Influence of the Ripening Stage and Extraction Conditions on the Phenolic Fingerprint of ‘Corbella’ Extra-Virgin Olive Oil
Abstract
1. Introduction
2. Materials and Methods
2.1. Chemicals and Reagents
2.2. Plant Material
2.3. Oil Extraction
2.3.1. Ripening Study
2.3.2. Crushing Temperature Study
2.3.3. Crushing Size and Malaxation Study
2.4. Phenolic Compound Composition
2.5. Statistical Analyses
3. Results and Discussion
3.1. Ripening Study
3.2. Crushing Temperature Study
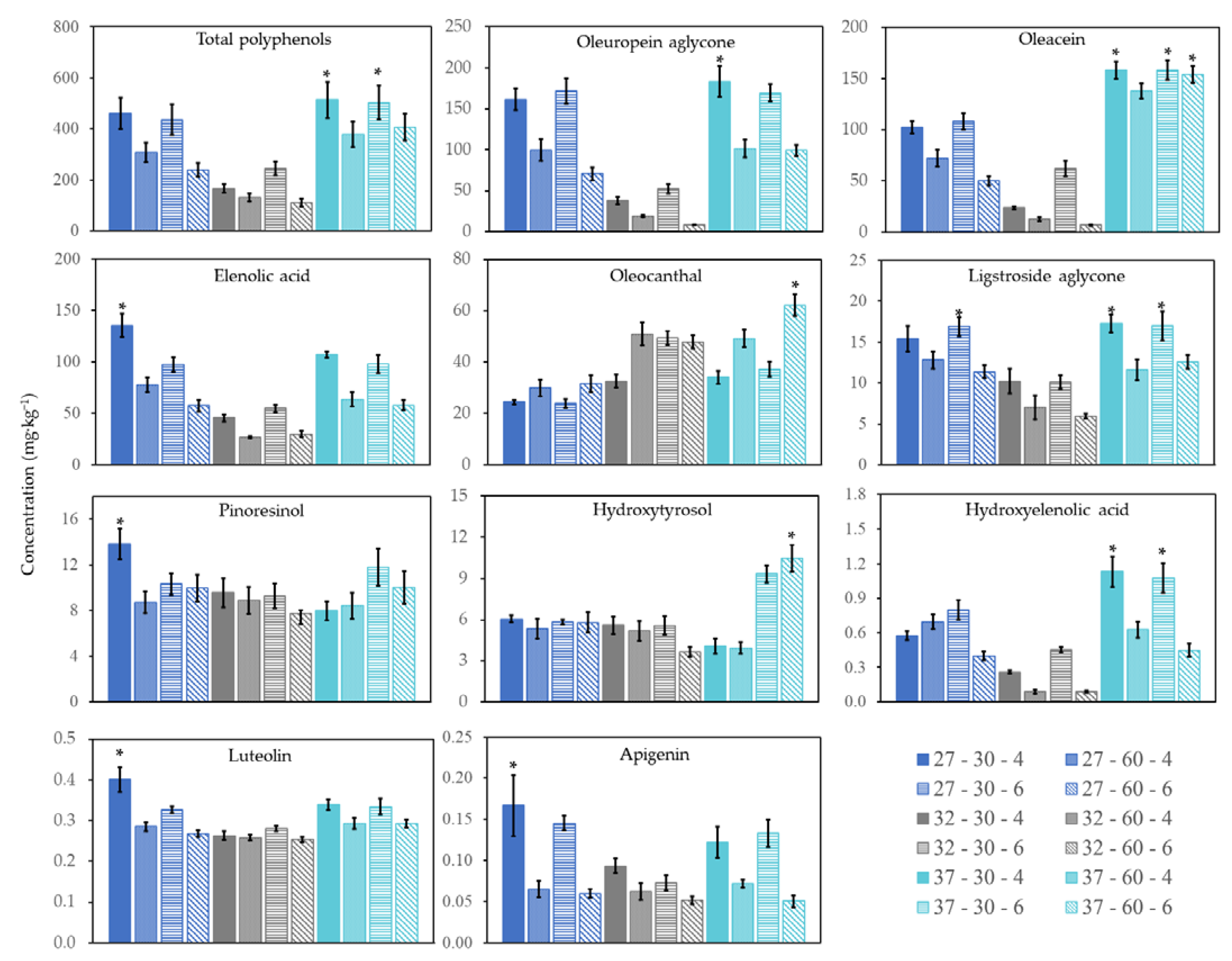
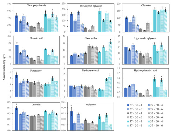
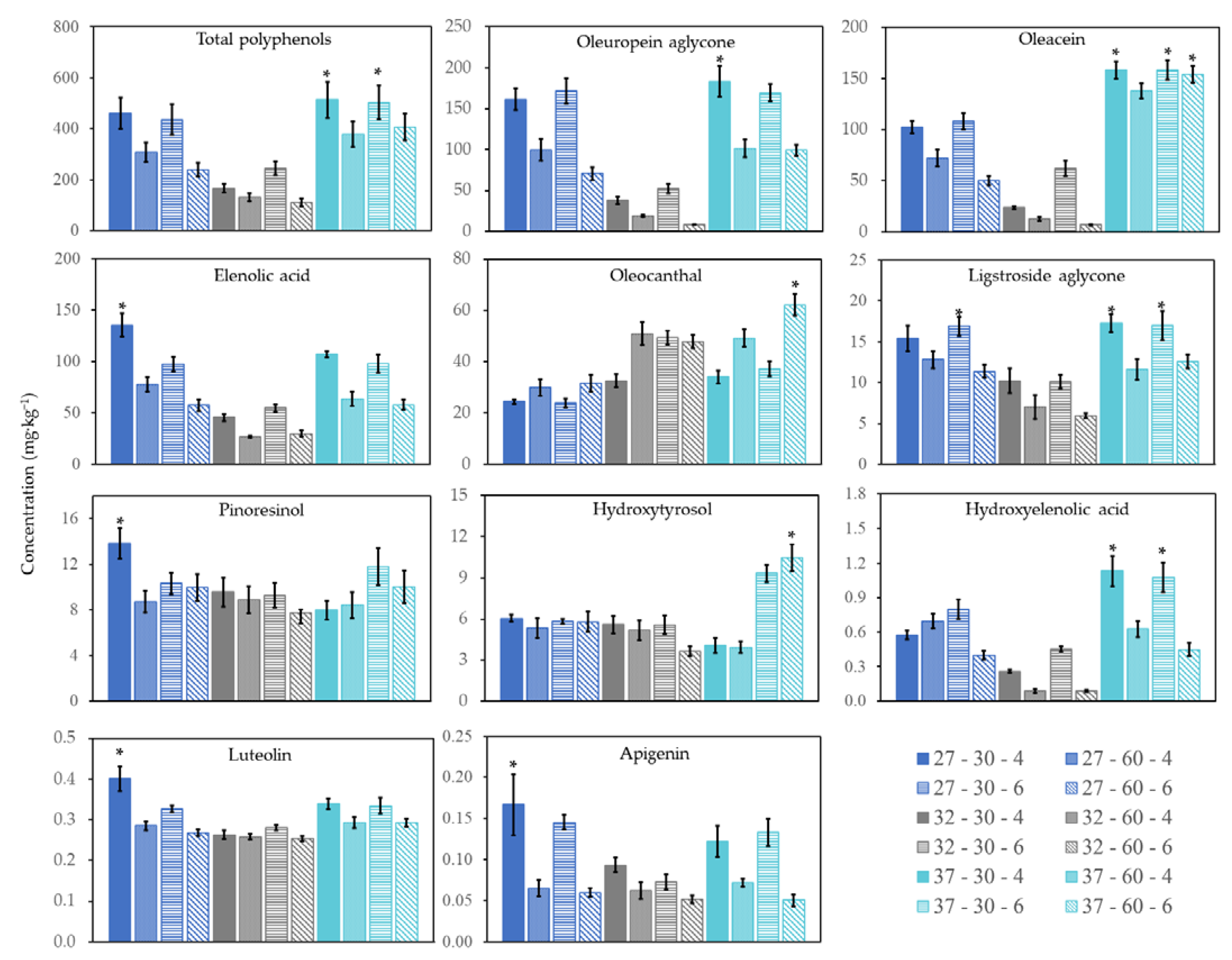
3.3. Crushing Size and Malaxation Study
4. Conclusions
Author Contributions
Funding
Institutional Review Board Statement
Informed Consent Statement
Data Availability Statement
Acknowledgments
Conflicts of Interest
References
- Salas-Salvadó, J.; Becerra-Tomás, N.; García-Gavilán, J.F.; Bulló, M.; Barrubés, L. Mediterranean Diet and Cardiovascular Disease Prevention: What Do We Know? Prog. Cardiovasc. Dis. 2018, 61, 62–67. [Google Scholar] [CrossRef] [PubMed]
