Serum 5-Hydroxyindoleacetic Acid and Ratio of 5-Hydroxyindoleacetic Acid to Serotonin as Metabolomics Indicators for Acute Oxidative Stress and Inflammation in Vancomycin-Associated Acute Kidney Injury
Abstract
1. Introduction
2. Materials and Methods
2.1. Study Cohort
2.2. Blood Sampling
2.3. The Exploratory Metabolome Profiling Analysis
2.4. The Amino Acids Profiling Analysis
2.5. Measurement of 5-HT, and 5-HIAA
2.6. Measurement of Serum Creatinine and Vancomycin Concentration
2.7. Statistical Analysis
3. Results
3.1. Subject Characteristics
3.2. The Results of the Exploratory Metabolome Profiling Analysis
3.3. The Results of the Amino Acids Profiling Analysis
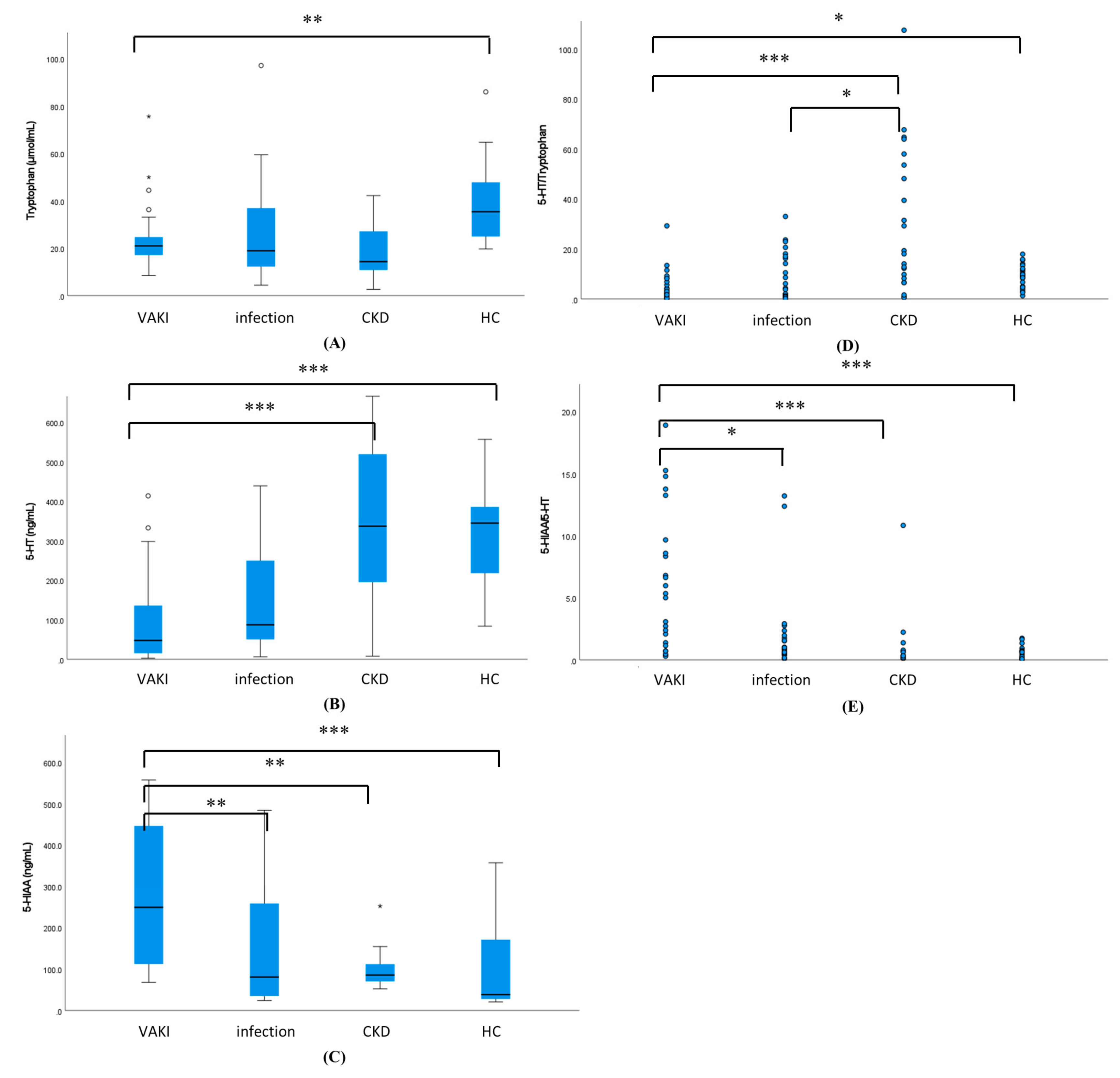
3.4. The Results of Measurement of 5-HT and 5-HIAA
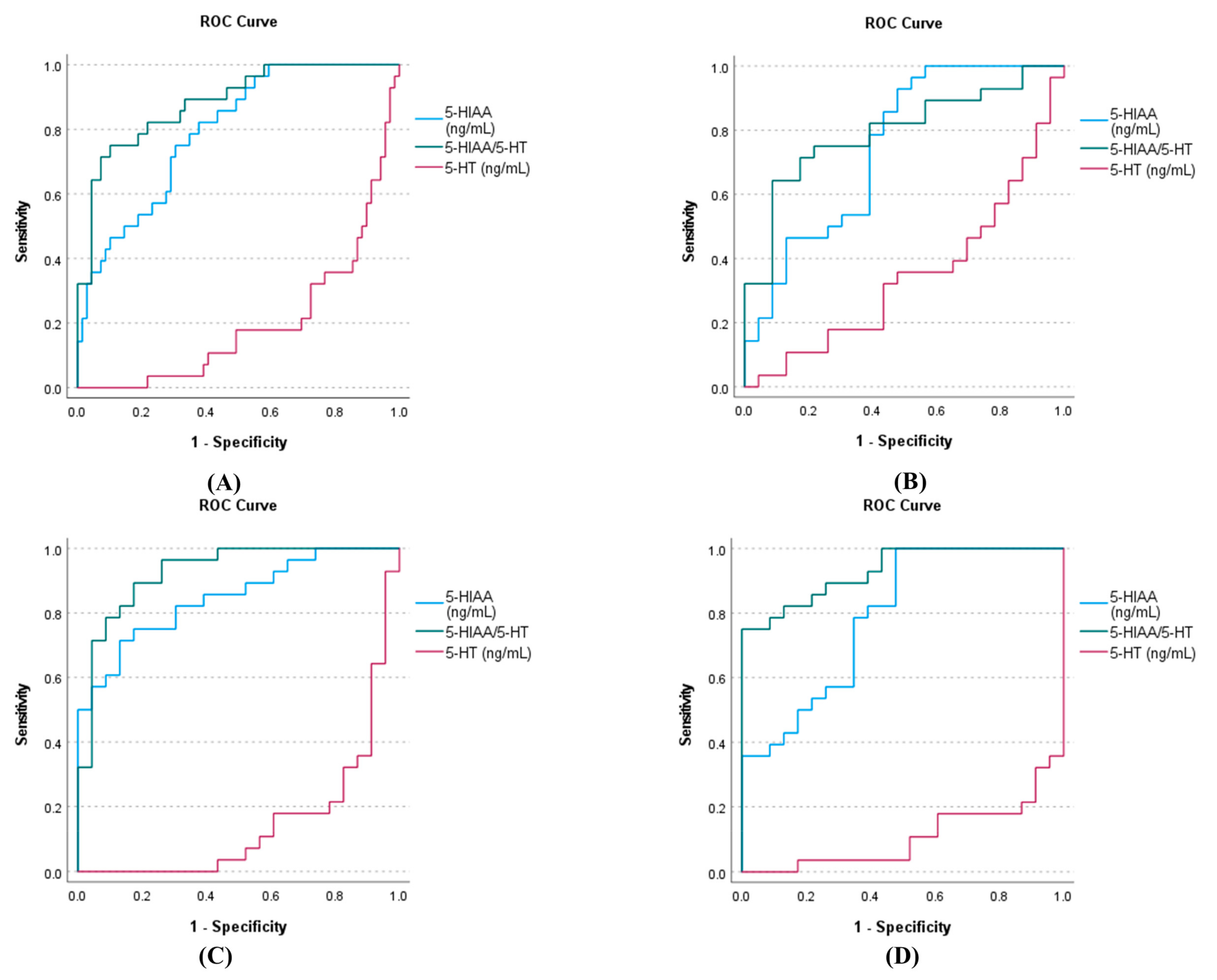
3.5. The AUC-ROC Analysis of 5-HT 5-HIAA, and 5-HIAA/5-HT for VAKI
4. Discussion
5. Conclusions
Supplementary Materials
Author Contributions
Funding
Institutional Review Board Statement
Informed Consent Statement
Data Availability Statement
Conflicts of Interest
References
- Nash, K.; Hafeez, A.; Hou, S. Hospital-acquired renal insufficiency. Am. J. Kidney Dis. 2002, 39, 930–936. [Google Scholar] [CrossRef]
- Neveu, H.; Kleinknecht, D.; Brivet, F.; Loirat, P.; Landais, P. Prognostic factors in acute renal failure due to sepsis. Results of a prospective multicentre study. Nephrol. Dial. Transplant. 1996, 11, 293–299. [Google Scholar] [CrossRef] [PubMed]
- Joyce, E.L.; Kane-Gill, S.L.; Fuhrman, D.Y.; Kellum, J.A. Drug-associated acute kidney injury: Who’s at risk? Pediatr. Nephrol. 2017, 32, 59–69. [Google Scholar] [CrossRef] [PubMed][Green Version]
- Gaggl, M.; Pate, V.; Stürmer, T.; Kshirsagar, A.V.; Layton, J.B. The comparative risk of acute kidney injury of vancomycin relative to other common antibiotics. Sci. Rep. 2020, 10, 17282. [Google Scholar] [CrossRef] [PubMed]
- Filippone, E.J.; Kraft, W.K.; Farber, J.L. The nephrotoxicity of vancomycin. Clin. Pharmacol. Ther. 2017, 102, 459–469. [Google Scholar] [CrossRef] [PubMed]
- Bamgbola, O. Review of vancomycin-induced renal toxicity: An update. Ther. Adv. Endocrinol. Metab. 2016, 7, 136–147. [Google Scholar] [CrossRef] [PubMed]
- Blaskovich, M.A.T.; Hansford, K.A.; Butler, M.S.; Jia, Z.; Mark, A.E.; Cooper, M.A. Developments in glycopeptide antibiotics. ACS Infect. Dis. 2018, 4, 715–735. [Google Scholar] [CrossRef]
- Bakthavatchalam, Y.D.; Nabarro, L.E.; Veeraraghavan, B. Evolving rapid methicillin-resistant Staphylococcus aureus detection: Cover all the bases. J. Glob. Infect. Dis. 2017, 9, 18–22. [Google Scholar]
- Van Meer, L.; Moerland, M.; Cohen, A.F.; Burggraaf, J. Urinary kidney biomarkers for early detection of nephrotoxicity in clinical drug development. Br. J. Clin. Pharmacol. 2014, 77, 947–957. [Google Scholar] [CrossRef]
- Griffin, B.R.; Faubel, S.; Edelstein, C.L. Biomarkers of drug-induced kidney toxicity. Ther. Drug Monit. 2019, 41, 213–226. [Google Scholar] [CrossRef]
