Utilization of Astaxanthin as a Synthetic Antioxidant Replacement for Emulsified Sausages
Abstract
1. Introduction
2. Materials and Methods
2.1. Analytic Reagents Grade
2.2. Experimental Design and Manufacture of Emulsified Sausages
2.3. Lipid Oxidation
2.4. Protein Oxidation
2.5. Texture Profile Analysis
2.6. Instrumental Color Evaluation
2.7. Sensory Evaluation
2.8. Statistical Analysis
3. Results and Discussion
3.1. Treatment Effect
3.2. Storage Effect
4. Conclusions
Author Contributions
Funding
Institutional Review Board Statement
Informed Consent Statement
Data Availability Statement
Acknowledgments
Conflicts of Interest
References
- Falowo, A.B.; Fayemi, P.O.; Muchenje, V. Natural antioxidants against lipid–protein oxidative deterioration in meat and meat products: Review. Food Res. Int. 2014, 64, 171–181. [Google Scholar] [CrossRef] [PubMed]
- Kumar, Y.; Yadav, D.N.; Ahmad, T.; Narsaiah, K. Recent trends in the use of natural antioxidants for meat and meat products. Comp. Rev. Food Sci. Food Safe. 2015, 14, 796–812. [Google Scholar] [CrossRef]
- Lorenzo, J.M.; González-Rodríguez, R.M.; Sánchez, M.; Amado, I.R.; Franco, D. Effects of natural (grape seed and chestnut extract) and synthetic antioxidants (buthylatedhydroxytoluene, BHT) on the physical, chemical, microbiological and sensory characteristics of dry cured sausage “chorizo”. Food Res. Int. 2013, 54, 611–620. [Google Scholar] [CrossRef]
- Martínez, L.; Cilla, I.; Beltrán, J.A.; Roncalés, P. Effect of illumination on the display life of fresh pork sausages packaged in modified atmosphere. Influence of the addition of rosemary, ascorbic acid and black pepper. Meat Sci. 2007, 75, 443–450. [Google Scholar] [CrossRef]
- De Almeida, P.L.; de Lima, S.N.; Costa, L.L.; de Oliveira, C.C.; Damasceno, K.A.; dos Santos, B.A.; Campagnol, P.C.B. Effect of jabuticaba peel extract on lipid oxidation, microbial stability and sensory properties of Bologna-type sausages during refrigerated storage. Meat Sci. 2015, 110, 9–14. [Google Scholar] [CrossRef]
- Fernandes, R.P.P.; Trindade, M.A.; Lorenzo, J.M.; de Melo, M.P. Assessment of the stability of sheep sausages with the addition of different concentrations of Origanum vulgare extract during storage. Meat Sci. 2018, 137, 244–257. [Google Scholar] [CrossRef]
- Ambati, R.; Phang, S.M.; Ravi, S.; Aswathanarayana, R. Astaxanthin: Sources, extraction, stability, biological activities and its commercial applications: Review. Mar. Drugs 2014, 12, 128–152. [Google Scholar] [CrossRef]