- García-Gavilán, J.F.; Bulló, M.; Canudas, S.; Martínez-González, M.A.; Estruch, R.; Giardina, S.; Fitó, M.; Corella, D.; Ros, E.; Salas-Salvadó, J. Extra virgin olive oil consumption reduces the risk of osteoporotic fractures in the PREDIMED trial. Clin. Nutr. 2018, 37, 329–335. [Google Scholar] [CrossRef]
- Estruch, R.; Ros, E.; Salas-Salvadó, J.; Covas, M.-I.; Corella, D.; Arós, F.; Gómez-Gracia, E.; Ruiz-Gutiérrez, V.; Fiol, M.; Lapetra, J.; et al. Primary Prevention of Cardiovascular Disease with a Mediterranean Diet. N. Engl. Journa L Med. 2013, 368, 1279–1290. [Google Scholar] [CrossRef] [PubMed]
- Yubero-Serrano, E.M.; Lopez-Moreno, J.; Gomez-Delgado, F.; Lopez-Miranda, J. Extra virgin olive oil: More than a healthy fat. Eur. J. Clin. Nutr. 2019, 8–17. [Google Scholar] [CrossRef] [PubMed]
- The European Commission. Commission Regulation (EU) No 1018/2013 of 23 October 2013 Amending Regulation (EU) No 432/2012 Establishing a List of Permitted Health Claims Made on Foods Other Than Those Referring to the Reduction of Disease Risk and to Children’s Development and Heal; 2013; Vol. L 113, pp. 6–12. Available online: http://eur-lex.europa.eu/pri/en/oj/dat/2003/l_285/l_28520031101en00330037.pdf (accessed on 20 September 2020).