- Vaidya, V.S.; Ferguson, M.A.; Bonventre, J.V. Biomarkers of acute kidney injury. Annu. Rev. Pharmacol. Toxicol. 2008, 48, 463–493. [Google Scholar] [CrossRef]
- Holzscheiter, L.; Beck, C.; Rutz, S.; Manuilova, E.; Domke, I.; Guder, W.G.; Hofmann, W. NGAL, L-FABP, and KIM-1 in comparison to established markers of renal dysfunction. Clin. Chem. Lab. Med. 2014, 52, 537–546. [Google Scholar] [CrossRef]
- Devarajan, P. Biomarkers for the early detection of acute kidney injury. Curr. Opin. Pediatr. 2011, 23, 194–200. [Google Scholar] [CrossRef] [PubMed]
- Yi, A.; Lee, C.-H.; Yun, Y.-M.; Kim, H.; Moon, H.-W.; Hur, M. Effectiveness of plasma and urine neutrophil gelatinase-associated lipocalin for predicting acute kidney injury in high-risk patients. Ann. Lab. Med. 2021, 41, 60–67. [Google Scholar] [CrossRef]
- Albert, C.; Haase, M.; Albert, A.; Zapf, A.; Braun-Dullaeus, R.C.; Haase-Fielitz, A. Biomarker-guided risk assessment for acute kidney injury: Time for clinical implementation? Ann. Lab. Med. 2021, 41, 1–15. [Google Scholar] [CrossRef]
- Albert, C.; Haase, M.; Albert, A.; Kropf, S.; Bellomo, R.; Westphal, S.; Westerman, M.; Braun-Dullaeus, R.C.; Haase-Fielitz, A. Urinary biomarkers may complement the cleveland score for prediction of adverse kidney events after cardiac surgery: A pilot study. Ann. Lab. Med. 2020, 40, 131–141. [Google Scholar] [CrossRef]
- Simsek, A.; Tugcu, V.; Tasci, A.I. New biomarkers for the quick detection of acute kidney injury. ISRN Nephrol. 2013, 2013, 394582. [Google Scholar] [CrossRef]
- Kantae, V.; Krekels, E.H.J.; Esdonk, M.J.V.; Lindenburg, P.; Harms, A.C.; Knibbe, C.A.J.; Van der Graaf, P.H.; Hankemeier, T. Integration of pharmacometabolomics with pharmacokinetics and pharmacodynamics: Towards personalized drug therapy. Metabolomics 2017, 13, 9. [Google Scholar] [CrossRef]
- Balashova, E.E.; Maslov, D.L.; Lokhov, P.G. A metabolomics approach to pharmacotherapy personalization. J. Pers. Med. 2018, 8, 28. [Google Scholar] [CrossRef]
- Cisek, K.; Krochmal, M.; Klein, J.; Mischak, H. The application of multi-omics and systems biology to identify therapeutic targets in chronic kidney disease. Nephrol. Dial. Transplant. 2016, 31, 2003–2011. [Google Scholar] [CrossRef]
- Zhang, P.; Li, W.; Chen, J.; Li, R.; Zhang, Z.; Huang, Y.; Xu, F. Branched-chain amino acids as predictors for individual differences of cisplatin nephrotoxicity in rats: A pharmacometabonomics study. J. Proteome Res. 2017, 16, 1753–1762. [Google Scholar] [CrossRef] [PubMed]
- Minejima, E.; Choi, J.; Beringer, P.; Lou, M.; Tse, E.; Wong-Beringer, A. Applying new diagnostic criteria for acute kidney injury to facilitate early identification of nephrotoxicity in vancomycin-treated patients. Antimicrob. Agents Chemother. 2011, 55, 3278–3283. [Google Scholar] [CrossRef] [PubMed]
- Hiroshima, Y.; Yamamoto, T.; Watanabe, M.; Baba, Y.; Shinohara, Y. Effects of cold exposure on metabolites in brown adipose tissue of rats. Mol. Genet. Metab. Rep. 2018, 15, 36–42. [Google Scholar] [CrossRef] [PubMed]
