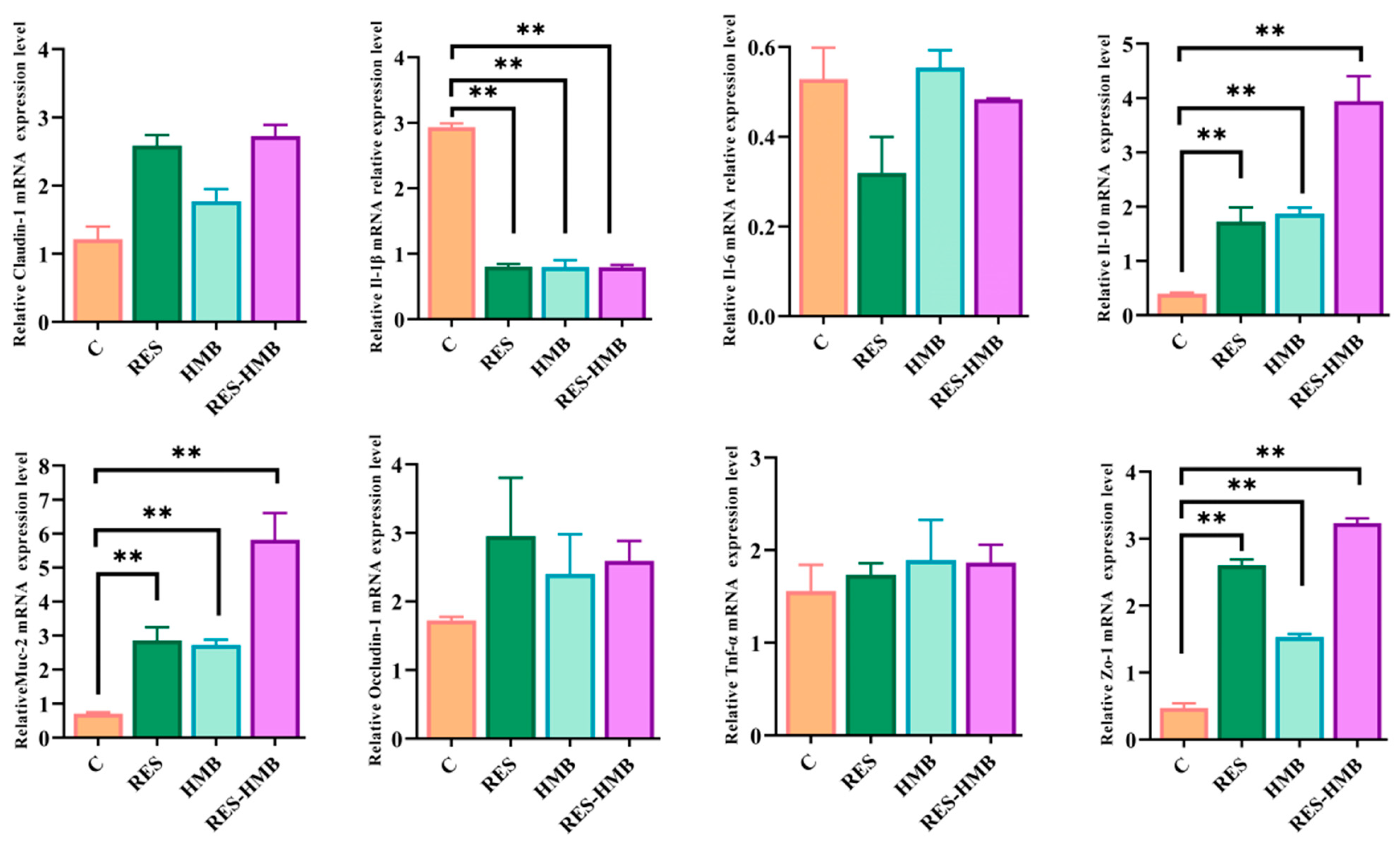
3.3. Jejunal Barrier-Related Genes Expression
3.4. SCFA Concentration
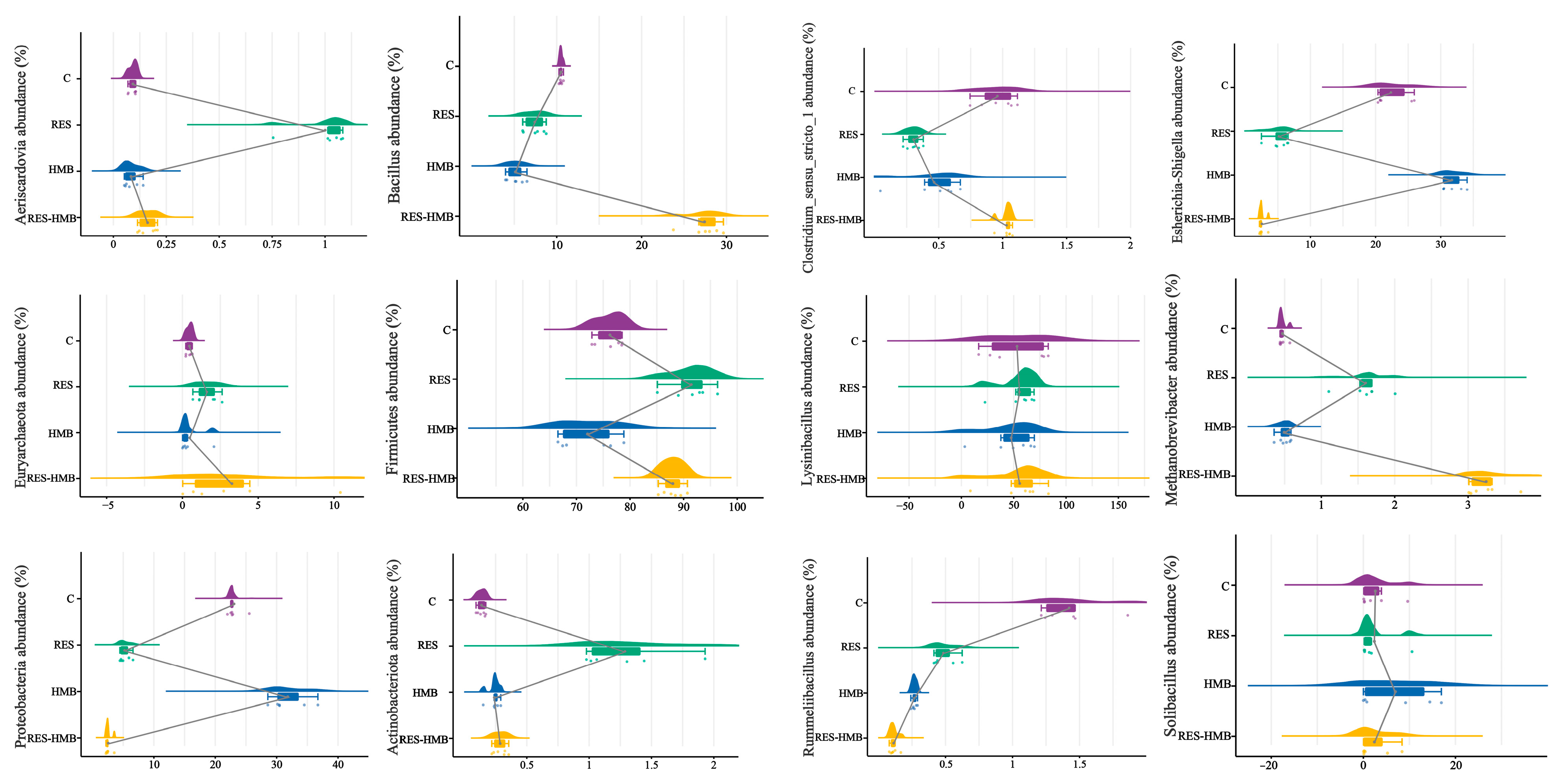
3.5. Bacterial Community Composition Analyses
3.6. Metabolite Profiles
3.7. Correlation Analysis
4. Discussion
5. Conclusions
Supplementary Materials
Author Contributions
Funding
Institutional Review Board Statement
Informed Consent Statement
Data Availability Statement
Conflicts of Interest
References
- Shifflett, D.E.; Clayburgh, D.R.; Koutsouris, A.; Turner, J.R.; Hecht, G.A. Enteropathogenic E. coli disrupts tight junction barrier function and structure in vivo. Lab. Investig. 2005, 85, 1308–1324. [Google Scholar] [CrossRef] [PubMed]
- Ma, Y.; Yang, X.; Hua, G.; Deng, X.; Xia, T.; Li, X.; Feng, D.; Deng, X. Contribution of gut microbiomes and their metabolomes to the performance of Dorper and Tan sheep. Front. Microbiol. 2022, 13, 1047744. [Google Scholar] [CrossRef] [PubMed]
- Bi, Y.; Tu, Y.; Zhang, N.; Wang, S.; Zhang, F.; Suen, G.; Shao, D.; Li, S.; Diao, Q. Multiomics analysis reveals the presence of a microbiome in the gut of fetal lambs. Gut 2021, 70, 853–864. [Google Scholar] [CrossRef]
- Su, S.; Wang, L.; Fu, S.; Zhao, J.; He, X.; Chen, Q.; Belobrajdic, D.P.; Yu, C.; Liu, H.; Wu, H.; et al. Effects of oat (Avena sativa L.) hay diet supplementation on the intestinal microbiome and metabolome of Small-tail Han sheep. Front. Microbiol. 2022, 13, 1032622. [Google Scholar] [CrossRef] [PubMed]
- Shoukry, M.M.; El-Nomeary, Y.; Salman, F.M.; Shakweer, W.M.E. Improving the productive performance of growing lambs using prebiotic and probiotic as growth promoters. Trop. Anim. Health Prod. 2023, 55, 375. [Google Scholar] [CrossRef]
- Shaito, A.; Posadino, A.M.; Younes, N.; Hasan, H.; Halabi, S.; Alhababi, D.; Al-Mohannadi, A.; Abdel-Rahman, W.M.; Eid, A.H.; Nasrallah, G.K.; et al. Potential Adverse Effects of Resveratrol: A Literature Review. Int. J. Mol. Sci. 2020, 21, 2084. [Google Scholar] [CrossRef]
- Corrêa, M.G.; Absy, S.; Tenenbaum, H.; Ribeiro, F.V.; Cirano, F.R.; Casati, M.Z.; Pimentel, S.P. Resveratrol attenuates oxidative stress during experimental periodontitis in rats exposed to cigarette smoke inhalation. J. Periodontal Res. 2019, 54, 225–232. [Google Scholar] [CrossRef] [PubMed]
- Farrokhi, E.; Ghatreh-Samani, K.; Salehi-Vanani, N.; Mahmoodi, A. The effect of resveratrol on expression of matrix metalloproteinase 9 and its tissue inhibitors in vascular smooth muscle cells. ARYA Atheroscler. 2018, 14, 157–162. [Google Scholar] [CrossRef] [PubMed]
- Signorelli, P.; Ghidoni, R. Resveratrol as an anticancer nutrient: Molecular basis, open questions and promises. J. Nutr. Biochem. 2005, 16, 449–466. [Google Scholar] [CrossRef]
- Diao, J.; Wei, J.; Yan, R.; Fan, G.; Lin, L.; Chen, M. Effects of resveratrol on regulation on UCP2 and cardiac function in diabetic rats. J. Physiol. Biochem. 2019, 75, 39–51. [Google Scholar] [CrossRef]
- de la Lastra, C.A.; Villegas, I. Resveratrol as an anti-inflammatory and anti-aging agent: Mechanisms and clinical implications. Mol. Nutr. Food. Res. 2005, 49, 405–430. [Google Scholar] [CrossRef] [PubMed]
