Development of New Resolvin D1 Analogues for Osteoarthritis Therapy: Acellular and Computational Approaches to Study Their Antioxidant Activities
Abstract
1. Introduction
2. Materials and Methods
2.1. Materials
2.2. Analogues Synthesis
2.2.1. Block A Synthesis
- (i)
- 2-Deoxy-3,4-O-(1-methylethylidene)-D-erythro-pentopyranose (1)
- (ii)
- (Methoxycarbonyl propyl) triphenylphosphonium bromide (2)
- (iii)
- Methyl (4Z)-6-[(4S,5R)-5-(hydroxymethyl)-2,2-dimethyl-1,3-dioxolan-4-yl] hex-4-enoate (3)
- (iv)
- Methyl (4Z)-6-[(4S,5S)-5-formyl-2,2-dimethyl-1,3-dioxolan-4-yl] hex-4-enoate (4)
- (v)
- Methyl (4Z)-6-[(4S,5R)-5-ethynyl-2,2-dimethyl-1,3-dioxolan-4-yl] hex-4-enoate (5)
- (vi)
- Methyl (4Z)-6-{(4S,5R)-2,2-dimethyl-5-[(E)-2-(4,4,5,5-tetramethyl-1,3,2-dioxaborolan-2-yl)ethenyl]-1,3-dioxolan-4-yl}hex-4-enoate (Block-A)
2.2.2. Block B Synthesis
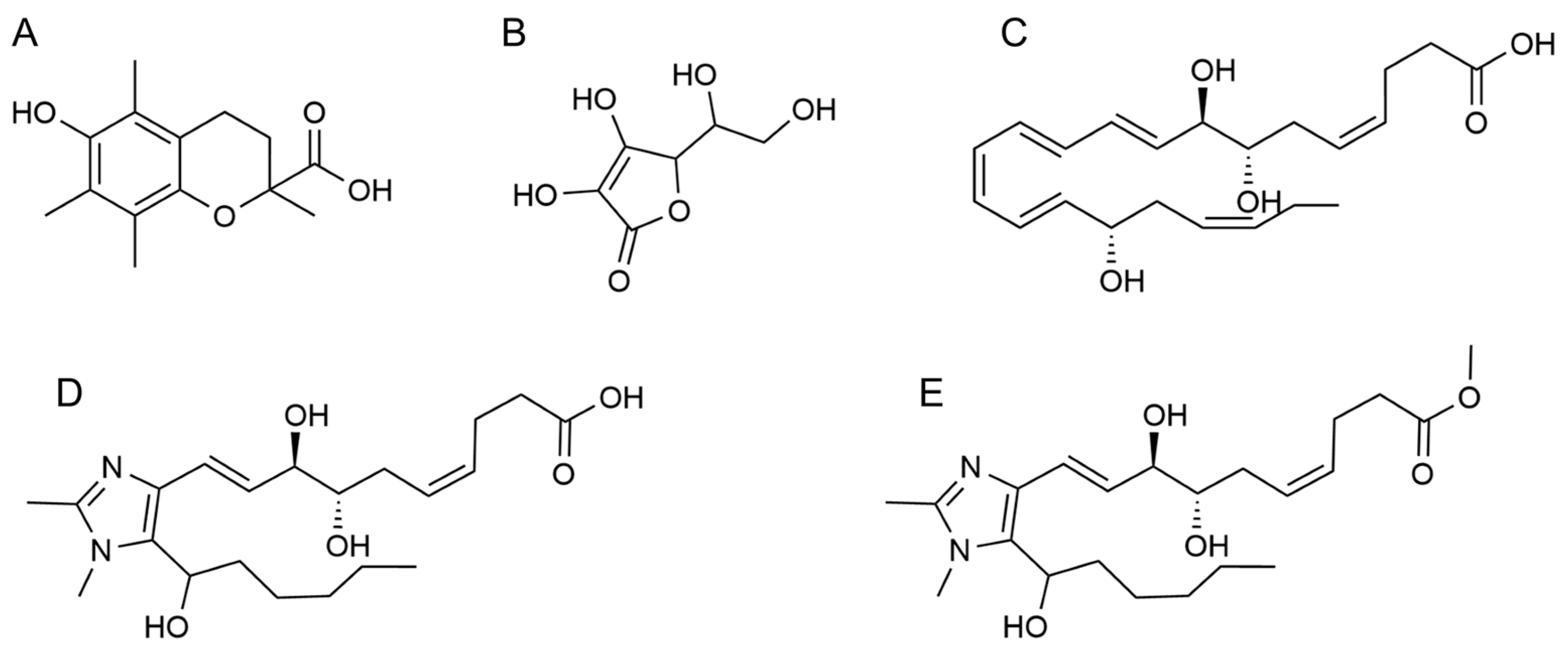
2.2.3. RvD1 Analogues 1 and 2 Syntheses
- (i)
- 1-(4-Bromo-1,2-dimethyl-1H-imidazol-5-yl) hexan-1-one (6)
- (ii)
- Methyl (4Z)-6-{(4S,5R)-5-[(E)-2-(5-hexanoyl-1,2-dimethyl-1H-imidazol-4-yl) ethenyl]-2,2-dimethyl-1,3-dioxolan-4-yl} hex-4-enoate (7)
- (iii)
- Methyl (4Z)-6-[(4S,5R)-5-{(E)-2-[5-(1-hydroxyhexyl)-1,2-dimethyl-1H-imidazol-4-yl]ethenyl}-2,2-dimethyl-1,3-dioxolan-4-yl]hex-4-enoate (8)
- (iv)
- Methyl (4Z,7S,8R,9E)-7,8-dihydroxy-10-[5-(1-hydroxyhexyl)-1,2-dimethyl-1H-imidazol-4-yl]deca-4,9-dienoate (RvD1 analogue 2)
- (v)
- (4Z,7S,8R,9E)-7,8-dihydroxy-10-[5-(1-hydroxyhexyl)-1,2-dimethyl-1H-imidazol-4-yl] deca-4,9-dienoic acid (RvD1 analogue 1)
2.3. Antioxidant Activity Assays
2.3.1. Oxygen Radical Absorbance Capacity (ORAC) Assay
2.3.2. DPPH Assay
2.3.3. FRAP Assay
2.3.4. Hydroxyl Radical Scavenging (HRS)
2.4. Hyaluronic Acid Degradation Study
2.5. Hyaluronic Acid Analysis by Gel Permeation Chromatography
2.6. Computational Studies
3. Results and Discussion
3.1. Antioxidants and Radical Scavenging Activities of Resolvin Analogues
3.1.1. ORAC Assay
3.1.2. DPPH Assay
3.1.3. FRAP Assay
3.1.4. Hydroxyl Radical Scavenging (HRS)
3.2. Protection of Hyaluronic Acid against ROS
3.2.1. Agarose Gel Electrophoresis
3.2.2. Gel Permeation Chromatography
3.3. Computational Study
3.3.1. Geometry Optimization of Samples
3.3.2. Bond Dissociation Enthalpy
3.3.3. Ionization Potential
3.3.4. Frontier Molecular Orbitals
3.3.5. Quantum Chemical Parameters
3.3.6. Molecular Electrostatic Potential (MEP)
3.3.7. Mulliken Charge Distribution
4. Conclusions
Supplementary Materials
Author Contributions
Funding
Institutional Review Board Statement
Informed Consent Statement
Data Availability Statement
Conflicts of Interest
References
- Di Nicola, V. Degenerative osteoarthritis a reversible chronic disease. Regen. Ther. 2020, 15, 149–160. [Google Scholar] [CrossRef] [PubMed]
