Effects of Physical Interventions on Subjective Tinnitus, a Systematic Review and Meta-Analysis
Abstract
1. Introduction
2. Materials and Methods
2.1. Systematic Search Strategy and Study Selection
2.2. Meta-Analysis
2.3. Data Synthesis and Analysis
3. Results
3.1. Search Strategy and Study Selection
3.2. Descriptive Study Characteristics
3.3. Risk of Bias
3.4. Intervention, Intensity, and Location
3.5. Outcome Measures
3.6. Physical Interventions
3.6.1. TENS
3.6.2. Laser
3.6.3. Acupuncture
3.6.4. Other Interventions
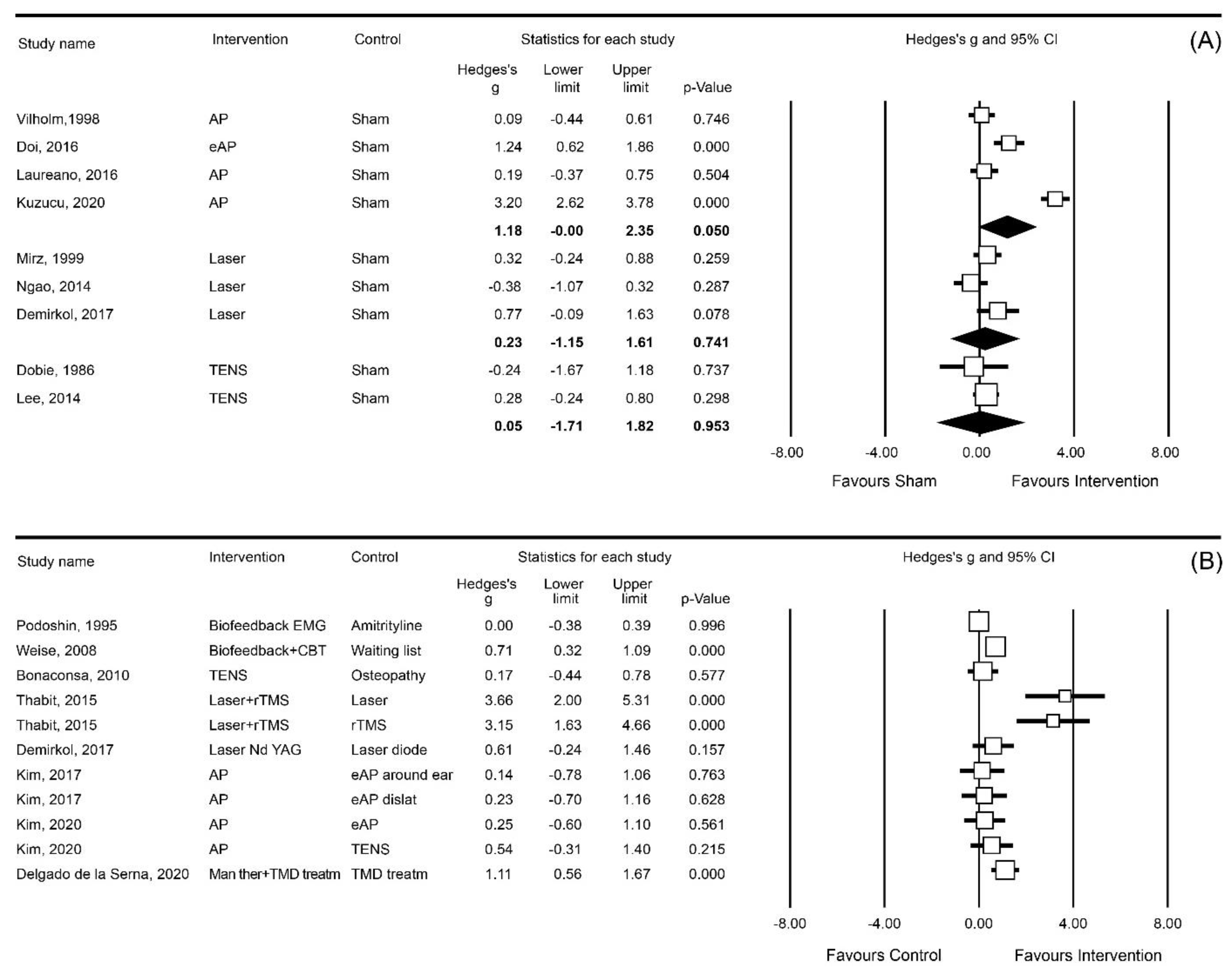
3.7. Meta-Analysis Results
3.7.1. VAS Annoyance
3.7.2. VAS Loudness
3.7.3. THI
4. Discussion
Recommendations
5. Conclusions
Author Contributions
Funding
Institutional Review Board Statement
Informed Consent Statement
Data Availability Statement
Conflicts of Interest
Appendix A

| (a) | |||
| Regression Coefficient | Standard Error | p-Value | |
| Sequence generation | |||
| Low risk | 0.9155 | 0.1893 | <0.001 |
| High risk | - | - | - |
| Unknown | −0.1632 | 0.3588 | 0.6492 |
| Allocation Concealment | |||
| Low risk | 1.0324 | 0.2391 | <0.001 |
| High risk | 0.3657 | 0.8008 | 0.6479 |
| Unknown | −0.3939 | 0.3499 | 0.2602 |
| Blinding | |||
| Low risk | 0.7056 | 0.3664 | 0.0541 |
| High risk | 0.2422 | 0.4236 | 0.5674 |
| Unknown | 0.1104 | 0.4793 | 0.8179 |
| Incomplete outcome data | |||
| Low risk | 0.8067 | 0.2023 | <0.001 |
| High risk | - | - | - |
| Unknown | 0.2086 | 0.3572 | 0.5592 |
| Selective outcome reporting | |||
| Low risk | 0.8036 | 0.2269 | <0.001 |
| High risk | 0.3865 | 0.4840 | 0.4246 |
| Unknown | 0.0805 | 0.3437 | 0.8148 |
| Other sources of bias | |||
| Low risk | 0.9040 | 0.2029 | <0.001 |
| High risk | - | - | - |
| Unknown | −0.0424 | 0.3322 | 0.8985 |
| (b) | |||
| Regression Coefficient | Standard Error | p-Value | |
| Sequence generation | |||
| Low risk | 0.8831 | 0.2838 | 0.0019 |
| High risk | - | - | - |
| Unknown | −0.3276 | 0.3904 | 0.4014 |
| Allocation Concealment | |||
| Low risk | 0.7867 | 0.3324 | 0.0180 |
| High risk | −0.0811 | 1.0100 | 0.9360 |
| Unknown | −0.1171 | 0.4700 | 0.8032 |
| Blinding | |||
| Low risk | 1.12296 | 0.4869 | 0.0116 |
| High risk | −0.4260 | 0.5633 | 0.4495 |
| Unknown | −0.9271 | 0.6014 | 0.1232 |
| Incomplete outcome data | |||
| Low risk | 0.6564 | 0.2898 | 0.0235 |
| High risk | - | - | - |
| Unknown | 0.1293 | 0.4199 | 0.7582 |
| Selective outcome reporting | |||
| Low risk | 0.6929 | 0.2984 | 0.0202 |
| High risk | 0.2700 | 0.7012 | 0.7002 |
| Unknown | −0.0099 | 0.4560 | 0.9827 |
| Other sources of bias | |||
| Low risk | 0.8107 | 0.2264 | <0.001 |
| High risk | - | - | - |
| Unknown | −0.6238 | 0.5855 | 0.2867 |
| (c) | |||
| Regression Coefficient | Standard Error | p-Value | |
| Sequence generation | |||
| Low risk | 0.4720 | 0.1342 | <0.001 |
| High risk | −0.6365 | 0.5002 | 0.2033 |
| Unknown | −0.2180 | 0.2068 | 0.2919 |
| Allocation Concealment | |||
| Low risk | 0.3396 | 0.1473 | 0.0212 |
| High risk | 0.1381 | 0.3627 | 0.7033 |
| Unknown | −0.0051 | 0.2316 | 0.9824 |
| Blinding | |||
| Low risk | −0.0118 | 0.2102 | 0.9551 |
| High risk | 0.3691 | 0.2463 | 0.1340 |
| Unknown | 0.6469 | 0.2750 | 0.0187 |
| Incomplete outcome data | |||
| Low risk | 0.2359 | 0.1342 | 0.0786 |
| High risk | 0.3725 | 0.4961 | 0.4528 |
| Unknown | 0.2807 | 0.2179 | 0.1978 |
| Selective outcome reporting | |||
| Low risk | 0.2019 | 0.1664 | 0.2250 |
| High risk | 0.6883 | 0.2810 | 0.0143 |
| Unknown | 0.0831 | 0.2108 | 0.6936 |
| Other sources of bias | |||
| Low risk | 0.3633 | 0.1170 | 0.0019 |
| High risk | −0.1949 | 0.2823 | 0.4900 |
| Unknown | 0.3842 | 0.4386 | 0.3811 |
References
- Han, B.I.; Lee, H.W.; Kim, T.Y.; Lim, J.S.; Shin, K.S. Tinnitus: Characteristics, causes, mechanisms, and treatments. J. Clin. Neurol. 2009, 5, 11–19. [Google Scholar] [CrossRef] [PubMed]
- McCormack, A.; Edmondson-Jones, M.; Somerset, S.; Hall, D. A systematic review of the reporting of tinnitus prevalence and severity. Hear. Res. 2016, 337, 70–79. [Google Scholar] [CrossRef]
- Langguth, B. A review of tinnitus symptoms beyond ringing in the ears: A call to action. Curr. Med. Res. Opin. 2011, 27, 1635–1643. [Google Scholar] [CrossRef] [PubMed]
- Meikle, M.B.; Henry, J.A.; Griest, S.E.; Stewart, B.J.; Abrams, H.B.; McArdle, R.; Myers, P.J.; Newman, C.W.; Sandridge, S.; Turk, D.C.; et al. The tinnitus functional index: Development of a new clinical measure for chronic, intrusive tinnitus. Ear Hear. 2012, 33, 153–176. [Google Scholar] [CrossRef] [PubMed]