- Woo, H.I.; Chun, M.R.; Yang, J.S.; Lim, S.W.; Kim, M.J.; Kim, S.W.; Myung, W.J.; Kim, D.K.; Lee, S.Y. Plasma amino acid profiling in major depressive disorder treated with selective serotonin reuptake inhibitors. CNS Neurosci. Ther. 2015, 21, 417–424. [Google Scholar] [CrossRef]
- Palego, L.; Betti, L.; Rossi, A.; Giannaccini, G. Tryptophan biochemistry: Structural, nutritional, metabolic, and medical aspects in humans. J. Amino Acids 2016, 2016, 8952520. [Google Scholar] [CrossRef]
- Peters, J.C. Tryptophan nutrition and metabolism: An overview. Adv. Exp. Med. Biol. 1991, 294, 345–358. [Google Scholar]
- Leklem, J.E. Quantitative aspects of tryptophan metabolism in humans and other species: A review. Am. J. Clin. Nutr. 1971, 24, 659–672. [Google Scholar] [CrossRef]
- Wang, Q.; Liu, D.; Song, P.; Zou, M.H. Tryptophan-kynurenine pathway is dysregulated in inflammation, and immune activation. Front. Biosci. 2015, 20, 1116–1143. [Google Scholar]
- O’Connor, J.C.; André, C.; Wang, Y.; Lawson, M.A.; Szegedi, S.S.; Lestage, J.; Castanon, N.; Kelley, K.W.; Dantzer, R. Interferon-gamma and tumor necrosis factor-alpha mediate the upregulation of indoleamine 2,3-dioxygenase and the induction of depressive-like behavior in mice in response to bacillus Calmette-Guerin. J. Neurosci. 2009, 29, 4200–4209. [Google Scholar] [CrossRef]
- Narui, K.; Noguchi, N.; Saito, A.; Kakimi, K.; Motomura, N.; Kubo, K.; Takamoto, S.; Sasatsu, M. Anti-infectious activity of tryptophan metabolites in the L-tryptophan-L-kynurenine pathway. Biol. Pharm. Bull. 2009, 32, 41–44. [Google Scholar] [CrossRef]
- Changsirivathanathamrong, D.; Wang, Y.; Rajbhandari, D.; Maghzal, G.J.; Mak, W.M.; Woolfe, C.; Duflou, J.; Gebski, V.; Remedios, C.G.D.; Celermajer, D.S.; et al. Tryptophan metabolism to kynurenine is a potential novel contributor to hypotension in human sepsis. Crit. Care Med. 2011, 39, 2678–2683. [Google Scholar] [CrossRef]
- Kaminski, T.W.; Pawlak, K.; Karbowska, M.; Mysliwiec, M.; Grzegorzewski, W.; Kuna, J.; Pawlak, D. Association between uremic toxin-anthranilic acid and fibrinolytic system activity in predialysis patients at different stages of chronic kidney disease. Int. Urol. Nephrol. 2018, 50, 127–135. [Google Scholar] [CrossRef]
- Karu, N.; McKercher, C.; Nichols, D.S.; Davies, N.; Shellie, R.A.; Hilder, E.F.; Jose, M.D. Tryptophan metabolism, its relation to inflammation and stress markers and association with psychological and cognitive functioning: Tasmanian chronic kidney disease pilot study. BMC Nephrol. 2016, 17, 171. [Google Scholar] [CrossRef]
- Elmariah, S.; Farrell, L.A.; Daher, M.; Shi, X.; Keyes, M.J.; Cain, C.H.; Pomerantsev, E.; Vlahakes, G.J.; Inglessis, I.; Passeri, J.J.; et al. Metabolite profiles predict acute kidney injury and mortality in patients undergoing transcatheter aortic valve replacement. J. Am. Heart Assoc. 2016, 5, e002712. [Google Scholar] [CrossRef]