- Rahimi, M.; Charmi, G.; Matyjaszewski, K.; Banquy, X.; Pietrasik, J. Recent developments in natural and synthetic polymeric drug delivery systems used for the treatment of osteoarthritis. Acta Biomater. 2021, 123, 31–50. [Google Scholar] [CrossRef] [PubMed]
- McClurg, O.; Tinson, R.; Troeberg, L. Targeting Cartilage Degradation in Osteoarthritis. Pharmaceuticals 2021, 14, 126. [Google Scholar] [CrossRef]
- Mehana, E.-S.E.; Khafaga, A.F.; El-Blehi, S.S. The role of matrix metalloproteinases in osteoarthritis pathogenesis: An updated review. Life Sci. 2019, 234, 116786. [Google Scholar] [CrossRef] [PubMed]
- Panahi, Y.; Alishiri, G.H.; Parvin, S.; Sahebkar, A. Mitigation of Systemic Oxidative Stress by Curcuminoids in Osteoarthritis: Results of a Randomized Controlled Trial. J. Diet. Suppl. 2016, 13, 209–220. [Google Scholar] [CrossRef] [PubMed]
- Shi, Q.; Abusarah, J.; Zaouter, C.; Moldovan, F.; Fernandes, J.C.; Fahmi, H.; Benderdour, M. New evidence implicating 4-hydroxynonenal in the pathogenesis of osteoarthritis in vivo. Arthritis Rheumatol. 2014, 66, 2461–2471. [Google Scholar] [CrossRef] [PubMed]
- Morquette, B.; Shi, Q.; Lavigne, P.; Ranger, P.; Fernandes, J.C.; Benderdour, M. Production of lipid peroxidation products in osteoarthritic tissues: New evidence linking 4-hydroxynonenal to cartilage degradation. Arthritis Rheum. 2006, 54, 271–281. [Google Scholar] [CrossRef] [PubMed]
- Kohen, R.; Nyska, A. Invited review: Oxidation of biological systems: Oxidative stress phenomena, antioxidants, redox reactions, and methods for their quantification. Toxicol. Pathol. 2002, 30, 620–650. [Google Scholar] [CrossRef]
- Duan, J.; Kasper, D.L. Oxidative depolymerization of polysaccharides by reactive oxygen/nitrogen species. Glycobiology 2011, 21, 401–409. [Google Scholar] [CrossRef]
- Zhuang, C.; Wang, Y.; Zhang, Y.; Xu, N. Oxidative stress in osteoarthritis and antioxidant effect of polysaccharide from Angelica sinensis. Int. J. Biol. Macromol. 2018, 115, 281–286. [Google Scholar] [CrossRef]
- Tudorachi, N.B.; Totu, E.E.; Fifere, A.; Ardeleanu, V.; Mocanu, V.; Mircea, C.; Isildak, I.; Smilkov, K.; Cărăuşu, E.M. The Implication of Reactive Oxygen Species and Antioxidants in Knee Osteoarthritis. Antioxidants 2021, 10, 985. [Google Scholar] [CrossRef]
- Henrotin, Y.; Mobasheri, A. Curcumin and Curcuminoids for the Treatment of Osteoarthritis: Proof of Concept. J. Trop. Med. Plants 2009, 10, 267. [Google Scholar]
- Berdiaki, A.; Neagu, M.; Spyridaki, I.; Kuskov, A.; Perez, S.; Nikitovic, D. Hyaluronan and Reactive Oxygen Species Signaling—Novel Cues from the Matrix? Antioxidants 2023, 12, 824. [Google Scholar] [PubMed]
- Žádníková, P.; Šínová, R.; Pavlík, V.; Šimek, M.; Šafránková, B.; Hermannová, M.; Nešporová, K.; Velebný, V. The Degradation of Hyaluronan in the Skin. Biomolecules 2022, 12, 251. [Google Scholar] [CrossRef] [PubMed]
