Curcumin’s Radioprotective Effects on Zebrafish Embryos
Abstract
1. Introduction
2. Materials and Methods
2.1. Zebrafish Care and Mating
2.2. Embryo Treatments
2.3. Curcumin Preparation, Treatment, and Detection
2.4. Radiation Setting and Treatment
2.5. Combined Treatment
2.6. Survival and Morphological Analysis
2.7. Hatching and Heart Rate Detection
2.8. Behavioral Analysis
2.9. RNA Extraction, Reverse Transcription, and Real-Time Quantitative PCR
2.10. Statistical Analysis
3. Results
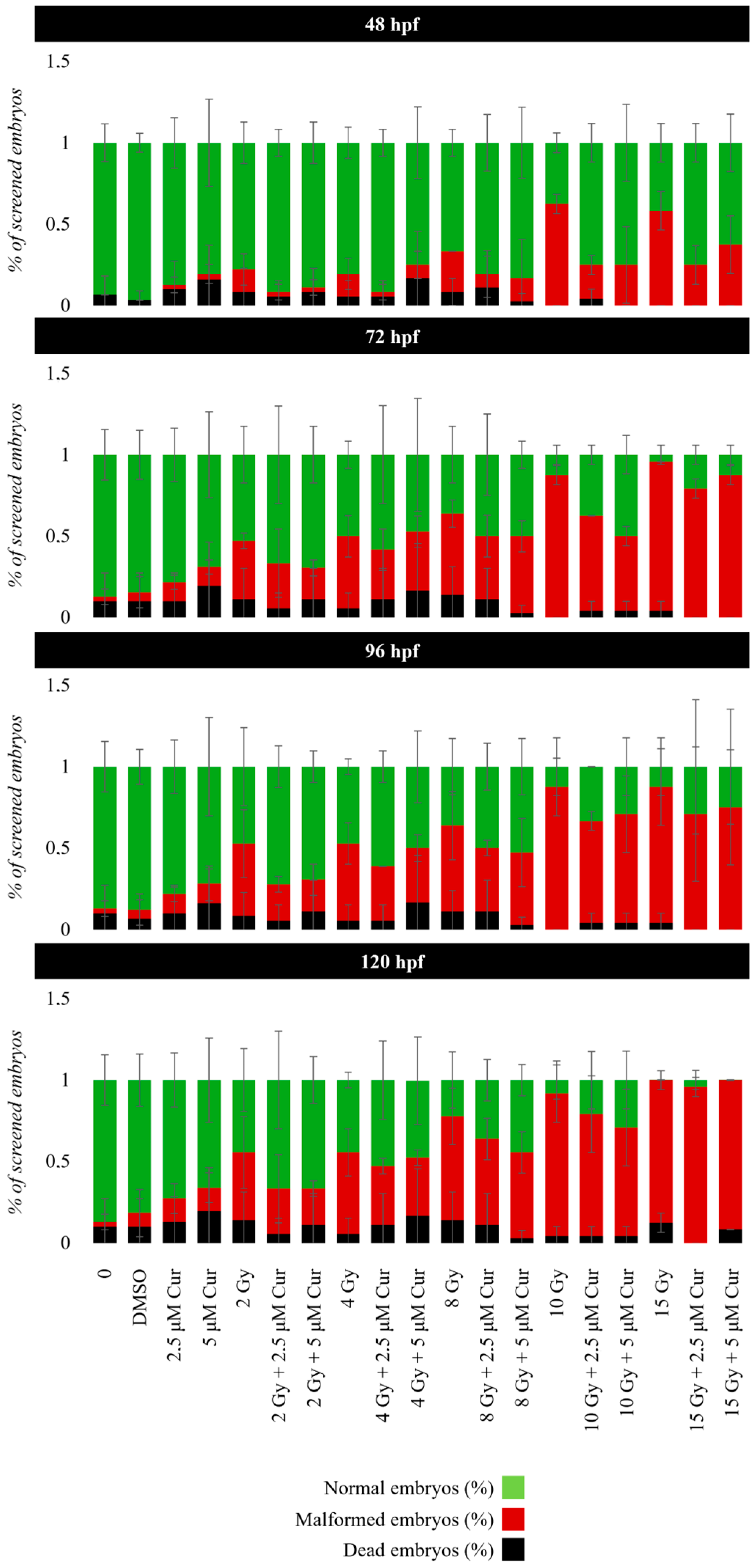
3.1. The Evaluation of Curcumin Absorption and Toxicity on Zebrafish Embryos
3.2. Irradiation Treatment with Conventional X-Rays
3.3. Curcumin and X-Rays Combined Treatment
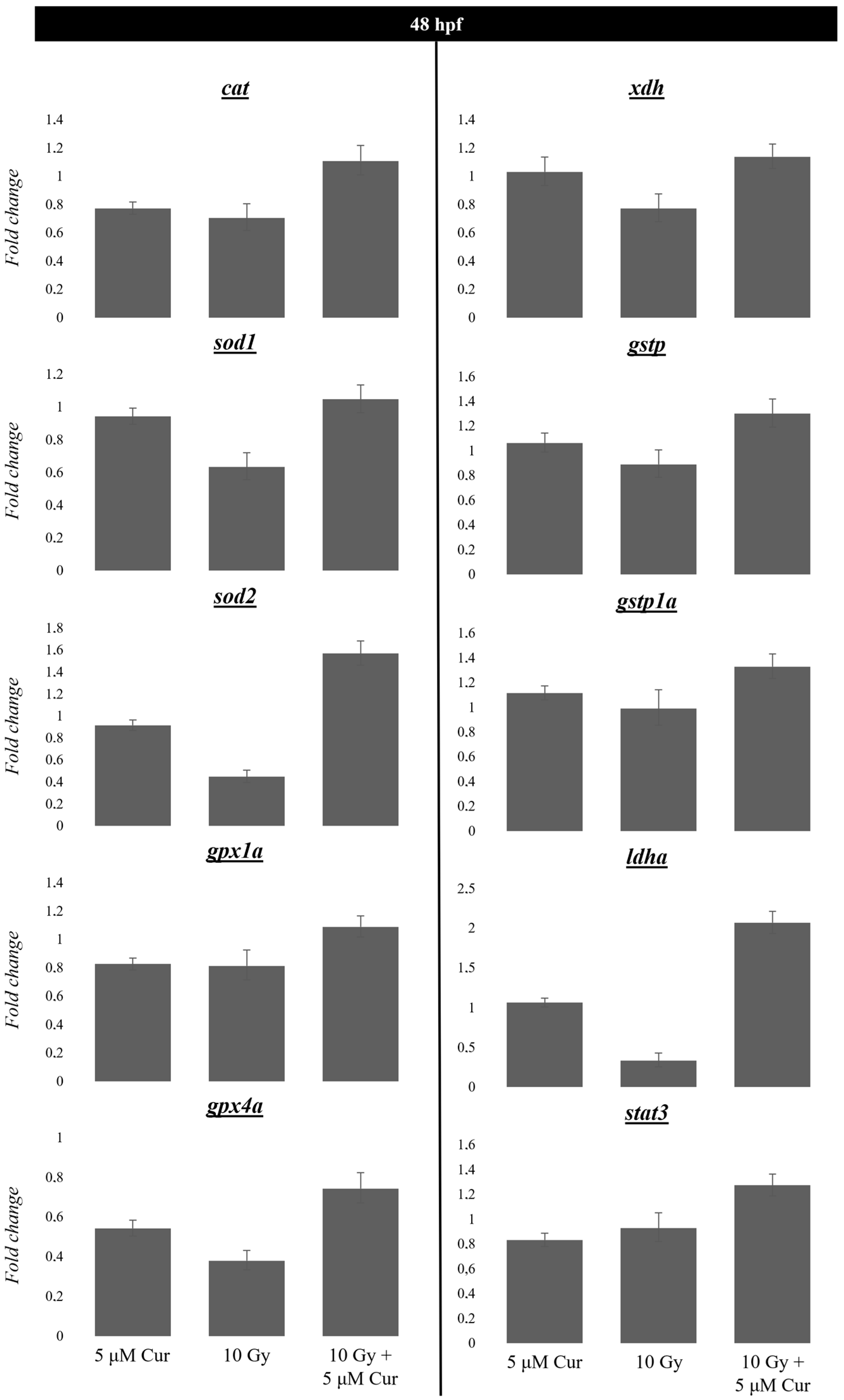
3.4. Gene Expression Analysis of Genes Involved in Oxidative Stress Balance in Response to X-Rays Alone or in Combination
4. Discussion
5. Conclusions
Supplementary Materials
Author Contributions
Funding
Institutional Review Board Statement
Informed Consent Statement
Data Availability Statement
Acknowledgments
Conflicts of Interest
References
- Baskar, R.; Dai, J.; Wenlong, N.; Yeo, R.; Yeoh, K.W. Biological response of cancer cells to radiation treatment. Front. Mol. Biosci. 2014, 1, 24. [Google Scholar] [CrossRef] [PubMed]
- Warkentin, B.; Stavrev, P.; Stavreva, N.; Field, C.; Fallone, B.G. A TCP-NTCP estimation module using DVHs and known radiobiological models and parameter sets. J. Appl. Clin. Med. Phys. 2004, 5, 50–63. [Google Scholar] [CrossRef] [PubMed]
- Yorke, E.D.; Jackson, A.; Rosenzweig, K.E.; Merrick, S.A.; Gabrys, D.; Venkatraman, E.S.; Burman, C.M.; Leibel, S.A.; Ling, C.C. Dose-volume factors contributing to the incidence of radiation pneumonitis in non-small-cell lung cancer patients treated with three-dimensional conformal radiation therapy. Int. J. Radiat. Oncol. Biol. Phys. 2002, 54, 329–339. [Google Scholar] [CrossRef] [PubMed]
- Najafi, M.; Motevaseli, E.; Shirazi, A.; Geraily, G.; Rezaeyan, A.; Norouzi, F.; Rezapoor, S.; Abdollahi, H. Mechanisms of inflammatory responses to radiation and normal tissues toxicity: Clinical implications. Int. J. Radiat. Biol. 2018, 94, 335–356. [Google Scholar] [CrossRef]
- Citrin, D.; Cotrim, A.P.; Hyodo, F.; Baum, B.J.; Krishna, M.C.; Mitchell, J.B. Radioprotectors and Mitigators of Radiation-Induced Normal Tissue Injury. Oncologist 2010, 15, 360–371. [Google Scholar] [CrossRef]
- Blank, K.R.; Rudoltz, M.S.; Kao, G.D.; Muschel, R.J.; McKenna, W.G. The molecular regulation of apoptosis and implications for radiation oncology. Int. J. Radiat. Biol. 1997, 71, 455–466. [Google Scholar]
- Meng, H.; Terado, T.; Kimura, H. Apoptosis induced by X-rays and chemical agents in murine fibroblastic cell lines with a defect in repair of DNA double-strand breaks. Int. J. Radiat. Biol. 1998, 73, 503–510. [Google Scholar] [CrossRef]
