Optimization of Phenolic Content Extraction and Effects of Drying Treatments on Physicochemical Characteristics and Antioxidant Properties of Edible Mushroom Pleurotus ostreatus (Jacq.) P. Kumm (Oyster Mushroom)
Abstract
1. Introduction
2. Materials and Methods
2.1. P. ostreatus Mushroom Samples
2.2. Drying Processes
2.2.1. Freeze-Drying
2.2.2. Hot-Air-Drying
2.2.3. Microwave-Vacuum-Drying
2.3. Color Measurement
2.4. Rehydration Rate of Dried P. ostreatus Mushrooms
2.5. Microstructure of Dried P. ostreatus Mushrooms
2.6. Ultrasound-Assisted Water Bath Extraction of P. ostreatus
2.7. Optimization of the Extraction Procedure Using Response Surface Methodology for Fresh P. ostreatus Extracts
2.8. Determination of Total Soluble Phenolic Content in Fresh and Dried Mushroom Extracts
2.9. Determination of Antioxidant Activity of Fresh and Dried Mushroom Extracts
2.9.1. DPPH Radical Scavenging Activity
2.9.2. Oxygen Radical Absorption Capacity (ORAC) Assay
2.10. Ergothioneine Content by HPLC of Fresh and Dried Mushroom Extracts
2.11. Statistical Analysis
3. Results and Discussion
3.1. Drying Processes Applied to the Edible Mushroom P. ostreatus
3.2. Color Measurement of Fresh and Dried Mushrooms
3.3. Microstructure of Fresh and Dried Mushrooms
3.4. Rehydration Rate
3.5. Effect of Different Extraction Factors in Ultrasonic-Assisted Water Bath on the Total Soluble Phenolic Content of P. ostreatus Extracts
3.6. Response Surface Methodology
3.7. Determination of Total Soluble Phenolic Content in Aqueous Extracts of Fresh and Dried P. ostreatus Mushrooms
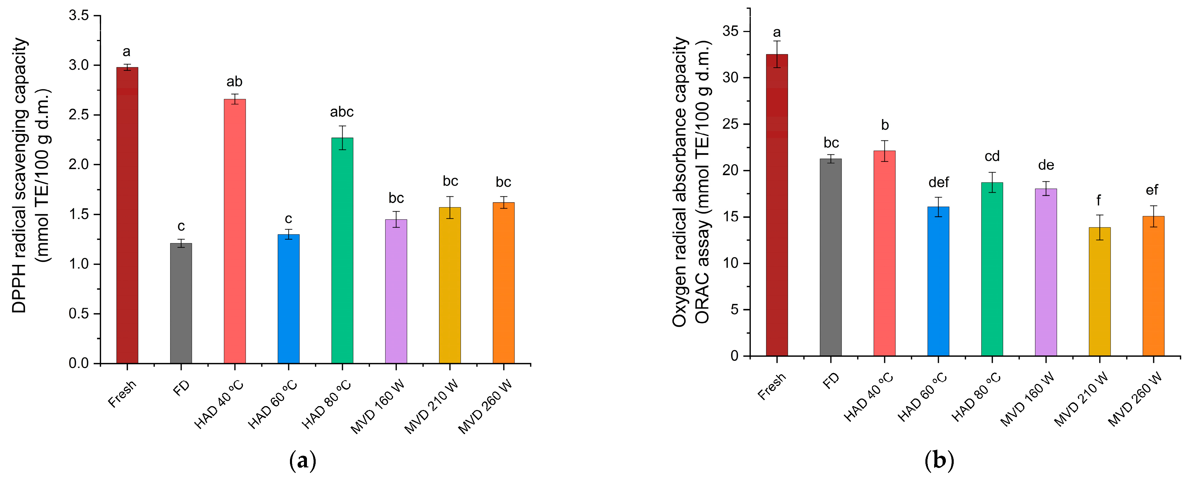
3.8. Antioxidant Activity of Aqueous Extracts from Fresh and Dried P. ostreatus Mushrooms
3.9. Content of Ergothioneine by HPLC in Aqueous Extracts of Fresh and Dried P. ostreatus Mushrooms
4. Conclusions
Author Contributions
Funding
Institutional Review Board Statement
Informed Consent Statement
Data Availability Statement
Acknowledgments
Conflicts of Interest
References
- Kalyoncu, F.; Oskay, M.; Kayalar, H. Antioxidant Activity of the Mycelium of 21 Wild Mushroom Species. Mycology 2010, 1, 195–199. [Google Scholar] [CrossRef]
- Kalač, P. A Review of Chemical Composition and Nutritional Value of Wild-Growing and Cultivated Mushrooms. J. Sci. Food Agric. 2013, 93, 209–218. [Google Scholar] [CrossRef] [PubMed]
- Kalogeropoulos, N.; Yanni, A.E.; Koutrotsios, G.; Aloupi, M. Bioactive Microconstituents and Antioxidant Properties of Wild Edible Mushrooms from the Island of Lesvos, Greece. Food Chem. Toxicol. 2013, 55, 378–385. [Google Scholar] [CrossRef] [PubMed]
- Sapozhnikova, Y.; Byrdwell, W.C.; Lobato, A.; Romig, B. Effects of UV-B Radiation Levels on Concentrations of Phytosterols, Ergothioneine, and Polyphenolic Compounds in Mushroom Powders Used as Dietary Supplements. J. Agric. Food Chem. 2014, 62, 3034–3042. [Google Scholar] [CrossRef]