- Tan, C.M.; Lecluyse, W.; McFerran, D.; Meddis, R. Tinnitus and patterns of hearing loss. J. Assoc. Res. Otolaryngol. 2013, 14, 275–282. [Google Scholar] [CrossRef]
- Hall, D.A.; Smith, H.; Hibbert, A.; Colley, V.; Haider, H.F.; Horobin, A.; Londero, A.; Mazurek, B.; Thacker, B.; Fackrell, K.; et al. The COMiT’ID Study: Developing Core Outcome Domains Sets for Clinical Trials of Sound-, Psychology-, and Pharmacology-Based Interventions for Chronic Subjective Tinnitus in Adults. Trends Hear. 2018, 22, 2331216518814384. [Google Scholar] [CrossRef]
- Erlandsson, S.I.; Hallberg, L.R. Prediction of quality of life in patients with tinnitus. Br. J. Audiol. 2000, 34, 11–20. [Google Scholar] [CrossRef] [PubMed]
- Gray, C.M.; Adaralegbe, A.O.; Kumar, S. A Case Report of High Cervical Spinal Cord Stimulation for Chronic Otalgia and Tinnitus. A A Pr. 2020, 14, e01261. [Google Scholar] [CrossRef]
- Sanchez, T.G.; Valim, C.C.A.; Schlee, W. Long-lasting total remission of tinnitus: A systematic collection of cases. Prog. Brain Res. 2021, 260, 269–282. [Google Scholar] [CrossRef]
- Fuller, T.; Cima, R.; Langguth, B.; Mazurek, B.; Vlaeyen, J.W.; Hoare, D.J. Cognitive behavioural therapy for tinnitus. Cochrane Database Syst. Rev. 2020, 1, CD012614. [Google Scholar] [CrossRef] [PubMed]
- Shore, S.E.; Zhou, J. Somatosensory influence on the cochlear nucleus and beyond. Hear. Res. 2006, 216–217, 90–99. [Google Scholar] [CrossRef]
- Bjorne, A. Assessment of temporomandibular and cervical spine disorders in tinnitus patients. Prog. Brain Res. 2007, 166, 215–219. [Google Scholar] [CrossRef]
- Bonaconsa, A.; Mazzoli, M.; Magnano, S.L.A.; Milanesi, C.; Babighian, G. Posturography measures and efficacy of different physical treatments in somatic tinnitus. Int. Tinnitus J. 2010, 16, 44–50. [Google Scholar]
- Levine, R.A. Somatic (craniocervical) tinnitus and the dorsal cochlear nucleus hypothesis. Am. J. Otolaryngol. 1999, 20, 351–362. [Google Scholar] [CrossRef]
- Pinchoff, R.J.; Burkard, R.F.; Salvi, R.J.; Coad, M.L.; Lockwood, A.H. Modulation of tinnitus by voluntary jaw movements. Am. J. Otol. 1998, 19, 785–789. [Google Scholar] [PubMed]
- Rocha, C.A.; Sanchez, T.G. Myofascial trigger points: Another way of modulating tinnitus. Prog. Brain Res. 2007, 166, 209–214. [Google Scholar] [CrossRef] [PubMed]
- Rubinstein, B. Tinnitus and Craniomandibular Disorders—Is There a Link? Swedish Dental Journal, Supplement; Göteborg Universitet: Göteborg, Sweden, 1993; Volume 95, pp. 1–46. [Google Scholar]
- Sanchez, T.G.; Lorenzi, M.C.; Brandao, A.L.; Bento, R.F. Tinnitus as a tool to study the central connections and the plasticity of the auditory system. Rev. Bras. Otorrinolaringol. 2002, 68, 839–848. [Google Scholar]
- Vernon, J.; Griest, S.; Press, L. Attributes of tinnitus that may predict temporomandibular joint dysfunction. Cranio 1992, 10, 282–287; discussion 287–288. [Google Scholar] [CrossRef]
- Omidvar, S.; Jafari, Z. Association Between Tinnitus and Temporomandibular Disorders: A Systematic Review and Meta-Analysis. Ann. Otol. Rhinol. Laryngol. 2019, 128, 662–675. [Google Scholar] [CrossRef]
- Mottaghi, A.; Menendez-Diaz, I.; Cobo, J.L.; Gonzalez-Serrano, J.; Cobo, T. Is there a higher prevalence of tinnitus in patients with temporomandibular disorders? A systematic review and meta-analysis. J. Oral Rehabil. 2019, 46, 76–86. [Google Scholar] [CrossRef]
- Bousema, E.J.; Koops, E.A.; van Dijk, P.; Dijkstra, P.U. Association Between Subjective Tinnitus and Cervical Spine or Temporomandibular Disorders: A Systematic Review. Trends Hear. 2018, 22, 2331216518800640. [Google Scholar] [CrossRef] [PubMed]
- Kuzucu, I.; Karaca, O. Acupuncture Treatment in Patients with Chronic Subjective Tinnitus: A Prospective, Randomized Study. Med. Acupunct. 2020, 32, 24–28. [Google Scholar] [CrossRef]
- Van der Wal, A.; Michiels, S.; Van de Heyning, P.; Braem, M.; Visscher, C.; Topsakal, V.; Gilles, A.; Jacquemin, L.; Van Rompaey, V.; De Hertogh, W. Treatment of Somatosensory Tinnitus: A Randomized Controlled Trial Studying the Effect of Orofacial Treatment as Part of a Multidisciplinary Program. J. Clin. Med. 2020, 9, 705. [Google Scholar] [CrossRef]
- Dejakum, K.; Piegger, J.; Plewka, C.; Gunkel, A.; Thumfart, W.; Kudaibergenova, S.; Goebel, G.; Kral, F.; Freysinger, W. Medium-level laser in chronic tinnitus treatment. Biomed. Res. Int. 2013, 2013, 324234. [Google Scholar] [CrossRef] [PubMed]
- Manz, E.J.; Sertel, S.; Szecsenyi, J.; Plinkert, P.K.; Joos, S. Acupuncture as Complementary Treatment for Acute Tinnitus: A Randomized Controlled Pilot Study. Complement. Med. Res. 2021, 28, 96–103. [Google Scholar] [CrossRef] [PubMed]