- Forte, G.I.; Minafra, L.; Bravatà, V.; Cammarata, F.P.; Lamia, D.; Pisciotta, P.; Cirrone, G.A.P.; Cuttone, G.; Gilardi, M.C.; Russo, G. Radiogenomics. The utility in patient selection. Transl. Cancer Res. 2017, 6 (Suppl. S5), S852–S874. [Google Scholar] [CrossRef]
- Boerma, M.; Davis, C.M.; Jackson, I.L.; Schaue, D.; Williams, J.P. All for one, though not one for all: Team players in normal tissue radiobiology. Int. J. Radiat. Biol. 2022, 98, 346–366. [Google Scholar] [CrossRef]
- Montoro, A.; Obrador, E.; Mistry, D.; Forte, G.I.; Bravatà, V.; Minafra, L.; Calvaruso, M.; Cammarata, F.P.; Falk, M.; Schettino, G.; et al. Radioprotectors, Radiomitigators, and Radiosensitizers. In Radiobiology Textbook; Baatout, S., Ed.; Springer: Cham, Switzerland, 2023. [Google Scholar]
- Calvaruso, M.; Pucci, G.; Musso, R.; Bravatà, V.; Cammarata, F.P.; Russo, G.; Forte, G.I.; Minafra, L. Nutraceutical Compounds as Sensitizers for Cancer Treatment in Radiation Therapy. Int. J. Mol. Sci. 2019, 20, 5267. [Google Scholar] [CrossRef]
- Wasundara Fernandoa, H.P.; Rupasinghead, V.; Hoskinabc, D.W. Dietary phytochemicals with anti-oxidant and pro-oxidant activities: A double-edged sword in relation to adjuvant chemotherapy and radiotherapy? Cancer Lett. 2019, 452, 168–177. [Google Scholar] [CrossRef] [PubMed]
- Cozmin, M.; Lungu, I.I.; Gutu, C.; Stefanache, A.; Duceac, L.D.; Șoltuzu, B.D.; Damir, D.; Calin, G.; Bogdan Goroftei, E.R.; Grierosu, C.; et al. Turmeric: From spice to cure. A review of the anti-cancer, radioprotective and anti-inflammatory effects of turmeric sourced compounds. Front. Nutr. 2024, 11, 1399888. [Google Scholar] [CrossRef] [PubMed]
- Minafra, L.; Porcino, N.; Bravatà, V.; Gaglio, D.; Bonanomi, M.; Amore, E.; Cammarata, F.P.; Russo, G.; Militello, C.; Savoca, G.; et al. Radiosensitizing effect of curcumin-loaded lipid nanoparticles in breast cancer cells. Sci. Rep. 2019, 9, 11134. [Google Scholar] [CrossRef]
- Chendil, D.; Ranga, R.S.; Meigooni, D.; Sathishkumar, S.; Ahmed, M.M. Curcumin confers radiosensitizing effect in prostate cancer cell line PC-3. Oncogene 2004, 23, 1599–1607. [Google Scholar] [CrossRef]
- Zoi, V.; Galani, V.; Tsekeris, P.; Kyritsis, A.P.; Alexiou, G.A. Radiosensitization and Radioprotection by Curcumin in Glioblastoma and Other Cancers. Biomedicines 2022, 10, 312. [Google Scholar] [CrossRef] [PubMed]
- Boretti, A. Evidence for the use of curcumin in radioprotection and radiosensitization. Phytother. Res. 2024, 38, 464–469. [Google Scholar] [CrossRef] [PubMed]
- Stohs, S.J.; Chen, O.; Ray, S.D.; Ji, J.; Bucci, L.R.; Preuss, H.G. Highly Bioavailable Forms of Curcumin and Promising Avenues for Curcumin-Based Research and Application: A Review. Molecules 2020, 25, 1397. [Google Scholar] [CrossRef]
