First Report on Cationic Triphenylphosphonium Compounds as Mitochondriotropic H3R Ligands with Antioxidant Properties
Abstract
1. Introduction
2. Materials and Methods
2.1. Chemistry
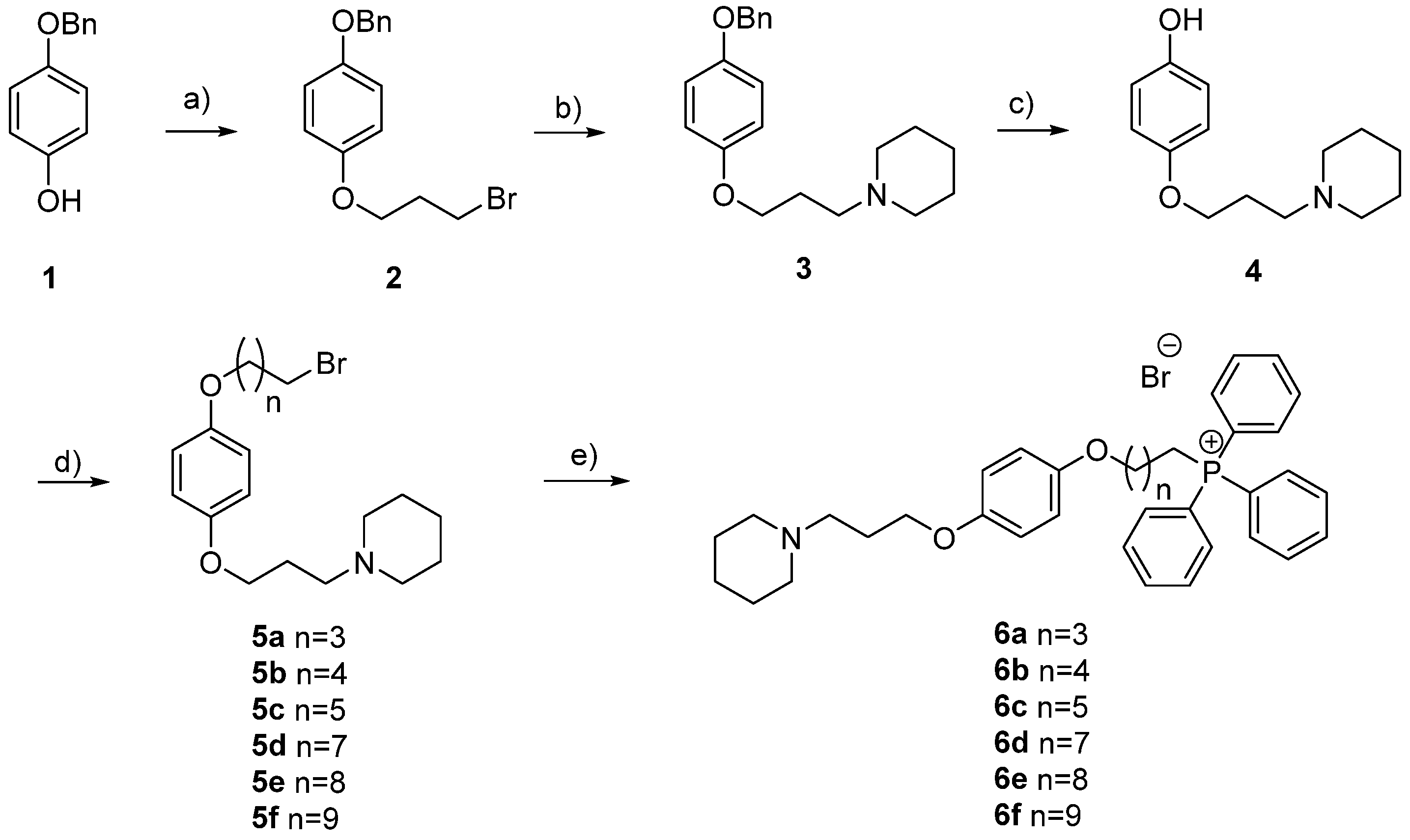
2.1.1. Synthesis of 1-(benzyloxy)-4-(3-bromopropoxy)benzene (2)
2.1.2. Synthesis of 1-(3-(4-(benzyloxy)phenoxy)propyl)piperidine (3)
2.1.3. Synthesis of 4-(3-(piperidin-1-yl)propoxy)phenol (4)
2.1.4. General Procedure for the Preparation of Derivatives 5a–f
2.1.5. General Procedure for the Preparation of Derivatives 6a–f
2.2. hH3R Radioligand Displacement Assay
2.3. Cytotoxic Effects on SH-SY5Y Cells After 24 h
2.4. Antioxidant Properties
2.5. Simulation Ligand–Protein System
2.5.1. Ligand and Protein Preparation
2.5.2. Induced-Fit Docking
2.5.3. Molecular Dynamics
3. Results and Discussion
3.1. Chemistry
3.2. Biological Evaluation
3.3. Molecular Docking
3.4. Molecular Dynamics
4. Conclusions
Supplementary Materials
Author Contributions
Funding
Institutional Review Board Statement
Informed Consent Statement
Data Availability Statement
Acknowledgments
Conflicts of Interest
References
- Guzior, N.; Wieckowska, A.; Panek, D.; Malawska, B. Recent development of multifunctional agents as potential drug candidates for the treatment of Alzheimer’s disease. Curr. Med. Chem. 2015, 22, 373–404. [Google Scholar] [CrossRef] [PubMed]
- Chen, X.; Guo, C.; Kong, J. Oxidative stress in neurodegenerative diseases. Neural Regen. Res. 2012, 7, 376–385. [Google Scholar] [CrossRef] [PubMed]
- Andersen, J.K. Oxidative stress in neurodegeneration: Cause or consequence? Nat. Med. 2004, 10, S18–S25. [Google Scholar] [CrossRef] [PubMed]
- Ray, P.D.; Huang, B.W.; Tsuji, Y. Reactive oxygen species (ROS) homeostasis and redox regulation in cellular signaling. Cell Signal 2012, 24, 981–990. [Google Scholar] [CrossRef]
- Rahal, A.; Kumar, A.; Singh, V.; Yadav, B.; Tiwari, R.; Chakraborty, S.; Dhama, K. Oxidative stress, prooxidants, and antioxidants: The interplay. Biomed. Res. Int. 2014, 2014, 761264. [Google Scholar] [CrossRef]
- Johri, A.; Beal, M.F. Mitochondrial dysfunction in neurodegenerative diseases. J. Pharmacol. Exp. Ther. 2012, 342, 619–630. [Google Scholar] [CrossRef]
- Xu, J.; Du, W.; Zhao, Y.; Lim, K.; Lu, L.; Zhang, C.; Li, L. Mitochondria targeting drugs for neurodegenerative diseases-Design, mechanism and application. Acta Pharm. Sin. B 2022, 12, 2778–2789. [Google Scholar] [CrossRef]
- Lezi, E.; Swerdlow, R.H. Mitochondria in neurodegeneration. Adv. Exp. Med. Biol. 2012, 942, 269–286. [Google Scholar] [CrossRef]