- Higuera-Ciapara, I.; Felix-Valenzuela, L.; Goycoolea, F.M. Astaxanthin: A review of its chemistry and applications. Crit. Rev. Food Sci. Nutr. 2006, 46, 185–196. [Google Scholar] [CrossRef] [PubMed]
- Chen, J.T.; Kotani, K. Astaxanthin as a potential protector of liver function: Review. J. Clin. Med. Res. 2016, 8, 701. [Google Scholar] [CrossRef] [PubMed]
- Pogorzelska, E.; Godziszewska, J.; Brodowska, M.; Wierzbicka, A. Antioxidant potential of Haematococcuspluvialis extract rich in astaxanthin on colour and oxidative stability of raw ground pork meat during refrigerated storage. Meat Sci. 2018, 135, 54–61. [Google Scholar] [CrossRef] [PubMed]
- EFSA Panel on Nutrition; Novel Foods and Food Allergens (NDA); Turck, D.; Castenmiller, J.; de Henauw, S.; Hirsch-Ernst, K.I.; Kearney, J.; Maciuk, A.; Mangelsdorf, I.; McArdle, H.J.; et al. Safety of astaxanthin for its use as a novel food in food supplements. EFSA J. 2020, 18, e05993. [Google Scholar]
- Shantha, N.C.; Decker, E.A. Rapid, sensitive, iron-based spectrophotometric methods for determination of perorlride values of food lipids. J. AOAC Int. 1994, 77, 421–424. [Google Scholar] [CrossRef]
- Bozkurt, H.; Erkmen, O. Effect of nitrate/nitrite on the quality of sausage (sucuk) during ripening and storage. J. Sci. Food Agric. 2004, 84, 279–286. [Google Scholar] [CrossRef]
- Berardo, A.; Claeys, E.; Vossen, E.; Leroy, F.; De Smet, S. Protein oxidation affects proteolysis in a meat model system. Meat Sci. 2015, 106, 78–84. [Google Scholar] [CrossRef] [PubMed]
- Bourne, M.C. Texture profile analysis. Food Technol. 1978, 32, 62–66. [Google Scholar]
- Riazi, F.; Zeynali, F.; Hoseini, E.; Behmadi, H.; Savadkoohi, S. Oxidation phenomena and color properties of grape pomace on nitrite-reduced meat emulsion systems. Meat Sci. 2016, 121, 350–358. [Google Scholar] [CrossRef] [PubMed]
- Meilgaard, M.; Civille, G.V.; Carr, B.T. Sensory Evaluation Techniques, 3rd ed.; CRC Press: Boca Ration, FL, USA, 1999; p. 354. [Google Scholar]
- Gray, J.I.; Monahan, F.J. Measurement of lipid oxidation in meat and meat products. Trends Food Sci. Technol. 1992, 3, 315–319. [Google Scholar] [CrossRef]
- Ladikos, D.; Lougovois, V. Lipid oxidation in muscle foods: Review. Food Chem. 1990, 35, 295–314. [Google Scholar] [CrossRef]
- Narasimhan, S.; Raghuveer, K.G.; Arumugham, C.; Bhat, K.K.; Sen, D.P. Oxidative rancidity in groundnut oil-evaluation by sensory and chemical indices and their correlation. J. Food Sci. Technol. 1986, 23, 273–277. [Google Scholar]
