Cerebral Intraparenchymal Hemorrhage due to Implantation of Electrodes for Deep Brain Stimulation: Insights from a Large Single-Center Retrospective Cross-Sectional Analysis
Abstract
1. Introduction
2. Methods
3. Results
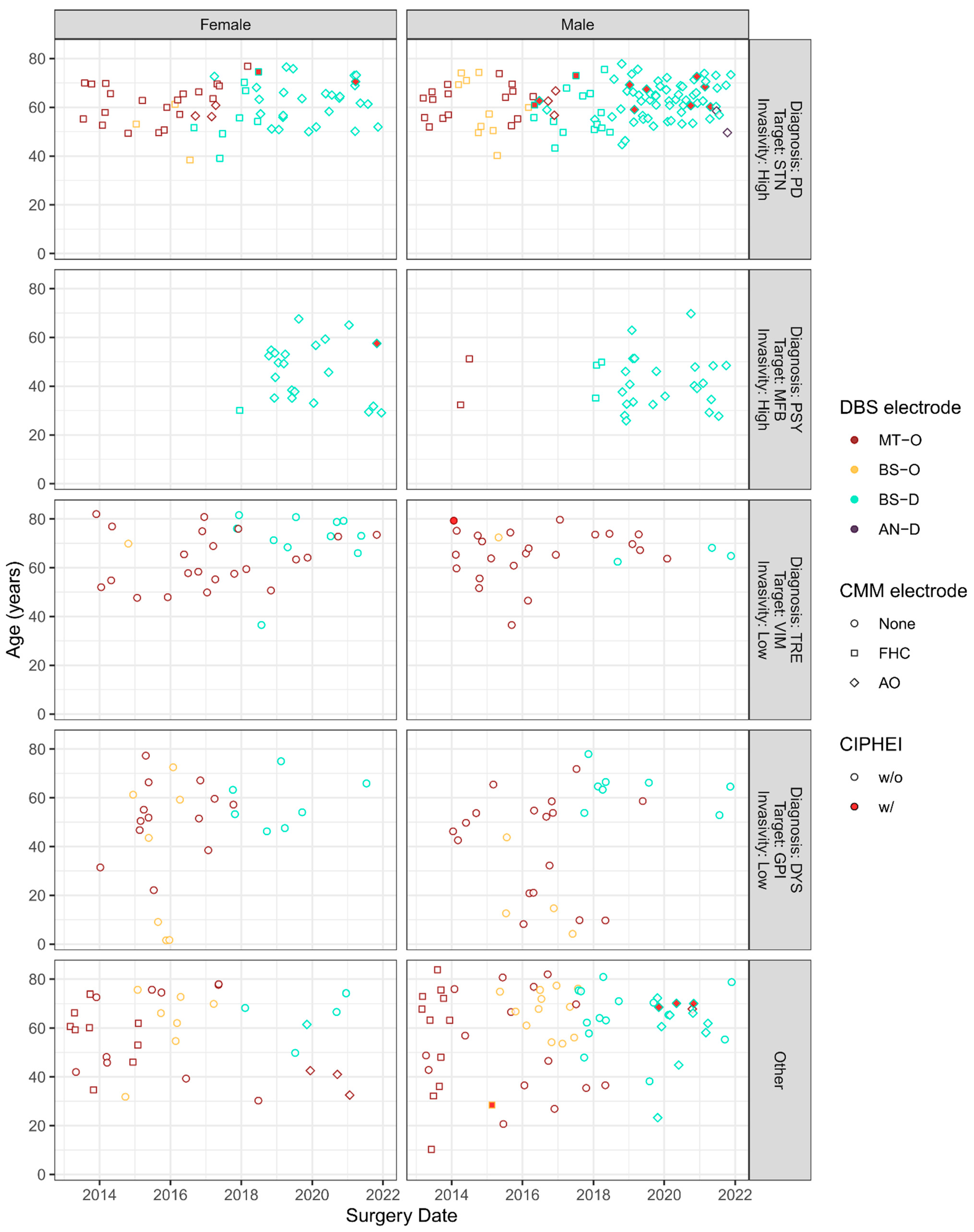
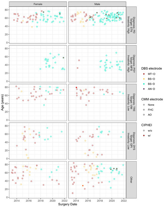
3.1. Patient Sample
3.2. CIPHEI Events
3.3. Confoundings between Factors
3.4. Explorative Analysis (Left-Hemispheric Procedures)
3.4.1. Multivariable Analyses—Additive Combination of Factors
3.4.2. Multivariable Analyses—Non-Additive Combination of Factors
3.4.3. Summary of Exploratory Risk Analyses in Left-Hemispheric Procedures
3.5. Cross-Validation Analysis (Right-Hemispheric Procedures)
Multivariable Analyses—Additive and Non-Additive Combinations of Factors
3.6. Summary of Exploratory and Cross-Validation Analysis
3.7. Additional Control Analyses
3.7.1. Partial Dependency between the Exploration and Cross-Validation Samples
3.7.2. Coagulation and Platelet Function in CIPHEI Patients
4. Discussion
5. Conclusions
Supplementary Materials
Author Contributions
Funding
Institutional Review Board Statement
Informed Consent Statement
Data Availability Statement
Conflicts of Interest
Abbreviations
| AIC | Akaike Information Criterion |
| AN-D | Aleva Neurotherapeutics dodecapolar directional DBS electrode model 11500 |
| AO | Alpha Omega Sonos Shielded Microelectrode |
| BR-GLM | Bias reduction in binomial-response generalized linear models |
| BS-D | Boston-Scientific octopolar directional DBS electrode model 2202 |
| BS-O | Boston-Scientific octopolar omnidirectional DBS electrode model 2201 |
| CIPHEI | cerebral intraparenchymal hemorrhage due to electrode implantation |
| CMM | combined micro/macroelectrodes |
| CT | computed tomography |
| DBS | deep brain stimulation |
| FHC | FHC microtargeting electrode |
| MER | microelectrode recording, i.e., extending microelectrodes of combined micro/macroelectrodes |
| MFB | medial forebrain bundle |
| MT-O | Medtronic quadripolar omnidirectional DBS electrode models 3389 or 3387 |
| PD | Parkinson’s disease |
| STN | subthalamic nucleus |
References
- Sugiyama, K.; Nozaki, T.; Asakawa, T.; Koizumi, S.; Saitoh, O.; Namba, H. The present indication and future of deep brain stimulation. Neurol. Med. Chir. 2015, 55, 416–421. [Google Scholar] [CrossRef] [PubMed]
- Bullard, A.J.; Hutchison, B.C.; Lee, J.; Chestek, C.A.; Patil, P.G. Estimating risk for future intracranial, fully implanted, modular neuroprosthetic systems: A systematic review of hardware complications in clinical deep brain stimulation and experimental human intracortical arrays. Neuromodulation 2020, 23, 411–426. [Google Scholar] [CrossRef] [PubMed]
