Study of the Compression Behavior of Steel-Fiber Reinforced Concrete by Means of the Response Surface Methodology
Abstract
1. Introduction
2. Materials and Methods
2.1. Creation of the Database
2.2. Response Surface Methodology
2.2.1. Selection and Analysis of the Factors
2.2.2. Selection of the Response Model
2.2.3. Statistical Analysis of the Experimental Data
2.3. Stress–Strain Model for the Uniaxial Compression Behavior of SFRC for Non-Linear Analysis
3. Results and Discussion
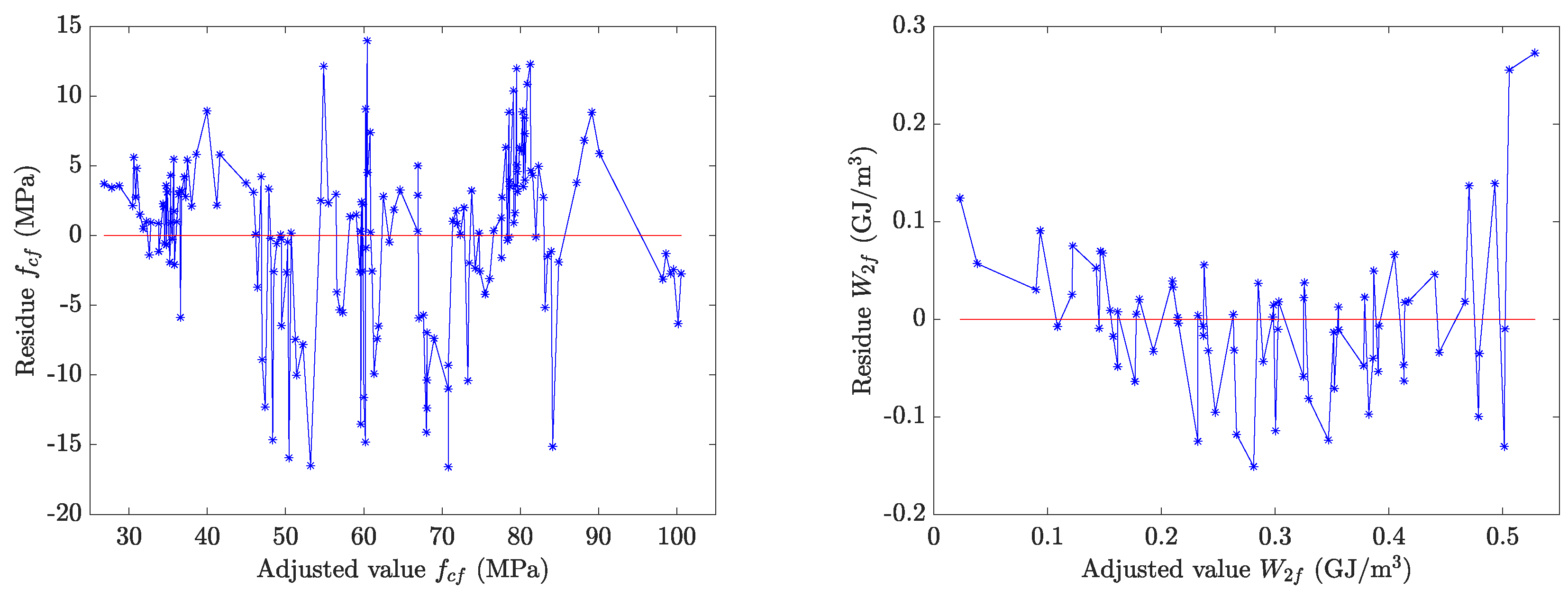
3.1. Responses of the Compression Behavior of the SFRC: Analysis with Physical Magnitudes
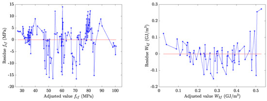
3.2. Responses of the Compression Behavior of the SFRC: Non-Dimensional Analysis
3.3. Stress–Strain Model of the Compression Response for SFRC
4. Conclusions
Author Contributions
Funding
Conflicts of Interest
Abbreviations
| Diameter of steel-fiber | |
| Maximum size of coarse aggregate | |
| Elastic modulus of unreinforced concrete matrix in 150 × 300 mm cylinders | |
| Elastic modulus of steel | |
| Elastic modulus of SFRC in 150 × 300 mm cylinders | |
| Non-dimensional elastic modulus of SFRC | |
| f | Mathematical function |
| Compressive strength of unreinforced concrete matrix in 150 × 300 mm cylinders | |
| Compressive strength of SFRC in 150 × 300 mm cylinders | |
| Non-dimensional compressive strength of SFRC | |
| Characteristic residual flexural strength for mm of SFRC in 150 × 150 × 550 prisms | |
| Characteristic residual flexural strength for mm of SFRC in 150 × 150 × 550 prisms | |
| i, j | Index assigned to factors and responses |
| k | Number of explanatory variables in an RSM adjustment |
| Fiber length | |
| mm | Coefficient to keep non-dimensionality |
| Non-dimensional fiber length | |
| n | Number of factors or independent variables |
| p-value | Statistical parameter to determine statistical significance |
| Determination coefficient/multiple correlation coefficient | |
| Adjusted determination coefficient | |
| Determination coefficient corresponding to estimate | |
| RSM | Response surface methodology |
| SFRC | Steel-fiber reinforced concrete |
| VIF | Variance inflation factor |