- Zhang, L.; Lin, Y.H.; Leng, X.J.; Huang, M.; Zhou, G.H. Effect of sage (Salvia officinalis) on the oxidative stability of Chinese-style sausage during refrigerated storage. Meat Sci. 2013, 95, 145–150. [Google Scholar] [CrossRef]
- Lund, M.N.; Heinonen, M.; Baron, C.P.; Estévez, M. Protein oxidation in muscle foods: Review. Mol. Nutr. Food Res. 2011, 55, 83–95. [Google Scholar] [CrossRef]
- Jiang, J.; Xiong, Y.L. Natural antioxidants as food and feed additives to promote health benefits and quality of meat products: Review. Meat Sci. 2016, 120, 107–117. [Google Scholar] [CrossRef]
- Kadam, S.U.; Tiwari, B.K.; O’Donnell, C.P. Improved thermal processing for food texture modification. In Modifying Food Texture: Novel Ingredients and Processing Techniques; Chen, J., Rosenthal, A., Eds.; Woodhead Publishing: Cambridge, UK, 2015; pp. 115–131. [Google Scholar]
- Mercadante, A.Z.; Capital, C.D.; Decker, E.A.; Castro, I.A. Effect of natural pigments on the oxidative stability of sausages stored under refrigeration. Meat Sci. 2010, 84, 718–726. [Google Scholar] [CrossRef]
- Mielnik, J.; Slinde, E. Sausage color measured by integrating sphere reflectance spectrophotometry when whole blood or blood cured by nitrite is added to sausages. J. Food Sci. 1983, 48, 1723–1725. [Google Scholar] [CrossRef]
- Bázan-Lugo, E.; García-Martínez, I.; Alfaro-Rodríguez, R.H.; Totosaus, A. Color compensation in nitrite-reduced meat batters incorporating paprika or tomato paste. J. Sci. Food Agric. 2012, 92, 1627–1632. [Google Scholar] [CrossRef] [PubMed]
- Francis, F.J.; Clydesdale, F.M. Food Colorimetry: Theory and Applications; AVI Publishing Co. Inc.: Westport, NT, USA, 1975. [Google Scholar]
- Mansour, E.H.; Khalil, A.H. Evaluation of antioxidant activity of some plant extracts and their application to ground beef patties. Food Chem. 2000, 69, 135–141. [Google Scholar] [CrossRef]
- Shah, M.A.; Bosco, S.J.D.; Mir, S.A. Plant extracts as natural antioxidants in meat and meat products. Meat Sci. 2014, 98, 21–33. [Google Scholar] [CrossRef] [PubMed]
- Karel, M.; Schaich, K.; Roy, R.B. Interaction of peroxidizing methyl linoleate with some proteins and amino acids. J. Agric. Food Chem. 1975, 23, 159–163. [Google Scholar] [CrossRef]
- Ganhão, R.; Morcuende, D.; Estévez, M. Protein oxidation in emulsified cooked burger patties with added fruit extracts: Influence on colour and texture deterioration during chill storage. Meat Sci. 2010, 85, 402–409. [Google Scholar] [CrossRef]
- Seo, J.K.; Parvin, R.; Yim, D.G.; Zahid, M.A.; Yang, H.S. Effects on quality properties of cooked pork sausages with Caesalpinia sappan L. extract during cold storage. J. Food Sci. Technol. 2019, 56, 1–10. [Google Scholar] [CrossRef]