- Zrinzo, L.; Foltynie, T.; Limousin, P.; Hariz, M.I. Reducing hemorrhagic complications in functional neurosurgery: A large case series and systematic literature review. J. Neurosurg. 2012, 116, 84–94. [Google Scholar] [CrossRef] [PubMed]
- Hamani, C.; Richter, E.; Schwalb, J.M.; Lozano, A.M. Bilateral subthalamic nucleus stimulation for Parkinson’s disease: A systematic review of the clinical literature. Neurosurgery 2005, 56, 1313–1321. [Google Scholar] [CrossRef] [PubMed]
- Kimmelman, J.; Duckworth, K.; Ramsay, T.; Voss, T.; Ravina, B.; Emborg, M.E. Risk of surgical delivery to deep nuclei: A meta-analysis. Mov. Disord. 2011, 26, 1415–1421. [Google Scholar] [CrossRef] [PubMed]
- Kleiner-Fisman, G.; Herzog, J.; Fisman, D.N.; Tamma, F.; Lyons, K.E.; Pahwa, R.; Lang, A.E.; Deuschl, G. Subthalamic nucleus deep brain stimulation: Summary and meta-analysis of outcomes. Mov. Disord. 2006, 21 (Suppl. S14), S290–S304. [Google Scholar] [CrossRef]
- Lachenmayer, M.L.; Mürset, M.; Antih, N.; Debove, I.; Muellner, J.; Bompart, M.; Schlaeppi, J.-A.; Nowacki, A.; You, H.; Michelis, J.P.; et al. Subthalamic and pallidal deep brain stimulation for Parkinson’s disease-meta-analysis of outcomes. NPJ Park. Dis. 2021, 7, 77. [Google Scholar] [CrossRef]
- Sobstyl, M.; Aleksandrowicz, M.; Ząbek, M.; Pasterski, T. Hemorrhagic complications seen on immediate intraprocedural stereotactic computed tomography imaging during deep brain stimulation implantation. J. Neurol. Sci. 2019, 400, 97–103. [Google Scholar] [CrossRef] [PubMed]
- Voges, J.; Hilker, R.; Bötzel, K.; Kiening, K.L.; Kloss, M.; Kupsch, A.; Schnitzler, A.; Schneider, G.-H.; Steude, U.; Deuschl, G.; et al. Thirty days complication rate following surgery performed for deep-brain-stimulation. Mov. Disord. 2007, 22, 1486–1489. [Google Scholar] [CrossRef]
- Ben-Haim, S.; Asaad, W.F.; Gale, J.T.; Eskandar, E.N. Risk factors for hemorrhage during microelectrode-guided deep brain stimulation and the introduction of an improved microelectrode design. Neurosurgery 2009, 64, 754–762. [Google Scholar] [CrossRef]
- Rughani, A.I.; Hodaie, M.; Lozano, A.M. Acute complications of movement disorders surgery: Effects of age and comorbidities. Mov. Disord. 2013, 28, 1661–1667. [Google Scholar] [CrossRef] [PubMed]
- Sansur, C.A.; Frysinger, R.C.; Pouratian, N.; Fu, K.-M.; Bittl, M.; Oskouian, R.J.; Laws, E.R.; Elias, W.J. Incidence of symptomatic hemorrhage after stereotactic electrode placement. J. Neurosurg. 2007, 107, 998–1003. [Google Scholar] [CrossRef] [PubMed]
- Yang, C.; Qiu, Y.; Wang, J.; Wu, Y.; Hu, X.; Wu, X. Intracranial hemorrhage risk factors of deep brain stimulation for Parkinson’s disease: A 2-year follow-up study. J. Int. Med. Res. 2020, 48, 300060519856747. [Google Scholar] [CrossRef] [PubMed]
- Shin, H.K.; Kim, M.S.; Yoon, H.H.; Chung, S.J.; Jeon, S.R. The risk factors of intracerebral hemorrhage in deep brain stimulation: Does target matter? Acta Neurochir. 2022, 164, 587–598. [Google Scholar] [CrossRef] [PubMed]