- Bhat, K.P.L.; Kosmeder, J.W., 2nd; Pezzuto, J.M. Biological effects of resveratrol. Antioxid. Redox Signal. 2001, 3, 1041–1064. [Google Scholar] [CrossRef] [PubMed]
- Hu, Y.; Chen, D.; Zheng, P.; Yu, J.; He, J.; Mao, X.; Yu, B. The Bidirectional Interactions between Resveratrol and Gut Microbiota: An Insight into Oxidative Stress and Inflammatory Bowel Disease Therapy. Biomed. Res. Int. 2019, 2019, 5403761. [Google Scholar] [CrossRef] [PubMed]
- Larrosa, M.; Yañéz-Gascón, M.J.; Selma, M.V.; González-Sarrías, A.; Toti, S.; Cerón, J.J.; Tomás-Barberán, F.; Dolara, P.; Espín, J.C. Effect of a low dose of dietary resveratrol on colon microbiota, inflammation and tissue damage in a DSS-induced colitis rat model. J. Agric. Food. Chem. 2009, 57, 2211–2220. [Google Scholar] [CrossRef] [PubMed]
- Man, A.W.C.; Li, H.; Xia, N. Resveratrol and the Interaction between Gut Microbiota and Arterial Remodelling. Nutrients 2019, 12, 119. [Google Scholar] [CrossRef] [PubMed]
- Holeček, M. Beta-hydroxy-beta-methylbutyrate supplementation and skeletal muscle in healthy and muscle-wasting conditions. J. Cachexia Sarcopenia Muscle 2017, 8, 529–541. [Google Scholar] [CrossRef] [PubMed]
- Girón, M.D.; Vílchez, J.D.; Salto, R.; Manzano, M.; Sevillano, N.; Campos, N.; Argilés, J.M.; Rueda, R.; López-Pedrosa, J.M. Conversion of leucine to β-hydroxy-β-methylbutyrate by α-keto isocaproate dioxygenase is required for a potent stimulation of protein synthesis in L6 rat myotubes. J. Cachexia Sarcopenia Muscle 2016, 7, 68–78. [Google Scholar] [CrossRef]
- Zhang, S.; Tang, Z.; Zheng, C.; Zhong, Y.; Zheng, J.; Duan, G.; Yin, Y.; Duan, Y.; Song, Z. Dietary Beta-Hydroxy-Beta-Methyl Butyrate Supplementation Inhibits Hepatic Fat Deposition via Regulating Gut Microbiota in Broiler Chickens. Microorganisms 2022, 10, 169. [Google Scholar] [CrossRef]
- Duan, Y.; Zhong, Y.; Xiao, H.; Zheng, C.; Song, B.; Wang, W.; Guo, Q.; Li, Y.; Han, H.; Gao, J.; et al. Gut microbiota mediates the protective effects of dietary β-hydroxy-β-methylbutyrate (HMB) against obesity induced by high-fat diets. FASEB J. 2019, 33, 10019–10033. [Google Scholar] [CrossRef]
- Beaudart, C.; Rabenda, V.; Simmons, M.; Geerinck, A.; Araujo De Carvalho, I.; Reginster, J.Y.; Amuthavalli Thiyagarajan, J.; Bruyère, O. Effects of Protein, Essential Amino Acids, B-Hydroxy B-Methylbutyrate, Creatine, Dehydroepiandrosterone and Fatty Acid Supplementation on Muscle Mass, Muscle Strength and Physical Performance in Older People Aged 60 Years and Over. A Systematic Review on the Literature. J. Nutr. Health Aging 2018, 22, 117–130. [Google Scholar] [CrossRef]
- Zhu, K.A.; Zhang, Y.; Zhang, F.S.; Wu, Z.L.; Su, Q.; Hou, S.Z.; Gui, L.S. The Effects of Dietary Resveratrol and β-Hydroxy-β-Methylbutyric Acid Supplementation at Two Protein Levels on the Ruminal Microbiome and Metabolome of Tibetan Sheep. Agriculture 2024, 14, 936. [Google Scholar] [CrossRef]
- Sies, H. Oxidative stress: A concept in redox biology and medicine. Redox Biol. 2015, 4, 180–183. [Google Scholar] [CrossRef] [PubMed]
