Valorization of Juglans regia Leaves as Cosmeceutical Ingredients: Bioactivity Evaluation and Final Formulation Development
Abstract
:1. Introduction
2. Materials and Methods
2.1. Standards and Reagents
2.2. Plant Material and Extraction Process
2.3. Quantification of the Main Phenolic Compounds in the Extracts
2.4. Evaluation of the Bioactive Properties of the Extract
2.4.1. Antioxidant Activity
2.4.2. Anti-Tyrosinase activity
2.4.3. Anti-Inflammatory Activity
2.4.4. Antibacterial Activity against Skin Pathogenic Bacteria
2.4.5. Cytotoxicity
2.4.6. Wound Scratch Healing
2.4.7. Cell Invasion
2.4.8. Photostability
2.5. Formulation Development
2.5.1. Incorporation of the Extract
2.5.2. Antioxidant Activity and Phenolic Profile
2.5.3. Color and pH Measurements
2.6. Statistical Analysis
3. Results and Discussion
3.1. Composition in Phenolic Compounds
3.2. Bioactive Properties of J. regia Extracts
3.2.1. Antioxidant Activity
3.2.2. Anti-Tyrosinase Activity
3.2.3. Anti-Inflammatory Activity
3.2.4. Antibacterial Activity
3.2.5. Cytotoxicity
3.2.6. Wound Scratch Healing
3.2.7. Cell Invasion
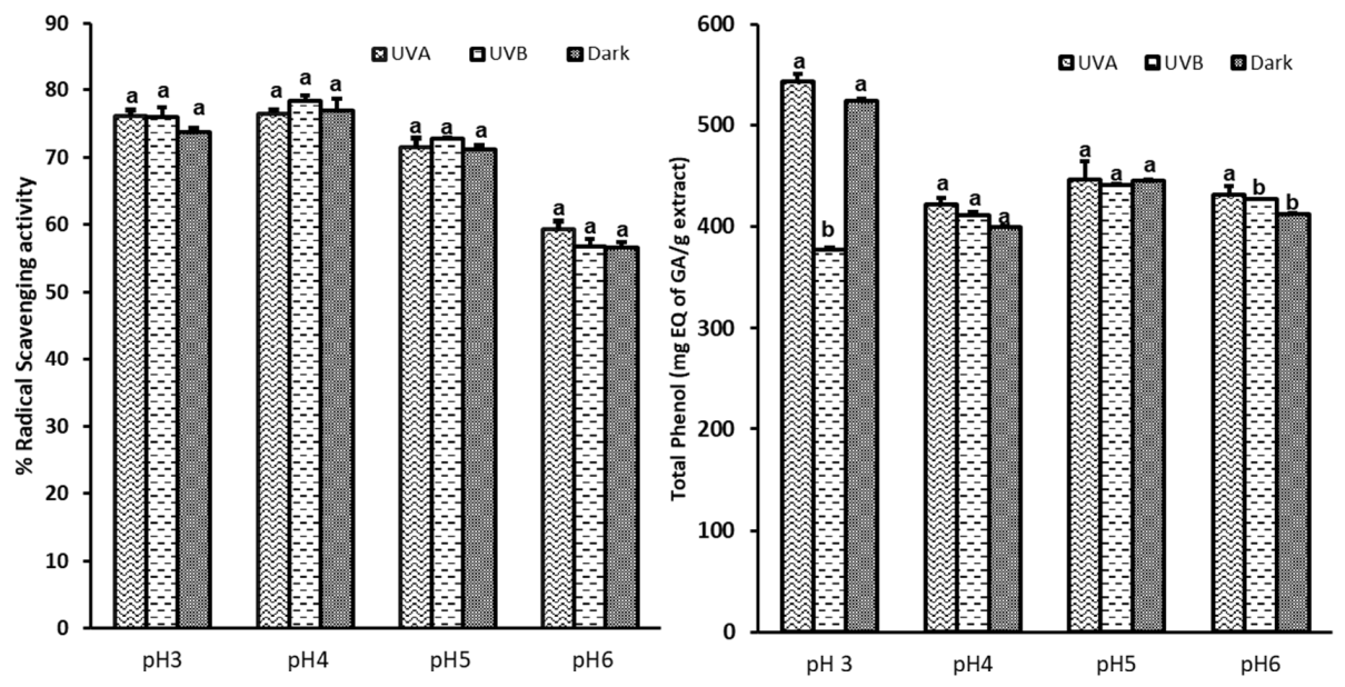
3.2.8. Photostability
3.3. Development of the Cosmeceutical Formulation
4. Conclusions
Supplementary Materials
Author Contributions
Funding
Institutional Review Board Statement
Informed Consent Statement
Data Availability Statement
Conflicts of Interest
References
- Lintner, K.; Mas-Chamberlin, C.; Mondon, P.; Peschard, O.; Lamy, L. Cosmeceuticals and active ingredients. Clin. Dermatol. 2009, 27, 461–468. [Google Scholar] [CrossRef] [PubMed]
- Antognoni, F.; Lianza, M.; Poli, F.; Buccioni, M.; Santinelli, C.; Caprioli, G.; Iannarelli, R.; Lupidi, G.; Maggi, F.; Damiani, E.; et al. Polar extracts from the berry-like fruits of Hypericum androsaemum L. as a promising ingredient in skin care formulations. J. Ethnopharmacol. 2017, 195, 255–265. [Google Scholar] [CrossRef] [PubMed]
- Charles Dorni, A.I.; Amalraj, A.; Gopi, S.; Varma, K.; Anjana, S.N. Novel cosmeceuticals from plants—An industry guided review. J. Appl. Res. Med. Aromat. Plants 2017, 7, 1–26. [Google Scholar] [CrossRef]
- Milani, L.P.G.; Garcia, N.O.S.; Morais, M.C.; Dias, A.L.S.; Oliveira, N.L.; Conceição, E.C. Extract from byproduct Psidium guajava standardized in ellagic acid: Additivation of the in vitro photoprotective efficacy of a cosmetic formulation. Braz. J. Pharmacogn. 2018, 28, 692–696. [Google Scholar] [CrossRef]
- Taofiq, O.; González-Paramás, A.M.; Barreiro, M.F.; Ferreira, I.C.F.R. Hydroxycinnamic Acids and Their Derivatives: Cosmeceutical Significance, Challenges and Future Perspectives, a Review. Molecules 2017, 22, 281. [Google Scholar] [CrossRef]
- Taofiq, O.; Heleno, S.A.; Calhelha, R.C.; Fernandes, I.P.; Alves, M.J.; Barros, L.; González-Paramás, A.M.; Ferreira, I.C.F.R.; Barreiro, M.F. Phenolic acids, cinnamic acid, and ergosterol as cosmeceutical ingredients: Stabilization by microencapsulation to ensure sustained bioactivity. Microchem. J. 2019, 147, 469–477. [Google Scholar] [CrossRef] [Green Version]