- Elias, W.J.; Sansur, C.A.; Frysinger, R.C. Sulcal and ventricular trajectories in stereotactic surgery. J. Neurosurg. 2009, 110, 201–207. [Google Scholar] [CrossRef] [PubMed]
- Binder, D.K.; Rau, G.M.; Starr, P.A. Risk factors for hemorrhage during microelectrode-guided deep brain stimulator implantation for movement disorders. Neurosurgery 2005, 56, 722–732. [Google Scholar] [CrossRef] [PubMed]
- Park, J.H.; Chung, S.J.; Lee, C.S.; Jeon, S.R. Analysis of hemorrhagic risk factors during deep brain stimulation surgery for movement disorders: Comparison of the circumferential paired and multiple electrode insertion methods. Acta Neurochir. 2011, 153, 1573–1578. [Google Scholar] [CrossRef] [PubMed]
- Lozano, C.S.; Ranjan, M.; Boutet, A.; Xu, D.S.; Kucharczyk, W.; Fasano, A.; Lozano, A.M. Imaging alone versus microelectrode recording-guided targeting of the STN in patients with Parkinson’s disease. J. Neurosurg. 2018, 130, 1847–1852. [Google Scholar] [CrossRef] [PubMed]
- Ho, A.L.; Ali, R.; Connolly, I.D.; Henderson, J.M.; Dhall, R.; Stein, S.C.; Halpern, C.H. Awake versus asleep deep brain stimulation for Parkinson’s disease: A critical comparison and meta-analysis. J. Neurol. Neurosurg. Psychiatr. 2018, 89, 687–691. [Google Scholar] [CrossRef]
- Sun, G.W.; Shook, T.L.; Kay, G.L. Inappropriate use of bivariable analysis to screen risk factors for use in multivariable analysis. J. Clin. Epidemiol. 1996, 49, 907–916. [Google Scholar] [CrossRef]
- Firth, D. Bias reduction of maximum likelihood estimates. Biometrika 1993, 80, 27–38. [Google Scholar] [CrossRef]
- Kosmidis, I.; Firth, D. Jeffreys-prior penalty, finiteness and shrinkage in binomial-response generalized linear models. Biometrika 2021, 108, 71–82. [Google Scholar] [CrossRef]
- Videnovic, A.; Metman, L.V. Deep brain stimulation for Parkinson’s disease: Prevalence of adverse events and need for standardized reporting. Mov. Disord. 2008, 23, 343–349. [Google Scholar] [CrossRef] [PubMed]
- Falowski, S.M.; Ooi, Y.C.; Bakay, R.A.E. Long-Term Evaluation of Changes in Operative Technique and Hardware-Related Complications With Deep Brain Stimulation. Neuromodulation 2015, 18, 670–677. [Google Scholar] [CrossRef] [PubMed]
- Doshi, P.K.; Rai, N.; Das, D. Surgical and Hardware Complications of Deep Brain Stimulation-A Single Surgeon Experience of 519 Cases Over 20 Years. Neuromodulation 2022, 25, 895–903. [Google Scholar] [CrossRef] [PubMed]
- Patel, D.M.; Walker, H.C.; Brooks, R.; Omar, N.; Ditty, B.; Guthrie, B.L. Adverse events associated with deep brain stimulation for movement disorders: Analysis of 510 consecutive cases. Neurosurgery 2015, 11 (Suppl. S2), 190–199. [Google Scholar] [CrossRef]