- Pérez, M.; López-yerena, A.; Lozano-castellón, J.; Olmo-cunillera, A.; Lamuela-raventós, R.M.; Martin-belloso, O.; Vallverdú-queralt, A. Impact of novel technologies on virgin olive oil processing, consumer acceptance, and the valorization of olive mill wastes. Antioxidants 2021, 10, 417. [Google Scholar] [CrossRef] [PubMed]
- López-Yerena, A.; Ninot, A.; Lozano-Castellón, J.; Escribano-Ferrer, E.; Romero-Aroca, A.J.; Belaj, A.; Vallverdú-Queralt, A.; Lamuela-Raventós, R.M. Conservation of native wild ivory-white olives from the Medes islands natural reserve to maintain virgin olive oil diversity. Antioxidants 2020, 9, 1009. [Google Scholar] [CrossRef] [PubMed]
- Lozano-Castellón, J.; López-Yerena, A.; Rinaldi de Alvarenga, J.F.; Romero del Castillo-Alba, J.; Vallverdú-Queralt, A.; Escribano-Ferrer, E.; Lamuela-Raventós, R.M. Health-promoting properties of oleocanthal and oleacein: Two secoiridoids from extra-virgin olive oil. Crit. Rev. Food Sci. Nutr. 2019, 60, 2532–2548. [Google Scholar] [CrossRef] [PubMed]
- Vallverdú-Queralt, A.; Regueiro, J.; Rinaldi de Alvarenga, J.F.; Torrado, X.; Lamuela-Raventos, R.M. Home Cooking and Phenolics: Effect of Thermal Treatment and Addition of Extra Virgin Olive Oil on the Phenolic Profile of Tomato Sauces. J. Agric. Food Chem. 2014. [Google Scholar] [CrossRef]
- Borges, T.H.; Serna, A.; López, L.C.; Lara, L.; Nieto, R.; Seiquer, I. Composition and antioxidant properties of Spanish extra virgin olive oil regarding cultivar, harvest year and crop stage. Antioxidants 2019, 8, 217. [Google Scholar] [CrossRef] [PubMed]
- López-Yerena, A.; Lozano-Castellón, J.; Olmo-Cunillera, A.; Tresserra-Rimbau, A.; Quifer-Rada, P.; Jiménez, B.; Pérez, M.; Vallverdú-Queralt, A. Effects of organic and conventional growing systems on the phenolic profile of extra-virgin olive oil. Molecules 2019, 24, 1986. [Google Scholar] [CrossRef]
- Taticchi, A.; Selvaggini, R.; Esposto, S.; Sordini, B.; Veneziani, G.; Servili, M. Physicochemical characterization of virgin olive oil obtained using an ultrasound-assisted extraction at an industrial scale: In fl uence of olive maturity index and malaxation time. Food Chem. 2019, 289, 7–15. [Google Scholar] [CrossRef] [PubMed]
- Ben Brahim, S.; Kelebek, H.; Ammar, S.; Abichou, M.; Bouaziz, M. LC–MS phenolic profiling combined with multivariate analysis as an approach for the characterization of extra virgin olive oils of four rare Tunisian cultivars during ripening. Food Chem. 2017, 229, 9–19. [Google Scholar] [CrossRef]
- Clodoveo, M.L.; Hbaieb, R.H.; Kotti, F.; Mugnozza, G.S.; Gargouri, M. Mechanical strategies to increase nutritional and sensory quality of virgin olive oil by modulating the endogenous enzyme activities. Compr. Rev. Food Sci. Food Saf. 2014, 13, 135–154. [Google Scholar] [CrossRef] [PubMed]
- Clodoveo, M.L. Malaxation: Influence on virgin olive oil quality. Past, present and future—An overview. Trends Food Sci. Technol. 2012, 25, 13–23. [Google Scholar] [CrossRef]
- Peres, F.; Martins, L.L.; Ferreira-Dias, S. Influence of enzymes and technology on virgin olive oil composition. Crit. Rev. Food Sci. Nutr. 2017, 57, 3104–3126. [Google Scholar] [CrossRef] [PubMed]
- Taticchi, A.; Esposto, S.; Veneziani, G.; Urbani, S.; Selvaggini, R.; Servili, M. The influence of the malaxation temperature on the activity of polyphenoloxidase and peroxidase and on the phenolic composition of virgin olive oil. Food Chem. 2013, 136, 975–983. [Google Scholar] [CrossRef] [PubMed]