| Volumetric deformation work in the pre-peak branch of unreinforced concrete matrix in 150 × 300 cylinders | |
| Volumetric deformation work in pre-peak branch of SFRC in 150 × 300 cylinders | |
| Volumetric deformation work in post-peak branch of unreinforced concrete matrix in 150 × 300 cylinders | |
| Volumetric deformation work in post-peak branch of SFRC in 150 × 300 cylinders | |
| Non-dimensional volumetric deformation work in pre-peak branch of SFRC relative to | |
| Non-dimensional volumetric deformation work in post-peak branch of SFRC relative to | |
| Non-dimensional volumetric deformation work in pre-peak branch of SFRC relative to | |
| Non-dimensional volumetric deformation work in post-peak branch of SFRC to relative to | |
| Crack mouth opening displacement | |
| Factors or independent variables | |
| y | Response or dependent variable |
| Mean value of y | |
| Estimated value for y in observation i | |
| Actual value for y in observation i | |
| Non-dimensional coefficient | |
| Adjusted constant | |
| Adjusted coefficient for a linear term | |
| Adjusted coefficient for a quadratic term | |
| Adjusted coefficient for a combined term | |
| Value for the coefficient estimated by the RSM model to obtain the VIF | |
| Strain | |
| Critical strain at peak load of SFRC in 150 × 300 cylinders | |
| Critical strain at peak load of unreinforced concrete matrix in 150 × 300 cylinders | |
| Strain relative to the critical strain at peak load of SFRC | |
| Critical strain at peak load of SFRC relative to the critical strain of the corresponding unreinforced matrix | |
| Ultimate strain of SFRC in 150 × 300 cylinders | |
| Fiber aspect ratio | |
| Error observed in the response | |
| Stress | |
| Compressive residual strength; | |
| Non-dimensional stress | |
| Non-dimensional compressive residual strength; | |
| Volumetric fiber ratio (steel-fiber volume per m) |
References
- Köksal, F.F.; Altun, F.; Yigit, I.; Sahin, Y. Combined effect of silica fume and steel-fiber on the mechanical properties of high strength concretes. Constr. Build. Mater. 2008, 22, 1874–1880. [Google Scholar] [CrossRef]
- ACI 544.4R-96 State of the Art Report on Fiber Reinforced Concrete; ACI: Farmington Hills, MI, USA, 2002.