- Jung, I.-H.; Chang, K.W.; Park, S.H.; Chang, W.S.; Jung, H.H.; Chang, J.W. Complications After Deep Brain Stimulation: A 21-Year Experience in 426 Patients. Front. Aging Neurosci. 2022, 14, 819730. [Google Scholar] [CrossRef]
- Fenoy, A.J.; Simpson, R.K. Risks of common complications in deep brain stimulation surgery: Management and avoidance. J. Neurosurg. 2014, 120, 132–139. [Google Scholar] [CrossRef]
- R Core Team R: The R Project for Statistical Computing. Available online: https://www.r-project.org/index.html (accessed on 12 January 2023).
- Kosmidis, I. brglm: Bias Reduction in Binomial-Response Generalized Linear Models. Available online: https://CRAN.R-project.org/package=brglm (accessed on 24 August 2021).
- Sakamoto, Y.; Ishiguro, M.; Kitagawa, G. Akaike Information Criterion Statistics (Mathematics and its Applications, 1); D. Reidel Publishing Company: Dordrecht, The Netherlands, 1986; p. 309. ISBN 9027722536. [Google Scholar]
- Martin, A.J.; Starr, P.A.; Ostrem, J.L.; Larson, P.S. Hemorrhage Detection and Incidence during Magnetic Resonance-Guided Deep Brain Stimulator Implantations. Stereotact. Funct. Neurosurg. 2017, 95, 307–314. [Google Scholar] [CrossRef]
- Sorar, M.; Hanalioglu, S.; Kocer, B.; Eser, M.T.; Comoglu, S.S.; Kertmen, H. Experience Reduces Surgical and Hardware-Related Complications of Deep Brain Stimulation Surgery: A Single-Center Study of 181 Patients Operated in Six Years. Park. Dis. 2018, 2018, 3056018. [Google Scholar] [CrossRef]
- Voges, J.; Waerzeggers, Y.; Maarouf, M.; Lehrke, R.; Koulousakis, A.; Lenartz, D.; Sturm, V. Deep-brain stimulation: Long-term analysis of complications caused by hardware and surgery--experiences from a single centre. J. Neurol. Neurosurg. Psychiatr. 2006, 77, 868–872. [Google Scholar] [CrossRef]
- Tonge, M.; Ackermans, L.; Kocabicak, E.; van Kranen-Mastenbroek, V.; Kuijf, M.; Oosterloo, M.; Kubben, P.; Temel, Y. A detailed analysis of intracerebral hemorrhages in DBS surgeries. Clin. Neurol. Neurosurg. 2015, 139, 183–187. [Google Scholar] [CrossRef]
- Wang, X.; Wang, J.; Zhao, H.; Li, N.; Ge, S.; Chen, L.; Li, J.; Jing, J.; Su, M.; Zheng, Z.; et al. Clinical analysis and treatment of symptomatic intracranial hemorrhage after deep brain stimulation surgery. Br. J. Neurosurg. 2017, 31, 217–222. [Google Scholar] [CrossRef]
- Park, C.K.; Jung, N.Y.; Kim, M.; Chang, J.W. Analysis of Delayed Intracerebral Hemorrhage Associated with Deep Brain Stimulation Surgery. World Neurosurg. 2017, 104, 537–544. [Google Scholar] [CrossRef]
- Runge, J.; Nagel, J.M.; Cassini Ascencao, L.; Blahak, C.; Kinfe, T.M.; Schrader, C.; Wolf, M.E.; Saryyeva, A.; Krauss, J.K. Are transventricular approaches associated with increased hemorrhage? A comparative study in a series of 624 deep brain stimulation surgeries. Oper. Neurosurg. 2022, 23, e108–e113. [Google Scholar] [CrossRef] [PubMed]