- Kozarski, M.; Klaus, A.; Jakovljevic, D.; Todorovic, N.; Vunduk, J.; Petrović, P.; Niksic, M.; Vrvic, M.M.; Van Griensven, L. Antioxidants of Edible Mushrooms. Molecules 2015, 20, 19489–19525. [Google Scholar] [CrossRef]
- Dubost, N.J.; Ou, B.; Beelman, R.B. Quantification of Polyphenols and Ergothioneine in Cultivated Mushrooms and Correlation to Total Antioxidant Capacity. Food Chem. 2007, 105, 727–735. [Google Scholar] [CrossRef]
- Amirullah, N.A.; Abdullah, E.; Zainal Abidin, N.; Abdullah, N.; Manickam, S. Influence of Extraction Technologies on the Therapeutic Properties of Pleurotus Spp. (Oyster Mushrooms)—A Critical Review. Food Biosci. 2023, 56, 103352. [Google Scholar] [CrossRef]
- Zawadzka, A.; Janczewska, A.; Kobus-Cisowska, J.; Dziedziński, M.; Siwulski, M.; Czarniecka-Skubina, E.; Stuper-Szablewska, K. The Effect of Light Conditions on the Content of Selected Active Ingredients in Anatomical Parts of the Oyster Mushroom (Pleurotus ostreatus L.). PLoS ONE 2022, 17, e0262279. [Google Scholar] [CrossRef]
- Grangeia, C.; Heleno, S.A.; Barros, L.; Martins, A.; Ferreira, I.C.F.R. Effects of Trophism on Nutritional and Nutraceutical Potential of Wild Edible Mushrooms. Food Res. Int. 2011, 44, 1029–1035. [Google Scholar] [CrossRef]
- Hu, Y.; Chai, Q.; Wang, Y.; Chen, Y.; Dong, H.; Shen, J.; Qi, Y.; Yu, H.; Wang, F.; Wen, Q. Effects of Heat Stress and Exogenous Salicylic Acid on Secondary Metabolites Biosynthesis in Pleurotus ostreatus (Jacq.) P. Kumm. Life 2022, 12, 915. [Google Scholar] [CrossRef]
- Apati, G.P.; Furlan, S.A.; Laurindo, J.B. Drying and Rehydration of Oyster Mushroom. Braz. Arch. Biol. Technol. 2010, 53, 945–952. [Google Scholar] [CrossRef]
- Kotwaliwale, N.; Bakane, P.; Verma, A. Changes in Textural and Optical Properties of Oyster Mushroom during Hot Air Drying. J. Food Eng. 2007, 78, 1207–1211. [Google Scholar] [CrossRef]
- Shams, R.; Singh, J.; Dash, K.K.; Dar, A.H. Comparative Study of Freeze Drying and Cabinet Drying of Button Mushroom. Appl. Food Res. 2022, 2, 100084. [Google Scholar] [CrossRef]
- Tran, T.N.T.; Khoo, K.S.; Chew, K.W.; Phan, T.Q.; Nguyen, H.S.; Nguyen-Sy, T.; Nguyen, T.D.P.; Chen, W.H.; Show, P.L. Modelling Drying Kinetic of Oyster Mushroom Dehydration—The Optimization of Drying Conditions for Dehydratation of Pleurotus Species. Mater. Sci. Energy Technol. 2020, 3, 840–845. [Google Scholar] [CrossRef]
- Jaworska, G.; Pogoń, K.; Bernaś, E.; Skrzypczak, A. Effect of Different Drying Methods and 24-Month Storage on Water Activity, Rehydration Capacity, and Antioxidants in Boletus edulis Mushrooms. Dry. Technol. 2014, 32, 291–300. [Google Scholar] [CrossRef]
- Wang, H.; Zhang, M.; Mujumdar, A.S. Comparison of Three New Drying Methods for Drying Characteristics and Quality of Shiitake Mushroom (Lentinus edodes). Dry. Technol. 2014, 32, 1791–1802. [Google Scholar] [CrossRef]
- Giri, S.K.; Prasad, S. Drying Kinetics and Rehydration Characteristics of Microwave-Vacuum and Convective Hot-Air Dried Mushrooms. J. Food Eng. 2007, 78, 512–521. [Google Scholar] [CrossRef]