- Nunes, M.A.; Rodrigues, F.; Oliveira, M.B.P.P. Grape Processing By-Products as Active Ingredients for Cosmetic Proposes; Elsevier Inc.: Amsterdam, The Netherlands, 2017; ISBN 9780128098714. [Google Scholar]
- Bhagat Singh, J.; Mukul, T. Juglans regia: A review of its traditional uses phytochemistry and pharmacology. Indo Am. J. Pharm. Res. 2017, 7, 390–398. [Google Scholar]
- Pitschmann, A.; Zehl, M.; Atanasov, A.G.; Dirsch, V.M.; Heiss, E.; Glasl, S. Walnut leaf extract inhibits PTP1B and enhances glucose-uptake in vitro. J. Ethnopharmacol. 2014, 152, 599–602. [Google Scholar] [CrossRef]
- Schwindl, S.; Kraus, B.; Heilmann, J. Phytochemical study of Juglans regia L. leaves. Phytochemistry 2017, 144, 58–70. [Google Scholar] [CrossRef]
- Zhao, M.-H.; Jiang, Z.-T.; Liu, T.; Li, R. Flavonoids in Juglans regia L. leaves and evaluation of in vitro antioxidant activity via intracellular and chemical methods. Sci. World J. 2014, 2014, 303878. [Google Scholar] [CrossRef] [Green Version]
- Nostro, A.; Guerrini, A.; Marino, A.; Tacchini, M.; Di Giulio, M.; Grandini, A.; Akin, M.; Cellini, L.; Bisignano, G.; Saraçoğlu, H.T. In vitro activity of plant extracts against biofilm-producing food-related bacteria. Int. J. Food Microbiol. 2016, 238, 33–39. [Google Scholar] [CrossRef]
- Rather, M.A.; Dar, B.A.; Dar, M.Y.; Wani, B.A.; Shah, W.A.; Bhat, B.A.; Ganai, B.A.; Bhat, K.A.; Anand, R.; Qurishi, M.A. Chemical composition, antioxidant and antibacterial activities of the leaf essential oil of Juglans regia L. and its constituents. Phytomedicine 2012, 19, 1185–1190. [Google Scholar] [CrossRef]
- Vieira, V.; Pereira, C.; Abreu, R.M.V.; Calhelha, R.C.; Alves, M.J.; Coutinho, J.A.P.; Ferreira, O.; Barros, L.; Ferreira, I.C.F.R. Hydroethanolic extract of Juglans regia L. green husks: A source of bioactive phytochemicals. Food Chem. Toxicol. 2020, 137, 111189. [Google Scholar] [CrossRef]
- Vieira, V.; Prieto, M.A.; Barros, L.; Coutinho, J.A.P.; Ferreira, I.C.F.R.; Ferreira, O. Enhanced extraction of phenolic compounds using choline chloride based deep eutectic solvents from Juglans regia L. Ind. Crop. Prod. 2018, 115, 261–271. [Google Scholar] [CrossRef] [Green Version]
- Vieira, V.; Calhelha, R.C.; Barros, L.; Coutinho, J.A.P.; Ferreira, I.C.F.R.; Ferreira, O. Insights on the extraction performance of alkanediols and glycerol: Using Juglans regia L. Leaves as a source of bioactive compounds. Molecules 2020, 25, 2497. [Google Scholar] [CrossRef]
- Singh Joshan, D.; Singh, S.K. Investigational study of Juglans regia extract and quercetin against photoaging. Biomed. Aging Pathol. 2013, 3, 193–200. [Google Scholar] [CrossRef]
- Huo, J.; Zhao, Z.; Hua, Z.; Fan, J.; Du, J.; Guo, B. Evaluation of Juglans regia L., root for wound healing via antioxidant, antimicrobial and anti-inflammatory activity. Indian J. Biochem. Biophys. 2020, 57, 304–311. [Google Scholar]