- Runge, J.; Cassini Ascencao, L.; Blahak, C.; Kinfe, T.M.; Schrader, C.; Wolf, M.E.; Saryyeva, A.; Krauss, J.K. Deep brain stimulation in patients on chronic antiplatelet or anticoagulation treatment. Acta Neurochir. 2021, 163, 2825–2831. [Google Scholar] [CrossRef] [PubMed]
- Blair, G.W.; Thrippleton, M.J.; Shi, Y.; Hamilton, I.; Stringer, M.; Chappell, F.; Dickie, D.A.; Andrews, P.; Marshall, I.; Doubal, F.N.; et al. Intracranial hemodynamic relationships in patients with cerebral small vessel disease. Neurology 2020, 94, e2258–e2269. [Google Scholar] [CrossRef]
- Steigerwald, F.; Müller, L.; Johannes, S.; Matthies, C.; Volkmann, J. Directional deep brain stimulation of the subthalamic nucleus: A pilot study using a novel neurostimulation device. Mov. Disord. 2016, 31, 1240–1243. [Google Scholar] [CrossRef] [PubMed]
- Kriesen, T.; Löhle, M.; Reese, R. Frequency and risk factors for postoperative symptomatic or asymptomatic edema surrounding the leads for chronic deep brain stimulation. In Proceedings of the 73rd Annual Meeting of the Deutsche Gesellschaft für Neurochirurgie (DGNC), Cologne, Germany, 29 May–1 June 2022; Abstract Number P103. p. 144. [Google Scholar]
- Kovacs, E.; Kiening, K.; Unterberg, A.W.; Jakobs, M. Idiopathic peri-electrode edema after deep brainstimulation—A retrospective analysis. In Proceedings of the 74th Annual Meeting of the Deutsche Gesellschaft für Neurochirurgie (DGNC), Stuttgart, Germany, 25–28 June 2023; Abstract Number V191. p. 239. [Google Scholar]
- Nickl, R.; Fricke, P.; Volkmann, J.; Pozzi, N.; Capetian, P.; Matthies, C. Symptomatic peri-lead edema following deep brain stimulation for essential tremor. In Proceedings of the 74th Annual Meeting of the Deutsche Gesellschaft für Neurochirurgie (DGNC), Stuttgart, Germany, 25–28 June 2023; Abstract Number P225. p. 768. [Google Scholar]
- Matthies, C.; Fricke, P.; Volkmann, J.; Pozzi, N.; Capetian, P.; Nickl, R. Aseptic perifocal lead oedema–clinical evolution and management options. In Proceedings of the 74th Annual Meeting of the Deutsche Gesellschaft für Neurochirurgie (DGNC), Stuttgart, Germany, 25–28 June 2023; Abstract Number P226. p. 769. [Google Scholar]
- Limousin, P.; Speelman, J.D.; Gielen, F.; Janssens, M. Multicentre European study of thalamic stimulation in parkinsonian and essential tremor. J. Neurol. Neurosurg. Psychiatr. 1999, 66, 289–296. [Google Scholar] [CrossRef]
- Goodman, R.R.; Kim, B.; McClelland, S.; Senatus, P.B.; Winfield, L.M.; Pullman, S.L.; Yu, Q.; Ford, B.; McKhann, G.M. Operative techniques and morbidity with subthalamic nucleus deep brain stimulation in 100 consecutive patients with advanced Parkinson’s disease. J. Neurol. Neurosurg. Psychiatr. 2006, 77, 12–17. [Google Scholar] [CrossRef]