- Cheng, Y.; Li, Y.; Benkowitz, P.; Lamina, C.; Köttgen, A.; Sekula, P. The relationship between blood metabolites of the tryptophan pathway and kidney function: A bidirectional Mendelian randomization analysis. Sci. Rep. 2020, 10, 12675. [Google Scholar] [CrossRef]
- Shin, S.-Y.; Fauman, E.B.; Petersen, A.-K.; Krumsiek, J.; Santos, R.; Huang, J.; Arnold, M.; Erte, I.; Forgetta, V.; Yang, T.-P.; et al. An atlas of genetic influences on human blood metabolites. Nat. Genet. 2014, 46, 543–550. [Google Scholar] [CrossRef]
- Hiratsuka, C.; Fukuwatari, T.; Sano, M.; Saito, K.; Sasaki, S.; Shibata, K. Supplementing healthy women with up to 5.0 g/d of L-tryptophan has no adverse effects. J. Nutr. 2013, 143, 859–866. [Google Scholar] [CrossRef]
- Maffei, M.E. 5-Hydroxytryptophan (5-HTP): Natural occurrence, analysis, biosynthesis, biotechnology, physiology and toxicology. Int. J. Mol. Sci. 2020, 22, 181. [Google Scholar] [CrossRef]
- Welford, R.W.D.; Vercauteren, M.; Trébaul, A.; Cattaneo, C.; Eckert, D.; Garzotti, M.; Sieber, P.; Segrestaa, J.; Studer, R.; Groenen, P.M.A.; et al. Serotonin biosynthesis as a predictive marker of serotonin pharmacodynamics and disease-induced dysregulation. Sci. Rep. 2016, 6, 30059. [Google Scholar] [CrossRef]
- Huang, Y.; Xu, H.; Li, H.; Yang, H.; Chen, Y.; Shi, X. Pre-gestational stress reduces the ratio of 5-HIAA to 5-HT and the expression of 5-HT1A receptor and serotonin transporter in the brain of foetal rat. BMC Neurosci. 2012, 13, 22. [Google Scholar] [CrossRef]
- Troché, G.; Henry-Lagarrigue, M.; Soppelsa, F.; Legriel, S.; Yehia, A.; Bruneel, F.; Bédos, J.P.; Spreux-Varoquaux, O. Tryptophan pathway catabolites (serotonin, 5-hydroxyindolacetic acid, kynurenine) and enzymes (monoamine oxidase and indole amine 2,3 dioxygenase) in patients with septic shock: A prospective observational study versus healthy controls. Medicine 2020, 99, e19906. [Google Scholar] [CrossRef] [PubMed]
- Poon, C.C.; Seto, S.W.; Au, A.L.; Zhang, Q.; Li, R.W.; Lee, W.Y.; Leung, G.P.; Kong, S.K.; Yeung, J.H.; Ngai, S.M.; et al. Mitochondrial monoamine oxidase-A-mediated hydrogen peroxide generation enhances 5-hydroxytryptamine-induced contraction of rat basilar artery. Br. J. Pharmacol. 2010, 161, 1086–1098. [Google Scholar] [CrossRef] [PubMed]
- Khovanskaia, T.P.; Ermolaev, M.V. Serotonin and 5-hydroxyindolacetate during acute renal ischemia. Biull. Eksp. Biol. Med. 1975, 80, 46–48. [Google Scholar] [PubMed]
- Du, C.K.; Zhan, D.Y.; Akiyama, T.; Inagaki, T.; Shishido, T.; Shirai, M.; Pearson, J.T. Myocardial interstitial levels of serotonin and its major metabolite 5-hydroxyindole acetic acid during ischemia-reperfusion. Am. J. Physiol. Heart Circ. Physiol. 2017, 312, H60–H67. [Google Scholar] [CrossRef]
- Azouzi, S.; Santuz, H.; Morandat, S.; Pereira, C.; Côté, F.; Hermine, O.; Kirat, K.E.; Colin, Y.; Van Kim, C.L.; Etchebest, C.; et al. Antioxidant and membrane binding properties of serotonin protect lipids from oxidation. Biophys. J. 2017, 112, 1863–1873. [Google Scholar] [CrossRef]