- Muzaffer, U.; Paul, V.I.; Agilan, B.; Prasad, N.R. Protective effect of Juglans regia L., against ultraviolet-B induced photoaging in human epidermal keratinocytes. Biomed. Pharmacother. 2019, 111, 724–732. [Google Scholar] [CrossRef]
- Ribeiro, A.; Estanqueiro, M.; Oliveira, M.; Sousa Lobo, J. Main Benefits and Applicability of Plant Extracts in Skin Care Products. Cosmetics 2015, 2, 48–65. [Google Scholar] [CrossRef] [Green Version]
- Vieira, V.; Prieto, M.A.; Barros, L.; Coutinho, J.A.P.; Ferreira, O.; Ferreira, I.C.F.R. Optimization and comparison of maceration and microwave extraction systems for the production of phenolic compounds from Juglans regia L. for the valorization of walnut leaves. Ind. Crops Prod. 2017, 107, 341–352. [Google Scholar] [CrossRef] [Green Version]
- Bessada, S.M.F.; Barreira, J.C.M.; Barros, L.; Ferreira, I.C.F.R.; Oliveira, M.B.P.P. Phenolic profile and antioxidant activity of Coleostephus myconis (L.) Rchb.f.: An underexploited and highly disseminated species. Ind. Crops Prod. 2016, 89, 45–51. [Google Scholar] [CrossRef] [Green Version]
- Silva de Sá, I.; Peron, A.P.; Leimann, F.V.; Bressan, G.N.; Krum, B.N.; Fachinetto, R.; Pinela, J.; Calhelha, R.C.; Barreiro, M.F.; Ferreira, I.C.F.R.; et al. In vitro and in vivo evaluation of enzymatic and antioxidant activity, cytotoxicity and genotoxicity of curcumin-loaded solid dispersions. Food Chem. Toxicol. 2019, 125, 29–37. [Google Scholar] [CrossRef] [Green Version]
- Moonrungsee, N.; Shimamura, T.; Kashiwagi, T.; Jakmunee, J.; Higuchi, K.; Ukeda, H. Sequential injection spectrophotometric system for evaluation of mushroom tyrosinase-inhibitory activity. Talanta 2012, 101, 233–239. [Google Scholar] [CrossRef]
- Taofiq, O.; Calhelha, R.C.; Heleno, S.; Barros, L.; Martins, A.; Santos-Buelga, C.; Queiroz, M.J.R.P.; Ferreira, I.C.F.R. The contribution of phenolic acids to the anti-inflammatory activity of mushrooms: Screening in phenolic extracts, individual parent molecules and synthesized glucuronated and methylated derivatives. Food Res. Int. 2015, 76, 821–827. [Google Scholar] [CrossRef] [Green Version]
- Stojković, D.; Drakulić, D.; Gašić, U.; Zengin, G.; Stevanović, M.; Rajčević, N.; Soković, M. Ononis spinosa L., an edible and medicinal plant: UHPLC-LTQ-Orbitrap/MS chemical profiling and biological activities of the herbal extract. Food Funct. 2020, 11, 7138–7151. [Google Scholar] [CrossRef]
- Stojković, D.S.; Kovačević-Grujičić, N.; Reis, F.S.; Davidović, S.; Barros, L.; Popović, J.; Petrović, I.; Pavić, A.; Glamočlija, J.; Ćirić, A.; et al. Chemical composition of the mushroom Meripilus giganteus Karst. and bioactive properties of its methanolic extract. LWT-Food Sci. Technol. 2017, 79, 454–462. [Google Scholar] [CrossRef] [Green Version]