- Tasdemir, M.A.; Ilki, A.; Yerlikaya, M. Mechanical behaviour of steel fibre reinforced concrete used in hydraulic structures. In Proceedings of the International Conference of Hydropower and Dams, HYDRO 2002, Antalya, Turkey, 4–7 October 2002; pp. 159–166. [Google Scholar]
- Bayramov, F.; Tasdemir, M.A.; Ilki, A.; Yerlikaya, M. Steel fibre reinforced concrete for heavy traffic load conditions. In Proceedings of the 9th International Symposium on Concrete Roads, Istambul, Turkey, 3–6 April 2004; pp. 73–82. [Google Scholar]
- Williamson, G.R. The effect of steel-fibers on the compressive strength of concrete. In SP–44: Fiber Reinforced Concrete; ACI: Detroit, MI, USA, 1974; pp. 195–207. [Google Scholar]
- Hsu, L.S.; Hsu, C.T. Complete stress–strain behavior of high–strength concrete under compression. Mag. Concr. Res. 1994, 46, 301–312. [Google Scholar] [CrossRef]
- Lee, S.C.; Oh, J.H.; Cho, J.Y. Compressive behavior of fiber–reinforced concrete with end–hooked steel-fibers. Materials 2015, 8, 1442. [Google Scholar] [CrossRef] [PubMed]
- Ezeldin, A.S.; Balaguru, P.N. Normal and high strength fiber reinforced concrete under compression. J. Mater. Civ. Eng. 1992, 4, 415–429. [Google Scholar] [CrossRef]
- Johnston, C.D. Steel fibre reinforced mortar and concrete—A review of mechanical properties. In Fiber Reinforced Concrete; ACI: Detroit, MI, USA, 1974; pp. 127–142. [Google Scholar]
- Dixon, J.; Mayfield, B. Concrete reinforced with fibrous wire. J. Concr. Soc. 1971, 98, 73–76. [Google Scholar]
- Kar, N.J.; Pal, A.K. Strength of fiber reinforced concrete. J. Struct. Div. 1972, 98, 1053–1068. [Google Scholar]
- Chen, W.; Carson, J.L. Stress–strain properties of randon wire reinforced concrete. ACI J. 1971, 68, 933–936. [Google Scholar]
- Hsu, L.S.; Hsu, C.T. Stress–strain behavior of steel–fiber high–strength concrete under compression. ACI Struct. J. 1994, 91, 448–457. [Google Scholar]
- Someh, A.K.; Saeki, N. Prediction for the stress–strain curve of steel-fiber reinforced concrete. Proc. Jpn. Concr. Inst. 1994, 18, 1149–1154. [Google Scholar]
- Mansur, M.A.; Chin, M.S.; Wee, T.H. Stress–strain relationship of high–strength fiber concrete in compression. ASCE J. Mater. Civ. Eng. 1999, 11, 21–29. [Google Scholar] [CrossRef]
- Nataraja, M.; Dhang, N.; Gupta, A. Stress–strain curves for steel–fiber reinforced concrete under compression. Cem. Concr. Compos. 1999, 21, 383–390. [Google Scholar] [CrossRef]
- Neves, R.D.; Fernandes de Almeida, J.C.O. Compressive behaviour of steel fibre reinforced concrete. Struct. Concr. 2005, 6, 1–8. [Google Scholar] [CrossRef]
- Barros, J.A.O.; Figueiras, J.A. Flexural behavior of SFRC: testing and modeling. J. Mater. Civ. Eng. 1999, 11, 331–339. [Google Scholar] [CrossRef]
- Soroushian, P.; Lee, C.D. Distribution and orientation of fibers in steel-fiber reinforced concrete. ACI Mater. J. 1990, 87, 433–439. [Google Scholar]
- Bencardino, F.; Rizzuti, L.; Spadea, G.; Swamy, R.N. Stress–strain behavior of steel-fiber–reinforced concrete in compression. J. Mater. Civ. Eng. 2008, 20, 255–263. [Google Scholar] [CrossRef]
- Bentur, A.; Mindess, S. Fibre Reinforced Cementitious Composites; Taylor and Francis: London, UK; New York, NY, USA, 2007. [Google Scholar]