- Michiels, S.; Naessens, S.; Van de Heyning, P.; Braem, M.; Visscher, C.M.; Gilles, A.; De Hertogh, W. The Effect of Physical Therapy Treatment in Patients with Subjective Tinnitus: A Systematic Review. Front. Neurosci. 2016, 10, 545. [Google Scholar] [CrossRef] [PubMed]
- Ferreira, M.C.; de Matos, I.L.; de Toledo, I.P.; Honorio, H.M.; Mondelli, M. Effects of Low-Level Laser Therapy as a Therapeutic Strategy for Patients With Tinnitus: A Systematic Review. J. Speech Lang. Hear. Res. 2021, 64, 279–298. [Google Scholar] [CrossRef] [PubMed]
- Huang, K.; Liang, S.; Chen, L.; Grellet, A. Acupuncture for tinnitus: A systematic review and meta-analysis of randomized controlled trials. Acupunct. Med. 2020, 39, 964528420938380. [Google Scholar] [CrossRef] [PubMed]
- Li, L.; Shi, H.; Wang, M. A Pilot Randomized Controlled Trial of Transcutaneous Electrical Nerve Stimulation for Patients with Acute Tinnitus. Medicine 2019, 98, e13793. [Google Scholar] [CrossRef] [PubMed]
- Park, Y.M.; Na, W.S.; Park, I.Y.; Suh, M.W.; Rhee, C.K.; Chung, P.S.; Jung, J.Y. Trans-canal laser irradiation reduces tinnitus perception of salicylate treated rat. Neurosci. Lett. 2013, 544, 131–135. [Google Scholar] [CrossRef]
- Halon, A.; Donizy, P.; Dziegala, M.; Dobrakowski, R.; Simon, K. Tissue laser biostimulation promotes post-extraction neoangiogenesis in HIV-infected patients. Lasers Med. Sci. 2015, 30, 701–706. [Google Scholar] [CrossRef] [PubMed]
- Tunkel, D.E.; Bauer, C.A.; Sun, G.H.; Rosenfeld, R.M.; Chandrasekhar, S.S.; Cunningham, E.R., Jr.; Archer, S.M.; Blakley, B.W.; Carter, J.M.; Granieri, E.C.; et al. Clinical practice guideline: Tinnitus. Otolaryngol. Head Neck Surg. 2014, 151, S1–S40. [Google Scholar] [CrossRef] [PubMed]
- Tu, J.F.; Kim, M.; Yang, J.W.; Li, Q.Q.; Litscher, G.; Wang, L.; Shi, G.X.; Litscher, D.; Liu, C.Z. Influence of Acupuncture on Autonomic Balance in Adult Tinnitus Patients: An Exploratory Study. Curr. Med. Sci. 2019, 39, 947–953. [Google Scholar] [CrossRef]
- Puerma-Castillo, M.C.; Garcia-Rios, M.C.; Perez-Gomez, M.E.; Aguilar-Ferrandiz, M.E.; Peralta-Ramirez, M.I. Effectiveness of kinesio taping in addition to conventional rehabilitation treatment on pain, cervical range of motion and quality of life in patients with neck pain: A randomized controlled trial. J. Back Musculoskelet. Rehabil. 2018, 31, 453–464. [Google Scholar] [CrossRef]
- Kalron, A.; Bar-Sela, S. A systematic review of the effectiveness of Kinesio Taping—Fact or fashion? Eur. J. Phys. Rehabil. Med. 2013, 49, 699–709. [Google Scholar] [PubMed]
- Weise, C.; Heinecke, K.; Rief, W. Biofeedback-based behavioral treatment for chronic tinnitus: Results of a randomized controlled trial. J. Consult. Clin. Psychol. 2008, 76, 1046–1057. [Google Scholar] [CrossRef] [PubMed]
- Higgins, J.P.T.; Altman, D. Assessing risk of bias in included studies. In Cochrane Handbook for Systematic Reviews of Interventions; Higgins, J.P.T., Green, S., Eds.; Wiley: Chichester, UK, 2008; pp. 187–241. [Google Scholar]
- Newman, C.W.; Jacobson, G.P.; Spitzer, J.B. Development of the Tinnitus Handicap Inventory. Arch. Otolaryngol. Head Neck Surg. 1996, 122, 143–148. [Google Scholar] [CrossRef]
- Borenstein, M.; Hedges, L.V.; Higgins, J.P.T.; Rothstein, H.R. Introduction to Meta-Analysis; Wiley: Chicesterm, UK, 2009. [Google Scholar]
- Cohen, J. Statistical Power Analysis for the Behavioral Sciences, 2nd ed.; Routledge: New York, NY, USA, 1988. [Google Scholar]
- Dobie, R.A.; Hoberg, K.E.; Rees, T.S. Electrical tinnitus suppression: A double-blind crossover study. Otolaryngol. Head Neck Surg. 1986, 95, 319–323. [Google Scholar] [CrossRef]
- Kapkin, O.; Satar, B.; Yetiser, S. Transcutaneous electrical stimulation of subjective tinnitus. A placebo-controlled, randomized and comparative analysis. ORL 2008, 70, 156–161. [Google Scholar] [CrossRef]
- Lee, S.K.; Chung, H.; Chung, J.H.; Yeo, S.G.; Park, M.S.; Byun, J.Y. Effectiveness of transcutaneous electrical stimulation for chronic tinnitus. Acta Otolaryngol. 2014, 134, 159–167. [Google Scholar] [CrossRef]
- Tutar, B.; Atar, S.; Berkiten, G.; Ustun, O.; Kumral, T.L.; Uyar, Y. The effect of transcutaneous electrical nerve stimulation (TENS) on chronic subjective tinnitus. Am. J. Otolaryngol. 2020, 41, 102326. [Google Scholar] [CrossRef] [PubMed]
- Mirz, F.; Zachariae, R.; Andersen, S.E.; Nielsen, A.G.; Johansen, L.V.; Bjerring, P.; Pedersen, C.B. The low-power laser in the treatment of tinnitus. Clin. Otolaryngol. Allied Sci. 1999, 24, 346–354. [Google Scholar] [CrossRef] [PubMed]