- Yuan, D.; Hussain, T.; Tan, B.; Liu, Y.; Ji, P.; Yin, Y. The Evaluation of Antioxidant and Anti-Inflammatory Effects of Eucommia ulmoides Flavones Using Diquat-Challenged Piglet Models. Oxid. Med. Cell. Longev. 2017, 2017, 8140962. [Google Scholar] [CrossRef]
- Ding, X.; Cai, C.; Jia, R.; Bai, S.; Zeng, Q.; Mao, X.; Xu, S.; Zhang, K.; Wang, J. Dietary resveratrol improved production performance, egg quality, and intestinal health of laying hens under oxidative stress. Poult. Sci. 2022, 101, 101886. [Google Scholar] [CrossRef] [PubMed]
- Yang, C.; Luo, P.; Chen, S.J.; Deng, Z.C.; Fu, X.L.; Xu, D.N.; Tian, Y.B.; Huang, Y.M.; Liu, W.J. Resveratrol sustains intestinal barrier integrity, improves antioxidant capacity, and alleviates inflammation in the jejunum of ducks exposed to acute heat stress. Poult. Sci. 2021, 100, 101459. [Google Scholar] [CrossRef]
- Arazi, H.; Hosseini, Z.; Asadi, A.; Ramirez-Campillo, R.; Suzuki, K. β-Hydroxy-β-Methylbutyrate Free Acid Attenuates Oxidative Stress Induced by a Single Bout of Plyometric Exercise. Front. Physiol. 2019, 10, 776. [Google Scholar] [CrossRef]
- Peake, J.M.; Suzuki, K.; Coombes, J.S. The influence of antioxidant supplementation on markers of inflammation and the relationship to oxidative stress after exercise. J. Nutr. Biochem. 2007, 18, 357–371. [Google Scholar] [CrossRef]
- Hussain, T.; Tan, B.; Yin, Y.; Blachier, F.; Tossou, M.C.; Rahu, N. Oxidative Stress and Inflammation: What Polyphenols Can Do for Us? Oxid. Med. Cell. Longev. 2016, 2016, 7432797. [Google Scholar] [CrossRef]
- Luckose, F.; Pandey, M.C.; Radhakrishna, K. Effects of amino acid derivatives on physical, mental, and physiological activities. Crit. Rev. Food Sci. Nutr. 2015, 55, 1793–1807. [Google Scholar] [CrossRef]
- Ruocco, C.; Segala, A.; Valerio, A.; Nisoli, E. Essential amino acid formulations to prevent mitochondrial dysfunction and oxidative stress. Curr. Opin. Clin. Nutr. Metab. Care 2021, 24, 88–95. [Google Scholar] [CrossRef]
- Gan, Z.; Wei, W.; Li, Y.; Wu, J.; Zhao, Y.; Zhang, L.; Wang, T.; Zhong, X. Curcumin and Resveratrol Regulate Intestinal Bacteria and Alleviate Intestinal Inflammation in Weaned Piglets. Molecules 2019, 24, 1220. [Google Scholar] [CrossRef] [PubMed]
- Fu, Q.; Cui, Q.; Yang, Y.; Zhao, X.; Song, X.; Wang, G.; Bai, L.; Chen, S.; Tian, Y.; Zou, Y.; et al. Effect of Resveratrol Dry Suspension on Immune Function of Piglets. Evid. Based Complement. Altern. Med. 2018, 2018, 5952707. [Google Scholar] [CrossRef] [PubMed]
- Adams, A.A.; Siard, M.H.; Reedy, S.E.; Stewart, C.; Betancourt, A.; Sanz, M.G.; Horohov, D.W. Identifying the role of a “caloric restriction mimetic”, resveratrol, in Equine Metabolic Syndrome and its implications for targeted therapy. J. Equine Vet. Sci. 2013, 33, 346–347. [Google Scholar] [CrossRef]
- Miyake, S.; Ogo, A.; Kubota, H.; Teramoto, F.; Hirai, T. β-Hydroxy-β-methylbutyrate Suppresses NF-ĸB Activation and IL-6 Production in TE-1 Cancer Cells. Vivo 2019, 33, 353–358. [Google Scholar] [CrossRef] [PubMed]
- Smith, H.J.; Wyke, S.M.; Tisdale, M.J. Mechanism of the attenuation of proteolysis-inducing factor stimulated protein degradation in muscle by beta-hydroxy-beta-methylbutyrate. Cancer Res. 2004, 64, 8731–8735. [Google Scholar] [CrossRef] [PubMed]