- Uceda, M.; Frías, L. Seasons of harvest. Changes on fruit oil content, oil composition and oil quality. In Proceedings of the II Seminario Oleicola International; IOOC: Cordoba, Spain, 1975; pp. 25–46. [Google Scholar]
- Lozano-Castellón, J.; López-Yerena, A.; Olmo-Cunillera, A.; Jáuregui, O.; Pérez, M.; Lamuela-Raventós, R.M.; Vallverdú-Queralt, A. Total analysis of the major secoiridoids in extra virgin olive oil: Validation of an uhplc-esi-ms/ms method. Antioxidants 2021, 10, 540. [Google Scholar] [CrossRef]
- Alowaiesh, B.; Singh, Z.; Fang, Z.; Kailis, S.G. Harvest time impacts the fatty acid compositions, phenolic compounds and sensory attributes of Frantoio and Manzanilla olive oil. Sci. Hortic. 2018, 234, 74–80. [Google Scholar] [CrossRef]
- Matos, L.C.; Pereira, J.A.; Andrade, P.B.; Seabra, R.M.; Oliveira, M.B.P.P. Evaluation of a numerical method to predict the polyphenols content in monovarietal olive oils. Food Chem. 2007, 102, 976–983. [Google Scholar] [CrossRef]
- Gómez-Rico, A.; Salvador, M.D.; La Greca, M.; Fregapane, G. Phenolic and volatile compounds of extra virgin olive oil (Olea europaea L. Cv. Cornicabra) with regard to fruit ripening and irrigation management. J. Agric. Food Chem. 2006, 54, 7130–7136. [Google Scholar] [CrossRef]
- Bilušić, T.; Žanetić, M.; Ljubenkov, I.; Generalić Mekinić, I.; Štambuk, S.; Bojović, V.; Soldo, B.; Magiatis, P. Molecular characterization of Dalmatian cultivars and the influence of the olive fruit harvest period on chemical profile, sensory characteristics and oil oxidative stability. Eur. Food Res. Technol. 2018, 244, 281–289. [Google Scholar] [CrossRef]
- Romero, A.; Díaz, I.; Tous, J. Optimal harvesting period for “arbequina” olive cultivar in catalonia (spain). Acta Hortic. 2002, 586, 393–396. [Google Scholar] [CrossRef]
- Tous, J.; Romero, A. Variedades del olivo. In Fundación La Caixa; AEDOS: Barcelona, Spain, 1993. [Google Scholar]
- Castejón, M.L.; Montoya, T.; Alarcón, C.; Lastra, D. Potential Protective Role Exerted by Secoiridoids from Olea europaea L. in Cancer, Cardiovascular, Neurodegenerative, Aging—Related, and Immunoinflammatory Diseases. Antioxidants 2020, 9, 149. [Google Scholar] [CrossRef]
- Lukić, I.; Krapac, M.; Horvat, I.; Godena, S.; Kosić, U.; Brkić Bubola, K. Three-factor approach for balancing the concentrations of phenols and volatiles in virgin olive oil from a late-ripening olive cultivar. LWT Food Sci. Technol. 2018, 87, 194–202. [Google Scholar] [CrossRef]
- Amanpour, A.; Kelebek, H.; Selli, S. LC-DAD-ESI-MS/MS–based phenolic profiling and antioxidant activity in Turkish cv. Nizip Yaglik olive oils from different maturity olives. J. Mass Spectrom. 2019, 54, 227–238. [Google Scholar] [CrossRef] [PubMed]
- Vilaplana-Pérez, C.; Auñón, D.; García-Flores, L.A.; Gil-Izquierdo, A. Hydroxytyrosol and Potential Uses in Cardiovascular Diseases, Cancer, and AIDS. Front. Nutr. 2014, 1, 1–11. [Google Scholar] [CrossRef]
- Aparicio-Soto, M.; Sánchez-Fidalgo, S.; González-Benjumea, A.; Maya, I.; Fernández-Bolaños, J.G.; Alarcón-de-la-Lastra, C. Naturally occurring hydroxytyrosol derivatives: Hydroxytyrosyl acetate and 3,4-dihydroxyphenylglycol modulate inflammatory response in murine peritoneal macrophages. potential utility as new dietary supplements. J. Agric. Food Chem. 2015, 63, 836–846. [Google Scholar] [CrossRef]
- De Torres, A.; Espínola, F.; Moya, M.; Alcalá, S.; Vidal, A.M.; Castro, E. Assessment of phenolic compounds in virgin olive oil by response surface methodology with particular focus on flavonoids and lignans. LWT Food Sci. Technol. 2018, 90, 22–30. [Google Scholar] [CrossRef]