- Marinho, A.; Nunes, C.; Reis, S. Hyaluronic Acid: A Key Ingredient in the Therapy of Inflammation. Biomolecules 2021, 11, 1518. [Google Scholar] [CrossRef] [PubMed]
- Schiller, J.; Volpi, N.; Hrabárová, E.; Šoltés, L. Hyaluronic acid: A natural biopolymer. Biopolym. Biomed. Environ. Appl. 2011, 70, 3–34. [Google Scholar]
- Soltés, L.; Kogan, G.; Stankovska, M.; Mendichi, R.; Rychlý, J.; Schiller, J.; Gemeiner, P. Degradation of high-molar-mass hyaluronan and characterization of fragments. Biomacromolecules 2007, 8, 2697–2705. [Google Scholar] [CrossRef] [PubMed]
- Baron, D.; Baron, H.; Baerer, C.; Bodere, C.; Conrozier, T. Predictors for patient satisfaction of a single intra-articular injection of crosslinked hyaluronic acid combined with mannitol (HANOX-M-XL) in patients with temporomandibular joint osteoarthritis. Results of a prospective open-label pilot study (HAPPYMINI-ARTEMIS trial). BMC Musculoskelet. Disord. 2022, 23, 392. [Google Scholar]
- Pegreffi, F.; Reginster, J.-Y.; Bruyère, O.; Veronese, N. Comment on: The Effect of Intra-articular Hyaluronic Acid Injections and Payer Coverage on Total Knee Arthroplasty Procedures: Evidence From Large US Claims Database. Arthroplast. Today 2023, 21, 101128. [Google Scholar] [CrossRef]
- Bruyère, O.; Honvo, G.; Vidovic, E.; Cortet, B. Assessment of the Response Profile to Hyaluronic Acid Plus Sorbitol Injection in Patients with Knee Osteoarthritis: Post-Hoc Analysis of a 6-Month Randomized Controlled Trial. Biomolecules 2021, 11, 1498. [Google Scholar] [CrossRef]
- Rinaudo, M.; Lardy, B.; Grange, L.; Conrozier, T. Effect of Mannitol on Hyaluronic Acid Stability in Two In Vitro Models of Oxidative Stress. Polymers 2014, 6, 1948–1957. [Google Scholar] [CrossRef]
- Mendoza, G.; Alvarez, A.I.; Pulido, M.M.; Molina, A.J.; Merino, G.; Real, R.; Fernandes, P.; Prieto, J.G. Inhibitory effects of different antioxidants on hyaluronan depolymerization. Carbohydr. Res. 2007, 342, 96–102. [Google Scholar] [CrossRef] [PubMed]
- Mongkhon, J.-M.; Thach, M.; Shi, Q.; Fernandes, J.C.; Fahmi, H.; Benderdour, M. Sorbitol-modified hyaluronic acid reduces oxidative stress, apoptosis and mediators of inflammation and catabolism in human osteoarthritic chondrocytes. Inflamm. Res. 2014, 63, 691–701. [Google Scholar] [CrossRef] [PubMed]
- Setti, T.; Arab, M.G.L.; Santos, G.S.; Alkass, N.; Andrade, M.A.P.; Lana, J.F.S.D. The protective role of glutathione in osteoarthritis. J. Clin. Orthop. Trauma 2021, 15, 145–151. [Google Scholar] [CrossRef]
- Henrotin, Y.; Kurz, B. Antioxidant to treat osteoarthritis: Dream or reality? Curr. Drug Targets 2007, 8, 347–357. [Google Scholar] [CrossRef] [PubMed]