- Maggiorani, D.; Manzella, N.; Edmondson, D.E.; Mattevi, A.; Parini, A.; Binda, C.; Mialet-Perez, J. Monoamine oxidases, oxidative stress, and altered mitochondrial dynamics in cardiac ageing. Oxid. Med. Cell Longev. 2017, 2017, 3017947. [Google Scholar] [CrossRef]
- Kaludercic, N.; Mialet-Perez, J.; Paolocci, N.; Parini, A.; Lisa, F. Monoamine oxidases as sources of oxidants in the heart. J. Mol. Cell Cardiol. 2014, 73, 34–42. [Google Scholar] [CrossRef]
- Holeček, M. Branched-chain amino acids and branched-chain keto acids in hyperammonemic states: Metabolism and as supplements. Metabolites 2020, 10, 324. [Google Scholar] [CrossRef]
- Iwasa, M.; Kobayashi, Y.; Mifuji-Moroka, R.; Hara, N.; Miyachi, H.; Sugimoto, R.; Tanaka, H.; Fujita, N.; Gabazza, E.C.; Takei, Y. Branched-chain amino acid supplementation reduces oxidative stress and prolongs survival in rats with advanced liver cirrhosis. PLoS ONE 2013, 8, e70309. [Google Scholar] [CrossRef]
- Stankovic, J.S.K.; Selakovic, D.; Mihailovic, V.; Rosic, G. Antioxidant supplementation in the treatment of neurotoxicity induced by platinum-based chemotherapeutics—A review. Int. J. Mol. Sci. 2020, 21, 7753. [Google Scholar] [CrossRef]
- Boldyrev, A.A.; Stvolinsky, S.L.; Fedorova, T.N.; Suslina, Z.A. Carnosine as a natural antioxidant and geroprotector: From molecular mechanisms to clinical trials. Rejuvenation Res. 2010, 13, 156–158. [Google Scholar] [CrossRef]
- Sahin, S.; Donmez, D.B. Effects of carnosine (beta-alanyl-L-histidine) in an experimental rat model of acute kidney injury due to septic shock. Med. Sci. Monit. 2018, 24, 305–316. [Google Scholar] [CrossRef]
- Gazi, M.A.; Das, S.; Siddique, M.A.; Alam, M.A.; Fahim, S.M.; Hasan, M.M.; Hossaini, F.; Kabir, M.M.; Noor, Z.; Haque, R.; et al. Plasma kynurenine to tryptophan ratio is negatively associated with linear growth of children living in a slum of Bangladesh: Results from a community-based intervention study. Am. J. Trop. Med. Hyg. 2020, 104, 766–773. [Google Scholar] [CrossRef]





| Clinical Characteristics | Overall | VAKI | Non-VAKI | |||||||
|---|---|---|---|---|---|---|---|---|---|---|
| Total Non-VAKI | p-Value a | Infection | p-Value a | CKD | p-Value a | HC | p-Value a | |||
| Number of Subjects | 97 | 28 | 69 | 23 | 23 | 23 | ||||
| Age, yr (mean ± SD) | 60.2 ± 13.1 | 60.4 ± 14.5 | 60.2 ± 13.1 | N.S | 58.4 ± 12.2 | N.S | 63.4 ± 12.1 | N.S | 58.4 ± 13.1 | N.S |
| range | 20–85 | 20–85 | 21–82 | 37–82 | 21–72 | 24–81 | ||||
| Female (%) | 38 (39%) | 10 (36%) | 28 (41%) | N.S | 9 (39%) | N.S | 9 (39%) | N.S | 10 (43%) | N.S |
| BMI (kg/m2) | 23.4 ± 3.4 | 21.8 ± 3.2 | 24.0 ± 3.2 | 0.002 | 23.2 ± 3.5 | N.S | 24.3 ± 3.4 | 0.018 | 24.6 ± 2.7 | 0.02 |
| SCr (mg/dL) | 1.16 ± 0.60 | 1.60 ± 0.96 | 1.05 ± 0.51 | <0.001 | 0.62 ± 0.21 | <0.001 | 1.61 ± 0.29 | N.S | 0.85 ± 0.15 | <0.001 |
| GFR (mL/min/1.73 m2) | 67.8 ± 31.4 | 45.9 ± 12.8 | 76.8 ± 32.4 | <0.001 | 107.8 ± 23.9 | <0.001 | 39.5 ± 4.3 | N.S | 84.6 ± 11.8 | <0.001 |