- Poveda, E.; Ruiz, G.; Cifuentes, H.; Yu, R.C.; Zhang, X. Influence of the fiber content on the compressive low-cycle fatigue behavior of self-compacting SFRC. Int. J. Fatigue 2017, 101, 9–17. [Google Scholar] [CrossRef]
- Blason, S.; Poveda, E.; Ruiz, G.; Cifuentes, H.; Fernandez Canteli, A. Twofold normalization of the cyclic creep curve of plain and steel-fiber reinforced concrete and its application to predict fatigue failure. Int. J. Fatigue 2019, 120, 215–227. [Google Scholar] [CrossRef]
- Neves, R. Modeling the Compressive Behaviour of Steel Fibre Reinforced Concrete. Master’s Thesis, Instituto Superior Técnico, Lisbon, Portugal, 2000. [Google Scholar]
- Rossi, P.; Harrouche, N. Mix design and mechanical behaviour of some steel fibre–reinforced concretes used in reinforced concrete structures. Mater. Struct. 1990, 23, 256–266. [Google Scholar] [CrossRef]
- Rossi, P.; Harrouche, N. Les Bétons de Fibres Métalliques; Presses ENPC: Paris, France, 1998. [Google Scholar]
- Nicolo, B.; De Pani, L.; Pozzo, E. Strain of concrete at peak compressive stress for a wide range of compressive strengths. Mater. Struct. 1994, 27, 206–210. [Google Scholar] [CrossRef]
- Taerwe, L. Influence of steel fibres on strain–softening of high–strength concrete. Mater. J. 1992, 88, 54–60. [Google Scholar]
- Rizzuti, L.; Bencardino, F. Effects of fibre volume fraction on the compressive and flexural experimental behavior of SFRC. Contemp. Eng. Sci. 2014, 7, 379–390. [Google Scholar] [CrossRef]
- Bencardino, F.; Rizzuti, L.; Spadea, G. Experimental tests vs. theoretical modeling for FRC in compression. In Proceedings of the FraMCoS 6, Catania, Italy, 17–22 June 2007; pp. 159–166. [Google Scholar]
- ACI 544.4R-88 Design Considerations for Steel Fiber Reinforced Concrete; ACI: Detroit, MI, USA, 1999.
- Shah, S.P.; Stroeven, P.; Dalhuisen, D.; Van Stekelenburg, P. Complete stress–strain curves for steel fibre reinforced concrete in uniaxial tension and compression. In Proc. Int. RYLEM Symp. Testing and Test Methods of Fibre Cement Composites; Construction Press Ltd.: Lancaster, UK, 1978; pp. 399–408. [Google Scholar]
- Fanella, D.A.; Naaman, A.E. stress–strain properties of fiber reinforced mortar in compression. ACI J. 1985, 82, 475–483. [Google Scholar]
- Otter, D.; Naaman, A. Steel fibre reinforced concrete under static and cyclic compressive loading. In Proceedings of the 3rd International RILEM Symposium on Developments in Fiber Reinforced Cement and Concrete, RILEM Technical Committee 49-TFR, Lancaster, UK, 13–17 July 1986; Volume 1. [Google Scholar]
- Song, P.S.; Hwang, S. Mechanical properties of high–strength steel-fiber–reinforced concrete. Constr. Build. Mater. 2004, 18, 669–673. [Google Scholar] [CrossRef]
- Khaloo, A.; Kim, N. Mechanical properties of normal to high–strength steel fiber–reinforced concrete. Cem. Concr. Aggreg. 1996, 18, 92–97. [Google Scholar]
- Marar, K.; Eren, Ö.; Celik, T. Relationship between impact energy and compression toughness energy of high–strength fiber– reinforced concrete. Mater. Lett. 2001, 47, 297–304. [Google Scholar] [CrossRef]