- Suantawee, T.; Tantavisut, S.; Adisakwattana, S.; Tanavalee, A.; Yuktanandana, P.; Anomasiri, W.; Deepaisarnsakul, B.; Honsawek, S. Oxidative stress, vitamin e, and antioxidant capacity in knee osteoarthritis. J. Clin. Diagn. Res. JCDR 2013, 7, 1855. [Google Scholar] [PubMed]
- Lee, C.H. Role of specialized pro-resolving lipid mediators and their receptors in virus infection: A promising therapeutic strategy for SARS-CoV-2 cytokine storm. Arch. Pharm. Res. 2021, 44, 84–98. [Google Scholar] [CrossRef]
- Yaribeygi, H.; Atkin, S.L.; Simental-Mendía, L.E.; Barreto, G.E.; Sahebkar, A. Anti-inflammatory effects of resolvins in diabetic nephropathy: Mechanistic pathways. J. Cell. Physiol. 2019, 234, 14873–14882. [Google Scholar] [CrossRef]
- Molaei, E.; Molaei, A.; Hayes, A.W.; Karimi, G. Resolvin D1, therapeutic target in acute respiratory distress syndrome. Eur. J. Pharmacol. 2021, 911, 174527. [Google Scholar] [CrossRef]
- Benabdoune, H.; Rondon, E.-P.; Shi, Q.; Fernandes, J.; Ranger, P.; Fahmi, H.; Benderdour, M. The role of resolvin D1 in the regulation of inflammatory and catabolic mediators in osteoarthritis. Inflamm. Res. 2016, 65, 635–645. [Google Scholar] [CrossRef]
- Serhan, C.N.; Petasis, N.A. Resolvins and protectins in inflammation resolution. Chem. Rev. 2011, 111, 5922–5943. [Google Scholar] [CrossRef]
- Benabdoun, H.A.; Kulbay, M.; Rondon, E.P.; Vallieres, F.; Shi, Q.; Fernandes, J.; Fahmi, H.; Benderdour, M. In vitro and in vivo assessment of the proresolutive and antiresorptive actions of resolvin D1: Relevance to arthritis. Arthritis Res. Ther. 2019, 21, 72. [Google Scholar] [CrossRef] [PubMed]
- Norling, L.V.; Headland, S.E.; Dalli, J.; Arnardottir, H.H.; Haworth, O.; Jones, H.R.; Irimia, D.; Serhan, C.N.; Perretti, M. Proresolving and cartilage-protective actions of resolvin D1 in inflammatory arthritis. JCI Insight 2016, 1, e85922. [Google Scholar] [CrossRef] [PubMed]
- Dravid, A.A.; Dhanabalan, K.M.; Naskar, S.; Vashistha, A.; Agarwal, S.; Padhan, B.; Dewani, M.; Agarwal, R. Sustained release resolvin D1 liposomes are effective in the treatment of osteoarthritis in obese mice. J. Biomed. Mater. Res. Part A 2023, 111, 765–777. [Google Scholar] [CrossRef] [PubMed]
- Sun, Y.P.; Oh, S.F.; Uddin, J.; Yang, R.; Gotlinger, K.; Campbell, E.; Colgan, S.P.; Petasis, N.A.; Serhan, C.N. Resolvin D1 and Its Aspirin-triggered 17R Epimer: Stereochemical Assignments, Anti-Inflammatory Properties, and Enzymatic Inactivation. J. Biol. Chem. 2007, 282, 9323–9334. [Google Scholar] [CrossRef] [PubMed]
- Orr, S.K.; Colas, R.A.; Dalli, J.; Chiang, N.; Serhan, C.N. Proresolving actions of a new resolvin D1 analog mimetic qualifies as an immunoresolvent. Am. J. Physiol. Lung Cell. Mol. Physiol. 2015, 308, L904–L911. [Google Scholar] [CrossRef] [PubMed]