- Fraga, A.Z.; Campos, P.; Hauschild, L.; Chalvon-Demersay, T.; Beaumont, M.; Le Floc’h, N. A blend of functional amino acids and grape polyphenols improves the pig capacity to cope with an inflammatory challenge caused by poor hygiene of housing conditions. BMC Vet. Res. 2023, 19, 25. [Google Scholar] [CrossRef] [PubMed]
- Yvon, S.; Beaumont, M.; Dayonnet, A.; Eutamène, H.; Lambert, W.; Tondereau, V.; Chalvon-Demersay, T.; Belloir, P.; Paës, C. Effect of diet supplemented with functional amino acids and polyphenols on gut health in broilers subjected to a corticosterone-induced stress. Sci. Rep. 2024, 14, 1032. [Google Scholar] [CrossRef] [PubMed]
- Afzali-Kordmahalleh, A.; Meshkini, S. Effects of dietary resveratrol supplementation on digestive enzymes activities and serum biochemistry of rainbow trout (Oncorhynchus mykiss). Vet. Res. Forum. 2023, 14, 625–630. [Google Scholar] [CrossRef] [PubMed]
- Yang, S.; Xu, W.; Feng, L.; Zhang, C.; Yan, C.; Zhang, J.; Lai, J.; Yan, T.; He, Z.; Du, X.; et al. Resveratrol Improves the Digestive Ability and the Intestinal Health of Siberian Sturgeon. Int. J. Mol. Sci. 2022, 23, 11977. [Google Scholar] [CrossRef]
- Foye, O.T.; Ferket, P.R.; Uni, Z. The effects of in ovo feeding arginine, beta-hydroxy-beta-methyl-butyrate, and protein on jejunal digestive and absorptive activity in embryonic and neonatal turkey poults. Poult 2007, 86, 2343–2349. [Google Scholar] [CrossRef]
- Zhang, J.; Chai, X.; Zhao, F.; Hou, G.; Meng, Q. Food Applications and Potential Health Benefits of Hawthorn. Foods 2022, 11, 2861. [Google Scholar] [CrossRef]
- Kwon, O.; Han, T.S.; Son, M.Y. Intestinal Morphogenesis in Development, Regeneration, and Disease: The Potential Utility of Intestinal Organoids for Studying Compartmentalization of the Crypt-Villus Structure. Front. Cell Dev. Biol. 2020, 8, 593969. [Google Scholar] [CrossRef] [PubMed]
- Wilson, F.D.; Cummings, T.S.; Barbosa, T.M.; Williams, C.J.; Gerard, P.D.; Peebles, E.D. Comparison of two methods for determination of intestinal villus to crypt ratios and documentation of early age-associated ratio changes in broiler chickens. Poult. Sci. 2018, 97, 1757–1761. [Google Scholar] [CrossRef] [PubMed]
- Gao, Y.; Meng, L.; Liu, H.; Wang, J.; Zheng, N. The Compromised Intestinal Barrier Induced by Mycotoxins. Toxins 2020, 12, 619. [Google Scholar] [CrossRef] [PubMed]
- Chen, X.; Zeng, Z.; Huang, Z.; Chen, D.; He, J.; Chen, H.; Yu, B.; Yu, J.; Luo, J.; Luo, Y.; et al. Effects of dietary resveratrol supplementation on immunity, antioxidative capacity and intestinal barrier function in weaning piglets. Anim. Biotechnol. 2021, 32, 240–245. [Google Scholar] [CrossRef]
- Liu, L.; Fu, C.; Yan, M.; Xie, H.; Li, S.; Yu, Q.; He, S.; He, J. Resveratrol modulates intestinal morphology and HSP70/90, NF-κB and EGF expression in the jejunal mucosa of black-boned chickens on exposure to circular heat stress. Food Funct. 2016, 7, 1329–1338. [Google Scholar] [CrossRef] [PubMed]