- Mortensen, A. Carotenoids and other pigments as natural colorants. Pure Appl. Chem. 2006, 78, 1477–1491. [Google Scholar] [CrossRef]



| Traits | Treatments 1 | Storage Days | |||
|---|---|---|---|---|---|
| 1 | 7 | 14 | 21 | ||
| Peroxide value (PV, meq peroxide/kg lipid) | Negative control | 2.47 A | 4.37 A | 6.94 A | 8.29 A |
| Positive control | 2.09 C | 3.87 B | 5.11 C | 6.07 D | |
| AX | 2.14 AB | 4.01 AB | 5.27 C | 6.52 C | |
| SEM | 0.02 | 0.26 | 0.18 | 0.33 | |
| TBARS (mg MDA/kg sample) | Negative control | 0.17 A | 0.28 A | 0.33 B | 0.70 A |
| Positive control | 0.09 B | 0.12 C | 0.13 C | 0.16 B | |
| AX | 0.11 B | 0.14 C | 0.14 C | 0.16 B | |
| SEM | 0.01 | 0.01 | 0.01 | 0.02 | |
| Thiol content (nmol/mg protein) | Negative control | 67.53 C | 49.61 C | 39.21 C | 34.45 C |
| Positive control | 86.05 A | 78.69 A | 76.64 A | 71.40 A | |
| AX | 75.76 B | 62.68 B | 58.53 B | 52.78 B | |
| SEM | 1.09 | 1.81 | 1.18 | 1.12 | |
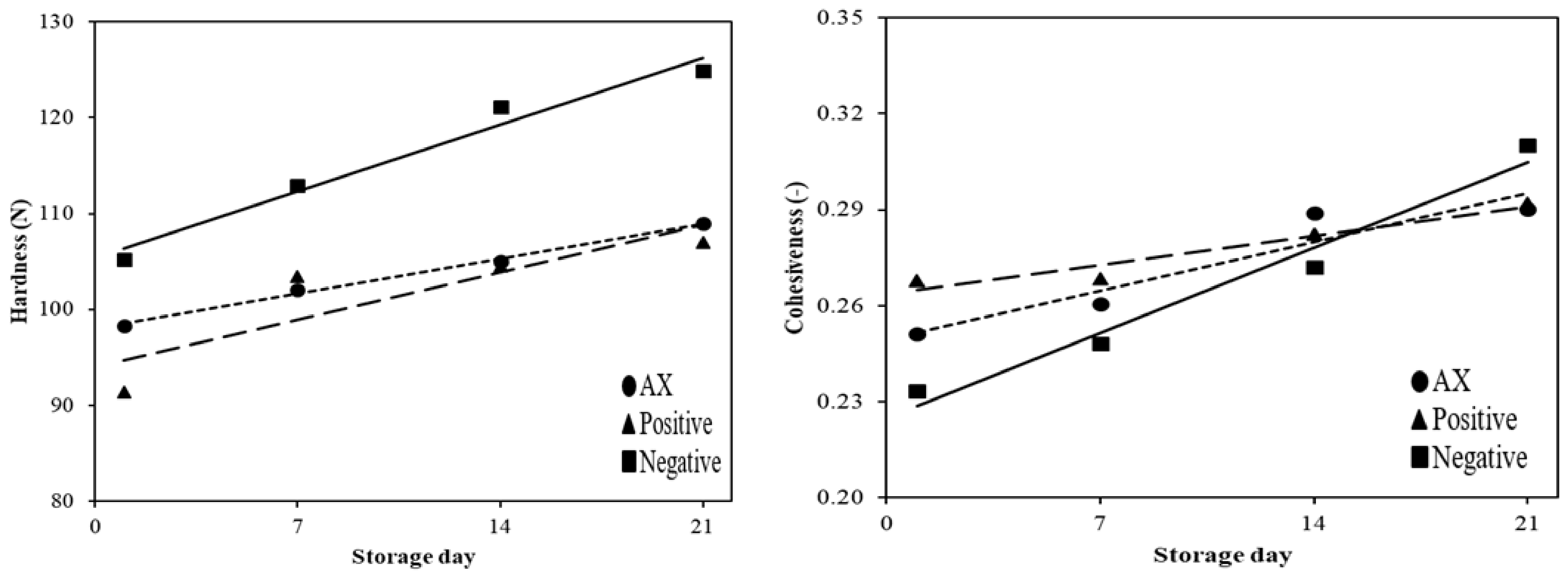
| Traits | Treatments | Storage Days | |||
|---|---|---|---|---|---|
| 1 | 7 | 14 | 21 | ||
| Hardness (N) | Negative control | 105.25 A | 112.88 A | 120.52 A | 124.89 A |
| Positive control | 91.33 B | 103.48 B | 104.49 B | 107.44 C | |
| AX | 100.73 AB | 102.55 B | 106.31 B | 109.90 BC | |
| SEM | 1.84 | 1.55 | 2.31 | 1.16 | |
| Cohesiveness | Negative control | 0.31 | 0.29 | 0.29 | 0.31 |
| Positive control | 0.27 | 0.29 | 0.28 | 0.27 | |
| AX | 0.25 | 0.27 | 0.28 | 0.24 | |
| SEM | 0.03 | 0.03 | 0.02 | 0.02 | |
| L* | Negative control | 77.91 A | 78.18 A | 77.90 A | 78.35 A |
| Positive control | 78.90 A | 79.10 A | 78.83 A | 79.49 A | |
| AX | 73.69 B | 74.31 B | 74.38 B | 74.20 B | |
| SEM | 0.41 | 0.73 | 0.54 | 0.56 | |
| a* | Negative control | −1.68 B | −1.73 B | −1.65 B | −1.95 B |
| Positive control | −1.78 B | −1.65 B | −1.45 B | −1.76 B | |
| AX | 3.25 A | 3.20 A | 3.20 A | 3.04 A | |
| SEM | 0.20 | 0.22 | 0.42 | 0.19 | |
| b* | Negative control | 15.75 | 15.99 | 15.88 | 16.18 |
| Positive control | 15.91 | 15.99 | 15.78 | 16.06 | |
| AX | 15.77 | 15.92 | 16.16 | 16.07 | |
| SEM | 0.40 | 0.34 | 0.31 | 0.55 | |
| Chroma | Negative control | 15.84 | 16.09 | 15.96 | 16.30 |
| Positive control | 16.01 | 16.08 | 15.85 | 16.15 | |
| AX | 16.10 | 16.24 | 16.47 | 16.35 | |
| SEM | 0.40 | 0.34 | 0.30 | 0.36 | |
| Hue angle | Negative control | 95.99 A | 96.08 A | 95.88 A | 96.82 A |
| Positive control | 96.29 A | 95.78 A | 95.15 A | 96.13 A | |