- Schneider, C.; Gordon, O.N.; Edwards, R.L.; Luis, P.B. Degradation of Curcumin: From Mechanism to Biological Implications. J. Agric. Food Chem. 2015, 63, 7606–7614. [Google Scholar] [CrossRef]
- Nelson, K.M.; Dahlin, J.L.; Bisson, J.; Graham, J.; Pauli, G.F.; Walters, M.A. The Essential Medicinal Chemistry of Curcumin. J. Med. Chem. 2017, 60, 1620–1637. [Google Scholar] [CrossRef]
- MacRae, C.A.; Peterson, R.T. Zebrafish as tools for drug discovery. Nat. Rev. Drug Discov. 2015, 14, 721–731. [Google Scholar] [CrossRef]
- Cavalieri, V. Histones, Their Variants and Post-translational Modifications in Zebrafish Development. Front. Cell Dev. Biol. 2020, 8, 456. [Google Scholar] [CrossRef] [PubMed]
- Cavalieri, V.; Spinelli, G. Environmental epigenetics in zebrafish. Epigenetics Chromatin 2017, 10, 46. [Google Scholar] [CrossRef] [PubMed]
- Howe, K.; Clark, M.D.; Torroja, C.F.; Torrance, J.; Berthelot, C.; Muffato, M.; Collins, J.E.; Humphray, S.; McLaren, K.; Matthews, L. The zebrafish reference genome sequence and its relationship to the human genome. Nature 2013, 496, 498–503. [Google Scholar] [CrossRef] [PubMed]
- Steel, G.G. Basic Clinical Radiobiology; First published in Great Britain; Hodder & Stoughton: London, UK, 1993. [Google Scholar]
- Daroczi, B.; Kari, G.; McAleer, M.F.; Wolf, J.C.; Rodeck, U.; Dicker, A.P. In vivo radioprotection by the fullerene nanoparticle DF-1 as assessed in a zebrafish model. Clin. Cancer Res. 2006, 12, 7086–7091. [Google Scholar] [CrossRef] [PubMed]
- Pucci, G.; Forte, G.I.; Cavalieri, V. Evaluation of Epigenetic and Radiomodifying Effects during Radiotherapy Treatments in Zebrafish. Int. J. Mol. Sci. 2021, 22, 9053. [Google Scholar] [CrossRef]
- Chang, W.J.; Hwang, P.P. Development of zebrafish epidermis. Birth Defects Res. C Embryo Today 2011, 93, 205–214. [Google Scholar] [CrossRef]
- Rawson, D.M.; Zhang, T.; Kalicharan, D.; Jongebloed, W.L. Field emission scanning electron microscopy and transmission electron microscopy studies of the chorion, plasma membrane and syncytial layers of the gastrula-stage embryo of the zebrafish Brachydanio rerio: A consideration of the structural and functional relationships with respect to cryoprotectant penetration. Aquacult Res. 2000, 31, 325–336. [Google Scholar]
- Kari, G.; Rodeck, U.; Dicker, A.P. Zebrafish: An Emerging Model System for Human Disease and Drug Discovery. Clin. Pharmacol. Ther. 2007, 82, 70–80. [Google Scholar] [CrossRef]
- Hwang, M.; Yong, C.; Moretti, L.; Lu, B. Zebrafish as a model system to screen radiation modifiers. Curr. Genom. 2007, 8, 360–369. [Google Scholar]