- Nakashima, T.; Ueda, H.; Misawa, H.; Suzuki, T.; Tominaga, M.; Ito, A.; Numata, S.; Kasai, S.; Asahi, K.; Vernon, J.A.; et al. Transmeatal low-power laser irradiation for tinnitus. Otol. Neurotol. 2002, 23, 296–300. [Google Scholar] [CrossRef] [PubMed]
- Gungor, A.; Dogru, S.; Cincik, H.; Erkul, E.; Poyrazoglu, E. Effectiveness of transmeatal low power laser irradiation for chronic tinnitus. J. Laryngol. Otol. 2008, 122, 447–451. [Google Scholar] [CrossRef]
- Cuda, D.; De Caria, A. Effectiveness of combined counseling and low-level laser stimulation in the treatment of disturbing chronic tinnitus. Int. Tinnitus J. 2008, 14, 175–180. [Google Scholar]
- Teggi, R.; Bellini, C.; Piccioni, L.O.; Palonta, F.; Bussi, M. Transmeatal low-level laser therapy for chronic tinnitus with cochlear dysfunction. Audiol. Neurootol. 2009, 14, 115–120. [Google Scholar] [CrossRef]
- Mollasadeghi, A.; Mirmohammadi, S.J.; Mehrparvar, A.H.; Davari, M.H.; Shokouh, P.; Mostaghaci, M.; Baradaranfar, M.H.; Bahaloo, M. Efficacy of low-level laser therapy in the management of tinnitus due to noise-induced hearing loss: A double-blind randomized clinical trial. Sci. World J. 2013, 2013, 596076. [Google Scholar] [CrossRef]
- Ngao, C.F.; Tan, T.S.; Narayanan, P.; Raman, R. The effectiveness of transmeatal low-power laser stimulation in treating tinnitus. Eur. Arch. Oto-Rhino-Laryngol. 2014, 271, 975–980. [Google Scholar] [CrossRef]
- Thabit, M.N.; Fouad, N.; Shahat, B.; Youssif, M. Combined central and peripheral stimulation for treatment of chronic tinnitus: A randomized pilot study. Neurorehabil. Neural. Repair 2015, 29, 224–233. [Google Scholar] [CrossRef]
- Demirkol, N.; Usumez, A.; Demirkol, M.; Sari, F.; Akcaboy, C. Efficacy of Low-Level Laser Therapy in Subjective Tinnitus Patients with Temporomandibular Disorders. Photomed. Laser Surg. 2017, 35, 427–431. [Google Scholar] [CrossRef]
- Marks, N.J.; Emery, P.; Onisiphorou, C. A controlled trial of acupuncture in tinnitus. J. Laryngol. Otol. 1984, 98, 1103–1109. [Google Scholar] [CrossRef] [PubMed]
- Axelsson, A.; Andersson, S.; Gu, L.D. Acupuncture in the management of tinnitus: A placebo-controlled study. Audiol. Off. Organ Int. Soc. Audiol. 1994, 33, 351–360. [Google Scholar] [CrossRef] [PubMed]
- Vilholm, O.J.; Moller, K.; Jorgensen, K. Effect of traditional Chinese acupuncture on severe tinnitus: A double-blind, placebo-controlled, clinical investigation with open therapeutic control. Br. J. Audiol. 1998, 32, 197–204. [Google Scholar] [CrossRef] [PubMed]
- Okada, D.M.; Onishi, E.T.; Chami, F.I.; Borin, A.; Cassola, N.; Guerreiro, V.M. Acupuncture for tinnitus immediate relief. Braz. J. Otorhinolaryngol. 2006, 72, 182–186. [Google Scholar] [CrossRef] [PubMed]
- Wang, K.; Bugge, J.; Bugge, S. A randomised, placebo-controlled trial of manual and electrical acupuncture for the treatment of tinnitus. Complement. Ther. Med. 2010, 18, 249–255. [Google Scholar] [CrossRef]
- Rogha, M.; Rezvani, M.; Khodami, A.R. The effects of acupuncture on the inner ear originated tinnitus. J. Res. Med. Sci. 2011, 16, 1217–1223. [Google Scholar]
- Jeon, S.W.; Kim, K.S.; Nam, H.J. Long-term effect of acupuncture for treatment of tinnitus: A randomized, patient- and assessor-blind, sham-acupuncture-controlled, pilot trial. J. Altern. Complement. Med. 2012, 18, 693–699. [Google Scholar] [CrossRef] [PubMed]
- Laureano, M.R.; Onishi, E.T.; Bressan, R.A.; Neto, P.B.; Castiglioni, M.L.; Batista, I.R.; Reis, M.A.; Garcia, M.V.; de Andrade, A.N.; Sanchez, M.L.; et al. The effectiveness of acupuncture as a treatment for tinnitus: A randomized controlled trial using (99m)Tc-ECD SPECT. Eur. Radiol. 2016, 26, 3234–3242. [Google Scholar] [CrossRef]
- Doi, M.Y.; Tano, S.S.; Schultz, A.R.; Borges, R.; Marchiori, L.L. Effectiveness of acupuncture therapy as treatment for tinnitus: A randomized controlled trial. Braz. J. Otorhinolaryngol. 2016, 82, 458–465. [Google Scholar] [CrossRef] [PubMed]
- Kim, B.H.; Kim, K.; Nam, H.J. A comparative study on the effects of systemic manual acupuncture, periauricular electroacupuncture, and digital electroacupuncture to treat tinnitus: A randomized, paralleled, open-labeled exploratory trial. BMC Complement. Altern. Med. 2017, 17, 85. [Google Scholar] [CrossRef]
- Naderinabi, B.; Soltanipour, S.; Nemati, S.; Saberi, A.; Parastesh, S. Acupuncture for chronic nonpulsatile tinnitus: A randomized clinical trial. Casp. J. Intern. Med. 2018, 9, 38–45. [Google Scholar] [CrossRef]