- Zielonka, J.; Joseph, J.; Sikora, A.; Hardy, M.; Ouari, O.; Vasquez-Vivar, J.; Cheng, G.; Lopez, M.; Kalyanaraman, B. Mitochondria-Targeted Triphenylphosphonium-Based Compounds: Syntheses, Mechanisms of Action, and Therapeutic and Diagnostic Applications. Chem. Rev. 2017, 117, 10043–10120. [Google Scholar] [CrossRef]
- Heller, A.; Brockhoff, G.; Goepferich, A. Targeting drugs to mitochondria. Eur. J. Pharm. Biopharm. 2012, 82, 1–18. [Google Scholar] [CrossRef]
- Murphy, M.P. Targeting lipophilic cations to mitochondria. Biochim. Biophys. Acta 2008, 1777, 1028–1031. [Google Scholar] [CrossRef] [PubMed]
- Benfeito, S.; Oliveira, C.; Fernandes, C.; Cagide, F.; Teixeira, J.; Amorim, R.; Garrido, J.; Martins, C.; Sarmento, B.; Silva, R.; et al. Fine-tuning the neuroprotective and blood-brain barrier permeability profile of multi-target agents designed to prevent progressive mitochondrial dysfunction. Eur. Med. Chem. 2019, 167, 525–545. [Google Scholar] [CrossRef] [PubMed]
- Benfeito, S.; Fernandes, C.; Vilar, S.; Remião, F.; Uriarte, E.; Borges, F. Exploring the Multi-Target Performance of Mitochondriotropic Antioxidants against the Pivotal Alzheimer’s Disease Pathophysiological Hallmarks. Molecules 2020, 25, 276. [Google Scholar] [CrossRef] [PubMed]
- Trnka, J.; Elkalaf, M.; Anděl, M. Lipophilic Triphenylphosphonium Cations Inhibit Mitochondrial Electron Transport Chain and Induce Mitochondrial Proton Leak. PLoS ONE 2015, 10, e0121837. [Google Scholar] [CrossRef]
- Panula, P.; Chazot, P.L.; Cowart, M.; Gutzmer, R.; Leurs, R.; Liu, W.L.; Stark, H.; Thurmond, R.L.; Haas, H.L. International Union of Basic and Clinical Pharmacology. XCVIII. Histamine Receptors. Pharmacol. Rev. 2015, 67, 601–655. [Google Scholar] [CrossRef]
- Schlicker, E.; Kathmann, M. Role of the Histamine H(3) Receptor in the Central Nervous System. Handb. Exp. Pharmacol. 2017, 241, 277–299. [Google Scholar] [CrossRef]
- Gao, M.; Ooms, J.F.; Leurs, R.; Vischer, H.F. Histamine H3 Receptor Isoforms: Insights from Alternative Splicing to Functional Complexity. Biomolecules 2024, 14, 761. [Google Scholar] [CrossRef]
- Łażewska, D.; Bajda, M.; Kaleta, M.; Zaręba, P.; Doroz-Płonka, A.; Siwek, A.; Alachkar, A.; Mogilski, S.; Saad, A.; Kuder, K.; et al. Rational design of new multitarget histamine H(3) receptor ligands as potential candidates for treatment of Alzheimer’s disease. Eur. J. Med. Chem. 2020, 207, 112743. [Google Scholar] [CrossRef]
- Wang, D.; Hu, M.; Li, X.; Zhang, D.; Chen, C.; Fu, J.; Shao, S.; Shi, G.; Zhou, Y.; Wu, S.; et al. Design, synthesis, and evaluation of isoflavone analogs as multifunctional agents for the treatment of Alzheimer’s disease. Eur. J. Med. Chem. 2019, 168, 207–220. [Google Scholar] [CrossRef]