- Szabó, E.R.; Plangár, I.; Tőkés, T.; Mán, I.; Polanek, R.; Kovács, R.; Fekete, G.; Szabó, Z.; Csenki, Z.; Baska, F.; et al. l-Alpha Glycerylphosphorylcholine as a Potential Radioprotective Agent in Zebrafish Embryo Model. Zebrafish 2016, 13, 481–488. [Google Scholar] [CrossRef]
- Szabó, E.R.; Brand, M.; Hans, S.; Hideghéty, K.; Karsch, L.; Lessmann, E.; Pawelke, J.; Schürer, M.; Beyreuther, E. Radiobiological effects and proton RBE determined by wildtype zebrafish embryos. PLoS ONE 2018, 13, e0206879. [Google Scholar] [CrossRef] [PubMed]
- Brunner, S.; Tőkés, T.; Szabó, E.R.; Polanek, R.; Szabó, I.Z.; Reisz, Z.; Gubán, B.K.; Szijártó, A.L.; Brand, M.; Hans, S.; et al. Dose-dependent Changes After Proton and Photon Irradiation in a Zebrafish Model. Anticancer Res. 2020, 40, 6123–6135. [Google Scholar] [CrossRef] [PubMed]
- Reina, C.; Cardella, C.; Lo Pinto, M.; Pucci, G.; Acuto, S.; Maggio, A.; Cavalieri, V. Antioxidant, Pro-Survival and Pro-Regenerative Effects of Conditioned Medium from Wharton’s Jelly Mesenchymal Stem Cells on Developing Zebrafish Embryos. Int. J. Mol. Sci. 2023, 24, 13191. [Google Scholar] [CrossRef] [PubMed]
- Wu, J.Y.; Lin, C.Y.; Lin, T.W.; Ken, C.F.; Wen, Y.D. Curcumin Affects Development of Zebrafish Embryo. Biol. Pharm. Bull. 2007, 30, 1336–1339. [Google Scholar] [CrossRef] [PubMed]
- Shiau, R.J.; Shih, P.C.; Wen, Y.D. Effect of silymarin on curcumin-induced mortality in zebrafish (Danio rerio) embryos and larvae. Indian. J. Exp. Biol. 2011, 49, 491–497. [Google Scholar]
- International Atomic Energy Agency. Absorbed Dose Determination in External Beam Radiotherapy; Technical Reports Series No. 398; IAEA: Vienna, Austria, 2000. [Google Scholar]
- Wan-Mohtar, W.; Ilham, Z.; Jamaludin, A.A.; Rowan, N. Use of Zebrafish Embryo Assay to Evaluate Toxicity and Safety of Bioreactor-Grown Exopolysaccharides and Endopolysaccharides from European Ganoderma applanatum Mycelium for Future Aquaculture Applications. Int. J. Mol. Sci. 2021, 22, 1675. [Google Scholar] [CrossRef]
- Kimmel, C.B.; Ballard, W.W.; Kimmel, S.R.; Ullmann, B.; Schilling, T.F. Stages of embryonic development of the zebrafish. Dev. Dyn. 1995, 203, 253–310. [Google Scholar] [CrossRef]
- Samaee, S.M.; Rabbani, S.; Jovanović, B.; Mohajeri-Tehrani, M.R.; Haghpanah, V. Efficacy of the hatching event in assessing the embryo toxicity of the nano-sized TiO2 particles in zebrafish: A comparison between two different classes of hatching-derived variables. Ecotoxicol. Environ. Saf. 2015, 116, 121–128. [Google Scholar] [CrossRef]
- Cavalieri, V.; Spinelli, G. Ectopic hbox12 Expression Evoked by Histone Deacetylase Inhibition Disrupts Axial Specification of the Sea Urchin Embryo. PLoS ONE 2015, 10, e0143860. [Google Scholar] [CrossRef]