| CRP (mg/dL) | 0.26 ± 6.78 | 5.78 ± 8.74 | 2.39 ± 4.88 | <0.001 | 7.19 ± 6.31 | N.S | 0.07 ± 0.94 | <0.001 | 0.04 ± 0.71 | <0.001 |
| Vancomycin Cmin | 27.3 ± 5.3 | 14.2 ± 2.6 | <0.001 | |||||||
| (μg/mL) | ||||||||||
| Parameters | VAKI | Non-VAKI | |||||||
|---|---|---|---|---|---|---|---|---|---|
| (μmol/mL) | Total Non-VAKI | p-Value a | Infection | p-Value a | CKD | p-Value a | HC | p-Value a | |
| Alanine | 417.3 (324.0–487.3) | 296.0 (207.5–393.3) | 0.002 | 290.6 (241.5–529.9) | N.S | 201.2 (141.7–267.2) | <0.001 | 371.7 (339.4–420.3) | N.S |
| Beta-alanine | 2.1 (1.4–2.9) | 4.7 (2.4–7.2) | <0.001 | 7.3 (6.2–8.6) | <0.001 | 3.5 (2.4–6.5) | 0.01 | 2.4 (1.9–4.7) | N.S |
| Anserine | 0.0 (0.0–0.0) | 0.0 (0.0–0.7) | <0.001 | 0.5 (0.0–0.8) | <0.001 | 0.0 (0.0–0.0) | N.S | 0.6 (0.0–0.9) | <0.001 |
| Aminoadipic acid | 0.0 (0.0–1.0) | 0.6 (0.0–1.1) | N.S | 0.6 (0.0–1.0) | N.S | 0.7 (0.0–1.1) | N.S | 0.5 (0.0.–0.9) | N.S |
| Alpha-aminobutyric acid | 10.2 (8.2–13.4) | 13.5 (8.5–17.9) | 0.05 | 14.9 (11.4–19.1) | 0.002 | 6.4 (3.9–11.5) | 0.037 | 16.6 (11.7–20.0) | <0.001 |
| Gamma-aminobutyric acid | 0.0 (0.0–0.2) | 1.4 (0.9–2.0) | <0.001 | 1.9 (1.3–2.5) | <0.001 | 0.9 (0.5–1.9) | <0.001 | 1.3 (1.1–1.6) | <0.001 |
| Beta-aminoisobutyric acid | 2.8 (1.4–4.8) | 0.7 (0.0–2.3) | 0.002 | 0.5 (0.0–1.7) | 0.001 | 2.6 (0.0–9.8) | N.S | 0.7 (0.0–1.1) | <0.001 |
| Arginine | 72.8 (59.2–84.2) | 61.9 (37.3–95.0) | N.S | 62.0 (40.6–143.2) | N.S | 37.3 (23.2–59.1) | <0.001 | 73.7 (59.4–117.9) | N.S |
| Asparagine | 29.5 (23.7–34.9) | 28.2 (19.4–36.3) | N.S | 30.1 (20.4–43.0) | N.S | 19.4 (13.0–33.5) | 0.011 | 30.5 (23.2–36.5) | N.S |
| Aspartic acid | 11.3 (8.5–16.4) | 19.6 (11.3–36.0) | 0.01 | 24.2 (19.0–41.6) | <0.001 | 11.8 (9.1–37.3) | N.S | 15.3 (10.4–32.6) | N.S |
| Carnosine | 0.0 (0.0–0.0) | 0.0 (0.0–0.0) | 0.024 | 0.0 (0.0–0.3) | 0.017 | 0.0 (0.0–0.0) | N.S | 0.0 (0.0–0.0) | 0.039 |
| Citrulline | 35.0 (29.3–39.4) | 20.9 (13.2–30.5) | <0.001 | 17.6 (11.2–39.5) | 0.002 | 14.1 (9.8–22.0) | <0.001 | 27.4 (22.4–33.0) | 0.007 |
| Cystathionine | 0.0 (0.0–0.0) | 0.0 (0.0–0.8) | N.S | 0.0 (0.0–0.0) | N.S | 0.8 (0.0–1.6) | 0.002 | 0.6 (0.0–0.5) | N.S |
| Cystine | 3.7 (1.9–8.1) | 5.6 (2.0–13.0) | N.S | 11.4 (7.8–13.5) | <0.001 | 10.4 (5.2–29.4) | <0.001 | 1.2 (0.0–2.0) | <0.001 |
| Ethanolamine | 5.8 (4.8–6.6) | 9.1 (5.5–11.9) | 0.037 | 8.9 (7.0–11.6) | 0.01 | 5.5 (3.4–10.3) | N.S | 10.9 (6.7–15.4) | 0.003 |
| Glutamic acid | 54.1 (39.8–76.9) | 82.2 (54.1–114.5) | 0.016 | 100.4 (72.5–158.6) | 0.002 | 58.9 (35.6–113.1) | N.S | 72.0 (56.4–99.6) | 0.034 |
| Glutamine | 313 | 257.5 | N.S | 232.6 | 0.022 | 140.5 | <0.001 | 382.3 | 0.028 |
| (275.1–370.9) | (145.1–378.5) | (170.5–326.9) | (97.4–244.7) | (298.5–570.1) | |||||
| Glycine | 136 | 142.7 | N.S | 149.7 | N.S | 110.3 | 0.043 | 165.9 | N.S |
| (117.2–198.9) | (119.8–266.4) | (125.4–267.9) | (98.4–244.7) | (133.3–288.5) | |||||