- Ahmed, G.F.; Elkhatib, W.F.; Noreddin, A.M. Inhibition of Pseudomonas aeruginosa PAO1 adhesion to and invasion of A549 lung epithelial cells by natural extracts. J. Infect. Public Health 2014, 7, 436–444. [Google Scholar] [CrossRef] [PubMed] [Green Version]
- Lukić, M.; Pantelić, I.; Savić, S.D. Towards Optimal pH of the Skin and Topical Formulations: From the Current State of the Art to Tailored Products. Cosmetics 2021, 8, 69. [Google Scholar] [CrossRef]
- Clifford, M.N.; Johnston, K.L.; Knight, S.; Kuhnert, N. Hierarchical scheme for LC-MSn identification of chlorogenic acids. J. Agric. Food Chem. 2003, 51, 2900–2911. [Google Scholar] [CrossRef] [PubMed]
- Guimarães, R.; Barros, L.; Dueñas, M.; Carvalho, A.M.; Queiroz, M.J.R.P.; Santos-Buelga, C.; Ferreira, I.C.F.R. Characterisation of phenolic compounds in wild fruits from Northeastern Portugal. Food Chem. 2013, 141, 3721–3730. [Google Scholar] [CrossRef] [PubMed] [Green Version]
- Santos, A.; Barros, L.; Calhelha, R.C.; Dueñas, M.; Carvalho, A.M.; Santos-Buelga, C.; Ferreira, I.C.F.R. Leaves and decoction of Juglans regia L.: Different performances regarding bioactive compounds and in vitro antioxidant and antitumor effects. Ind. Crops Prod. 2013, 51, 430–436. [Google Scholar] [CrossRef]
- Vieira, V.; Pereira, C.; Pires, T.C.S.P.; Calhelha, R.C.; Alves, M.J.; Ferreira, O.; Barros, L.; Ferreira, I.C.F.R. Phenolic profile, antioxidant and antibacterial properties of Juglans regia L. (walnut) leaves from the Northeast of Portugal. Ind. Crops Prod. 2019, 134, 347–355. [Google Scholar] [CrossRef]
- Yan, M.; Chen, M.; Zhou, F.; Cai, D.; Bai, H.; Wang, P.; Lei, H.; Ma, Q. Separation and analysis of flavonoid chemical constituents in flowers of Juglans regia L. by ultra-high-performance liquid chromatography-hybrid quadrupole time-of-flight mass spectrometry. J. Pharm. Biomed. Anal. 2019, 164, 734–741. [Google Scholar] [CrossRef]
- Ersoy, E.; Eroglu Ozkan, E.; Boga, M.; Yilmaz, M.A.; Mat, A. Anti-aging potential and anti-tyrosinase activity of three Hypericum species with focus on phytochemical composition by LC–MS/MS. Ind. Crops Prod. 2019, 141, 111735. [Google Scholar] [CrossRef]
- Sahin, S.C. The potential of Arthrospira platensis extract as a tyrosinase inhibitor for pharmaceutical or cosmetic applications. S. Afr. J. Bot. 2018, 119, 236–243. [Google Scholar] [CrossRef]
- Uysal, S.; Zengin, G.; Aktumsek, A.; Karatas, S. Chemical and biological approaches on nine fruit tree leaves collected from the Mediterranean region of Turkey. J. Funct. Foods 2016, 22, 518–532. [Google Scholar] [CrossRef]
- Kabtni, S.; Sdouga, D.; Bettaib Rebey, I.; Save, M.; Trifi-Farah, N.; Fauconnier, M.L.; Marghali, S. Influence of climate variation on phenolic composition and antioxidant capacity of Medicago minima populations. Sci. Rep. 2020, 10, 8293. [Google Scholar] [CrossRef]
- Raafat, K. Phytochemical analysis of Juglans regia oil and kernel exploring their antinociceptive and anti-inflammatory potentials utilizing combined bio-guided GC–FID, GC–MS and HPLC analyses. Rev. Bras. Farmacogn. 2018, 28, 358–368. [Google Scholar] [CrossRef]