- Suad, K.A.; Al-Shamire, J.S.H.; Dhyaa, A.A. Histological and biochemical evaluation of supplementing broiler diet with β-hydroxy-methyl butyrate calcium (β-HMB-Ca). Iran. J. Vet. Res. 2018, 19, 27–34. [Google Scholar]
- Zheng, C.; Song, B.; Duan, Y.; Zhong, Y.; Yan, Z.; Zhang, S.; Li, F. Dietary β-hydroxy-β-methylbutyrate improves intestinal function in weaned piglets after lipopolysaccharide challenge. Nutrition 2020, 78, 110839. [Google Scholar] [CrossRef]
- Johansson, M.E.; Phillipson, M.; Petersson, J.; Velcich, A.; Holm, L.; Hansson, G.C. The inner of the two Muc2 mucin-dependent mucus layers in colon is devoid of bacteria. Proc. Natl. Acad. Sci. USA 2008, 105, 15064–15069. [Google Scholar] [CrossRef]
- Fang, Q.; Wang, J.F.; Zha, X.Q.; Cui, S.H.; Cao, L.; Luo, J.P. Immunomodulatory activity on macrophage of a purified polysaccharide extracted from Laminaria japonica. Carbohydr. Polym. 2015, 134, 66–73. [Google Scholar] [CrossRef]
- Wang, P.; Wang, J.; Li, D.; Ke, W.; Chen, F.; Hu, X. Targeting the gut microbiota with resveratrol: A demonstration of novel evidence for the management of hepatic steatosis. J. Nutr. Biochem. 2020, 81, 108363. [Google Scholar] [CrossRef] [PubMed]
- Dou, Z.; Rong, X.; Zhao, E.; Zhang, L.; Lv, Y. Neuroprotection of Resveratrol Against Focal Cerebral Ischemia/Reperfusion Injury in Mice Through a Mechanism Targeting Gut-Brain Axis. Cell. Mol. Neurobiol. 2019, 39, 883–898. [Google Scholar] [CrossRef] [PubMed]
- Zhou, J.Y.; Wang, Z.; Zhang, S.W.; Lin, H.L.; Gao, C.Q.; Zhao, J.C.; Yang, C.; Wang, X.Q. Methionine and Its Hydroxyl Analogues Improve Stem Cell Activity to Eliminate Deoxynivalenol-Induced Intestinal Injury by Reactivating Wnt/β-Catenin Signaling. J. Agric. Food Chem. 2019, 67, 11464–11473. [Google Scholar] [CrossRef] [PubMed]
- Pan, F.Y.; Wu, P.; Feng, L.; Jiang, W.D.; Kuang, S.Y.; Tang, L.; Tang, W.N.; Zhang, Y.A.; Zhou, X.Q.; Liu, Y. Methionine hydroxy analogue improves intestinal immunological and physical barrier function in young grass carp (Ctenopharyngodon idella). Fish Shellfish Immunol. 2017, 64, 122–136. [Google Scholar] [CrossRef] [PubMed]
- Zhang, D.; Jian, Y.P.; Zhang, Y.N.; Li, Y.; Gu, L.T.; Sun, H.H.; Liu, M.D.; Zhou, H.L.; Wang, Y.S.; Xu, Z.X. Short-chain fatty acids in diseases. Cell Commun. Signal. 2023, 21, 212. [Google Scholar] [CrossRef]
- Alrafas, H.R.; Busbee, P.B.; Nagarkatti, M.; Nagarkatti, P.S. Resveratrol modulates the gut microbiota to prevent murine colitis development through induction of Tregs and suppression of Th17 cells. J. Leukoc. Biol. 2019, 106, 467–480. [Google Scholar] [CrossRef] [PubMed]
- Baghbanzadeh-Nobari, B.; Taghizadeh, A.; Khorvash, M.; Parnian-Khajehdizaj, F.; Maloney, S.K.; Hashemzadeh-Cigari, F.; Ghaffari, A.H. Digestibility, ruminal fermentation, blood metabolites and antioxidant status in ewes supplemented with DL-methionine or hydroxy-4 (methylthio) butanoic acid isopropyl ester. J. Anim. Physiol. Anim. Nutr. 2017, 101, e266–e277. [Google Scholar] [CrossRef]
- Hamer, H.M.; Jonkers, D.M.; Bast, A.; Vanhoutvin, S.A.; Fischer, M.A.; Kodde, A.; Troost, F.J.; Venema, K.; Brummer, R.J. Butyrate modulates oxidative stress in the colonic mucosa of healthy humans. Clin. Nutr. 2009, 28, 88–93. [Google Scholar] [CrossRef] [PubMed]