- Benderdour, M.; Fernandes, J.; Maltais, R.; Sanceau, J.Y. Resolvin Analogs Compounds, Methods and Used Thereof. Patent WO2023137554A1, 27 July 2023. [Google Scholar]
- de Gaetano, M.; Butler, E.; Gahan, K.; Zanetti, A.; Marai, M.; Chen, J.; Cacace, A.; Hams, E.; Maingot, C.; McLoughlin, A.; et al. Asymmetric synthesis and biological evaluation of imidazole- and oxazole-containing synthetic lipoxin A4 mimetics (sLXms). Eur. J. Med. Chem. 2019, 162, 80–108. [Google Scholar] [CrossRef]
- Huang, D.; Ou, B.; Hampsch-Woodill, M.; Flanagan, J.A.; Prior, R.L. High-Throughput Assay of Oxygen Radical Absorbance Capacity (ORAC) Using a Multichannel Liquid Handling System Coupled with a Microplate Fluorescence Reader in 96-Well Format. J. Agric. Food Chem. 2002, 50, 4437–4444. [Google Scholar] [CrossRef]
- Goldschmidt, S.; Renn, K. Zweiwertiger Stickstoff: Über das α, α-Diphenyl-β-trinitrophenyl-hydrazyl. (IV. Mitteilung über Amin-Oxydation). Ber. Dtsch. Chem. Ges. A B Ser. 1922, 55, 628–643. [Google Scholar] [CrossRef]
- Blois, M.S. Antioxidant Determinations by the Use of a Stable Free Radical. Nature 1958, 181, 1199–1200. [Google Scholar] [CrossRef]
- Benzie, I.F.F.; Strain, J.J. The Ferric Reducing Ability of Plasma (FRAP) as a Measure of “Antioxidant Power”: The FRAP Assay. Anal. Biochem. 1996, 239, 70–76. [Google Scholar] [CrossRef] [PubMed]
- Govindappa, C.M.; Sadananda, T.S.; Chandrappa, C.P. Phytochemical Analysis of Loranthus micranthus Extracts and Their in Vitro Antioxidant and Antibacterial Activities. J. Biol. Act. Prod. Nat. 2014, 4, 303–315. [Google Scholar] [CrossRef]
- Chen, H.; Qin, J.; Hu, Y. Efficient Degradation of High-Molecular-Weight Hyaluronic Acid by a Combination of Ultrasound, Hydrogen Peroxide, and Copper Ion. Molecules 2019, 24, 617. [Google Scholar] [CrossRef] [PubMed]
- Yogesh, K.; Jha, S.N.; Ahmad, T. Antioxidant potential of aqueous extract of some food grain powder in meat model system. J. Food Sci. Technol. 2014, 51, 3446–3451. [Google Scholar] [CrossRef] [PubMed]
- Foti, M.C. Use and Abuse of the DPPH• Radical. J. Agric. Food Chem. 2015, 63, 8765–8776. [Google Scholar] [CrossRef] [PubMed]
- Munteanu, I.G.; Apetrei, C. Analytical Methods Used in Determining Antioxidant Activity: A Review. Int. J. Mol. Sci. 2021, 22, 3380. [Google Scholar] [CrossRef] [PubMed]
- Gulcin, İ.; Alwasel, S.H. DPPH radical scavenging assay. Processes 2023, 11, 2248. [Google Scholar] [CrossRef]
- Lang, Y.; Gao, N.; Zang, Z.; Meng, X.; Lin, Y.; Yang, S.; Yang, Y.; Jin, Z.; Li, B. Classification and antioxidant assays of polyphenols: A review. J. Future Foods 2024, 4, 193–204. [Google Scholar] [CrossRef]
- Gliszczyńska-Świgło, A. Antioxidant activity of water soluble vitamins in the TEAC (trolox equivalent antioxidant capacity) and the FRAP (ferric reducing antioxidant power) assays. Food Chem. 2006, 96, 131–136. [Google Scholar] [CrossRef]