- Jiménez, B.; Sánchez-Ortiz, A.; Lorenzo, M.L.; Rivas, A. Influence of fruit ripening on agronomic parameters, quality indices, sensory attributes and phenolic compounds of Picudo olive oils. Food Res. Int. 2013, 54, 1860–1867. [Google Scholar] [CrossRef]
- Bengana, M.; Bakhouche, A.; Lozano-Sánchez, J.; Amir, Y.; Youyou, A.; Segura-Carretero, A.; Fernández-Gutiérrez, A. Influence of olive ripeness on chemical properties and phenolic composition of Chemlal extra-virgin olive oil. Food Res. Int. 2013, 54, 1868–1875. [Google Scholar] [CrossRef]
- Brenes, M.; García, A.; García, P.; Rios, J.J.; Garrido, A. Phenolic compounds in Spanish olive oils. J. Agric. Food Chem. 1999, 47, 3535–3540. [Google Scholar] [CrossRef]
- Artajo, L.S.; Romero, M.P.; Motilva, M.J. Transfer of phenolic compounds during olive oil extraction in relation to ripening stage of the fruit. J. Sci. Food Agric. 2006, 86, 518–527. [Google Scholar] [CrossRef]
- Ye, J.H.; Wijesundera, C.; Shi, M. Effects of Agronomic and Oil Processing Conditions on Natural Antioxidative Phenolics in Olive (Oleaeuropaea L.). Austin J. Nutr. Food Sci. 2014, 2. [Google Scholar]
- Baccouri, O.; Guerfel, M.; Baccouri, B.; Cerretani, L.; Bendini, A.; Lercker, G.; Zarrouk, M.; Daoud Ben Miled, D. Chemical composition and oxidative stability of Tunisian monovarietal virgin olive oils with regard to fruit ripening. Food Chem. 2008, 109, 743–754. [Google Scholar] [CrossRef] [PubMed]
- Olmo-Cunillera, A.; López-Yerena, A.; Lozano-Castellón, J.; Tresserra-Rimbau, A.; Vallverdú-Queralt, A.; Pérez, M. NMR spectroscopy: A powerful tool for the analysis of polyphenols in extra virgin olive oil. J. Sci. Food Agric. 2020, 100, 1842–1851. [Google Scholar] [CrossRef] [PubMed]
- Fini, L.; Hotchkiss, E.; Fogliano, V.; Graziani, G.; Romano, M.; De Vol, E.B.; Qin, H.; Selgrad, M.; Boland, C.R.; Ricciardiello, L. Chemopreventive properties of pinoresinol-rich olive oil involve a selective activation of the ATM-p53 cascade in colon cancer cell lines. Carcinogenesis 2008, 29, 139–146. [Google Scholar] [CrossRef]
- Owen, R.W.; Mier, W.; Giacosa, A.; Hull, W.E.; Spiegelhalder, B.; Bartsch, H. Identification of lignans as major components in the phenolic fraction of olive oil. Clin. Chem. 2000, 46, 976–988. [Google Scholar] [CrossRef] [PubMed]
- Polari, J.J.; Wang, S.C. Hammer Mill Sieve Design Impacts Olive Oil Minor Component Composition. Eur. J. Lipid Sci. Technol. 2019, 121, 1900168. [Google Scholar] [CrossRef]
- Caponio, F.; Pasqualone, A.; Gomes, T.; Catalano, P. Use of HPSEC analysis of polar compounds to assess the influence of crushing temperature on virgin olive oil’s quality. Eur. Food Res. Technol. 2002, 215, 534–537. [Google Scholar] [CrossRef]
- Inarejos-García, A.M.; Fregapane, G.; Salvador, M.D. Effect of crushing on olive paste and virgin olive oil minor components. Eur. Food Res. Technol. 2011, 232, 441–451. [Google Scholar] [CrossRef]
- Caponio, F.; Catalano, P. Hammer crushers vs disk crushers: The influence of working temperature on the quality and preservation of virgin olive oil. Eur. Food Res. Technol. 2001, 213, 219–224. [Google Scholar] [CrossRef]
- Abbattista, R.; Losito, I.; De Ceglie, C.; Basile, G.; Calvano, C.D.; Palmisano, F.; Cataldi, T.R.I. Structural characterization of the ligstroside aglycone isoforms in virgin olive oils by liquid chromatography–high-resolution Fourier-transform mass spectrometry and H/Dexchange. J. Mass Spectrom. 2019, 54, 843–855. [Google Scholar] [CrossRef] [PubMed]
- Jolayemi, O.S.; Tokatli, F.; Ozen, B. Effects of malaxation temperature and harvest time on the chemical characteristics of olive oils. Food Chem. 2016, 211, 776–783. [Google Scholar] [CrossRef] [PubMed]