- Thomas, J.; Ramaswamy, A. Mechanical properties of steel-fiber–reinforced concrete. J. Mater. Civ. Eng. 2007, 19, 385–392. [Google Scholar] [CrossRef]
- Daniel, L.; Loukili, A. Behavior of high–strength fiber–reinforced concrete beams under cyclic loading. ACI Struct. J. 2002, 99, 248–256. [Google Scholar]
- Hughes, B.P.; Fattuhi, N.I. Stress–strain curves for fiber reinforced concrete in compression. Cem. Concr. Res. 1977, 7, 173–183. [Google Scholar] [CrossRef]
- Box, G.E.P.; Wilson, K.G. On the experimental attainment of optimum conditions. J. R. Stat. Soc. B 1951, 13, 1–45. [Google Scholar] [CrossRef]
- Ruiz, G.; de la Rosa, Á.; Poveda, E. Model for the compressive stress–strain relationship of steel fiber–reinforced concrete for non–linear structural analysis. Hormigón Acero 2018, 69 (Suppl. 1), 75–80. [Google Scholar] [CrossRef]
- Behera, S.K.; Meena, H.; Chakraborty, S.; Meikap, B.C. Application of response surface methodology (rsm) for optimization of leaching parameters for ash reduction from low–grade coal. Int. J. Min. Sci. Technol. 2018, 28, 621–629. [Google Scholar] [CrossRef]
- Montgomery, D.C. Design and Analysis of Experiments, 8th ed.; John Wiley and Sons: New York, NY, USA, 2014. [Google Scholar]
- Myers, R.H.; Montgomery, D.C. Response Surface Methodology, Process and Product Optimization Using Designed Experiments; John Wiley and Sons: New York, NY, USA, 2002. [Google Scholar]
- Grabiec, A.M.; Piasta, Z. Study on compatibility of cement–superplasticiser assisted by multicriteria statistical optimization. J. Mater. Process. Technol. 2004, 152, 197–203. [Google Scholar] [CrossRef]
- Bayramov, F. Çimento Esasli Kompozit Malzemelerin Optimum Tasarimi. Ph.D. Thesis, Istanbul Teknik Universitesi, Istanbul, Turkey, 2004. [Google Scholar]
- Nambiar, E.K.; Ramamurthy, K. Models relating mixture composition to the density and strength of foam concrete using response surface methodology. Cem. Concr. Compos. 2006, 28, 752–760. [Google Scholar] [CrossRef]
- Maghsoud, A.; Amir, A.N.; Komeil, G. Response surface methodology and genetic algorithm in optimization of cement clinkering process. J. Appl. Sci. 2008, 15, 2732–2738. [Google Scholar]
- Regulacion, R.E.; Oreta, A.W.C. Application of response surface methodology: optimum mix design of concrete with slag as coarse aggregate. In Proceedings of the 2013 World Congress on Advances in Structural Engineering and Mechanis (ASEM 13), Jeju, Korea, 8–12 September 2013. [Google Scholar]
- Murali, T.M.; Kandasamy, S. Mix proportioning of high performance self–compacting concrete using response surface methodology. J. Civ. Eng. 2009, 37, 91–98. [Google Scholar] [CrossRef]
- Li, Q.; Cai, L.; Fu, Y.; Wang, H.; Zou, Y. Fracture properties and response surface methodology model of alkali–slag concrete under freeze–thaw cycles. Constr. Build. Mater. 2015, 93, 620–626. [Google Scholar] [CrossRef]
- Cho, T. Prediction of cyclic freeze–thaw damage in concrete structures based on response surface method. Constr. Build. Mater. 2007, 21, 2031–2040. [Google Scholar] [CrossRef]