- Przełkora, A.; Belcarz, A.; Kowalczyk, K.; Wójcik, M.; Wojciechowska, K.; Ginalska, G. UVB protective, anti-aging, and anti-inflammatory properties of aqueous extract of walnut (Juglans regia L.) seeds. Acta Pol. Pharm.-Drug Res. 2018, 75, 1167–1176. [Google Scholar] [CrossRef]
- Muzaffer, U.; Paul, V.I.; Prasad, N.R.; Karthikeyan, R.; Agilan, B. Protective effect of Juglans regia L. against ultraviolet B radiation induced inflammatory responses in human epidermal keratinocytes. Phytomedicine 2018, 42, 100–111. [Google Scholar] [CrossRef]
- Taglietti, A.; Diaz Fernandez, Y.A.; Amato, E.; Cucca, L.; Dacarro, G.; Grisoli, P.; Necchi, V.; Pallavicini, P.; Pasotti, L.; Patrini, M. Antibacterial activity of glutathione-coated silver nanoparticles against gram positive and gram negative bacteria. Langmuir 2012, 28, 8140–8148. [Google Scholar] [CrossRef]
- Abebe, M.; Tadesse, S.; Meseret, G.; Derbie, A. Type of bacterial isolates and antimicrobial resistance profile from different clinical samples at a Referral Hospital, Northwest Ethiopia: Five years data analysis. BMC Res. Notes 2019, 12, 568. [Google Scholar] [CrossRef]
- Qa’dan, F.; Thewaini, A.J.; Ali, D.A.; Afifi, R.; Elkhawad, A.; Matalka, K.Z. The antimicrobial activities of Psidium guajava and Juglans regia leaf extracts to acne-developing organisms. Am. J. Chin. Med. 2005, 33, 197–204. [Google Scholar] [CrossRef]
- Sharafati-Chaleshtori, R.; Sharafati-Chaleshtori, F.; Rafieian, M. Biological characterization of Iranian walnut (Juglans regia) leaves. Turk. J. Biol. 2011, 35, 635–639. [Google Scholar] [CrossRef]
- Paudel, P.; Satyal, P.; Dosoky, N.S.; Maharjan, S.; Setzer, W.N. Juglans regia and J. nigra, two trees important in traditional medicine: A comparison of leaf essential oil compositions and biological activities. Nat. Prod. Commun. 2013, 8, 1481–1486. [Google Scholar] [CrossRef] [Green Version]
- Jarić, S.; Kostić, O.; Mataruga, Z.; Pavlović, D.; Pavlović, M.; Mitrović, M.; Pavlović, P. Traditional wound-healing plants used in the Balkan region (Southeast Europe). J. Ethnopharmacol. 2018, 211, 311–328. [Google Scholar] [CrossRef]
- Rivelli, D.P.; Filho, C.A.H.; Almeida, R.L.; Ropke, C.D.; Sawada, T.C.H.; Barros, S.B.M. Chlorogenic acid UVA-UVB photostability. Photochem. Photobiol. 2010, 86, 1005–1007. [Google Scholar] [CrossRef]
- Ali, S.M.; Yosipovitch, G. Skin pH: From basic science to basic skin care. Acta Derm. Venereol. 2013, 93, 261–267. [Google Scholar] [CrossRef] [Green Version]
- Taofiq, O.; Heleno, S.; Calhelha, R.; Alves, M.; Barros, L.; Barreiro, M.; González-Paramás, A.; Ferreira, I. Development of Mushroom-Based Cosmeceutical Formulations with Anti-Inflammatory, Anti-Tyrosinase, Antioxidant, and Antibacterial Properties. Molecules 2016, 21, 1372. [Google Scholar] [CrossRef] [PubMed] [Green Version]