- Li, X.; Wang, C.; Zhu, J.; Lin, Q.; Yu, M.; Wen, J.; Feng, J.; Hu, C. Sodium Butyrate Ameliorates Oxidative Stress-Induced Intestinal Epithelium Barrier Injury and Mitochondrial Damage through AMPK-Mitophagy Pathway. Oxid. Med. Cell. Longev. 2022, 2022, 3745135. [Google Scholar] [CrossRef]
- Dang, G.; Wu, W.; Zhang, H.; Everaert, N. A new paradigm for a new simple chemical: Butyrate & immune regulation. Food Funct. 2021, 12, 12181–12193. [Google Scholar] [CrossRef]
- Binda, C.; Lopetuso, L.R.; Rizzatti, G.; Gibiino, G.; Cennamo, V.; Gasbarrini, A. Actinobacteria: A relevant minority for the maintenance of gut homeostasis. Dig. Liver Dis. 2018, 50, 421–428. [Google Scholar] [CrossRef] [PubMed]
- Valliappan, K.; Sun, W.; Li, Z. Marine actinobacteria associated with marine organisms and their potentials in producing pharmaceutical natural products. Appl. Microbiol. Biotechnol. 2014, 98, 7365–7377. [Google Scholar] [CrossRef] [PubMed]
- Frontiers Production Office. Erratum: Microbiota of the Gut-Lymph Node Axis: Depletion of Mucosa-Associated Segmented Filamentous Bacteria and Enrichment of Methanobrevibacter by Colistin Sulfate and Linco-Spectin in Pigs. Front. Microbiol. 2020, 11, 1051. [Google Scholar] [CrossRef]
- Fuller, M.; Priyadarshini, M.; Gibbons, S.M.; Angueira, A.R.; Brodsky, M.; Hayes, M.G.; Kovatcheva-Datchary, P.; Bäckhed, F.; Gilbert, J.A.; Lowe, W.L., Jr.; et al. The short-chain fatty acid receptor, FFA2, contributes to gestational glucose homeostasis. Am. J. Physiol. Endocrinol. Metab. 2015, 309, E840–E851. [Google Scholar] [CrossRef] [PubMed]
- Yan, M.; Yin, W.; Fang, X.; Guo, J.; Shi, H. Characteristics of a water-forming NADH oxidase from Methanobrevibacter smithii, an archaeon in the human gut. Biosci. Rep. 2016, 36, e00410. [Google Scholar] [CrossRef] [PubMed]
- Orgler, E.; Baumgartner, M.; Duller, S.; Kumptisch, C.; Hausmann, B.; Moser, D.; Khare, V.; Lang, M.; Köcher, T.; Frick, A.; et al. Archaea influence composition of endoscopically visible ileocolonic biofilms. Gut Microbes 2024, 16, 2359500. [Google Scholar] [CrossRef]
- Chen, Y.W.; Yu, Y.H. Differential effects of Bacillus subtilis- and Bacillus licheniformis-fermented products on growth performance, intestinal morphology, intestinal antioxidant and barrier function gene expression, cecal microbiota community, and microbial carbohydrate-active enzyme composition in broilers. Poult. Sci. 2023, 102, 102670. [Google Scholar] [CrossRef] [PubMed]
- Chang, W.Y.; Yu, Y.H. Effect of Bacillus species-fermented products and essential oils on growth performance, gut morphology, cecal short-chain fatty acid levels, and microbiota community in broilers. Poult. Sci. 2022, 101, 101970. [Google Scholar] [CrossRef] [PubMed]
- Cheng, Y.H.; Horng, Y.B.; Dybus, A.; Yu, Y.H. Bacillus licheniformis-Fermented Products Improve Growth Performance and Intestinal Gut Morphology in Broilers under Clostridium perfringens Challenge. J. Poult. Sci. 2021, 58, 30–39. [Google Scholar] [CrossRef]