- Gupta, S.; Tripathi, R.K.; Mishra, R.K. Study of concrete having industrial waste as fine aggregate replacement and generation of model for prediction of compressive strength using response surface method. Mater. Today 2017, 4, 9727–9731. [Google Scholar] [CrossRef]
- Timur Cihan, M.; Güner, A.; Yüzer, N. Response surfaces for compressive strength of concrete. Constr. Build. Mater. 2013, 40, 763–774. [Google Scholar] [CrossRef]
- Kostic, S.; Vasovic, N.; Marinkovic, B. Robust optimization of concrete strength estimation using response surface methodology and monte carlo simulation. Eng. Optim. 2017, 49, 864–877. [Google Scholar] [CrossRef]
- Bayramov, F.; Tasdemir, C.; Tasdemir, M.A. Optimisation of steel fibre reinforced concretes by means of statistical response surface method. Cem. Concr. Compos. 2004, 26, 665–675. [Google Scholar] [CrossRef]
- Antony, J. Design of Experiments for Engineers and Scientists, 2nd ed.; Elsevier: Scotland, UK, 2014. [Google Scholar]
- Box, G.E.; Hunter, J.S.; Hunter, W.G. Estadística para Investigadores. Diseño, Innovación y Descubrimiento, 2nd ed.; Reverté: Barcelona, Spain, 2008. [Google Scholar]
- Gutiérrez, H.; de la Vara, R. Análisis y Diseño de Experimentos; McGraw–Hill: Álvaro Obregón, Mexico, 2003. [Google Scholar]
- Vicente, M.L.; Girón, P.; Nieto, C.; Pérez, T. Diseño de Experimentos. Soluciones con SAS y SPSS; Pearson Educación: Madrid, Spain, 2005. [Google Scholar]
- Mahalik, K.; Sahu, J.N.; Patwardhan, A.V.; Meikap, B.C. Statistical modeling and optimization of hydrolysis of urea to generate ammonia for flue gas conditioning. J. Hazard. Mater. 2010, 10, 603–610. [Google Scholar] [CrossRef] [PubMed]
- Gunaraj, V.; Murugan, N. Application of response surface methodologies for predicting weld base quality in submerged arc welding of pipes. J. Mater. Process. Technol. 1999, 88, 266–275. [Google Scholar] [CrossRef]
- Minitab 18 Statistical Software. 2018. Available online: www.minitab.com (accessed on 13 April 2018).
- Sheather, S. A Modern Approach to Regression with R; Springer: New York, NY, USA, 2009. [Google Scholar]
- EN 1992-1-1. Eurocode 2: Design of Concrete Structures; European Committee for Standardization–CEN: Brussels, Belgium, 2004. [Google Scholar]
- EN 12390-3. Testing Hardened Concrete—Part 3: Compressive Strength of Test Specimens; European Committee for Standardization–CEN: Brussels, Belgium, 2009. [Google Scholar]
- fib Bulletin 65/66. Model Code 2010–Final Draft; International Federation for Structural Concrete (fib): Lausanne, Switzerland, 2012. [Google Scholar]
- Annex to PT1 prEN 1992-1-1 2018 D3. Annex L – Steel Fibre Reinforced Concrete; European Committee for Standardization–CEN: Brussels, Belgium, 31 October 2019. [Google Scholar]
- Vicente, M.A.; Ruiz, G.; González, D.C.; Mínguez, J.; Tarifa, M.; Zhang, X.X. Effects of fiber orientation and content on the static and fatigue behavior of SFRC by using CT-Scan technology. Int. J. Fatigue 2019, 128, 105178. [Google Scholar] [CrossRef]
- Ruiz, G.; de la Rosa, Á.; Poveda, E. Relationship between residual flexural strength and compression strength in steel-fiber reinforced concrete within the new Eurocode 2 regulatory framework. Theor. Appl. Fract. Mech. 2019, 103, 102310. [Google Scholar] [CrossRef]