- Kim, B.H.; Moon, Y.K.; Kim, M.H.; Nam, H.J. Comparing the effects of manual acupuncture, electroacupuncture, and transcutaneous electrical nerve stimulation on chronic tinnitus: A randomized controlled trial. Integr. Med. Res. 2020, 9, 100409. [Google Scholar] [CrossRef] [PubMed]
- Rendell, R.J.; Carrick, D.G.; Fielder, C.P.; Callaghan, D.E.; Thomas, K.J. Low-powered ultrasound in the inhibition of tinnitus. Br. J. Audiol. 1987, 21, 289–293. [Google Scholar] [CrossRef] [PubMed]
- Erlandsson, S.I.; Rubinstein, B.; Carlsson, S.G. Tinnitus: Evaluation of biofeedback and stomatognathic treatment. Br. J. Audiol. 1991, 25, 151–161. [Google Scholar] [CrossRef] [PubMed]
- Podoshin, L.; Ben-David, Y.; Fradis, M.; Malatskey, S.; Hafner, H. Idiopathic Subjective Tinnitus Treated by Amitriptyline Hydrochloride/Biofeedback. Int. Tinnitus J. 1995, 1, 54–60. [Google Scholar] [PubMed]
- Rocha, C.B.; Sanchez, T.G. Efficacy of myofascial trigger point deactivation for tinnitus control. Braz. J. Otorhinolaryngol. 2012, 78, 21–26. [Google Scholar] [CrossRef]
- Atan, T.; Atan, D.; Ozel, S. Effectiveness of Kinesio taping in the treatment of somatosensory tinnitus: A randomized controlled trial. Complement. Clin. Pr. 2020, 39, 101100. [Google Scholar] [CrossRef]
- Delgado de la Serna, P.; Plaza-Manzano, G.; Cleland, J.; Fernandez-de-Las-Penas, C.; Martin-Casas, P.; Diaz-Arribas, M.J. Effects of Cervico-Mandibular Manual Therapy in Patients with Temporomandibular Pain Disorders and Associated Somatic Tinnitus: A Randomized Clinical Trial. Pain Med. 2020, 21, 613–624. [Google Scholar] [CrossRef]
- Landis, J.R.; Koch, G.G. The measurement of observer agreement for categorical data. Biometrics 1977, 33, 159–174. [Google Scholar] [CrossRef]
- de Azevedo, R.F.; Chiari, B.M.; Okada, D.M.; Onishi, E.T. Impact of acupuncture on otoacoustic emissions in patients with tinnitus. Braz. J. Otorhinolaryngol. 2007, 73, 599–607. [Google Scholar] [CrossRef]
- Liu, F.; Han, X.; Li, Y.; Yu, S. Acupuncture in the treatment of tinnitus: A systematic review and meta-analysis. Eur. Arch. Oto-Rhino-Laryngol. 2016, 273, 285–294. [Google Scholar] [CrossRef] [PubMed]
- Shore, S.E. Plasticity of somatosensory inputs to the cochlear nucleus—Implications for tinnitus. Hear. Res. 2011, 281, 38–46. [Google Scholar] [CrossRef] [PubMed]
- Haider, H.F.; Bojic, T.; Ribeiro, S.F.; Paco, J.; Hall, D.A.; Szczepek, A.J. Pathophysiology of Subjective Tinnitus: Triggers and Maintenance. Front. Neurosci. 2018, 12, 866. [Google Scholar] [CrossRef] [PubMed]
- Moller, A.R. Similarities between severe tinnitus and chronic pain. J. Am. Acad. Audiol. 2000, 11, 115–124. [Google Scholar] [CrossRef] [PubMed]




| Author | Design | Intervention | N (♀) | Age (sd) | Control | N (♀) | Age (sd) | Location | Intensity | Outcomes of Interest | ||||
|---|---|---|---|---|---|---|---|---|---|---|---|---|---|---|
| Intervention | Control | |||||||||||||
| T0 | T1 | T0 | T1 | |||||||||||
| Dobie 1986 [42] | DB Cross | TENS | 20 (5) | 50 (12) | Sham | 20 (5) | 50 (12) | Mastoid | 1 h to 24 h 7 days | L A | Cases 3/20 3/20 | improved | 2/20 3/20 | |
| Kapkin 2008 [43] | NB | TENS | 31 (-) | 45 (-) | Sham | 11 (-) | 45 (-) | Auricle Mastoid | 3/week 1 month | L(dB) F(kHz) | 7.2 (3.2) 5.8 (3.0) | 7.3 (3.3) 5.8 (3.1) | 7.2 (2.3) 6.6 (3.0) | 6.6 (3.4) 5.9 (3.3) |
| Bonaconsa 2010 [13] | NB | TENS | 20 (-) | 49 (-) | Osteo-pathy | 20 (-) | 49 (-) | Cervical, upper back, Auricle | 1/week 2 months | THI VAS L VAS A | 51.4 (-) | 36.3 (-) Mean −1.5 (-) −2.2 (-) | 51.4 (-) change | 42.9 (-) −0.5 (-) −1.4 (-) |
| Lee 2014 [44] | SB | TENS | 45 (19) | 47 (14) | Sham | 20 (7) | 46 (12) | Auricle | 30 s/point 2/week, 4 weeks | THI VAS L VAS A | 49.4 (9.9) 6.7 (1.7) 6.7 (1.5) | 42.8 (8.7) 5.8 (1.9) 5.4 (2.2) | 44.5 (6.5) 6.2 (1.9) 6.5 (1.7) | 45.2 (7.9) 5.6 (1.6) 5.7 (2.2) |
| Li 2019 [13] | DB | TENS | 23 (9) | 49 (12) | Sham | 23 (6) | 48 (13) | C2 | 30 min, 3/week, 4 weeks | TH I ** | Mean −11.6 {−15.3; −8.2} | change | −2.9 {−5.8; −1.5} | |
| Tutar 2020 [45] | SB | TENS 1 ear | 20 (-) | - | Sham | 20 (-) | - | Auricle | 30 min, 10 sessions | THI ** | 37.8 (20.7) | 10.2 (8.9) | 38.0 (21.0) | 28.7 (15.0) |
| TENS 2 ears | 20 (-) | - | 1 month | THI ** | 35.1 (21.1) | 8.6 (4.9) | ||||||||
| Author | Design | Intervention | N (♀) | Age (sd) | Controls | N (♀) | Age (sd) | Location | Intensity | Outcomes of Interest | ||||
|---|---|---|---|---|---|---|---|---|---|---|---|---|---|---|
| Intervention | Control | |||||||||||||