| AX | 78.39 B | 78.67 B | 78.88 B | 79.36 B | |
| SEM | 0.69 | 0.74 | 0.69 | 0.61 | |
| Total color difference (ΔE) | Negative control | 0.00 C | 0.00 B | 0.00 C | 0.00 C |
| Positive control | 1.23 B | 1.26 B | 1.08 BC | 1.37 B | |
| AX | 6.55 A | 6.34 A | 6.03 A | 6.54 A | |
| SEM | 0.30 | 0.43 | 0.42 | 0.34 | |
| Groups 1 | Parameters 2 | |||
|---|---|---|---|---|
| Color | Flavor | Chewiness | Overall Acceptability | |
| Negative control | 3.28 b | 5.40 | 6.20 | 5.16 d |
| Positive control | 3.28 b | 5.32 | 6.72 | 5.84 c |
| AX | 4.40 a | 5.64 | 6.16 | 6.76 a |
| SEM | 0.12 | 0.15 | 0.34 | 0.21 |
| Dependent Variable | Negative Control | Positive Control | AX | ||||||
|---|---|---|---|---|---|---|---|---|---|
| R2 | Coefficient | p-Value | R2 | Coefficient | p-Value | R2 | Coefficient | p-Value | |
| Lipid oxidation | |||||||||
| Peroxide value (PV, meq peroxide/kg lipid) | 0.84 | 0.018 | *** | 0.67 | 0.005 | ** | 0.66 | 0.002 | ** |
| TBARS (mg MDA/kg sample) | 0.83 | 0.020 | *** | 0.82 | 0.002 | *** | 0.76 | 0.003 | *** |
| Protein oxidation | |||||||||
| Thiol content (nmol/mg protein) | 0.90 | −1.62 | *** | 0.80 | −0.68 | *** | 0.84 | −1.08 | *** |
| Texture profile analysis | |||||||||
| Hardness (N) | 0.78 | 0.99 | *** | 0.72 | 0.62 | *** | 0.81 | 0.57 | *** |
| Cohesiveness | NS | ||||||||
Publisher’s Note: MDPI stays neutral with regard to jurisdictional claims in published maps and institutional affiliations. |
© 2021 by the authors. Licensee MDPI, Basel, Switzerland. This article is an open access article distributed under the terms and conditions of the Creative Commons Attribution (CC BY) license (http://creativecommons.org/licenses/by/4.0/).
Share and Cite
Seo, J.-K.; Parvin, R.; Park, J.; Yang, H.-S. Utilization of Astaxanthin as a Synthetic Antioxidant Replacement for Emulsified Sausages. Antioxidants 2021, 10, 407. https://doi.org/10.3390/antiox10030407
Seo J-K, Parvin R, Park J, Yang H-S. Utilization of Astaxanthin as a Synthetic Antioxidant Replacement for Emulsified Sausages. Antioxidants. 2021; 10(3):407. https://doi.org/10.3390/antiox10030407
Chicago/Turabian StyleSeo, Jin-Kyu, Rashida Parvin, Junyoung Park, and Han-Sul Yang. 2021. "Utilization of Astaxanthin as a Synthetic Antioxidant Replacement for Emulsified Sausages" Antioxidants 10, no. 3: 407. https://doi.org/10.3390/antiox10030407
APA StyleSeo, J.-K., Parvin, R., Park, J., & Yang, H.-S. (2021). Utilization of Astaxanthin as a Synthetic Antioxidant Replacement for Emulsified Sausages. Antioxidants, 10(3), 407. https://doi.org/10.3390/antiox10030407