- González-Cavieres, L.; Pérez-Won, M.; Tabilo-Munizaga, G.; Jara-Quijada, E.; Díaz-Álvarez, R.; Lemus-Mondaca, R. Advances in Vacuum Microwave Drying (VMD) Systems for Food Products. Trends Food Sci. Technol. 2021, 116, 626–638. [Google Scholar] [CrossRef]
- Lin, X.; Lyng, J.; O’Donnell, C.; Sun, D.W. Effects of Dielectric Properties and Microstructures on Microwave-Vacuum Drying of Mushroom (Agaricus bisporus) Caps and Stipes Evaluated by Non-Destructive Techniques. Food Chem. 2022, 367, 130698. [Google Scholar] [CrossRef]
- Tian, Y.; Zhao, Y.; Huang, J.; Zeng, H.; Zheng, B. Effects of Different Drying Methods on the Product Quality and Volatile Compounds of Whole Shiitake Mushrooms. Food Chem. 2016, 197, 714–722. [Google Scholar] [CrossRef]
- Corrêa, R.C.G.; Brugnari, T.; Bracht, A.; Peralta, R.M.; Ferreira, I.C.F.R. Biotechnological, Nutritional and Therapeutic Uses of Pleurotus spp. (Oyster Mushroom) Related with Its Chemical Composition: A Review on the Past Decade Findings. Trends Food Sci. Technol. 2016, 50, 103–117. [Google Scholar] [CrossRef]
- Bhattacharya, M.; Srivastav, P.P.; Mishra, H.N. Optimization of Process Variables for Supercritical Fluid Extraction of Ergothioneine and Polyphenols from Pleurotus ostreatus and Correlation to Free-Radical Scavenging Activity. J. Supercrit. Fluids 2014, 95, 51–59. [Google Scholar] [CrossRef]
- Wang, H.J.; Pan, M.C.; Chang, C.K.; Chang, S.W.; Hsieh, C.W. Optimization of Ultrasonic-Assisted Extraction of Cordycepin from Cordyceps Militaris Using Orthogonal Experimental Design. Molecules 2014, 19, 20808–20820. [Google Scholar] [CrossRef] [PubMed]
- Zhao, Q.; Liu, X.; Cui, L.; Ma, C. Extraction and Bioactivities of the Chemical Composition from Pleurotus Ostreatus: A Review. J. Future Foods 2024, 4, 111–118. [Google Scholar] [CrossRef]
- Tamarit-Pino, Y.; Batías-Montes, J.M.; Segura-Ponce, L.A.; Díaz-Álvarez, R.E.; Guzmán-Meza, M.F.; Quevedo-León, R.A. Effect of Electrohydrodynamic Pretreatment on Drying Rate and Rehydration Properties of Chilean Sea Cucumber (Athyonidium chilensis). Food Bioprod. Process. 2020, 123, 284–295. [Google Scholar] [CrossRef]
- Kantrong, H.; Tansakul, A.; Mittal, G.S. Drying Characteristics and Quality of Shiitake Mushroom Undergoing Microwave-Vacuum Drying and Microwave-Vacuum Combined with Infrared Drying. J. Food Sci. Technol. 2014, 51, 3594–3608. [Google Scholar] [CrossRef]
- Hou, H.; Lu, X.; Du, H.; Chen, X.; Fang, D.; Fan, X.; Hu, Q.; Zhao, L. Effects of Pre-Cutting Treatments and Combination Drying with Different Orders on Drying Characteristics and Physicochemical Properties of Lentinula edodes. J. Sci. Food Agric. 2021, 101, 2063–2071. [Google Scholar] [CrossRef]
- Qiu, Y.; Bi, J.; Jin, X.; Wu, X.; Hu, L.; Chen, L. Investigation on the Rehydration Mechanism of Freeze-Dried and Hot-Air Dried Shiitake Mushrooms from Pores and Cell Wall Fibrous Material. Food Chem. 2022, 383, 132360. [Google Scholar] [CrossRef]