| T0 | T1 | T0 | T1 | |||||||||||
| Mirz 1999 [46] | DB | 49 mW (729 nm) | 25 (-) | - | Sham | 25 (-) | - | external auditory meatus | 10 min, 15 sessions | THI VAS L VAS A VAS At | 39.8 (24.9) 6.6 (2.1) 5.8 (2.5) 6.8 (2.2) | 38.8 (24.1) 6.6 (1.9) 6.6 (1.8) 7.0 (1.8) | 45.7 (19.9) 6.7 (2.4) 6.3 (2.4) 6.9 (2.3) | 38.7 (21.8) 6.2 (2.8) 6.3 (2.8) 6.0 (3.0) |
| Nakashima 2002 [47] | SB | 60 mW (800 nm) | 23 (12) | 52 (12) | Sham | 20 (15) | 55 (14) | external auditory meatus | 6 min 1/week, 4 weeks | NRS L NRS A | Nr’s of ears 7/33 6/33 | improved | 10/31 12/31 | |
| Gungor 2007 [48] | DB | 5 mW (650 nm) | 45 (-) | 56 (-) | Sham | 21 (-) | 56 (-) | external auditory meatus | 15 min, 7 sessions, 1 week | NRS L * NRS A ** | Nr’s of ears 22/45 25/45 | improved | 4/21 4/17 | |
| Cuda 2008 [49] | NB | 5 mW (650 nm) + counselling | 26 (-) | 50 (10) | Sham + counselling | 20 (-) | 64( 14) | external auditory meatus | 20 min Daily, 3 months | THI * | 53.6 (22.3) | 36.6 (21.1) | 43.1 (22.1) | 35.8 (18.9) |
| Teggi 2009 [50] | DB | 5 mW (650 nm) | 27 (11) | 52 (11) | Sham | 27 (13) | 53 (13) | external auditory meatus | 20 min Daily, 3 months | THI VAS L MML | 42.5 (24.2) 6.4 (2.2) 8.9 (5.7) | 33.7 (26.1) 6.3 (2.4) 6.2 (3.4) | 51.5 (36.6) 6.2 (2.0) 8.8 (5.4) | 43 (24.2) 5.9 (2.3) 7.4 (4.3) |
| Dejakum 2013 [25] | DB | 450 mW (830 nm) | 19 (9) | 57 (13) | Sham | 22 (10) | 50 (16) | external auditory meatus | 30 min 12 sessions, 4 weeks | Goebel Q VAS L VAS A VAS At | Only graphs presented | |||
| Mollasadeghi 2013 [51] | DB | 5 mW (650 nm) | 41 (0) | - | Sham | 41 (0) | - | Proc. Mastoid | 20 min every other day 20 sessions | L(dB) ** THI ** VAS L ** | 6.1 (1.1) | 5.1 (1.2) Cases 14/41 12/41 | 6.1 (1.1) improved | 6.0 (1.2) 1/41 1/41 |
| Ngao 2014 [52] | DB | 5 mW (650 nm) + betahistine | 22 (13) | 57 (-) | Sham + betahistine | 21 (13) | 59 (-) | external auditory meatus | 20 min daily, 10 weeks | THI VAS L VAS A VAS Pitch | Cases 12/22 9/22 6/22 8/21 | improved | 17/21 11/22 9/21 6/21 | |
| Thabit 2015 [53] | DB | 200 mW (808 nm) + | 10 (3) | 39 (14) | rTMS | 10 (4) | 41 (12) | around ear | 260 s 10 sessions | THI * VAS A * | 66.1 (7.1) 6.6 (0.8) | 41.4 (7.5) 4.1 (0.6) | 73.1 (4.3) 6.7 (0.5) | 66.7 (4.6) 6.2 (0.4) |
| rTMS | 200 mW (808 nm) | 10 (5) | 36 (15) | THI * VAS A * | 73.1(4.3) 6.7(0.5) | 66.7(4.9) 6.2(0.5) | ||||||||
| Demirkol 2017 [54] | SB | ? (1064 nm) | 15 (8) | 37 (15) | Sham | 15 (9) | 38 (14) | external auditory meatus | 9–20 s 5/week | VAS A * | 5.0 {3.0–3.5} | Median 0 {0.0–2.0} | 6.0 {4.0–8.0} | 5.0 {4.0–7.0} |
| ? (810 nm) | 16 (6) | 40 (15) | 10 weeks | VAS A | 8.0 {4.3–9.5} | 5.5 {1.5–8.0} | ||||||||
| Author | Design | Intervention | N (♀) | Age(sd) | Controls | N (♀) | Age(sd) | Location | Intensity | Outcomes of Interest | ||||
|---|---|---|---|---|---|---|---|---|---|---|---|---|---|---|
| Intervention | Control | |||||||||||||
| T0 | T1 | T0 | T1 | |||||||||||
| Marks 1984 [55] | DB cross | eAP | 14 (7) | 51 (13) | Sham | 14 (7) | 51 (13) | Around ear distal points | 20 min, daily 1 week | VAS L L(dB) | - 25 (-) | - 21 (-) | - 25 (-) | - 21 (-) |
| Axelssons 1994 [56] | SB cross | eAP | 20 (0) | 59 (-) | Sham | 20 (0) | 59 (-) | Around ear, distal points | 3/week 5 weeks | VAS L VAS A VAS Aw | 6.6 (-) 6.6 (-) 6.1 (-) | 6.0 (-) 6.0 (-) 5.8 (-) | 5.4 (-) 5.6 (-) 5.6 (-) | 5.2 (-) 5.3 (-) 5.2 (-) |
| Vilholm 1998 [57] | DB | AP | 29 (9) | 52 (-) | Sham | 25 (10) | 54 (-) | Around ear and crown | 30 min, 25 sessions | VAS L VAS A VAS Aw | 6.5 (3.1) 7.9 (2.6) 6.9 (3.0) | 6.2 (2.9) 7.4 (2.6) 6.5 (2.9) | 6.7 (3.0) 7.7 (2.3) 6.5 (3.1) | 6.7 (3.2) 7.8 (2.4) 6.7 (3.2) |
| Okada 2006 [58] | DB | AP | 38 (-) | 57 (12) | Sham | 38 (-) | 57 (12) | Temporal region | 15 s, 1 session | VAS T ** | Only p-value data were reported | |||
| Duration of relief | 107 h | 72 h | ||||||||||||
| Wang 2010 [59] | NB | eAP | 16 (4) | 51 (4) | Sham | 15 (0) | 57 (2) | Head, distal points | 1/week, 6 weeks | NRS6 T NRS4 L | Only p-value data were reported | |||
| AP | 19 (0) | 52 (3) | ||||||||||||
| Rogha 2011 [60] | DB | AP | 27 (13) | 46 (14) | Sham | 27 (14) | 49 (14) | Around ear, distal points | 10 sessions | TSI ** VAS L * | 46.9 (7.9) 8.9 (1.3) | 31.7 (11.1) 5.3 (3.0) | 46.6 (7.6) 8.7 (1.1) | 42.9 (10.4) 7.5 (2.2) |
| Jeon 2012 [61] | DB | AP + infrared, education | 17 (4) | 47 (10) | Sham + infrared, education | 16 (8) | 49 (9) | Around ear and cervical | 2/week, 5 weeks | THI VAS T | 45.7 (25.6) 6.8 (1.8) | - - | 39.8 (22.3) 6.7 (1.9) | - - |