- Parenti, A.; Spugnoli, P.; Masella, P.; Calamai, L. The effect of malaxation temperature on the virgin olive oil phenolic profile under laboratory-scale conditions. Eur. J. Lipid Sci. Technol. 2008, 110, 735–741. [Google Scholar] [CrossRef]
- Diamantakos, P.; Giannara, T.; Skarkou, M.; Melliou, E.; Magiatis, P. Influence of harvest time and malaxation conditions on the concentration of individual phenols in extra virgin olive oil related to its healthy properties. Molecules 2020, 25, 2449. [Google Scholar] [CrossRef] [PubMed]
- Stefanoudaki, E.; Koutsaftakis, A.; Harwood, J.L. Influence of malaxation conditions on characteristic qualities of olive oil. Food Chem. 2011, 127, 1481–1486. [Google Scholar] [CrossRef]
- Lukić, I.; Žanetić, M.; Jukić Špika, M.; Lukić, M.; Koprivnjak, O.; Brkić Bubola, K. Complex interactive effects of ripening degree, malaxation duration and temperature on Oblica cv. virgin olive oil phenols, volatiles and sensory quality. Food Chem. 2017, 232, 610–620. [Google Scholar] [CrossRef]
- Polari, J.J.; Wang, S.C. Comparative Effect of Hammer Mill Screen Size and Cell Wall-Degrading Enzymes during Olive Oil Extraction. ACS Omega 2020, 5, 6074–6081. [Google Scholar] [CrossRef] [PubMed]
- Boselli, E.; Di Lecce, G.; Strabbioli, R.; Pieralisi, G.; Frega, N.G. Are virgin olive oils obtained below 27 °C better than those produced at higher temperatures? LWT Food Sci. Technol. 2009, 42, 748–757. [Google Scholar] [CrossRef]
- Servili, M.; Selvaggini, R.; Esposto, S.; Taticchi, A.; Montedoro, G.F.; Morozzi, G. Health and sensory properties of virgin olive oil hydrophilic phenols: Agronomic and technological aspects of production that affect their occurrence in the oil. J. Chromatogr. A 2004, 1054, 113–127. [Google Scholar] [CrossRef]
- Ryan, D.; Antolovich, M.; Prenzler, P.; Robards, K.; Lavee, S. Biotransformations of phenolic compounds in Olea europaea L. Sci. Hortic. 2002, 92, 147–176. [Google Scholar] [CrossRef]
- Ranalli, A.; Contento, S.; Schiavone, C.; Simone, N. Malaxing temperature affects volatile and phenol composition as well as other analytical features of virgin olive oil. Eur. J. Lipid Sci. Technol. 2001, 103, 228–238. [Google Scholar] [CrossRef]
- Angerosa, F.; Mostallino, R.; Basti, C.; Vito, R. Influence of malaxation temperature and time on the quality of virgin olive oils. Food Chem. 2001, 72, 19–28. [Google Scholar] [CrossRef]
- Jiménez, B.; Sánchez-Ortiz, A.; Rivas, A. Influence of the malaxation time and olive ripening stage on oil quality and phenolic compounds of virgin olive oils. Int. J. Food Sci. Technol. 2014, 49, 2521–2527. [Google Scholar] [CrossRef]
- Polari, J.J.; Garcí-Aguirre, D.; Olmo-García, L.; Carrasco-Pancorbo, A.; Wang, S.C. Interactions between hammer mill crushing variables and malaxation time during continuous olive oil extraction. Eur. J. Lipid Sci. Technol. 2018, 120, 1–19. [Google Scholar] [CrossRef]
- Gomez-Rico, A.; Inarejos-Garcia, A.M.; Salvador, M.D.; Fregapane, G. Effect of malaxation conditions on phenol and volatile profiles in olive paste and the corresponding virgin olive oils (Olea europaea L. Cv. Cornicabra). J. Agric. Food Chem. 2009, 57, 3587–3595. [Google Scholar] [CrossRef] [PubMed]
- Miho, H.; Moral, J.; López-González, M.A.; Díez, C.M.; Priego-Capote, F. The phenolic profile of virgin olive oil is influenced by malaxation conditions and determines the oxidative stability. Food Chem. 2020, 314, 126183. [Google Scholar] [CrossRef] [PubMed]