- Labeeuw, O.; Levoin, N.; Poupardin-Olivier, O.; Calmels, T.; Ligneau, X.; Berrebi-Bertrand, I.; Robert, P.; Lecomte, J.-M.; Schwartz, J.-C.; Capet, M. Novel and highly potent histamine H3 receptor ligands. Part 3: An alcohol function to improve the pharmacokinetic profile. Bioorg. Med. Chem. Lett. 2013, 23, 2548–2554. [Google Scholar] [CrossRef]
- Bautista-Aguilera, Ó.M.; Hagenow, S.; Palomino-Antolin, A.; Farré-Alins, V.; Ismaili, L.; Joffrin, P.L.; Jimeno, M.L.; Soukup, O.; Janočková, J.; Kalinowsky, L.; et al. Multitarget-Directed Ligands Combining Cholinesterase and Monoamine Oxidase Inhibition with Histamine H(3) R Antagonism for Neurodegenerative Diseases. Angew. Chem. Int. Ed. Engl. 2017, 56, 12765–12769. [Google Scholar] [CrossRef] [PubMed]
- Khan, N.; Saad, A.; Nurulain, S.M.; Darras, F.H.; Decker, M.; Sadek, B. The dual-acting H3 receptor antagonist and AChE inhibitor UW-MD-71 dose-dependently enhances memory retrieval and reverses dizocilpine-induced memory impairment in rats. Behav. Brain Res. 2016, 297, 155–164. [Google Scholar] [CrossRef] [PubMed]
- Dou, F.; Cao, X.; Jing, P.; Wu, C.; Zhang, Y.; Chen, Y.; Zhang, G. Synthesis and evaluation of histamine H(3) receptor ligand based on lactam scaffold as agents for treating neuropathic pain. Bioorg. Med. Chem. Lett. 2019, 29, 1492–1496. [Google Scholar] [CrossRef] [PubMed]
- Kuder, K.J.; Kotańska, M.; Szczepańska, K.; Mika, K.; Reiner-Link, D.; Stark, H.; Kieć-Kononowicz, K. Discovery of Potential, Dual-Active Histamine H3 Receptor Ligands with Combined Antioxidant Properties. Molecules 2021, 26, 2300. [Google Scholar] [CrossRef]
- Kottke, T.; Sander, K.; Weizel, L.; Schneider, E.H.; Seifert, R.; Stark, H. Receptor-specific functional efficacies of alkyl imidazoles as dual histamine H3/H4 receptor ligands. Eur. J. Pharmacol. 2011, 654, 200–208. [Google Scholar] [CrossRef]
- White, M.J.; DiCaprio, M.J.; Greenberg, D.A. Assessment of neuronal viability with Alamar blue in cortical and granule cell cultures. J. Neurosci. Methods 1996, 70, 195–200. [Google Scholar] [CrossRef]
- Ou, B.; Hampsch-Woodill, M.; Prior, R.L. Development and validation of an improved oxygen radical absorbance capacity assay using fluorescein as the fluorescent probe. J. Agric. Food Chem. 2001, 49, 4619–4626. [Google Scholar] [CrossRef]
- Nenadis, N.; Lazaridou, O.; Tsimidou, M.Z. Use of reference compounds in antioxidant activity assessment. J. Agric. Food Chem. 2007, 55, 5452–5460. [Google Scholar] [CrossRef]
- Hawkins, P.C.; Skillman, A.G.; Warren, G.L.; Ellingson, B.A.; Stahl, M.T. Conformer generation with OMEGA: Algorithm and validation using high quality structures from the Protein Databank and Cambridge Structural Database. J. Chem. Inf. Model. 2010, 50, 572–584. [Google Scholar] [CrossRef]