- Taofiq, O.; Heleno, S.A.; Calhelha, R.C.; Fernandes, I.P.; Alves, M.J.; Barros, L.; González-Paramás, A.M.; Ferreira, I.C.F.R.; Barreiro, M.F. Mushroom-based cosmeceutical ingredients: Microencapsulation and in vitro release profile. Ind. Crops Prod. 2018, 124, 44–52. [Google Scholar] [CrossRef] [Green Version]
- Rodrigues, F.; Sarmento, B.; Amaral, M.H.; Oliveira, M.B.P.P. Exploring the antioxidant potentiality of two food by-products into a topical cream: Stability, in vitro and in vivo evaluation. Drug Dev. Ind. Pharm. 2016, 42, 880–889. [Google Scholar] [CrossRef] [PubMed]
- Pinto, D.; Braga, N.; Rodrigues, F.; Oliveira, M. Castanea sativa Bur: An Undervalued By-Product but a Promising Cosmetic Ingredient. Cosmetics 2017, 4, 50. [Google Scholar] [CrossRef] [Green Version]
- Kawarkhe, P.; Deshmane, S.; Biyani, K. Natural Antioxidant for Face Cream: A Review. Int. J. Res. Cosmet. Sci. 2016, 6, 1–5. [Google Scholar]
- Ananda, T.; Nóbrega, T.A.L.; Campos, P.M.B.G.M. Antioxidant activity of Matricaria chamomilla L. extract and clinical efficacy of cosmetic formulations containing this extract and its isolated compounds. Biomed. Biopharm. Res. 2013, 10, 249–261. [Google Scholar] [CrossRef]





| Peak | Rt (min) | λmax (nm) | [M-H]¯(m/z) | MS2 (m/z) | Tentative Identification | Quantification (mg/g Extract) |
|---|---|---|---|---|---|---|
| 1 | 4.4 | 324 | 353 | 191 (100), 179 (50), 173 (19), 135 (10) | 3-O-Caffeoylquinic acid 1 | 18.30 ± 0.04 |
| 2 | 5.58 | 311 | 337 | 191 (100), 173 (35), 163 (100) | 3-p-Coumaroylquinic acid 2 | 5.78 ± 0.30 |
| 3 | 14.15 | 350 | 435 | 303 (20), 285 (100) | Taxifolin O-pentoside isomer 3 | 0.47 ± 0.01 |
| 4 | 14.34 | 349 | 435 | 303 (41), 285 (100) | Taxifolin O-pentoside isomer 3 | 1.06 ± 0.02 |
| 5 | 16.53 | 343 | 449 | 317 (100) | Myricetin O-pentoside 3 | 1.51 ± 0.0008 |
| 6 | 16.83 | 281 | 463 | 317 (100) | Myricetin O-rhamnoside 3 | 1.91 ± 0.09 |
| 7 | 17.36 | 354 | 435 | 303 (100), 285 (31) | Taxifolin O-pentoside isomer 3 | 5.31 ± 0.02 |
| 8 | 17.7 | 354 | 463 | 301 (100) | Quercetin 3-O-glucoside 3 | 6.70 ± 0.19 |
| 9 | 19.25 | 351 | 463 | 301 (100) | Quercetin 3-O-hexoside 3 | 2.01 ± 0.0039 |
| 10 | 20.17 | 352 | 433 | 301 (100) | Quercetin O-pentoside 3 | 9.64 ± 0.06 |
| 11 | 21.1 | 348 | 433 | 301 (100) | Quercetin O-pentoside 3 | 5.12 ± 0.16 |
| 12 | 22.86 | 342 | 447 | 301 (100) | Quercetin O-rhamnoside 3 | 1.62 ± 0.01 |
| 13 | 24.29 | 329 | 417 | 285 (100) | Kaempferol O-pentoside 3 | 1.29 ± 0.0018 |
| 14 | 25.68 | 332 | 417 | 285 (100) | Kaempferol O-pentoside 3 | 0.79 ± 0.0023 |
| 15 | 26.87 | 334 | 431 | 285 (100) | Kaempferol O-rhamnoside 3 | 0.90 ± 0.0026 |
| Total phenolic acids | 24.08 ± 0.35 | |||||
| Total flavonoids | 38.33 ± 0.59 | |||||
| Total phenolic compounds | 62.41 ± 0.94 |
| Bioactivity | Hydroethanolic Extract | Positive Control |
|---|---|---|
| Antioxidant activity (EC50) | (µg/mL) | |
| DPPH scavenging activity | 137 ± 10 | 41 ± 1.1 |