- Gonçalves, P.; Martel, F. Butyrate and colorectal cancer: The role of butyrate transport. Curr. Drug Metab. 2013, 14, 994–1008. [Google Scholar] [CrossRef]
- Averina, O.A.; Permyakov, O.A.; Emelianova, M.A.; Grigoryeva, O.O.; Gulyaev, M.V.; Pavlova, O.S.; Mariasina, S.S.; Frolova, O.Y.; Kurkina, M.V.; Baydakova, G.V.; et al. Mitochondrial peptide Mtln contributes to oxidative metabolism in mice. Biochimie 2023, 204, 136–139. [Google Scholar] [CrossRef] [PubMed]
- Liu, L.; Zhang, W.; Liu, T.; Tan, Y.; Chen, C.; Zhao, J.; Geng, H.; Ma, C. The physiological metabolite α-ketoglutarate ameliorates osteoarthritis by regulating mitophagy and oxidative stress. Redox Biol. 2023, 62, 102663. [Google Scholar] [CrossRef] [PubMed]
- Bravo Iniguez, A.; Du, M.; Zhu, M.J. α-Ketoglutarate for Preventing and Managing Intestinal Epithelial Dysfunction. Adv. Nutr. 2024, 15, 100200. [Google Scholar] [CrossRef]
- Si, X.; Song, Z.; Liu, N.; Jia, H.; Liu, H.; Wu, Z. α-Ketoglutarate Restores Intestinal Barrier Function through Promoting Intestinal Stem Cells-Mediated Epithelial Regeneration in Colitis. J. Agric. Food Chem. 2022, 70, 13882–13892. [Google Scholar] [CrossRef]
- Sun, X.; Zhu, M.J. Butyrate Inhibits Indices of Colorectal Carcinogenesis via Enhancing α-Ketoglutarate-Dependent DNA Demethylation of Mismatch Repair Genes. Mol. Nutr. Food Res. 2018, 62, e1700932. [Google Scholar] [CrossRef]
- van Bemmelen, F.J.; Schouten, M.J.; Fekkes, D.; Bruinvels, J. Succinic semialdehyde as a substrate for the formation of gamma-aminobutyric acid. J. Neurochem. 1985, 45, 1471–1474. [Google Scholar] [CrossRef] [PubMed]
- Auteri, M.; Zizzo, M.G.; Serio, R. GABA and GABA receptors in the gastrointestinal tract: From motility to inflammation. Pharmacol. Res. 2015, 93, 11–21. [Google Scholar] [CrossRef] [PubMed]
- Beltrán González, A.N.; López Pazos, M.I.; Calvo, D.J. Reactive Oxygen Species in the Regulation of the GABA Mediated Inhibitory Neurotransmission. Neuroscience 2020, 439, 137–145. [Google Scholar] [CrossRef] [PubMed]
- Ruenkoed, S.; Nontasan, S.; Phudkliang, J.; Phudinsai, P.; Pongtanalert, P.; Panprommin, D.; Mongkolwit, K.; Wangkahart, E. Effect of dietary gamma aminobutyric acid (GABA) modulated the growth performance, immune and antioxidant capacity, digestive enzymes, intestinal histology and gene expression of Nile tilapia (Oreochromisniloticus). Fish Shellfish Immunol. 2023, 141, 109056. [Google Scholar] [CrossRef]
- Kovacic, P.; Cooksy, A.L. Role of diacetyl metabolite in alcohol toxicity and addiction via electron transfer and oxidative stress. Arch. Toxicol. 2005, 79, 123–128. [Google Scholar] [CrossRef]
- Morris, J.B.; Hubbs, A.F. Inhalation dosimetry of diacetyl and butyric acid, two components of butter flavoring vapors. Toxicol. Sci. 2009, 108, 173–183. [Google Scholar] [CrossRef] [PubMed]









| Items | Content (%) | |
|---|---|---|
| Ingredient | Corn | 51.50 |
| Soybean meal | 2.00 | |
| Rapeseed meal | 12.80 | |
| Cottonseed meal | 2.00 | |
| Palm meal | 25.00 | |
| Nacl | 1.00 | |
| Limestone | 1.00 | |
| Baking soda | 0.10 | |
| Premix | 4.60 | |
| Total | 100.00 | |
| Nutrient levels | Digestible energy (MJ/kg) | 12.71 |