- Peng, X.; Yang, L.; Liu, Z.; Lou, S.; Mei, S.; Li, M.; Chen, Z.; Zhang, H. Structural basis for recognition of antihistamine drug by human histamine receptor. Nat. Commun. 2022, 13, 6105. [Google Scholar] [CrossRef]
- Lu, C.; Wu, C.; Ghoreishi, D.; Chen, W.; Wang, L.; Damm, W.; Ross, G.A.; Dahlgren, M.K.; Russell, E.; Von Bargen, C.D.; et al. OPLS4: Improving Force Field Accuracy on Challenging Regimes of Chemical Space. J. Chem. Theory Comput. 2021, 17, 4291–4300. [Google Scholar] [CrossRef]
- Shankaraiah, N.; Nekkanti, S.; Brahma, U.R.; Praveen Kumar, N.; Deshpande, N.; Prasanna, D.; Senwar, K.R.; Jaya Lakshmi, U. Synthesis of different heterocycles-linked chalcone conjugates as cytotoxic agents and tubulin polymerization inhibitors. Bioorg. Med. Chem. 2017, 25, 4805–4816. [Google Scholar] [CrossRef] [PubMed]
- Tang, Z.; Feng, J.; Challa, M.; Rowthu, S.R.; Xiong, S.; Zou, C.; Li, J.; Verma, C.S.; Peng, H.; He, X.; et al. Discovery of novel Thymol-TPP antibiotics that eradicate MRSA persisters. Eur. J. Med. Chem. 2024, 270, 116381. [Google Scholar] [CrossRef] [PubMed]
- Khanfar, M.A.; Reiner, D.; Hagenow, S.; Stark, H. Design, synthesis, and biological evaluation of novel oxadiazole- and thiazole-based histamine H3R ligands. Bioorg. Med. Chem. 2018, 26, 4034–4046. [Google Scholar] [CrossRef] [PubMed]
- Lamb, Y.N. Pitolisant: A Review in Narcolepsy with or without Cataplexy. CNS Drugs 2020, 34, 207–218. [Google Scholar] [CrossRef]
- Niki, E. Assessment of Antioxidant Capacity in vitro and in vivo. Free Radic. Biol. Med. 2010, 49, 503–515. [Google Scholar] [CrossRef]
- Bowers, K.J.; Chow, E.; Xu, H.; Dror, R.O.; Eastwood, M.P.; Gregersen, B.A.; Klepeis, J.L.; Kolossvary, I.; Moraes, M.A.; Sacerdoti, F.D.; et al. Scalable Algorithms for Molecular Dynamics Simulations on Commodity Clusters. In Proceedings of the 2006 ACM/IEEE Conference on Supercomputing, Tampa, FL, USA, 11–17 November 2006; p. 43. [Google Scholar] [CrossRef]
- Genheden, S.; Ryde, U. The MM/PBSA and MM/GBSA methods to estimate ligand-binding affinities. Expert Opin. Drug Discov. 2015, 10, 449–461. [Google Scholar] [CrossRef]
- Greenidge, P.A.; Kramer, C.; Mozziconacci, J.-C.; Sherman, W. Improving Docking Results via Reranking of Ensembles of Ligand Poses in Multiple X-ray Protein Conformations with MM-GBSA. J. Chem. Inf. Model. 2014, 54, 2697–2717. [Google Scholar] [CrossRef]
- Schrödinger Release 2021-1: Protein Preparation Wizard; Epik|Schrödinger: New York, NY, USA; Impact|Schrödinger: New York, NY, USA; Prime|Schrödinger: New York, NY, USA, 2021.