- Baranowska, M.; Suliborska, K.; Chrzanowski, W.; Kusznierewicz, B.; Namieśnik, J.; Bartoszek, A. The relationship between standard reduction potentials of catechins and biological activities involved in redox control. Redox Biol. 2018, 17, 355–366. [Google Scholar] [CrossRef]
- Cowman, M.K.; Lee, H.-G.; Schwertfeger, K.L.; McCarthy, J.B.; Turley, E.A. The Content and Size of Hyaluronan in Biological Fluids and Tissues. Front. Immunol. 2015, 6, 261. [Google Scholar] [CrossRef]
- Nasidi, I.I.; Kaygili, O.; Majid, A.; Bulut, N.; Alkhedher, M.; ElDin, S.M. Halogen Doping to Control the Band Gap of Ascorbic Acid: A Theoretical Study. ACS Omega 2022, 7, 44390–44397. [Google Scholar] [CrossRef]
- Tabrizi, L.; Nguyen, T.L.A.; Dao, D.Q. Experimental and theoretical investigation of cyclometalated phenylpyridine iridium(iii) complex based on flavonol and ibuprofen ligands as potent antioxidant. RSC Adv. 2019, 9, 17220–17237. [Google Scholar] [CrossRef]
- Farrokhnia, M. Density Functional Theory Studies on the Antioxidant Mechanism and Electronic Properties of Some Bioactive Marine Meroterpenoids: Sargahydroquionic Acid and Sargachromanol. ACS Omega 2020, 5, 20382–20390. [Google Scholar] [CrossRef]















| Antioxidant | Analogue 1 | Analogue 2 | RvD1 | Ascorbic Acid | Trolox |
|---|---|---|---|---|---|
| TE Value | 2.17 | 1.87 | 1.60 | 0.40 | 1 |
| Sample | Vp 1 (mL) | Mw (Da) | Mn (Da) | Mw/Mn 2 (-) | IV 3 (mg/mL) |
|---|---|---|---|---|---|
| Hyaluronic Acid | 10.76 | 1,160,000 | 1,052,000 | 1.103 | 13.5227 |
| Hyaluronic Acid/H2O2 | 11.97 | 217,211 | 131,579 | 1.651 | 4.7605 |
| Hyaluronic Acid/H2O2 + RvD1 | 10.75 | 1,113,000 | 1,031,000 | 1.079 | 13.9877 |
| Hyaluronic Acid/H2O2 + A1 | 10.71 | 1,126,000 | 1,043,000 | 1.079 | 13.9109 |
| Hyaluronic Acid/H2O2 + A2 | 10.70 | 1,112,000 | 1,026,000 | 1.084 | 13.6087 |
| Antioxidants | Bond | Bond Length (Å) * |
|---|---|---|
| Trolox | O7-H8 | 0.9741 |
| O31-H32 | 0.9821 | |
| Ascorbic acid | O8-H20 | 0.9791 |
| O9-H19 | 0.9797 | |
| O12-H13 | 0.9772 | |
| O17-H18 | 0.9797 | |
| RvD1 | O19-H20 | 0.9786 |
| O42-H44 | 0.9821 | |
| O43-H45 | 0.9824 | |
| O56-H58 | 0.9996 | |
| Analogue 1 | O22-H23 | 0.9795 |
| O25-H27 | 0.9780 | |
| O29-H30 | 0.9808 | |
| O60-H62 | 0.9821 | |
| Analogue 2 | O20-H21 | 0.9795 |
| O26-H27 | 0.9981 | |
| O43-H44 | 0.9793 |
| Antioxidants | Bond | BDE |
|---|---|---|
| Trolox | O7-H8 | 280.9 |
| O31-H32 | 346.9 | |
| Ascorbic acid | O8-H20 | 290.3 |
| O9-H19 | 293.9 | |
| O12-H13 | 383.6 | |
| O17-H18 | 380.5 | |
| RvD1 | O19-H20 | 471.4 |
| O42-H44 | 421.6 | |
| O43-H45 | 385.4 | |
| O56-H58 | 415.0 | |
| Analogue 1 | O22-H23 | 375.4 |
| O25-H27 | 380.5 | |
| O29-H30 | 401.9 | |
| O60-H62 | 411.2 | |