- Ranalli, A.; Pollastri, L.; Contento, S.; Iannucci, E.; Lucera, L. Effect of olive paste kneading process time on the overall quality of virgin olive oil. Eur. J. Lipid Sci. Technol. 2003, 105, 57–67. [Google Scholar] [CrossRef]
- Marx, Í.M.G.; Casal, S.; Rodrigues, N.; Pinho, T.; Veloso, A.C.A.; Pereira, J.A.; Peres, A.M. Impact of the malaxation temperature on the phenolic profile of cv. Cobrançosa olive oils and assessment of the related health claim. Food Chem. 2021, 337, 127726. [Google Scholar] [CrossRef]



| Group/Compound | Ripening Index | ||
|---|---|---|---|
| 0.3 ± 0.07 | 1.2 ± 0.17 | 3.2 ± 0.27 | |
| Total Polyphenols | 566.74 ± 51.45 a | 483.72 ± 26.65 b | 289.48 ± 17.43 c |
| Secoiridoids | 556.81 ± 51.45 a | 473.07 ± 26.17 b | 275.72 ± 17.43 c |
| Elenolic acid | 272.12 ± 9.71 a | 228.82 ± 16.30 b | 125.52 ± 9.89 c |
| Hydroxyelenolic acid | 8.68 ± 0.38 a | 8.79 ± 0.29 a | 4.32 ± 0.21 b |
| Hydroxyoleuropein aglycone | 1.11 ± 0.09 b | 1.16 ± 0.07 b | 2.03 ± 0.07 a |
| Ligstroside aglycone | 15.07 ± 0.84 a | 11.92 ± 0.47 b | 9.00 ± 0.51 c |
| Methyloleuropein aglycone | 0.92 ± 0.04 a | 0.88 ± 0.02 a | 0.87 ± 0.02 a |
| Oleacein | 94.25 ± 6.29 a | 78.72 ± 4.48 b | 34.06 ± 2.06 c |
| Oleocanthal | 9.14 ± 1.20 a | 6.84 ± 0.31 b | 2.36 ± 0.21 c |
| Oleuropein aglycone | 155.51 ± 5.71 a | 135.95 ± 2.98 a | 97.56 ± 3.75 b |
| Phenolic alcohols | 1.34 ± 0.21 a | 0.78 ± 0.11 b | 0.66 ± 0.04 c |
| Hydroxytyrosol | 1.27 ± 0.08 a | 0.68 ± 0.06 b | 0.46 ± 0.05 c |
| Hydroxytyrosol acetate | 0.08 ± 0.02 b | 0.11 ± 0.02 b | 0.21 ± 0.02 a |
| Flavones | 0.90 ± 0.09 c | 1.15 ± 0.08 b | 2.92 ± 0.41 a |
| Apigenin | 0.49 ± 0.01 c | 0.82 ± 0.06 b | 2.23 ± 0.2 a |
| Luteolin | 0.41 ± 0.02 b | 0.32 ± 0.04 b | 0.69 ± 0.04 a |
| Phenolic acids | 2.12 ± 0.32 ab | 2.16 ± 0.06 a | 1.93 ± 0.15 b |
| m-coumaric acid | 1.53 ± 0.04 a | 1.47 ± 0.03 a | 1.42 ± 0.03 b |
| p-coumaric acid | 0.59 ± 0.05 ab | 0.69 ± 0.04 a | 0.50 ± 0.04 b |
| Lignans | 5.57 ± 0.76 b | 6.56 ± 0.75 b | 8.24 ± 0.85 a |
| Pinoresinol | 5.57 ± 0.76 b | 6.56 ± 0.75 b | 8.24 ± 0.85 a |
| Group/Compound | Crushing Temperature (°C) | ||
|---|---|---|---|
| 10 | 18 | 25 | |
| Total Polyphenols | 360.70 ± 15.00 a | 337.55 ± 17.00 b | 331.23 ± 20.00 b |
| Secoiridoids | 346.03 ± 14.00 a | 325.30 ± 17.00 b | 321.28 ± 19.00 b |
| Elenolic acid | 191.00 ± 8.00 a | 175.00 ± 10.00 ab | 171.00 ± 4.00 b |
| Hydroxyelenolic acid | 7.44 ± 0.50 a | 6.06 ± 0.50 b | 6.13 ± 0.30 b |
| Hydroxyoleuropein aglycone | 2.14 ± 0.08 a | 1.72 ± 0.10 b | 1.74 ± 0.08 b |
| Ligstroside aglycone | 10.00 ± 0.20 a | 8.96 ± 0.50 b | 8.47 ± 0.10 c |
| Methyloleuropein aglycone | 0.87 ± 0.01 a | 0.87 ± 0.01 a | 0.87 ± 0.00 a |
| Oleacein | 16.50 ± 0.60 c | 29.70 ± 2.00 b | 35.20 ± 1.00 a |
| Oleocanthal | 0.95 ± 0.09 c | 2.05 ± 0.1 b | 2.42 ± 0.20 a |
| Oleuropein aglycone | 117.10 ± 2.96 a | 97.20 ± 5.00 b | 95.10 ± 2.00 b |
| Phenolic alcohols | 0.79 ± 0.10 a | 0.45 ± 0.05 b | 0.39 ± 0.04 b |
| Hydroxytyrosol | 0.59 ± 0.04 a | 0.28 ± 0.03 b | 0.29 ± 0.04 b |
| Hydroxytyrosol acetate | 0.20 ± 0.02 a | 0.16 ± 0.01 b | 0.10 ± 0.01 c |
| Flavones | 3.74 ± 0.20 a | 3.04 ± 0.20 b | 1.91 ± 0.09 c |
| Apigenin | 2.85 ± 0.20 a | 2.28 ± 0.10 b | 1.43 ± 0.07 c |
| Luteolin | 0.89 ± 0.09 a | 0.67 ± 0.04 b | 0.49 ± 0.05 c |
| Phenolic acids | 2.08 ± 0.09 a | 1.79 ± 0.20 b | 1.65 ± 0.01 b |
| m-coumaric acid | 1.49 ± 0.04 a | 1.43 ± 0.04 ab | 1.38 ± 0.03 b |
| p-coumaric acid | 0.60 ± 0.06 a | 0.33 ± 0.02 b | 0.27 ± 0.04 b |
| Lignans | 8.06 ± 1.00 a | 6.97 ± 0.80 ab | 5.99 ± 0.80 b |
| Pinoresinol | 8.06 ± 1.00 a | 6.97 ± 0.80 ab | 5.99 ± 0.80 b |
| MTE | MT | CS | MTE × MT | MTE × CS | MT × CS | MTE × MT × CS | ||||||||