| Laureano 2016 [62] | SB | AP | 30 (15) | 46 (10) | Sham | 27 (23) | 44 (13) | Around ear, distal points | 20 min 12 sessions | THI * VAS A | 48.0 (19.5) 6.2(2.4) | 33.2 (17.5) 5.7 (2.5) | 54.0 (18.4) 7.7 (2.1) | 49.0 (22.2) 6.7 (2.4) |
| Doi 2016 [63] | NB | eAP | 22 (14) | 62 (-) | Waiting list | 23 (13) | 60 (-) | Temporal region | 40 min, 2/week, 5 weeks | THI VAS L | 56 {44–65.5} 8 {7–9} | Median 28 {8–55.5} 4 {3–6} | 58 {48–76} 8 {7.5–9.5} | 68 {46–76} 8 {8–10} |
| Kim 2017 [64] | NB | eAP (distal) | 14 (-) | - | AP | 13 (-) | - | Around ear, distal points | 20 min, 2/week, 4 weeks | THI VAS L VAS A * | 55.1 (24.4) 5.5 (2.4) 5.9 (2.6) | 50.0 (27.4) 5.0 (2.3) 2.5 (2.4) | 51.3 (24.8) 4.9 (2.2) 4.2 (3.0) | 40.0 (33.7) 4.3 (2.5) 3.7 (3.0) |
| eAP (Around ear) | 15 (-) | - | THI VAS L VAS A * | 35.4 (16.0) 4.8 (2.0) 4.3 (2.6) | 33.9 (18.1) 4.5 (2.2) 4.3 (2.3) | |||||||||
| Naderinabi 2018 [65] | DB | AP | 44 (18) | 49 (1) | Sham | 44 (17) | 55 (8) | Around ear, distal points | 3/week, 5 weeks | TSI ** VAS L ** | 43.8 (2.8) 9.6 (0.4) | 23.1 (1.0) 2.3 (0.27) | 43.5 (2.9) 9.5 (0.5) | 33.1 (1.3) 7.8 (0.2) |
| Tu 2019 [34] | DB | AP | 15 (8) | 55 (12) | Sham | 15 (10) | 51 (10) | Head | 6 sessions 3 weeks | THI | 54.0 (-) | 37.3 (-) | 55.9 (-) | 51.7 (-) |
| Kuzucu 2020 [23] | DB | AP | 53 (34) | 51 (10) | Sham | 52 (35) | 48 (11) | Around ear | 2/week, 5 weeks | THI ** VAS A ** | 61.1 (12.7) 7.3(1.0) | 40.3 (16.6) 3.7 (1.4) | 59.3 (13.1) 7.0 (1.1) | 60.7 (13.9) 6.9 (1.2) |
| Kim 2020 [66] | NB | AP | 15 (3) | 49 (8) | Tens | 15 (2) | 49 (23) | Around ear | 2/week, 5 weeks | THI VAS L VAS A | 41.7 (23.8) 5.7 (2.0) 5.3(2.1) | 33.1 (10.6) 5.0 (1.7) 3.9 (1.6) | 49.5 (22.9) 6.7 (1.7) 5.8 (2.5) | 44 (12.3) 5.7 (1.6) 5.1 (1.3) |
| eAP | 15 (7) | 46 (11) | THI VAS L VAS A | 44.0 (19.0) 6.1 (1.8) 5.4 (1.8) | 32 (14.5) 4.8 (1.3) 4.4 (1.6) | |||||||||
| Manz 2021 [26] | NB | Manual AP + usual care | 26 (12) | 53 (15) | usual care | 24 (11) | 46 (15) | Around ear, distal points | 30 min 4 sessions 6 weeks | VAS L TFI | 5.4 (2.4) 40.5 (24.4) | 4.9 (2.6) 33.0 (25.7) | 5.8 (2.3) 44.8 (23.1) | 4.2 (2.5) 33.4 (21.5) |
| Author | Design | Intervention | N (♀) | Age | Controls | N (♀) | Age | Location | Intensity | Outcomes of Interest | ||||
|---|---|---|---|---|---|---|---|---|---|---|---|---|---|---|
| Interval | Control | |||||||||||||
| T0 | T1 | T0 | T1 | |||||||||||
| Rendell 1987 [67] | DB cross | Ultrasound | 40 (16) | 58 (7) | Sham | 40 (16) | 58 (7) | Proc. Mastoid | 20 min, 1 session | NRS L | 0.3 (-) | −0.6 (-) | ||
| L(dB) | −0.4 (4.6) | −0.7 (6.4) | ||||||||||||
| Erlandsson 1991 [68] | NB cross | TMD treatment | 32 (-) | 50 (10) | Bio-feedback EMG | 32 (-) | 50 (10) | General | 15–30 min, 6 sessions versus 60 min, 10 sessions | VAS L NRS1-9 A | 6.0 (-) 4.6 (-) | 5.4 (-) 4.8 (-) | 5.6 (-) 4.0 (-) | 5.3 (-) 4.1 (-) |
| Podoshin 1995 [69] | NB | Biofeedback EMG | 62 (28) | 43 (-) | Ami-triptyline | 40 (18) | 46 (-) | General | 30 min, 1/week, 10 weeks | NRS4 A * | - | −44% | - | −28% |
| Weise 2008 [37] | NB waiting list | Biofeedback + CBT | 52 (23) | 49 (12) | Waiting list | 59 (26) | 53 (12) | General | 1 h, 12 sessions | TQ VAS A VAS L | 54.8 (10.4) 5.0 (1.7) 5.7 (1.3) | 32.5 (16.0) 4.2 (1.7) 4.4 (1.8) | 55.0 (10.2) 4.9 (1.9) 6.1 (1.7) | 49.5 (13.8) 5.2 (1.8) 5.7 (1.7) |
| Rocha et al. 2012 [70] | DB | MTP treatment | 33 (-) | - | Sham | 24 (-) | - | Neck, head, upper back | 1/week, 10 weeks | THI * NRS10 L/A Nr sounds | Only p-value data were reported | |||
| Atan 2020 [71] | DB | Kinesio tape | 15 (8) | 45 (11) | Sham | 15 (9) | 50 (11) | Cervical, ear, upper back | 1/week, 4 weeks | THI VAS L | 65.7 (10.8) 7.5 (1.2) | 52.7 (13.0) 5.1 (1.3) | 61.1 (17.7) 7.2 (2.3) | 59.3 (17.8) 6.6 (1.9) |
| Delgado de la Serna 2020 [72] | SB | Manual + TMD treatment | 30 (17) | 44 (11) | TMD treatment | 31 (19) | 43 (12) | Cervical, ear, upper back | 6 sessions 1 month | THI * VAS A * | 36.1 (9.6) 6.8 (1.2) | 14.4 (8.8) 2.8 (2.1) | 34.2 (11.9) 6.7 (7.4) | 28.3 (7.4) 4.7 (1.6) |
| Wal van der 2020 [24] | SB waiting | TMD treatment | 40 (22) | 46 (13) | Waiting list | 40 (16) | 45 (15) | Cervical, jaw | 18 sessions, 9 weeks | TFI * TQ VAS L | 55 (17) 37 (16) 4.8 (2.5) | 41 (-) 32 (-) 4.2 (2.5) | 48 (15) 34 (15) 4.7 (2.0) | 43 (-) 34 (-) 4.8 (2.6) |
| Sequence Generation | Allocation Concealment | Blinding | Incomplete Outcome Data | Selective Outcome Reporting | Other sources of Bias | ||
|---|---|---|---|---|---|---|---|
| Dobie, 1986 [42] | ![]() | ![]() | ![]() | ![]() | ![]() | ![]() | TENS |