- Cavalieri, V.; Geraci, F.; Spinelli, G. Diversification of spatiotemporal expression and copy number variation of the echinoid hbox12/pmar1/micro1 multigene family. PLoS ONE 2017, 12, e0174404. [Google Scholar] [CrossRef]
- Cavalieri, V.; Di Bernardo, M.; Anello, L.; Spinelli, G. cis-Regulatory sequences driving the expression of the Hbox12 homeobox-containing gene in the presumptive aboral ectoderm territory of the Paracentrotus lividus sea urchin embryo. Dev. Biol. 2008, 321, 455–469. [Google Scholar] [CrossRef] [PubMed]
- Cavalieri, V.; Melfi, R.; Spinelli, G. Promoter activity of the sea urchin (Paracentrotus lividus) nucleosomal H3 and H2A and linker H1 α-histone genes is modulated by enhancer and chromatin insulator. Nucleic Acids Res. 2009, 37, 7407–7415. [Google Scholar] [CrossRef] [PubMed]
- Fuloria, S.; Mehta, J.; Chandel, A.; Sekar, M.; Rani, N.N.I.M.; Begum, M.Y.; Subramaniyan, V.; Chidambaram, K.; Thangavelu, L.; Nordin, R.; et al. A Comprehensive Review on the Therapeutic Potential of Curcuma longa Linn. in Relation to its Major Active Constituent Curcumin. Front. Pharmacol. 2022, 13, 820806. [Google Scholar] [CrossRef] [PubMed]
- Dulbecco, P.; Savarino, V. Therapeutic potential of curcumin in digestive diseases. World J. Gastroenterol. 2013, 19, 9256–9270. [Google Scholar] [CrossRef]
- Azmi, L.; Ojha, S.K.; Rao, C.V. Curcumin: Boon for Human Being. World J. Pharm. Pharm. Sci. 2015, 4, 239–249. [Google Scholar]
- Yallapu, M.M.; Khan, S.; Maher, D.M.; Ebeling, M.C.; Sundram, V.; Chauhan, N.; Ganju, A.; Balakrishna, S.; Gupta, B.K.; Zafar, N.; et al. Anti-cancer activity of curcumin loaded nanoparticles in prostate cancer. Biomaterials 2014, 35, 8635–8648. [Google Scholar] [CrossRef]
- Chen, Y.H.; Yang, Z.S.; Wen, C.C.; Chang, Y.S.; Wang, B.C.; Hsiao, C.A.; Shih, T.L. Evaluation of the structure-activity relationship of flavonoids as antioxidants and toxicants of zebrafish larvae. Food Chem. 2012, 134, 717–724. [Google Scholar] [CrossRef]
- Rajagopal, R.E.; Balasubramanian, M.; Kalyanaraman, S. Raw turmeric and pure curcumin: A comparison of embryonic cytotoxicity in zebrafish. IJBCP Int. J. Basic Clin. Pharmacol. 2017, 6, 2020–2026. [Google Scholar] [CrossRef]
- Oyemitan, I.A.; Elusiyan, C.A.; Onifade, A.O.; Akanmu, M.A.; Oyedeji, A.O.; McDonald, A.G. Neuropharmacological profile and chemical analysis of fresh rhizome essential oil of Curcuma longa (turmeric) cultivated in Southwest Nigeria. Toxicol. Rep. 2017, 4, 391–398. [Google Scholar] [CrossRef]
- Sachett, A.; Benvenutti, R.; Reis, C.G.; Gallas-Lopes, M.; Bastos, L.M.; Aguiar, G.P.S.; Herrmann, A.P.; Oliveira, J.V.; Siebel, A.M.; Piato, A. Micronized curcumin causes hyperlocomotion in zebrafish larvae. Neurochem. Res. 2022, 47, 2307–2316. [Google Scholar] [CrossRef]