| Reducing power | 27.6 ± 0.02 | 42 ± 0.9 |
| TBARS formation inhibition | 11.83 ± 1.06 | 5.41 ± 0.3 |
| OxHLIA | ||
| Δt = 60 min | 10.8 ± 0.5 | 21.8 ± 0.2 |
| Δt = 120 min | 51 ± 1 | 43.5 ± 0.3 |
| Anti-tyrosinase activity (EC50) | µg/mL | µg/mL |
| L-DOPA inhibition | 751 ± 0.01 | 4.26 ± 0.02 |
| Anti-inflammatory activity (EC50) | (µg/mL) | |
| NO inhibition | 109 ± 5 | 6 ± 0.1 |
| Antibacterial activity (MIC/MBC) | (mg/mL) | |
| Staphylococcus lugdunensis | 2/2 | 0.003/0.006 |
| Proteus vulgaris | 0.25/0.5 | 0.1/0.2 |
| Staphylococcus epidermidis | 4/8 | 0.003/0.006 |
| Staphylococcus aureus (ATCC 6538) | 2/4 | 0.04/0.1 |
| Formulation 1 (Base cream) | |||||||||
| C5 | C20 | C40 | |||||||
| T0 | T14 | T30 | T0 | T14 | T30 | T0 | T14 | T30 | |
| L* | 79.34 ± 0.42 | 79.6 ± 0.63 | 82.93 ± 0.21 | 79.34 ± 0.42 | 79.67 ± 0.83 | 84.13 ± 0.47 | 79.34 ± 0.42 | 80.56 ± 0.26 | 84.46 ± 0.25 |
| a* | −1.52 ± 0.01 | −1.10 ± 0.03 | −1.24 ± 0.01 | −1.52 ± 0.01 | −1.16 ± 0.01 | −1.15 ± 0.01 | −1.52 ± 0.01 | −1.07 ± 0.01 | −1.59 ± 0.01 |
| b* | 0.79 ± 0.01 | 1.05 ± 0.02 | 1.32 ± 0.07 | 0.79 ± 0.01 | 1.12 ± 0.14 | 1.28 ± 0.01 | 0.79 ± 0.01 | 1.17 ± 0.01 | 0.46 ± 0.05 |
| Formulation 2 (Hydroethanolic extract formulation) | |||||||||
| H5 | H20 | H40 | |||||||
| T0 | T14 | T30 | T0 | T14 | T30 | T0 | T14 | T30 | |
| L* | 46.47 ± 0.22 | 47.39 ± 0.32 | 51.15 ± 0.06 | 47.30 ± 0.20 | 48.44 ± 0.08 | 51.88 ± 0.09 | 45.64 ± 0.16 | 46.39 ± 0.20 | 47.14 ± 0.10 |
| a* | 1.99 ± 0.2 | 1.75 ± 0.09 | 2.17 ± 0.01 | 1.8 ± 0.12 | 1.65 ± 0.01 | 2.43 ± 0.01 | 1.9 ± 0.03 | 2.43 ± 0.04 | 3.23 ± 0.03 |
| b* | 13.48 ± 0.25 | 14.03 ± 0.23 | 20.75 ± 0.08 | 13.67 ± 0.03 | 14.083 ± 0.2 | 20.84 ± 0.15 | 12.47 ± 0.14 | 13.87 ± 0.06 | 19.2 ± 0.17 |
| Peaks | H5 Formulation | H20 Formulation | H40 Formulation | ||||||
|---|---|---|---|---|---|---|---|---|---|
| T0 | T14 | T30 | T0 | T14 | T30 | T0 | T14 | T30 | |
| 1 | 0.62 ± 0.1 a | 0.61 ± 0.09 b | 0.49 ± 0.02 c | 0.77 ± 0.12 a | 0.71 ± 0.12 b | 0.49 ± 0.01 c | 0.67 ± 0.1 a | 0.57 ± 0.1 b | 0.48 ± 0.02 c |
| 2 | 0.76 ± 0.1 a | 0.76 ± 0.05 a | 0.63 ± 0.01 b | 0.86 ± 0.1 a | 0.82 ± 0.1 b | 0.63 ± 0.03 c | 0.80 ± 0.11 a | 0.73 ± 0.1 b | 0.65 ± 0.01 c |
| 3 | 0.50 ± 0.05 a | 0.51 ± 0.06 a | 0.40 ± 0.01 b | 0.53 ± 0.07 b | 0.56 ± 0.04 a | 0.40 ± 0.02 c | 0.60 ± 0.08 a | 0.50 ± 0.05 b | 0.38 ± 0.02 c |
| 4 | 0.48 ± 0.07 a | 0.45 ± 0.01 b | 0.36 ± 0.01 c | 0.48 ± 0.05 a | 0.48 ± 0.08 a | 0.35 ± 0.01 b | 0.50 ± 0.06 a | 0.44 ± 0.04 b | 0.36 ± 0.03 c |
| 5 | 2.72 ± 0.1 a | 2.74 ± 0.1 b | 1.51 ± 0.02 c | 3.12 ± 0.1 a | 2.95 ± 0.11 b | 1.39 ± 0.02 c | 3.10 ± 0.15 a | 2.36 ± 0.13 b | 1.57 ± 0.01 c |
| 6 | 0.43 ± 0.02 a | 0.40 ± 0.01 b | 0.33 ± 0.01 c | 0.42 ± 0.03 a | 0.45 ± 0.03 b | 0.32 ± 0.03 c | 0.43 ± 0.01 a | 0.39 ± 0.05 b | 0.35 ± 0.01 c |
| 7 | 1.87 ± 0.1 a | 1.86 ± 0.1 b | 1.16 ± 0.02 c | 2.24 ± 0.1 a | 2.13 ± 0.1 b | 1.06 ± 0.02 c | 2.33 ± 0.12 a | 1.79 ± 0.05 b | 1.18 ± 0.01 c |