| Histidine | 34.9 (32.1–38.6) | 40.2 (29.4–57.7) | N.S | 37.1 (28.2–54.3) | N.S | 35.7 (17.3–46.6) | N.S | 47.0 (37.7–80.2) | 0.001 |
| Homocysteine | 0.0 (0.0–0.0) | 0.0 (0.0–0.0) | N.S | 0.0 (0.0–0.0) | N.S | 0.0 (0.0–0.0) | N.S | 0.0 (0.0–0.0) | N.S |
| Dehydroxylysine | 0.0 (0.0–0.0) | 0.0 (0.0–0.0) | N.S | 0.0 (0.0–0.0) | N.S | 0.0 (0.0–0.0) | N.S | 0.0 (0.0–0.0) | N.S |
| Hydroxyproline | 7.6 (5.4–10.4) | 6.1 (3.9–9.4) | N.S | 6.6 (3.9–9.4) | N.S | 6.1 (3.1–14.9) | N.S | 5.2 (4.4–8.8) | N.S |
| Isoleucine) | 32.0 (25.8–39.0) | 35.2 (25.5–51.5) | N.S | 41.0 (31.1–59.0) | 0.041 | 24.4 (16.4–40.7) | N.S | 37.9 (29.2–53.1) | N.S |
| Leucine | 80.2 (59.3–99.1) | 93.8 (72.1–137.3) | N.S | 103.1 (87.4–140.8) | 0.015 | 53.1 (34.5–105.9) | N.S | 106.7 (81.6–147.4) | 0.006 |
| Lysine | 99.2 (83.1–114.8) | 122.2 (78.2–157.5) | N.S | 122.2 (83.7–170.2) | N.S | 73.1 (46.0–127.1) | N.S | 131.1 | 0.001 |
| (105.5–185.6) | |||||||||
| Methionine | 6.0 (5.1–8.9) | 16.1 (7.2–29.7) | 0.002 | 9.3 (5.9–15.9) | N.S | 8.0 (4.6–15.9) | N.S | 34.7 (26.9–40.0) | <0.001 |
| 1-methylhistidine | 7.4 (5.9–9.9) | 9.2 (6.2–12.6) | N.S | 13.6 (10.1–14.9) | <0.001 | 6.3 (4.1–10.1) | N.S | 8.8 (6.2–10.3) | N.S |
| 3-methylhistidine | 4.8 (4.0–7.2) | 3.4 (1.6–6.8) | 0.024 | 1.7 (0.9–10.7) | 0.018 | 5.7 (4.2–12.3) | N.S | 2.1 (1.6–4.3) | <0.001 |
| Ornithine | 48.9 (38.5–77.1) | 53.7 (40.9–92.6) | N.S | 88.4 (51.3–117.3) | 0.039 | 51.9 (35.7–90.3) | N.S | 49.8 (42.5–69.9) | N.S |
| Phenylalanine | 51.5 (46.2–67.7) | 64.6 (47.0–87.6) | N.S | 76.4 (55.5–100.3) | 0.003 | 65.4 (40.9–104.7) | N.S | 54.9 (37.2–82.4) | N.S |
| O-phosphoethanolamine | 0.0 (0.0–0.0) | 0.0 (0.0–0.0) | N.S | 0.0 (0.0–0.0) | N.S | 0.0 (0.0–0.0) | N.S | 0.0 (0.0–0.0) | N.S |
| O-phosphoserine | 1.6 (1.2–2.0) | 3.0 (1.7–4.6) | <0.001 | 3.8 (1.9–.5.1) | 0.002 | 2.4 (1.8–3.5) | 0.009 | 3.4 (1.6–8.3) | 0.002 |
| Proline | 97.7 (76.9–127.9) | 83.3 (49.3–129.9) | N.S | 89.5 (86.7–141.9) | N.S | 53.2 (44.4–106.1) | 0.013 | 74.9 (57.1–169.0) | N.S |
| Sarcosine | 0.0 (0.0–0.6) | 0.6 (0.0–0.8) | N.S | 0.6 (0.0–1.2) | N.S | 0.0 (0.0–0.8) | N.S | 0.6 (0.0–0.8) | N.S |
| Serine | 78.2 (69.2–93.9) | 88.0 (70.1–138.7) | N.S | 100.3 (86.7–141.9) | 0.01 | 63.3 (40.8–82.7) | 0.021 | 111.0 (75.1–1843.4) | 0.009 |
| Taurine | 40.6 (32.6–50.4) | 65.2 (34.7–99.3) | 0.02 | 69.8 (39.9–109.3) | N.S | 34.7 (29.1–73.9) | N.S | 81.0 (60.8–127.1) | <0.001 |
| Threonine | 66.2 (52.9–80.8) | 59.0 (40.7–89.4) | N.S | 64.6 (46.0–114.2) | N.S | 38.1 (30.4–63.9) | 0.001 | 59.8 (50.3–118.3) | N.S |
| Tryptophan | 21.0 (17.6–24.6) | 25.0 (13.0–36.9) | N.S | 18.9 (12.2–37.0) | N.S | 14.3 (10.8–27.2) | N.S | 35.4 (25.0–47.8) | <0.001 |
| Tyrosine | 34.1 (26.7–37.2) | 39.1 (26.9–57.9) | N.S | 36.4 (25.2–37.0) | N.S | 37.2 (18.4–54.4) | N.S | 41.7 (25.0–48.6) | 0.011 |
| Valine | 129.3 | 142.1 | N.S | 178.1 | 0.034 | 91.9 (51.4–140.8) | 0.009 | 156.9 | 0.014 |
| (114.9–160.5) | (101.3–220.3) | (138.0–222.2) | (125.5–256.8) | ||||||