- McAleer, M.F.; Davidson, C.; Davidson, W.R.; Yentzer, B.; Farber, S.A.; Rodeck, U.; Dicker, A.P. Novel use of zebrafish as a vertebrate model to screen radiation protectors and sensitizers. Int. J. Radiat. Oncol. Biol. Phys. 2005, 61, 10–13. [Google Scholar] [CrossRef] [PubMed]
- Gan, L.; Guo, M.; Si, J.; Zhang, J.; Liu, Z.; Zhao, J.; Wang, F.; Yan, J.; Li, H.; Zhang, H. Protective effects of phenformin on zebrafish embryonic neurodevelopmental toxicity induced by X-ray radiation. Artif. Cells Nanomed. Biotechnol. 2019, 47, 4202–4210. [Google Scholar] [CrossRef] [PubMed]
- Li, J.; Zhang, Y.; Liu, K.; He, Q.; Sun, C.; Han, J.; Han, L.; Tian, Q. Xiaoaiping Induces Developmental Toxicity in Zebrafish Embryos Through Activation of ER Stress, Apoptosis and the Wnt Pathway. Front. Pharmacol. 2018, 9, 1250. [Google Scholar] [CrossRef] [PubMed]
- Si, J.; Zhou, R.; Zhao, B.; Xie, Y.; Gan, L.; Zhang, J.; Wang, Y.; Zhou, X.; Ren, X.; Zhang, H. Effects of ionizing radiation and HLY78 on the zebrafish embryonic developmental toxicity. Toxicology 2019, 411, 143–153. [Google Scholar] [CrossRef]
- Zhou, R.; Zhang, H.; Wang, Z.; Zhou, X.; Si, J.; Gan, L.; Li, J.; Liu, Y. The developmental toxicity and apoptosis in zebrafish eyes induced by carbon-ion irradiation. Life Sci. 2015, 139, 114–122. [Google Scholar] [CrossRef]
- Chen, J. Impaired cardiovascular function caused by different stressors elicits a common pathological and transcriptional response in zebrafish embryos. Comp. Study Zebrafish 2013, 10, 389–400. [Google Scholar] [CrossRef]
- Dong, H.; Wei, G.; Yin, D.; Guan, X. Mechanistic insight into the generation of reactive oxygen species in sulfite activation with Fe (III) for contaminants degradation. J. Hazard. Mater. 2020, 384, 121497. [Google Scholar] [CrossRef]
- Greer, E.L.; Brunet, A. FOXO transcription factors at the interface between longevity and tumor suppression. Oncogene 2005, 24, 7410–7425. [Google Scholar] [CrossRef]
- Nho, R.S.; Hergert, P. FoxO3a and disease progression. World J. Biol. Chem. 2014, 5, 346–354. [Google Scholar] [CrossRef]
- Wang, X.; Zhang, H.; Gao, Y.; Zhang, W. Characterization of Cu/Zn-SOD enzyme activities and gene expression in soybean under low nitrogen stress. J. Sci. Food Agric. 2016, 96, 2692–2697. [Google Scholar] [CrossRef]
- Cai, L.; Lin, C.; Yang, N.; Huang, Z.; Miao, S.; Chen, X.; Pan, J.; Rao, P.; Liu, S. Preparation and characterization of nanoparticles made from Co-incubation of SOD and glucose. Nanomaterials 2017, 7, 458. [Google Scholar] [CrossRef] [PubMed]
- Tew, K.D. Glutathione-associated enzymes in anticancer drug resistance. Cancer Res. 1994, 54, 4313–4320. [Google Scholar] [CrossRef] [PubMed]
- Sato, K.; Tsuchida, S.; Tamai, K. Anti-cancer drug resistance and glutathione S-transferases. Gan To Kagaku Ryoho 1989, 16 Pt 2, 592–598. [Google Scholar]