![]() | ||||
|---|---|---|---|---|
| Compound | n | hH3R Ki [nM] a | ORAC [TE] b | LC50 [µM] c |
| 6a | 3 | 32.0 [14.6; 70.0] | 1.04 ± 0.03 | 40.0 [25.1; 63.6] |
| 6b | 4 | 17.6 [6.27; 49.4] | 0.70 ± 0.01 | 21.8 [8.78; 54.2] |
| 6c | 5 | 31.5 [19.4; 51.3] | 0.54 ± 0.03 | 11.2 [6.03; 20.8] |
| 6d | 7 | 20.4 [10.9; 38.4] | 0.89 ± 0.16 | 2.69 [1.40; 5.16] |
| 6e | 8 | 14.1 [6.30; 31.7] | 1.07 ± 0.06 | 0.91 [0.36; 2.28] |
| 6f | 9 | 67.4 [32.4; 140] | 0.59 ± 0.06 | 2.61 [1.34; 5.08] |
| Pitolisant | 13.2 [3.20; 54.1] | n.d. | n.d. | |
| Caffeic acid | n.d. | 3.08 ± 0.13 | n.d. | |
| Compound | Ki (nM) | pKi | IFD Score (kcal/mol) |
|---|---|---|---|
| 6a | 32.0 | 7.495 | −11.343 |
| 6b | 17.6 | 7.754 | −12.624 |
| 6c | 31.5 | 7.502 | −12.204 |
| 6d | 20.4 | 7.690 | −13.339 |
| 6e | 14.1 | 7.851 | −14.378 |
| 6f | 67.4 | 7.171 | −10.433 |
| Pitolisant | 13.2 | −15.324 | |
| PF-03654746 | 3.2 * | −15.321 |
Disclaimer/Publisher’s Note: The statements, opinions and data contained in all publications are solely those of the individual author(s) and contributor(s) and not of MDPI and/or the editor(s). MDPI and/or the editor(s) disclaim responsibility for any injury to people or property resulting from any ideas, methods, instructions or products referred to in the content. |
© 2024 by the authors. Licensee MDPI, Basel, Switzerland. This article is an open access article distributed under the terms and conditions of the Creative Commons Attribution (CC BY) license (https://creativecommons.org/licenses/by/4.0/).
Share and Cite
Werner, T.; Añazco, T.; Osses-Mendoza, P.; Castro-Álvarez, A.; Salas, C.O.; Bridi, R.; Stark, H.; Espinosa-Bustos, C. First Report on Cationic Triphenylphosphonium Compounds as Mitochondriotropic H3R Ligands with Antioxidant Properties. Antioxidants 2024, 13, 1345. https://doi.org/10.3390/antiox13111345
Werner T, Añazco T, Osses-Mendoza P, Castro-Álvarez A, Salas CO, Bridi R, Stark H, Espinosa-Bustos C. First Report on Cationic Triphenylphosphonium Compounds as Mitochondriotropic H3R Ligands with Antioxidant Properties. Antioxidants. 2024; 13(11):1345. https://doi.org/10.3390/antiox13111345
Chicago/Turabian StyleWerner, Tobias, Tito Añazco, Paula Osses-Mendoza, Alejandro Castro-Álvarez, Cristian O. Salas, Raquel Bridi, Holger Stark, and Christian Espinosa-Bustos. 2024. "First Report on Cationic Triphenylphosphonium Compounds as Mitochondriotropic H3R Ligands with Antioxidant Properties" Antioxidants 13, no. 11: 1345. https://doi.org/10.3390/antiox13111345
APA StyleWerner, T., Añazco, T., Osses-Mendoza, P., Castro-Álvarez, A., Salas, C. O., Bridi, R., Stark, H., & Espinosa-Bustos, C. (2024). First Report on Cationic Triphenylphosphonium Compounds as Mitochondriotropic H3R Ligands with Antioxidant Properties. Antioxidants, 13(11), 1345. https://doi.org/10.3390/antiox13111345