- Tiberti, G.; Germano, F.; Mudadu, A.; Plizzari, G.A. An overview of the flexural post–cracking behavior of steel-fiber reinforced concrete. Struct. Concr. 2018, 19, 695–718. [Google Scholar] [CrossRef]











| N Specimens with Fibers | N Specimens without Fibers | |
|---|---|---|
| Compressive strength | 167 | 30 |
| Elastic modulus | 83 | 17 |
| Strain under maximum load | 111 | 19 |
| Volumetric deformation work before the peak load | 90 | 14 |
| Volumetric deformation work after the peak load | 73 | 11 |
| (MPa) | (mm) | (mm) | (mm) | (%) | |||||
|---|---|---|---|---|---|---|---|---|---|
| (MPa) | −18.4 | 1.0573 | 0.989 | −0.107 | −11.6 | 0.020 | 194.5 | 3.59 | 90.4 |
| (GPa) | 16.5 | 0.2590 | −1.574 | −0.380 | 67.2 | 0.408 | −474 | −6.09 | 45.9 |
| 3894 × 10 | −4 × 10 | −15 × 10 | 41 × 10 | −322 × 10 | −14 × 10 | −1689 × 10 | −129 × 10 | 22.4 | |
| (GJ/m) | 0.533 | 0.001431 | −0.00823 | 0.01323 | −0.829 | −557 × 10 | 2.468 | −0.02547 | 72.1 |
| (GJ/m) | 3.085 | −636 × 10 | −0.0935 | 0.065 | −2.59 | −0.0158 | 17.63 | −0.563 | 70.2 |
| (%) | ||||||||
|---|---|---|---|---|---|---|---|---|
| 1 | 0.259 | 0.1176 | −11.65 | −0.00178 | 3.75 | 0.0223 | 10.7 | |
| — | — | — | — | — | — | — | — | |
| 1 | 0.254 | −0.0089 | −3.35 | −0.00261 | −13.94 | 0.0363 | 40.0 | |
| 1 | −1.889 | 0.437 | 19.1 | 0.0085 | 48.62 | −0.253 | 35.2 | |
| 0.98 | −3.13 | 0.99 | −13 | 0.0375 | 110.8 | −0.58 | 54.3 |
| Mean | (Std. dev.) | [Max.–Min.] | |
|---|---|---|---|
| 1.04 | (0.12) | [0.69–1.34] | |
| 0.99 | (0.08) | [0.76–1.21] | |
| 1.27 | (0.30) | [0.93–2.51] | |
| 1.45 | (0.52) | [0.91–3.73] | |
| 2.83 | (1.09) | [1.12–5.49] |
| (%) | VIF | |||||
|---|---|---|---|---|---|---|
| 0.980 | 0.0151 | 189 × 10 | 2.94 | 5.3 | [1.3–5.3] | |
| — | — | — | — | — | — | |
| 0.996 | −0.0959 | 185 × 10 | 28.23 | 36.1 | [1.5–2.1] | |
| 0.929 | 0.143 | −251 × 10 | 40.97 | 31.6 | [1.3–5.1] | |
| 0.770 | −0.048 | 1444 × 10 | 96.90 | 50.8 | [1.6–4.6] | |
| −0.131 | −0.0717 | 609 × 10 | 21.72 | 29.7 | [1.0–1.7] |
© 2019 by the authors. Licensee MDPI, Basel, Switzerland. This article is an open access article distributed under the terms and conditions of the Creative Commons Attribution (CC BY) license (http://creativecommons.org/licenses/by/4.0/).
Share and Cite
de la Rosa, Á.; Ruiz, G.; Poveda, E. Study of the Compression Behavior of Steel-Fiber Reinforced Concrete by Means of the Response Surface Methodology. Appl. Sci. 2019, 9, 5330. https://doi.org/10.3390/app9245330
de la Rosa Á, Ruiz G, Poveda E. Study of the Compression Behavior of Steel-Fiber Reinforced Concrete by Means of the Response Surface Methodology. Applied Sciences. 2019; 9(24):5330. https://doi.org/10.3390/app9245330
Chicago/Turabian Stylede la Rosa, Ángel, Gonzalo Ruiz, and Elisa Poveda. 2019. "Study of the Compression Behavior of Steel-Fiber Reinforced Concrete by Means of the Response Surface Methodology" Applied Sciences 9, no. 24: 5330. https://doi.org/10.3390/app9245330
APA Stylede la Rosa, Á., Ruiz, G., & Poveda, E. (2019). Study of the Compression Behavior of Steel-Fiber Reinforced Concrete by Means of the Response Surface Methodology. Applied Sciences, 9(24), 5330. https://doi.org/10.3390/app9245330