- Yavari, N.; Azizian, S. Mixed Diffusion and Relaxation Kinetics Model for Hydrogels Swelling. J. Mol. Liq. 2022, 363, 119861. [Google Scholar] [CrossRef]
- González, L.; Espinoza, V.; Tapia, M.; Aedo, V.; Ruiz, I.; Meléndrez, M.; Aguayo, C.; Atanase, L.I.; Fernández, K. Innovative Approach to Accelerate Wound Healing: Synthesis and Validation of Enzymatically Cross-Linked COL–RGO Biocomposite Hydrogels. Gels 2024, 10, 448. [Google Scholar] [CrossRef]
- Singleton, V.L.; Rossi, J.A. Colorimetry of Total Phenolics with Phosphomolybdic-Phosphotungstic Acid Reagents. Am. J. Enol. Vitic. 1965, 16, 144–158. [Google Scholar] [CrossRef]
- Brand-Williams, W.; Cuvelier, M.E.; Berset, C. Use of a Free Radical Method to Evaluate Antioxidant Activity. LWT Food Sci. Technol. 1995, 28, 25–30. [Google Scholar] [CrossRef]
- Ou, B.; Hampsch-Woodill, M.; Prior, R.L. Development and Validation of an Improved Oxygen Radical Absorbance Capacity Assay Using Fluorescein as the Fluorescent Probe. J. Agric. Food Chem. 2001, 49, 4619–4626. [Google Scholar] [CrossRef] [PubMed]
- Liang, Z.; Sang, M.; Fan, P.; Wu, B.; Wang, L.; Yang, S.; Li, S. CIELAB Coordinates in Response to Berry Skin Anthocyanins and Their Composition in Vitis. J. Food Sci. 2011, 76, C490–C497. [Google Scholar] [CrossRef]
- Piskov, S.; Timchenko, L.; Grimm, W.D.; Rzhepakovsky, I.; Avanesyan, S.; Sizonenko, M.; Kurchenko, V. Effects of Various Drying Methods on Some Physico-Chemical Properties and the Antioxidant Profile and ACE Inhibition Activity of Oyster Mushrooms (Pleurotus ostreatus). Foods 2020, 9, 160. [Google Scholar] [CrossRef]
- Ah-Hen, K.S.; Mathias-Rettig, K.; Gómez-Pérez, L.S.; Riquelme-Asenjo, G.; Lemus-Mondaca, R.; Muñoz-Fariña, O. Bioaccessibility of Bioactive Compounds and Antioxidant Activity in Murta (Ugni molinae T.) Berries Juices. J. Food Meas. Charact. 2018, 12, 602–615. [Google Scholar] [CrossRef]
- Izli, N.; Isik, E. Effect of Different Drying Methods on Drying Characteristics, Colour and Microstructure Properties of Mushroom. J. Food Nutr. Res. 2014, 53, 105–116. [Google Scholar]
- Guo, L.; Lan, N.; Li, H.; Xiang, P.; Kan, H. Effect of Hot Air Drying Temperature on the Quality and Antioxidant Activity of Boletus edulis Bull.: Fr. J. Food Process. Preserv. 2021, 45, e15540. [Google Scholar] [CrossRef]
- Sławińska, A.; Sołowiej, B.G.; Radzki, W.; Fornal, E. Wheat Bread Supplemented with Agaricus bisporus Powder: Effect on Bioactive Substances Content and Technological Quality. Foods 2022, 11, 3786. [Google Scholar] [CrossRef]
- Rodríguez, R.; Lombraña, J.I.; Kamel, M.; de Elvira, C. Kinetic and Quality Study of Mushroom Drying under Microwave and Vacuum. Dry. Technol. 2005, 23, 2197–2213. [Google Scholar] [CrossRef]