- Veljković, A.; Hadži-Dokić, J.; Sokolović, D.; Bašić, D.; Veličković-Janković, L.; Stojanović, M.; Popović, D.; Kocić, G. Xanthine Oxidase/Dehydrogenase Activity as a Source of Oxidative Stress in Prostate Cancer Tissue. Diagnostics 2020, 10, 668. [Google Scholar] [CrossRef] [PubMed]
- Comità, S.; Femmino, S.; Thairi, C.; Alloatti, G.; Boengler, K.; Pagliaro, P.; Penna, C. Regulation of STAT3 and its role in cardioprotection by conditioning: Focus on non-genomic roles targeting mitochondrial function. Basic. Res. Cardiol. 2021, 116, 56. [Google Scholar] [CrossRef]
- Gu, L.; Chiang, K.Y.; Zhu, N.; Findley, H.W.; Zhou, M. Contribution of STAT3 to the activation of survivin by GM-CSF in CD34+ cell lines. Exp. Hematol. 2007, 35, 957–966. [Google Scholar] [CrossRef]
- Wang, K.; Wang, X.; Ge, X.; Tian, P. Heterologous Expression of Aldehyde Dehydrogenase from Saccharomyces cerevisiae in Klebsiella pneumoniae for 3-Hydroxypropionic Acid Production from Glycerol. Indian J. Microbiol. 2012, 52, 478–483. [Google Scholar] [CrossRef][Green Version]
- Donmez, G.; Outeiro, T.F. SIRT1 and SIRT2: Emerging targets in neurodegeneration. EMBO Mol. Med. 2013, 5, 344–352. [Google Scholar] [CrossRef]
- Montay-Gruel, P.; Acharya, M.M.; Petersson, K.; Alikhani, L.; Yakkala, C.; Allen, B.D.; Ollivier, J.; Petit, B.; Jorge, P.G.; Syage, A.R.; et al. Long-term neurocognitive benefits of FLASH radiotherapy driven by reduced reactive oxygen species. Proc. Natl. Acad. Sci. USA 2019, 116, 10943–10951. [Google Scholar] [CrossRef]
- Belli, M.; Tabocchini, M.A. Ionizing Radiation-Induced Epigenetic Modifications and Their Relevance to Radiation Protection. Int. J. Mol. Sci. 2020, 21, 5993. [Google Scholar] [CrossRef]
- Peng, Q.; Weng, K.; Li, S.; Xu, R.; Wang, Y.; Wu, Y. A Perspective of Epigenetic Regulation in Radiotherapy. Front. Cell Dev. Biol. 2021, 9, 624312. [Google Scholar] [CrossRef] [PubMed]
- Kamstra, J.H.; Hurem, S.; Martin, L.M.; Lindeman, L.C.; Legler, J.; Oughton, D.; Salbu, B.; Brede, D.A.; Lyche, J.L.; Aleström, P. Ionizing radiation induces transgenerational effects of DNA methylation in zebrafish. Sci. Rep. 2018, 8, 15373. [Google Scholar] [CrossRef] [PubMed]
- Lindeman, L.C.; Kamstra, J.H.; Ballangby, J.; Hurem, S.; Martín, L.M.; Brede, D.A.; Teien, H.C.; Oughton, D.H.; Salbu, B.; Lyche, J.L.; et al. Gamma radiation induces locus specific changes to histone modification enrichment in zebrafish and Atlantic salmon. PLoS ONE 2019, 14, e0212123. [Google Scholar] [CrossRef] [PubMed]









| Target Gene | GenBank® Accession Number | Primer Sequences (5′–3′) Forward (Fw) and Reverse (Rw) | Length (bp) | Annealing T (°C) | Fragment Size (bp) |
|---|---|---|---|---|---|
| cat | NM_130912.2 | F: ATGAAGCCGAGAGAGAGCGT R: TCAGCGTTGTGTTTATCCAGG | 20 21 | 62 | 154 |