| Kapkin, 2008 [43] | ![]() | ![]() | ![]() | ![]() | ![]() | ![]() | |
| Bonaconsa, 2010 [13] | ![]() | ![]() | ![]() | ![]() | ![]() | ![]() | |
| Lee, 2014 [44] | ![]() | ![]() | ![]() | ![]() | ![]() | ![]() | |
| Li, 2019 [30] | ![]() | ![]() | ![]() | ![]() | ![]() | ![]() | |
| Tutar, 2020 [45] | ![]() | ![]() | ![]() | ![]() | ![]() | ![]() | |
| Mirz, 1999 [46] | ![]() | ![]() | ![]() | ![]() | ![]() | ![]() | Laser |
| Nakashima, 2002 [47] | ![]() | ![]() | ![]() | ![]() | ![]() | ![]() | |
| Gungor, 2007 [48] | ![]() | ![]() | ![]() | ![]() | ![]() | ![]() | |
| Cuda, 2008 [49] | ![]() | ![]() | ![]() | ![]() | ![]() | ![]() | |
| Teggi, 2009 [50] | ![]() | ![]() | ![]() | ![]() | ![]() | ![]() | |
| Dejakum, 2013 [25] | ![]() | ![]() | ![]() | ![]() | ![]() | ![]() | |
| Mollasadeghi, 2013 [51] | ![]() | ![]() | ![]() | ![]() | ![]() | ![]() | |
| Ngao, 2014 [52] | ![]() | ![]() | ![]() | ![]() | ![]() | ![]() | |
| Thabit, 2015 [53] | ![]() | ![]() | ![]() | ![]() | ![]() | ![]() | |
| Demirkol, 2017 [54] | ![]() | ![]() | ![]() | ![]() | ![]() | ![]() | |
| Marks, 1984 [55] | ![]() | ![]() | ![]() | ![]() | ![]() | ![]() | AP |
| Axelssonsson, 1994 [56] | ![]() | ![]() | ![]() | ![]() | ![]() | ![]() | |
| Vilholm, 1998 [57] | ![]() | ![]() | ![]() | ![]() | ![]() | ![]() | |
| Okada, 2006 [58] | ![]() | ![]() | ![]() | ![]() | ![]() | ![]() | |
| Wang, 2010 [59] | ![]() | ![]() | ![]() | ![]() | ![]() | ![]() | |
| Rogha, 2011 [60] | ![]() | ![]() | ![]() | ![]() | ![]() | ![]() | |
| Jeon, 2012 [61] | ![]() | ![]() | ![]() | ![]() | ![]() | ![]() | |
| Doi, 2016 [63] | ![]() | ![]() | ![]() | ![]() | ![]() | ![]() | |
| Laureano, 2016 [62] | ![]() | ![]() | ![]() | ![]() | ![]() | ![]() | |
| Kim, 2017 [64] | ![]() | ![]() | ![]() | ![]() | ![]() | ![]() | |
| Naderinabi, 2018 [65] | ![]() | ![]() | ![]() | ![]() | ![]() | ![]() | |
| Tu, 2019 [34] | ![]() | ![]() | ![]() | ![]() | ![]() | ![]() | |
| Kuzucu, 2020 [23] | ![]() | ![]() | ![]() | ![]() | ![]() | ![]() | |
| Kim, 2020 [66] | ![]() | ![]() | ![]() | ![]() | ![]() | ![]() | |
| Manz, 2021 [26] | ![]() | ![]() | ![]() | ![]() | ![]() | ![]() | |
| Rendell, 1987 [67] | ![]() | ![]() | ![]() | ![]() | ![]() | ![]() | Ultrasound |
| Erlandsson, 1991 [68] | ![]() | ![]() | ![]() | ![]() | ![]() | ![]() | TMD treatment |
| Podoshin, 1995 [69] | ![]() | ![]() | ![]() | ![]() | ![]() | ![]() | Biofeedback |
| Weise, 2008 [37] | ![]() | ![]() | ![]() | ![]() | ![]() | ![]() | Biofeedback |
| Rocha, 2012 [70] | ![]() | ![]() | ![]() | ![]() | ![]() | ![]() | MTP |
| Atan, 2020 [71] | ![]() | ![]() | ![]() | ![]() | ![]() | ![]() | Kinesio tape |
| Wal van der, 2020 [24] | ![]() | ![]() | ![]() | ![]() | ![]() | ![]() | TMD treatment |
| Delgado de la Serna, 2020 [72] | ![]() | ![]() | ![]() | ![]() | ![]() | ![]() | TMD treatment |
| Low risk of bias | ![]() | ||||||
| Unclear | ![]() | ||||||
| High risk of bias | ![]() |
Disclaimer/Publisher’s Note: The statements, opinions and data contained in all publications are solely those of the individual author(s) and contributor(s) and not of MDPI and/or the editor(s). MDPI and/or the editor(s) disclaim responsibility for any injury to people or property resulting from any ideas, methods, instructions or products referred to in the content. |
© 2023 by the authors. Licensee MDPI, Basel, Switzerland. This article is an open access article distributed under the terms and conditions of the Creative Commons Attribution (CC BY) license (https://creativecommons.org/licenses/by/4.0/).
Share and Cite
Bousema, E.J.; Koops, E.A.; van Dijk, P.; Dijkstra, P.U. Effects of Physical Interventions on Subjective Tinnitus, a Systematic Review and Meta-Analysis. Brain Sci. 2023, 13, 226. https://doi.org/10.3390/brainsci13020226
Bousema EJ, Koops EA, van Dijk P, Dijkstra PU. Effects of Physical Interventions on Subjective Tinnitus, a Systematic Review and Meta-Analysis. Brain Sciences. 2023; 13(2):226. https://doi.org/10.3390/brainsci13020226
Chicago/Turabian StyleBousema, Eric J., Elouise A. Koops, Pim van Dijk, and Pieter U. Dijkstra. 2023. "Effects of Physical Interventions on Subjective Tinnitus, a Systematic Review and Meta-Analysis" Brain Sciences 13, no. 2: 226. https://doi.org/10.3390/brainsci13020226
APA StyleBousema, E. J., Koops, E. A., van Dijk, P., & Dijkstra, P. U. (2023). Effects of Physical Interventions on Subjective Tinnitus, a Systematic Review and Meta-Analysis. Brain Sciences, 13(2), 226. https://doi.org/10.3390/brainsci13020226