| 8 | 1.37 ± 0.1 a | 1.35 ± 0.15 b | 0.82 ± 0.01 c | 1.57 ± 0.1 a | 1.48 ± 0.11 b | 0.76 ± 0.01 c | 1.41 ± 0.1 a | 1.18 ± 0.06 b | 0.90 ± 0.02 c |
| 9 | 0.50 ± 0.04 b | 0.54 ± 0.02 a | 0.39 ± 0.01 c | 0.55 ± 0.05 a | 0.51 ± 0.01 b | 0.37 ± 0.01 c | 0.52 ± 0.05 a | 0.47 ± 0.03 b | 0.40 ± 0.03 c |
| 10 | 0.44 ± 0.07 a | 0.44 ± 0.03 a | 0.35 ± 0.01 b | 0.44 ± 0.08 a | 0.43 ± 0.05 a | 0.34 ± 0.02 b | 0.45 ± 0.02 a | 0.40 ± 0.02 b | 0.34 ± 0.01 c |
| 11 | 0.35 ± 0.02 a | 0.34 ± 0.02 a | 0.31 ± 0.02 b | 0.36 ± 0.02 a | 0.36 ± 0.01 a | 0.31 ± 0.03 b | 0.36 ± 0.01 a | 0.33 ± 0.01 b | 0.32 ± 0.02 c |
| 12 | 0.42 ± 0.03 a | 0.42 ± 0.05 a | 0.33 ± 0.02 b | 0.45 ± 0.02 a | 0.38 ± 0.04 b | 0.33 ± 0.02 c | 0.40 ± 0.02 a | 0.38 ± 0.02 a | 0.33 ± 0.01 b |
| TPA | 1.39 ± 0.2 | 1.38 ± 0.14 | 1.13 ± 0.03 | 1.64 ± 0.22 | 1.54 ± 0.22 | 1.13 ± 0.04 | 1.47 ± 0.21 | 1.30 ± 0.2 | 1.14 ± 0.03 |
| TF | 9.13 ± 0.6 | 9.10 ± 0.55 | 6.02 ± 0.14 | 10.18 ± 0.62 | 9.78 ± 0.58 | 5.69 ± 0.19 | 10.16 ± 0.62 | 8.28 ± 0.46 | 6.18 ± 0.17 |
| TPC | 10.52 ± 0.8 | 10.14 ± 0.69 | 7.15 ± 0.17 | 11.82 ± 0.84 | 11.32 ± 0.8 | 6.82 ± 0.23 | 11.64 ± 0.83 | 9.59 ± 0.66 | 7.33 ± 0.2 |
Publisher’s Note: MDPI stays neutral with regard to jurisdictional claims in published maps and institutional affiliations. |
© 2022 by the authors. Licensee MDPI, Basel, Switzerland. This article is an open access article distributed under the terms and conditions of the Creative Commons Attribution (CC BY) license (https://creativecommons.org/licenses/by/4.0/).
Share and Cite
Besrour, N.; Oludemi, T.; Mandim, F.; Pereira, C.; Dias, M.I.; Soković, M.; Stojković, D.; Ferreira, O.; Ferreira, I.C.F.R.; Barros, L. Valorization of Juglans regia Leaves as Cosmeceutical Ingredients: Bioactivity Evaluation and Final Formulation Development. Antioxidants 2022, 11, 677. https://doi.org/10.3390/antiox11040677
Besrour N, Oludemi T, Mandim F, Pereira C, Dias MI, Soković M, Stojković D, Ferreira O, Ferreira ICFR, Barros L. Valorization of Juglans regia Leaves as Cosmeceutical Ingredients: Bioactivity Evaluation and Final Formulation Development. Antioxidants. 2022; 11(4):677. https://doi.org/10.3390/antiox11040677
Chicago/Turabian StyleBesrour, Nermine, Taofiq Oludemi, Filipa Mandim, Carla Pereira, Maria Inês Dias, Marina Soković, Dejan Stojković, Olga Ferreira, Isabel C. F. R. Ferreira, and Lillian Barros. 2022. "Valorization of Juglans regia Leaves as Cosmeceutical Ingredients: Bioactivity Evaluation and Final Formulation Development" Antioxidants 11, no. 4: 677. https://doi.org/10.3390/antiox11040677
APA StyleBesrour, N., Oludemi, T., Mandim, F., Pereira, C., Dias, M. I., Soković, M., Stojković, D., Ferreira, O., Ferreira, I. C. F. R., & Barros, L. (2022). Valorization of Juglans regia Leaves as Cosmeceutical Ingredients: Bioactivity Evaluation and Final Formulation Development. Antioxidants, 11(4), 677. https://doi.org/10.3390/antiox11040677