| Analogue 2 | O20-H21 | 386.2 |
| O26-H27 | 403.0 | |
| O43-H44 | 378.5 |
| Antioxidants | IP |
|---|---|
| Trolox | 778.9 |
| Ascorbic Acid | 932.2 |
| RvD1 | 875.3 |
| Analogue 1 | 825.6 |
| Analogue 2 | 806.1 |
| Hardness (eV) | Softness (eV) | Electronegativity (eV) | Electrophilicity (eV) | Chemical Potential (eV) |
|---|---|---|---|---|
| Antioxidants | EHOMO | ELUMO | η | σ | χ | ω | µ |
|---|---|---|---|---|---|---|---|
| Trolox | −5.294 | −0.655 | 2.31 | 0.432 | 2.974 | 1.914 | −2.974 |
| Ascorbic acid | −6.554 | −1.324 | 2.61 | 0.383 | 3.938 | 2.970 | −3.938 |
| RvD1 | −6.045 | −0.959 | 2.54 | 0.393 | 3.500 | 2.411 | −3.500 |
| Analogue 1 | −5.914 | −0.490 | 2.71 | 0.369 | 3.201 | 1.890 | −3.201 |
| Analogue 2 | −5.690 | −0.553 | 2.56 | 0.390 | 3.121 | 1.902 | −3.121 |
Disclaimer/Publisher’s Note: The statements, opinions and data contained in all publications are solely those of the individual author(s) and contributor(s) and not of MDPI and/or the editor(s). MDPI and/or the editor(s) disclaim responsibility for any injury to people or property resulting from any ideas, methods, instructions or products referred to in the content. |
© 2024 by the authors. Licensee MDPI, Basel, Switzerland. This article is an open access article distributed under the terms and conditions of the Creative Commons Attribution (CC BY) license (https://creativecommons.org/licenses/by/4.0/).
Share and Cite
Kariminezhad, Z.; Rahimi, M.; Fernandes, J.; Maltais, R.; Sancéau, J.-Y.; Poirier, D.; Fahmi, H.; Benderdour, M. Development of New Resolvin D1 Analogues for Osteoarthritis Therapy: Acellular and Computational Approaches to Study Their Antioxidant Activities. Antioxidants 2024, 13, 386. https://doi.org/10.3390/antiox13040386
Kariminezhad Z, Rahimi M, Fernandes J, Maltais R, Sancéau J-Y, Poirier D, Fahmi H, Benderdour M. Development of New Resolvin D1 Analogues for Osteoarthritis Therapy: Acellular and Computational Approaches to Study Their Antioxidant Activities. Antioxidants. 2024; 13(4):386. https://doi.org/10.3390/antiox13040386
Chicago/Turabian StyleKariminezhad, Zahra, Mahdi Rahimi, Julio Fernandes, René Maltais, Jean-Yves Sancéau, Donald Poirier, Hassan Fahmi, and Mohamed Benderdour. 2024. "Development of New Resolvin D1 Analogues for Osteoarthritis Therapy: Acellular and Computational Approaches to Study Their Antioxidant Activities" Antioxidants 13, no. 4: 386. https://doi.org/10.3390/antiox13040386
APA StyleKariminezhad, Z., Rahimi, M., Fernandes, J., Maltais, R., Sancéau, J.-Y., Poirier, D., Fahmi, H., & Benderdour, M. (2024). Development of New Resolvin D1 Analogues for Osteoarthritis Therapy: Acellular and Computational Approaches to Study Their Antioxidant Activities. Antioxidants, 13(4), 386. https://doi.org/10.3390/antiox13040386