|---|---|---|---|---|---|---|---|---|---|---|---|---|---|---|
| Compound | p Value | F Value | p Value | F Value | p Value | F Value | p Value | F Value | p Value | F Value | p Value | F Value | p Value | F Value |
| Total Polyphenols | <0.001 | 218.2 | <0.001 | 96.7 | 0.0013 | 11.39 | 0.1351 | 2.29 | <0.001 | 21.93 | <0.001 | 32.83 | <0.001 | 32.67 |
| Elenolic acid | <0.001 | 34.4 | <0.001 | 76.14 | 0.0179 | 5.92 | 0.1762 | 1.87 | <0.001 | 37.95 | 0.2157 | 1.57 | 0.1909 | 1.75 |
| Hydroxyelenolic acid | <0.001 | 103.58 | <0.001 | 89.65 | 0.0019 | 10.59 | 0.0005 | 13.46 | 0.0445 | 4.21 | 0.0013 | 11.36 | 0.3988 | 0.72 |
| Ligstroside aglycone | 0.1559 | 2.07 | <0.001 | 57.75 | 0.2206 | 1.53 | 0.4396 | 0.61 | 0.6632 | 0.19 | 0.3395 | 0.93 | 0.113 | 2.59 |
| Oleacein | <0.001 | 1271.08 | <0.001 | 147.99 | <0.001 | 35.66 | 0.4081 | 0.69 | 0.0001 | 18.05 | <0.001 | 66.25 | <0.001 | 60.79 |
| Oleocanthal | <0.001 | 432.54 | <0.001 | 45.1 | <0.001 | 30.78 | 0.0008 | 12.38 | 0.0001 | 18.95 | <0.001 | 64.67 | <0.001 | 71.49 |
| Oleuropein aglycone | 0.0002 | 15.88 | <0.001 | 50.93 | 0.6893 | 0.16 | 0.6681 | 0.19 | 0.8331 | 0.04 | 0.0075 | 7.65 | 0.0053 | 8.39 |
| Hydroxytyrosol | <0.001 | 46.77 | <0.001 | 21.08 | 0.0032 | 9.44 | 0.023 | 5.44 | <0.001 | 266.07 | 0.0036 | 9.16 | 0.0002 | 15.34 |
| Apigenin | 0.0007 | 12.92 | 0.0001 | 18.33 | 0.0191 | 5.8 | 0.0036 | 9.16 | 0.3479 | 0.89 | 0.2888 | 1.15 | 0.0103 | 7.02 |
| Luteolin | 0.1896 | 1.76 | 0.0171 | 6.02 | 0.3164 | 1.02 | 0.6117 | 0.26 | <0001 | 25.01 | 0.1389 | 4.69 | 0.1310 | 2.34 |
| Pinoresinol | 0.0012 | 11.49 | 0.0223 | 5.5 | 0.1407 | 2.23 | 0.9473 | <0.001 | <0.001 | 32.07 | 0.3674 | 0.82 | 0.323 | 0.99 |
Publisher’s Note: MDPI stays neutral with regard to jurisdictional claims in published maps and institutional affiliations. |
© 2021 by the authors. Licensee MDPI, Basel, Switzerland. This article is an open access article distributed under the terms and conditions of the Creative Commons Attribution (CC BY) license (https://creativecommons.org/licenses/by/4.0/).
Share and Cite
López-Yerena, A.; Ninot, A.; Jiménez-Ruiz, N.; Lozano-Castellón, J.; Pérez, M.; Escribano-Ferrer, E.; Romero-Aroca, A.; Lamuela-Raventós, R.M.; Vallverdú-Queralt, A. Influence of the Ripening Stage and Extraction Conditions on the Phenolic Fingerprint of ‘Corbella’ Extra-Virgin Olive Oil. Antioxidants 2021, 10, 877. https://doi.org/10.3390/antiox10060877
López-Yerena A, Ninot A, Jiménez-Ruiz N, Lozano-Castellón J, Pérez M, Escribano-Ferrer E, Romero-Aroca A, Lamuela-Raventós RM, Vallverdú-Queralt A. Influence of the Ripening Stage and Extraction Conditions on the Phenolic Fingerprint of ‘Corbella’ Extra-Virgin Olive Oil. Antioxidants. 2021; 10(6):877. https://doi.org/10.3390/antiox10060877
Chicago/Turabian StyleLópez-Yerena, Anallely, Antonia Ninot, Núria Jiménez-Ruiz, Julián Lozano-Castellón, Maria Pérez, Elvira Escribano-Ferrer, Agustí Romero-Aroca, Rosa M. Lamuela-Raventós, and Anna Vallverdú-Queralt. 2021. "Influence of the Ripening Stage and Extraction Conditions on the Phenolic Fingerprint of ‘Corbella’ Extra-Virgin Olive Oil" Antioxidants 10, no. 6: 877. https://doi.org/10.3390/antiox10060877
APA StyleLópez-Yerena, A., Ninot, A., Jiménez-Ruiz, N., Lozano-Castellón, J., Pérez, M., Escribano-Ferrer, E., Romero-Aroca, A., Lamuela-Raventós, R. M., & Vallverdú-Queralt, A. (2021). Influence of the Ripening Stage and Extraction Conditions on the Phenolic Fingerprint of ‘Corbella’ Extra-Virgin Olive Oil. Antioxidants, 10(6), 877. https://doi.org/10.3390/antiox10060877