- Lei, Y.; Wang, W.; Zhang, C.; Wang, D.; Zhuang, W.; Zheng, B.; Lo, Y.M.; Tian, Y. Evaluation of the Chemical Qualities and Microstructural Changes of Lentinula edodes Caused by Airborne Ultrasonic Treatment Combined with Microwave Vacuum Drying. J. Food Sci. 2021, 86, 667–676. [Google Scholar] [CrossRef] [PubMed]
- Zhao, Y.; Gao, R.; Zhuang, W.; Xiao, J.; Zheng, B.; Tian, Y. Combined Single-Stage Tempering and Microwave Vacuum Drying of the Edible Mushroom Agrocybe chaxingu: Effects on Drying Characteristics and Physical-Chemical Qualities. LWT 2020, 128, 109372. [Google Scholar] [CrossRef]
- Gallo, M.; Ferrara, L.; Naviglio, D. Application of Ultrasound in Food Science and Technology: A Perspective. Foods 2018, 7, 164. [Google Scholar] [CrossRef] [PubMed]
- Effiong, M.E.; Umeokwochi, C.P.; Afolabi, I.S.; Chinedu, S.N. Comparative Antioxidant Activity and Phytochemical Content of Five Extracts of Pleurotus ostreatus (Oyster Mushroom). Sci. Rep. 2024, 14, 3794. [Google Scholar] [CrossRef] [PubMed]
- Elhusseiny, S.M.; El-Mahdy, T.S.; Awad, M.F.; Elleboudy, N.S.; Farag, M.M.S.; Yassein, M.A.; Aboshanab, K.M. Proteome Analysis and in Vitro Antiviral, Anticancer and Antioxidant Capacities of the Aqueous Extracts of Lentinula edodes and Pleurotus ostreatus Edible Mushrooms. Molecules 2021, 26, 4623. [Google Scholar] [CrossRef] [PubMed]
- Hirun, S.; Utama-ang, N.; Roach, P.D. Turmeric (Curcuma longa L.) Drying: An Optimization Approach Using Microwave-Vacuum Drying. J. Food Sci. Technol. 2014, 51, 2127–2133. [Google Scholar] [CrossRef]
- Kido, S.; Chosa, E.; Tanaka, R. The Effect of Six Dried and UV-C-Irradiated Mushrooms Powder on Lipid Oxidation and Vitamin D Contents of Fish Meat. Food Chem. 2023, 398, 133917. [Google Scholar] [CrossRef]
- Kalač, P. Chemical Composition and Nutritional Value of European Species of Wild Growing Mushrooms: A Review. Food Chem. 2009, 113, 9–16. [Google Scholar] [CrossRef]
- Kim, M.Y.; Seguin, P.; Ahn, J.K.; Kim, J.J.; Chun, S.C.; Kim, E.H.; Seo, S.H.; Kang, E.Y.; Kim, S.L.; Park, Y.J.; et al. Phenolic Compound Concentration and Antioxidant Activities of Edible and Medicinal Mushrooms from Korea. J. Agric. Food Chem. 2008, 56, 7265–7270. [Google Scholar] [CrossRef]
- Machado-Carvalho, L.; Martins, T.; Aires, A.; Marques, G. Optimization of Phenolic Compounds Extraction and Antioxidant Activity from Inonotus hispidus Using Ultrasound-Assisted Extraction Technology. Metabolites 2023, 13, 524. [Google Scholar] [CrossRef]
- Palacios, I.; Lozano, M.; Moro, C.; D’Arrigo, M.; Rostagno, M.A.; Martínez, J.A.; García-Lafuente, A.; Guillamón, E.; Villares, A. Antioxidant Properties of Phenolic Compounds Occurring in Edible Mushrooms. Food Chem. 2011, 128, 674–678. [Google Scholar] [CrossRef]
- Chen, S.Y.; Ho, K.J.; Hsieh, Y.J.; Wang, L.T.; Mau, J.L. Contents of Lovastatin, γ-Aminobutyric Acid and Ergothioneine in Mushroom Fruiting Bodies and Mycelia. LWT 2012, 47, 274–278. [Google Scholar] [CrossRef]