| sod1 | NM_131294.1 | F: AAGAAGCCAGTGAAGGTGACT R: CGTGTCTCACACTATCGGTTG | 21 21 | 62 | 166 |
| sod2 | NM_199976.1 | F: TGTGCTAACCAAGACCCTTTG R: AACGCTCGCTGACATTCTCC | 21 20 | 62 | 160 |
| gpx1a | NM_001007281.2 | F: GCACAACAGTCAGGGATTACA R: AGCCATTTCCAGGACGGAC | 21 19 | 62 | 165 |
| gpx4a | NM_001007282.2 | F: TTCACAGCCACAGATATAGATG R: GAAAGCCAGGATGCGTAAACC | 22 21 | 62 | 171 |
| xdh | XM_683891.8 | F: ATAGTGATGGATGTGGGCAAG R: TAACCGTCAGGAGAGTAGCG | 21 20 | 62 | 122 |
| gstp | NM_131734.3 | F: TCGCAGTCAAAGGCAGATGTG R: GAAACAGCACCAGGTCACCAT | 21 21 | 62 | 168 |
| gstp1a | NM_001020513.1 | F: TCTACCAGGAATATGAGACCG R: ACCTTCAGATTCAGCAGCAGA | 21 21 | 62 | 166 |
| ldha | NM_131246.1 | F: GTTGGAATGGTTGGAATGGCT R: CTTGTGCGTCTTGAGAAACAG | 21 21 | 62 | 147 |
| stat3 | NM_131479.1 | F: GGCTGGACAACATTATTGACC R: GGAGGCTTTGGACTCAGGAT | 21 20 | 62 | 118 |
| rpl13 | NM_212784.1 | F: AGGTGTGAGGGTATCAACATC R: TTGGTTTTGTGTGGAAGCATAC | 21 22 | 62 | 170 |
| Minutes | Fluorescence (%) | ||||||||
|---|---|---|---|---|---|---|---|---|---|
| 30 | 60 | 90 | 120 | 160 | 200 | 240 | 280 | 320 | |
| Control | 0 | 0 | 0 | 0 | 0 | 0 | 0 | 0 | 0 |
| 5 μM Cur | 39.11 | 29.14 | 22.71 | 19.15 | 14.04 | 12.44 | 3.9 | 1.7 | 0.2 |
Disclaimer/Publisher’s Note: The statements, opinions and data contained in all publications are solely those of the individual author(s) and contributor(s) and not of MDPI and/or the editor(s). MDPI and/or the editor(s) disclaim responsibility for any injury to people or property resulting from any ideas, methods, instructions or products referred to in the content. |
© 2024 by the authors. Licensee MDPI, Basel, Switzerland. This article is an open access article distributed under the terms and conditions of the Creative Commons Attribution (CC BY) license (https://creativecommons.org/licenses/by/4.0/).
Share and Cite
Pucci, G.; Savoca, G.; Iacoviello, G.; Russo, G.; Forte, G.I.; Cavalieri, V. Curcumin’s Radioprotective Effects on Zebrafish Embryos. Antioxidants 2024, 13, 1281. https://doi.org/10.3390/antiox13111281
Pucci G, Savoca G, Iacoviello G, Russo G, Forte GI, Cavalieri V. Curcumin’s Radioprotective Effects on Zebrafish Embryos. Antioxidants. 2024; 13(11):1281. https://doi.org/10.3390/antiox13111281
Chicago/Turabian StylePucci, Gaia, Gaetano Savoca, Giuseppina Iacoviello, Giorgio Russo, Giusi I. Forte, and Vincenzo Cavalieri. 2024. "Curcumin’s Radioprotective Effects on Zebrafish Embryos" Antioxidants 13, no. 11: 1281. https://doi.org/10.3390/antiox13111281
APA StylePucci, G., Savoca, G., Iacoviello, G., Russo, G., Forte, G. I., & Cavalieri, V. (2024). Curcumin’s Radioprotective Effects on Zebrafish Embryos. Antioxidants, 13(11), 1281. https://doi.org/10.3390/antiox13111281