- Lyons, K.E.; Koller, W.C.; Wilkinson, S.B.; Pahwa, R. Long term safety and efficacy of unilateral deep brain stimulation of the thalamus for parkinsonian tremor. J. Neurol. Neurosurg. Psychiatr. 2001, 71, 682–684. [Google Scholar] [CrossRef] [PubMed]
- Helmers, A.-K.; Kubelt, C.; Birkenfeld, F.; Deuschl, G.; Falk, D.; Mehdorn, H.M.; Witt, K.; Nowak-Göttl, U.; Synowitz, M.; Paschen, S. Screening for platelet dysfunction and use of prophylactic tranexamic acid in patients undergoing deep brain stimulation: A retrospective analysis of incidence and outcome of intracranial hemorrhage. Stereotact. Funct. Neurosurg. 2020, 98, 176–181. [Google Scholar] [CrossRef] [PubMed]


| Electrode Type | Producer | Product Type and Name | Abbr. |
|---|---|---|---|
| CMM electrode | Alpha-Omega (Nof HaGalil, Israel) | Sonos Shielded Microelectrode, model STR-009080-00 | AO |
| FHC (Bowdoin, ME, USA) | microTargeting D.ZAP Array Insertion Electrode, model FC2001 | FHC | |
| DBS electrode | Medtronic (Minneapolis, MN, USA) | quadripolar omnidirectional models 3389 or 3387 | MT-O |
| Boston Scientific Corp. (Marlborough, MA, USA) | octopolar omnidirectional model 2201 | BS-O | |
| octopolar directional model 2202 | BS-D | ||
| Aleva Neurotherapeutics (Lausanne, Switzerland) | dodecapolar directional model 11500 | AO |
| CIPHEI | Procedure-Related Variables | Patient-Related Variables | ||||||||
|---|---|---|---|---|---|---|---|---|---|---|
| ≤25 mm | >25 mm | Invasivity | Diagnosis | Target | CMM Electrode | DBS Electrode | Laterality | Age (Years) | Gender | aHTN |
| x | medium | PAI | VCP + PAG | AO | BS-D | Left | 68.6 | M | w/o | |
| x | medium | TRE | VIM | AO | BS-D | Bilateral | 70.2 | M | w/o | |
| x | medium | TRE | VIM | AO | BS-D | Bilateral | 70.1 | M | w/ | |
| x | high | PD | STN | AO | BS-D | Bilateral | 69.2 | M | w/o | |
| x | high | PD | STN | AO | BS-D | Bilateral | 67.4 | M | w/o | |
| x | high | PD | STN | AO | BS-D | Bilateral | 60.7 | M | w/ | |
| x | high | PD | STN | AO | BS-D | Left | 72.6 | M | w/ | |
| x | high | PD | STN | AO | BS-D | Bilateral | 68.4 | M | w/ | |
| x | high | PD | STN | FHC | BS-D | Bilateral | 74.5 | F | w/o | |
| x | x | high | PD | STN | FHC | BS-D | Bilateral | 60.9 | M | w/o |
| x | x | high | PD | STN | FHC | BS-D | Left | 73.0 | M | w/ |
| x | x | high | PD | STN | AO | BS-D | Bilateral | 60.2 | M | w/o |
| Model Estimates | |||||||
|---|---|---|---|---|---|---|---|
| Model Type | Dependent Variable | Term | Log OR | SE | Statistic | p-Value | OR [95% CI] |
| Additive | Any CIPHEI along trajectory | Intercept | −12.154 | 2.559 | −4.749 | 0.000002 | 0.00001 [<0.00001–0.00041] |
| Age (≥60 years) | 3.587 | 1.383 | 2.593 | 0.009511 | 36.12 [4.36–Inf] | ||