- Zhang, C.; Xie, Y.; Liu, D.; Liu, R.; Han, J. Effects of Drying Process and High Hydrostatic Pressure on Extraction of Antioxidant Ergothioneine from Pleurotus citrinopileatus Singer. Foods 2024, 13, 878. [Google Scholar] [CrossRef] [PubMed]
- Tsai, S.-Y.; Chen, Z.-Y. Influence of Cold Storage and Processing of Edible Mushroom on Ergothioneine Concentration. ETP Int. J. Food Eng. 2019, 5, 159–163. [Google Scholar] [CrossRef]
- Pratti, P.G.; da Silva Pinho Junior, J.; de Lima Petito, N.; da Silva, B.D.; Conte-Junior, C.A.; Branco, V.N.C.; de Lima Araújo, K.G.; Domingues, J.R. Effect of Hot Air-Drying and Pasteurization on Ergothioneine Content in Edible Mushrooms. J. Food Compos. Anal. 2024, 126, 105865. [Google Scholar] [CrossRef]












| Conservation Status | L* | a* | b* | ΔE |
|---|---|---|---|---|
| Fresh | 51.23 ± 0.83 f | −0.86 ± 0.04 a | 11.32 ± 0.33 b | 52.48 ± 0.89 e |
| FD | 46.88 ± 0.82 e | −1.34 ± 0.15 a | 15.15 ± 0.32 c | 49.29 ± 0.68 d |
| HAD 40 °C | 23.74 ± 1.22 d | 2.45 ± 0.03 e | 16.76 ± 0.54 d | 29.16 ± 1.28 c |
| HAD 60 °C | 15.21 ± 0.49 b | 1.81 ± 0.11 cd | 11.02 ± 0.29 b | 18.87 ± 0.58 a |
| HAD 80 °C | 12.22 ± 0.95 a | 3.98 ± 0.09 f | 11.44 ± 0.39 b | 17.22 ± 0.92 a |
| MVD 160 W | 18.07 ± 0.30 c | 1.99 ± 0.06 d | 15.64 ± 0.05 cd | 23.98 ± 0.26 b |
| MVD 210 W | 15.76 ± 0.59 bc | 1.48 ± 0.37 bc | 11.13 ± 0.91 b | 19.36 ± 1.03 a |
| MVD 260 W | 21.61 ± 1.12 d | 1.22 ± 0.18 b | 8.97 ± 0.27 a | 23.43 ± 1.14 b |
| Drying Processes | Peppas | ||
|---|---|---|---|
| k | n | R2 | |
| FD | |||
| HAD 40 °C | 0.7476 | 0.40 | 97.46 |
| HAD 60 °C | 0.6098 | 0.55 | 99.24 |
| HAD 80 °C | 0.5344 | 0.33 | 89.80 |
| MVD 160 W | 0.5920 | 0.40 | 99.97 |
| MVD 210 W | 0.4869 | 0.70 | 99.97 |
| MVD 260 W | 0.4348 | 0.46 | 94.65 |
| Run a | Block | Temperature (X1) (°C) | Time (X2) (min) | Solvent (X3) (%) | Total Soluble Phenolic Content b (Y) (mg GAE/g d.m.) |
|---|---|---|---|---|---|
| 1 | 1 | 65 | 60 | 0 | 11.80 ± 1.11 |
| 2 | 1 | 65 | 30 | 50 | 15.42 ± 1.68 |
| 3 | 1 | 50 | 90 | 50 | 8.87 ± 1.45 |
| 4 | 1 | 50 | 30 | 0 | 7.04 ± 0.43 |
| 5 | 1 | 80 | 90 | 0 | 10.20 ± 1.73 |
| 6 | 1 | 80 | 60 | 50 | 11.66 ± 2.33 |
| 7 | 1 | 80 | 30 | 100 | 14.89 ± 1.59 |
| 8 | 1 | 50 | 60 | 100 | 12.87 ± 1.59 |
| 9 | 1 | 65 | 90 | 100 | 19.03 ± 3.11 |
| 10 | 1 | 65 | 60 | 50 | 13.21 ± 1.21 |
| 11 | 2 | 65 | 90 | 50 | 14.04 ± 1.27 |
| 12 | 2 | 65 | 60 | 50 | 15.32 ± 2.87 |
| 13 | 2 | 80 | 60 | 0 | 10.10 ± 2.26 |
| 14 | 2 | 50 | 30 | 100 | 14.12 ± 0.35 |
| 15 | 2 | 50 | 60 | 50 | 9.26 ± 1.90 |
| 16 | 2 | 80 | 90 | 100 | 16.46 ± 1.59 |
| 17 | 2 | 50 | 90 | 0 | 6.71 ± 1.61 |
| 18 | 2 | 65 | 60 | 100 | 19.08 ± 1.68 |
| 19 | 2 | 65 | 30 | 0 | 11.68 ± 0.70 |
| 20 | 2 | 80 | 30 | 50 | 11.71 ± 1.73 |
| 21 | 3 | 65 | 90 | 0 | 11.46 ± 2.12 |
| 22 | 3 | 50 | 30 | 50 | 10.21 ± 1.63 |
| 23 | 3 | 65 | 60 | 50 | 12.37 ± 2.20 |
| 24 | 3 | 80 | 30 | 0 | 10.05 ± 1.44 |
| 25 | 3 | 80 | 60 | 100 | 15.72 ± 0.68 |
| 26 | 3 | 65 | 60 | 50 | 14.30 ± 1.60 |