| Argininosuccinic acid | 0.0 (0.0–0.0) | 0.0 (0.0–1.1) | <0.001 | 0.6 (0.0–1.3) | <0.001 | 0.0 (0.0–0.6) | 0.002 | 0.0 (0.0–2.0) | <0.001 |
| Homocitrulline | 1.1 (0.7–1.5) | 0.0 (0.0–0.7) | <0.001 | 0.0 (0.0–0.4) | <0.001 | 0.0 (0.0–0.8) | 0.001 | 0.0 (0.0–0.7) | <0.001 |
| All-isoleucine | 0.0 (0.0–0.0) | 0.0 (0.0–0.8) | 0.003 | 0.0 (0.0–0.0) | N.S | 0.0 (0.0–0.9) | 0.007 | 0.8 (0.0–1.4) | <0.001 |
| Parameters | VAKI | Non-VAKI | |||||||
|---|---|---|---|---|---|---|---|---|---|
| Total Non-VAKI | p-Value a | Infection | p-Value a | CKD | p-Value a | HC | p-Value a | ||
| Trp (μmol/mL) | 21.0 (17.6–24.6) | 25.0 (13.0–36.9) | N.S | 18.9 (12.2–37.0) | N.S | 14.3 (10.8–27.2) | N.S | 35.4 (25.0–47.8) | 0.004 |
| 5-HT (ng/mL) | 47.8 (16.6–135.5) | 251.2 (114.5–389.3) | <0.001 | 87.5 (50.6–250.2) | N.S | 337.6 (195.8–520.0) | <0.001 | 345.2 (218.4–386.4) | <0.001 |
| 5-HIAA (ng/mL) | 249.4 (113.0–442.2) | 84.5(36.3–154.5) | <0.001 | 80.8 (35.2–258.7) | 0.006 | 85.7 (70.4–111.8) | 0.003 | 38.5 (27.7–171.2) | <0.001 |
| 5-HT/Trp | 2.0 (0.7–6.5) | 9.8(3.8–18.0) | <0.001 | 4.3 (1.6–16.2) | N.S | 20.0 (8.6–56.9) | <0.001 | 9.4 (4.8–12.1) | 0.017 |
| 5-HIAA/5-HT | 6.3 (1.9–14.0) | 0.4 ( 0.2–0.9) | <0.001 | 0.9 (0.5–1.9) | 0.032 | 0.2 (0.2–0.5) | <0.001 | 0.3 (0.1–0.7) | <0.001 |
Publisher’s Note: MDPI stays neutral with regard to jurisdictional claims in published maps and institutional affiliations. |
© 2021 by the authors. Licensee MDPI, Basel, Switzerland. This article is an open access article distributed under the terms and conditions of the Creative Commons Attribution (CC BY) license (https://creativecommons.org/licenses/by/4.0/).
Share and Cite
Lee, H.-S.; Kim, S.-M.; Jang, J.-H.; Park, H.-D.; Lee, S.-Y. Serum 5-Hydroxyindoleacetic Acid and Ratio of 5-Hydroxyindoleacetic Acid to Serotonin as Metabolomics Indicators for Acute Oxidative Stress and Inflammation in Vancomycin-Associated Acute Kidney Injury. Antioxidants 2021, 10, 895. https://doi.org/10.3390/antiox10060895
Lee H-S, Kim S-M, Jang J-H, Park H-D, Lee S-Y. Serum 5-Hydroxyindoleacetic Acid and Ratio of 5-Hydroxyindoleacetic Acid to Serotonin as Metabolomics Indicators for Acute Oxidative Stress and Inflammation in Vancomycin-Associated Acute Kidney Injury. Antioxidants. 2021; 10(6):895. https://doi.org/10.3390/antiox10060895
Chicago/Turabian StyleLee, Hyun-Seung, Sang-Mi Kim, Ja-Hyun Jang, Hyung-Doo Park, and Soo-Youn Lee. 2021. "Serum 5-Hydroxyindoleacetic Acid and Ratio of 5-Hydroxyindoleacetic Acid to Serotonin as Metabolomics Indicators for Acute Oxidative Stress and Inflammation in Vancomycin-Associated Acute Kidney Injury" Antioxidants 10, no. 6: 895. https://doi.org/10.3390/antiox10060895
APA StyleLee, H.-S., Kim, S.-M., Jang, J.-H., Park, H.-D., & Lee, S.-Y. (2021). Serum 5-Hydroxyindoleacetic Acid and Ratio of 5-Hydroxyindoleacetic Acid to Serotonin as Metabolomics Indicators for Acute Oxidative Stress and Inflammation in Vancomycin-Associated Acute Kidney Injury. Antioxidants, 10(6), 895. https://doi.org/10.3390/antiox10060895