| Gender (Male) | 1.310 | 0.856 | 1.531 | 0.125791 | 3.71 [0.79–106.73] | ||
| CMM electrode type (FHC) | 3.473 | 1.518 | 2.287 | 0.022189 | 32.23 [2.60–Inf] | ||
| CMM electrode type (AO) | 2.098 | 1.414 | 1.484 | 0.137831 | 8.15 [0.97–Inf] | ||
| DBS electrode type (BS-D) | 3.524 | 1.480 | 2.381 | 0.017269 | 33.94 [2.85–Inf] | ||
| Deep CIPHEI | Intercept | −10.772 | 2.561 | −4.206 | 0.000026 | 0.00002 [<0.00001–0.00167] | |
| Age (≥60 years) | 3.017 | 1.477 | 2.043 | 0.041048 | 20.43 [1.83–Inf] | ||
| CMM electrode type (FHC) | 3.504 | 1.534 | 2.285 | 0.022317 | 33.25 [2.72–Inf] | ||
| CMM electrode type (AO) | 0.303 | 1.611 | 0.188 | 0.850981 | 1.35 [0.07–Inf] | ||
| DBS electrode type (BS-D) | 3.591 | 1.504 | 2.388 | 0.016942 | 36.27742 [3.01–Inf] | ||
| Non-additive | Any CIPHEI along trajectory | Intercept | −6.509 | 1.417 | −4.592 | 0.000004 | 0.00149 [<0.00001–0.01003] |
| Age (≥60 years) × use of CMM/MER × DBS electrode type (BS-D) | 4.793 | 1.451 | 3.304 | 0.000953 | 120.68 [15.66–Inf] | ||
| Deep CIPHEI | Intercept | −5.602 | 0.819 | −6.840 | <0.000001 | 0.00369 [0.00014–0.01313] | |
| Age (≥60 years) × use of CMM/MER × DBS electrode type (BS-D) | 4.983 | 1.077 | 4.628 | 0.000004 | 145.92 [20.93–4458.38] |
| CIPHEI | Procedure-Related Variables | Patient-Related Variables | ||||||||
|---|---|---|---|---|---|---|---|---|---|---|
| ≤25 mm | >25 mm | Diagnosis | Target | Invasivity | CMM Electrode | DBS Electrode | Laterality | Age (Years) | Gender | aHTN |
| x | TRE | VIM | Low | None | MT-O | Bilateral | 79.3 | M | w/ | |
| x | TRE | VIM | Medium | AO | BS-D | Bilateral | 70.1 | M | w/ | |
| x | PD | STN | High | AO | BS-D | Bilateral | 69.2 | M | w/o | |
| x | PD | STN | High | AO | BS-D | Bilateral | 68.4 | M | w/ | |
| x | PSY | MFB | High | AO | BS-D | Bilateral | 57.5 | F | w/o | |
| x | DYS | GPI | High | FHC | BS-O | Bilateral | 28.4 | M | w/o | |
| x | PD | STN | High | FHC | BS-D | Bilateral | 60.9 | M | w/o | |
| x | PD | STN | High | AO | BS-D | Bilateral | 62.7 | M | w/o | |
| x | PD | STN | High | AO | BS-D | Right | 70.5 | F | w/o | |
| x | x | PD | STN | High | AO | BS-D | Bilateral | 67.4 | M | w/o |
| Model Estimates | |||||||
|---|---|---|---|---|---|---|---|
| Model Type | Dependent Variable | Term | Log OR | SE | Statistic | p-Value | OR [95% CI] |
| Additive | Any CIPHEI along trajectory | Intercept | −5.505 | 0.992 | −5.548 | <0.000001 | 0.00407 [0.00010–0.02121] |
| Age (≥60 years) | 1.296 | 0.717 | 1.808 | 0.070609 | 3.66 [0.99–28.90] | ||
| Use of CMM | 1.503 | 0.873 | 1.722 | 0.085038 | 4.50 [1.02–118.78] | ||
| Deep CIPHEI | Intercept | −6.188 | 1.465 | −4.223 | 0.000024 | 0.00205 [0.00000–0.02052] | |
| Age (≥60 years) | 1.447 | 0.902 | 1.604 | 0.108697 | 4.25 [0.77–112.87] | ||
| aHTN (w/) | −1.660 | 1.379 | −1.204 | 0.228537 | 0.19 [<0.00001–1.76] | ||