| 27 | 3 | 65 | 30 | 100 | 19.51 ± 1.81 |
| 28 | 3 | 80 | 90 | 50 | 13.45 ± 1.35 |
| 29 | 3 | 50 | 90 | 100 | 14.42 ± 0.93 |
| 30 | 3 | 50 | 60 | 0 | 6.03 ± 1.17 |
| Variables | p—Value |
|---|---|
| X1: Temperature (°C) | 0.0000 * |
| X2: Time (min) | 0.9976 |
| X3: Solvent (%) | 0.0000 * |
| X12 | 0.0000 * |
| X1X2 | 0.0837 |
| X1X3 | 0.0791 |
| X22 | 0.0691 |
| X2X3 | 0.5060 |
| X32 | 0.0073 * |
Disclaimer/Publisher’s Note: The statements, opinions and data contained in all publications are solely those of the individual author(s) and contributor(s) and not of MDPI and/or the editor(s). MDPI and/or the editor(s) disclaim responsibility for any injury to people or property resulting from any ideas, methods, instructions or products referred to in the content. |
© 2024 by the authors. Licensee MDPI, Basel, Switzerland. This article is an open access article distributed under the terms and conditions of the Creative Commons Attribution (CC BY) license (https://creativecommons.org/licenses/by/4.0/).
Share and Cite
Villalobos-Pezos, M.; Muñoz-Fariña, O.; Ah-Hen, K.S.; Garrido-Figueroa, M.F.; García-Figueroa, O.; González-Esparza, A.; González-Pérez de Medina, L.; Bastías-Montes, J.M. Optimization of Phenolic Content Extraction and Effects of Drying Treatments on Physicochemical Characteristics and Antioxidant Properties of Edible Mushroom Pleurotus ostreatus (Jacq.) P. Kumm (Oyster Mushroom). Antioxidants 2024, 13, 1581. https://doi.org/10.3390/antiox13121581
Villalobos-Pezos M, Muñoz-Fariña O, Ah-Hen KS, Garrido-Figueroa MF, García-Figueroa O, González-Esparza A, González-Pérez de Medina L, Bastías-Montes JM. Optimization of Phenolic Content Extraction and Effects of Drying Treatments on Physicochemical Characteristics and Antioxidant Properties of Edible Mushroom Pleurotus ostreatus (Jacq.) P. Kumm (Oyster Mushroom). Antioxidants. 2024; 13(12):1581. https://doi.org/10.3390/antiox13121581
Chicago/Turabian StyleVillalobos-Pezos, Marcelo, Ociel Muñoz-Fariña, Kong Shun Ah-Hen, María Fernanda Garrido-Figueroa, Olga García-Figueroa, Alexandra González-Esparza, Luisbel González-Pérez de Medina, and José Miguel Bastías-Montes. 2024. "Optimization of Phenolic Content Extraction and Effects of Drying Treatments on Physicochemical Characteristics and Antioxidant Properties of Edible Mushroom Pleurotus ostreatus (Jacq.) P. Kumm (Oyster Mushroom)" Antioxidants 13, no. 12: 1581. https://doi.org/10.3390/antiox13121581
APA StyleVillalobos-Pezos, M., Muñoz-Fariña, O., Ah-Hen, K. S., Garrido-Figueroa, M. F., García-Figueroa, O., González-Esparza, A., González-Pérez de Medina, L., & Bastías-Montes, J. M. (2024). Optimization of Phenolic Content Extraction and Effects of Drying Treatments on Physicochemical Characteristics and Antioxidant Properties of Edible Mushroom Pleurotus ostreatus (Jacq.) P. Kumm (Oyster Mushroom). Antioxidants, 13(12), 1581. https://doi.org/10.3390/antiox13121581