| Crude protein | 14.27 | |
| Ether extract | 3.29 | |
| Crude fiber | 11.64 | |
| Neutral detergent fiber | 26.70 | |
| Acid detergent fiber | 19.97 | |
| Ca | 0.86 | |
| P | 0.40 |
| Items | Groups | p-Value | |||
|---|---|---|---|---|---|
| C | RES | HMB | RES-HMB | ||
| Hexanoic acid | 1.38 ± 0.62 | 0.76 ± 0.33 | 1.05 ± 0.37 | 1.25 ± 0.33 | 0.760 |
| Isobutyric acid | 2.70 ± 0.86 | 1.46 ± 1.08 | 0.64 ± 0.26 | 1.40 ± 0.53 | 0.343 |
| Isovaleric acid | 2.81 ± 2.41 | 3.50 ± 3.29 | 1.00 ± 0.73 | 0.53 ± 0.35 | 0.713 |
| Butyric acid | 2.29 ± 0.82 b | 5.44 ± 1.37 ab | 4.69 ± 0.54 b | 8.13 ± 1.11 a | 0.022 |
| Propionic acid | 5.39 ± 2.37 | 5.39 ± 1.75 | 4.55 ± 1.21 | 4.91 ± 1.46 | 0.982 |
| Acetic acid | 84.76 ± 5.55 | 83.23 ± 6.66 | 87.41 ± 1.25 | 82.77 ± 2.65 | 0.887 |
| Valeric acid | 0.68 ± 0.29 | 0.21 ± 0.04 | 0.66 ± 0.21 | 1.01 ± 0.35 | 0.240 |
| Items | Groups | p-Value | |||
|---|---|---|---|---|---|
| C | RES | HMB | RES-HMB | ||
| Ace | 377.75 ± 12.85 | 473.95 ± 19.38 | 388.10 ± 40.33 | 407.83 ± 38.80 | 0.142 |
| Chao 1 | 362.53 ± 11.34 | 461.73 ± 16.88 | 365.02 ± 37.74 | 397.04 ± 38.19 | 0.081 |
| Shanon | 2.16 ± 0.22 | 2.44 ± 0.13 | 1.80 ± 0.29 | 2.30 ± 0.31 | 0.382 |
| Simpon | 0.56 ± 0.07 | 0.61 ± 0.03 | 0.50 ± 0.08 | 0.58 ± 0.05 | 0.567 |
| Sobs | 288.33 ± 14.11 | 377.83 ± 17.45 | 287.33 ± 40.22 | 327.67 ± 42.13 | 0.167 |
Disclaimer/Publisher’s Note: The statements, opinions and data contained in all publications are solely those of the individual author(s) and contributor(s) and not of MDPI and/or the editor(s). MDPI and/or the editor(s) disclaim responsibility for any injury to people or property resulting from any ideas, methods, instructions or products referred to in the content. |
© 2024 by the authors. Licensee MDPI, Basel, Switzerland. This article is an open access article distributed under the terms and conditions of the Creative Commons Attribution (CC BY) license (https://creativecommons.org/licenses/by/4.0/).
Share and Cite
Ji, Q.; Zhang, F.; Zhang, Y.; Su, Q.; He, T.; Hou, S.; Gui, L. Multi-Omics Revealed Resveratrol and β-Hydroxy-β-methyl Butyric Acid Alone or in Combination Improved the Jejunal Function in Tibetan Sheep. Antioxidants 2024, 13, 892. https://doi.org/10.3390/antiox13080892
Ji Q, Zhang F, Zhang Y, Su Q, He T, Hou S, Gui L. Multi-Omics Revealed Resveratrol and β-Hydroxy-β-methyl Butyric Acid Alone or in Combination Improved the Jejunal Function in Tibetan Sheep. Antioxidants. 2024; 13(8):892. https://doi.org/10.3390/antiox13080892
Chicago/Turabian StyleJi, Qiurong, Fengshuo Zhang, Yu Zhang, Quyangangmao Su, Tingli He, Shengzhen Hou, and Linsheng Gui. 2024. "Multi-Omics Revealed Resveratrol and β-Hydroxy-β-methyl Butyric Acid Alone or in Combination Improved the Jejunal Function in Tibetan Sheep" Antioxidants 13, no. 8: 892. https://doi.org/10.3390/antiox13080892
APA StyleJi, Q., Zhang, F., Zhang, Y., Su, Q., He, T., Hou, S., & Gui, L. (2024). Multi-Omics Revealed Resveratrol and β-Hydroxy-β-methyl Butyric Acid Alone or in Combination Improved the Jejunal Function in Tibetan Sheep. Antioxidants, 13(8), 892. https://doi.org/10.3390/antiox13080892