| Use of CMM/MER | 1.996 | 1.349 | 1.479 | 0.139059 | 7.36 [0.82–Inf] | ||
| Non-additive | Any CIPHEI along trajectory | Intercept | −4.536 | 0.538 | −8.428 | <0.000001 | 0.01072 [0.00228–0.02637] |
| Age (≥60 years) × use of CMM/MER × DBS electrode type (BS-D) | 2.267 | 0.662 | 3.423 | 0.000620 | 9.65 [2.80–49.92] | ||
| Deep CIPHEI | Intercept | −5.404 | 0.820 | −6.594 | <0.000001 | 0.00450 [0.00019–0.01472] | |
| Age (≥60 years) × use of CMM/MER × DBS electrode type (BS-D) | 2.653 | 0.955 | 2.779 | 0.005456 | 14.19 [1.70–229.18] |
Disclaimer/Publisher’s Note: The statements, opinions and data contained in all publications are solely those of the individual author(s) and contributor(s) and not of MDPI and/or the editor(s). MDPI and/or the editor(s) disclaim responsibility for any injury to people or property resulting from any ideas, methods, instructions or products referred to in the content. |
© 2024 by the authors. Licensee MDPI, Basel, Switzerland. This article is an open access article distributed under the terms and conditions of the Creative Commons Attribution (CC BY) license (https://creativecommons.org/licenses/by/4.0/).
Share and Cite
Sajonz, B.E.A.; Brugger, T.S.; Reisert, M.; Büchsel, M.; Schröter, N.; Rau, A.; Egger, K.; Reinacher, P.C.; Urbach, H.; Coenen, V.A.; et al. Cerebral Intraparenchymal Hemorrhage due to Implantation of Electrodes for Deep Brain Stimulation: Insights from a Large Single-Center Retrospective Cross-Sectional Analysis. Brain Sci. 2024, 14, 612. https://doi.org/10.3390/brainsci14060612
Sajonz BEA, Brugger TS, Reisert M, Büchsel M, Schröter N, Rau A, Egger K, Reinacher PC, Urbach H, Coenen VA, et al. Cerebral Intraparenchymal Hemorrhage due to Implantation of Electrodes for Deep Brain Stimulation: Insights from a Large Single-Center Retrospective Cross-Sectional Analysis. Brain Sciences. 2024; 14(6):612. https://doi.org/10.3390/brainsci14060612
Chicago/Turabian StyleSajonz, Bastian E. A., Timo S. Brugger, Marco Reisert, Martin Büchsel, Nils Schröter, Alexander Rau, Karl Egger, Peter C. Reinacher, Horst Urbach, Volker A. Coenen, and et al. 2024. "Cerebral Intraparenchymal Hemorrhage due to Implantation of Electrodes for Deep Brain Stimulation: Insights from a Large Single-Center Retrospective Cross-Sectional Analysis" Brain Sciences 14, no. 6: 612. https://doi.org/10.3390/brainsci14060612
APA StyleSajonz, B. E. A., Brugger, T. S., Reisert, M., Büchsel, M., Schröter, N., Rau, A., Egger, K., Reinacher, P. C., Urbach, H., Coenen, V. A., & Kaller, C. P. (2024). Cerebral Intraparenchymal Hemorrhage due to Implantation of Electrodes for Deep Brain Stimulation: Insights from a Large Single-Center Retrospective Cross-Sectional Analysis. Brain Sciences, 14(6), 612. https://doi.org/10.3390/brainsci14060612

