Element Selected Spin-Dependent d-d Charge Transfer Transitions in Bi2FeMnO6 Film: An Ultrafast Pump-Probe Study
Abstract
Featured Application
Abstract
1. Introduction
2. Materials and Methods
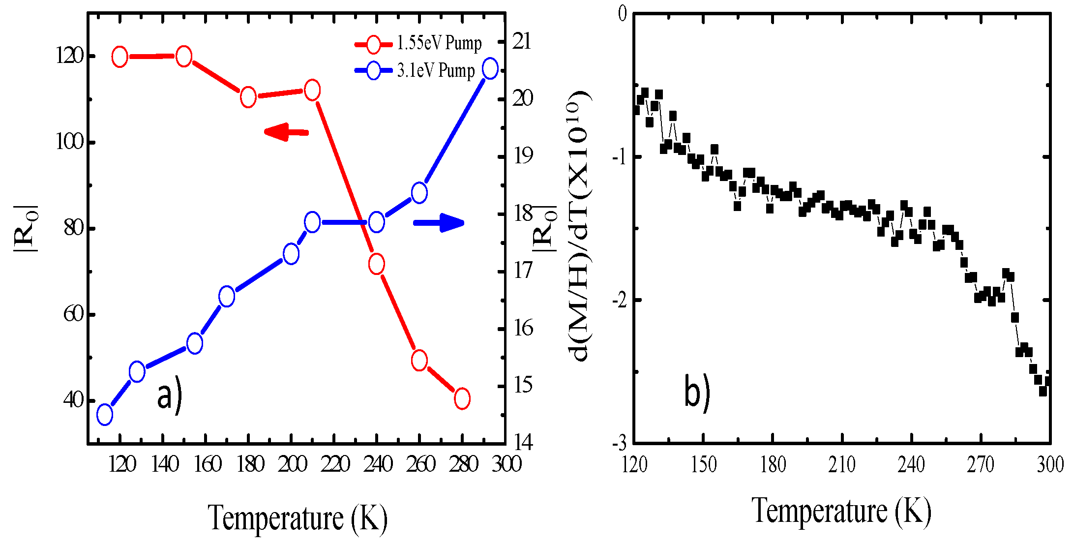
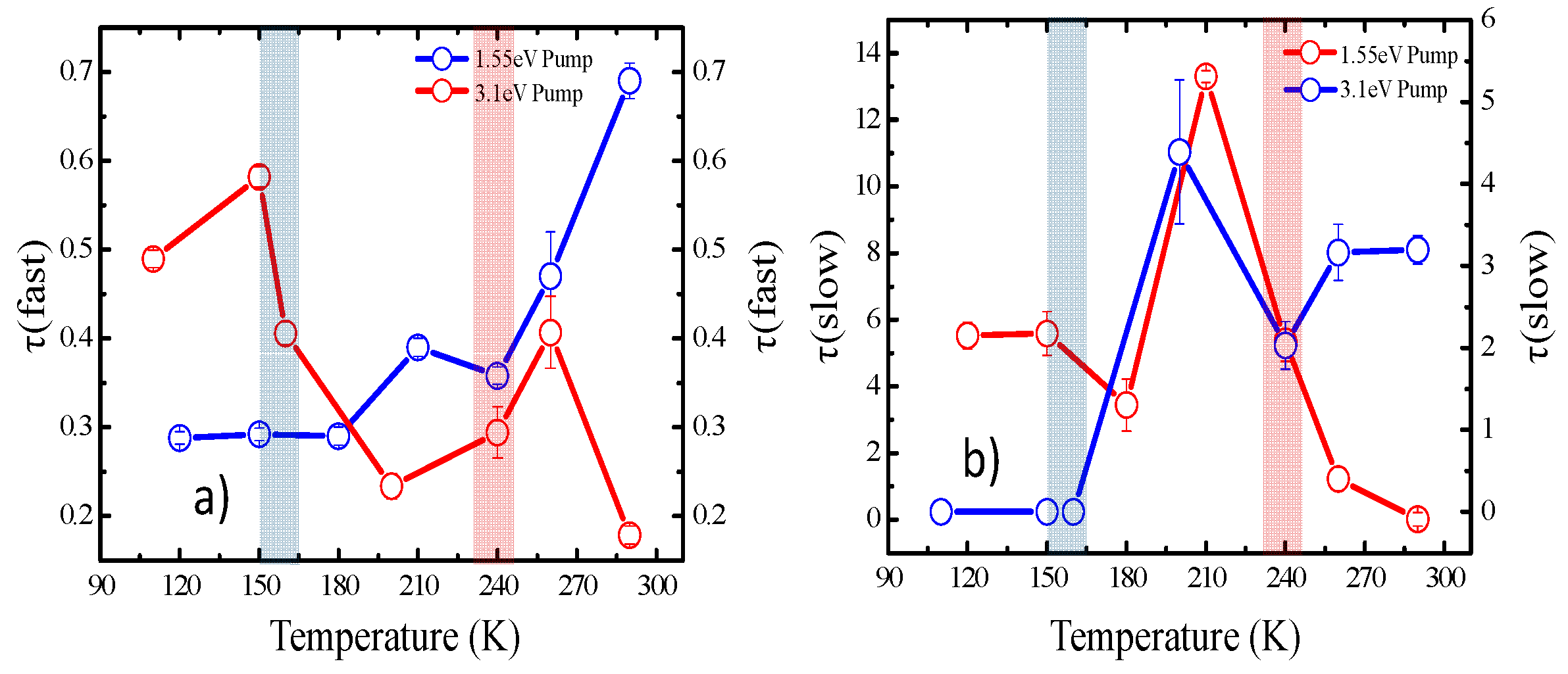
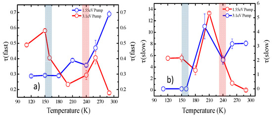
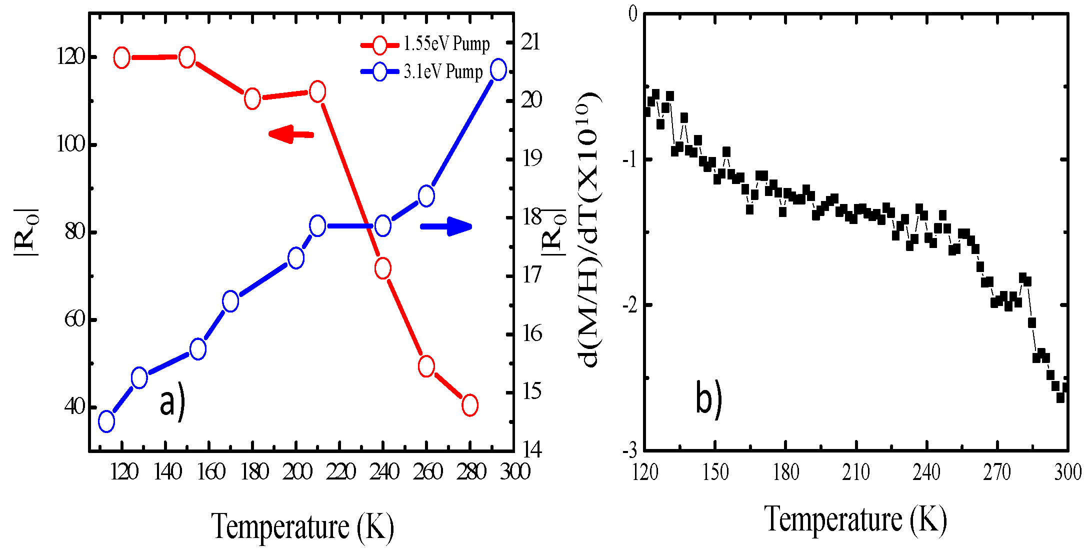
3. Results and Discussion
4. Conclusions
Author Contributions
Funding
Conflicts of Interest
References
- Erenstein, W.; Mathure, N.D.; Scott, J.F. Multiferroic and magnetoelectric materials. Nature 2006, 442, 759. [Google Scholar] [CrossRef]
- Spaldin, N.A.; Cheong, S.-W.; Cheong, R. Multiferroics: Past, present, and future. Phys. Today 2010, 63, 38. [Google Scholar] [CrossRef]
- Bibes, M.; Barthélémy, A. Towards a magnetoelectric memory. Nat. Mater. 2008, 7, 425. [Google Scholar] [CrossRef]
- Heron, J.T.; Trassin, M.; Ashraf, K.; Gajek, M.; He, Q.; Yang, S.Y.; Nikonov, D.E.; Chu, Y.-H.; Salahuddin, S.; Ramesh, R. Electric-Field-Induced Magnetization Reversal in a Ferromagnet-Multiferroic Heterostructure. Phys. Rev. Lett. 2011, 107, 217202. [Google Scholar] [CrossRef]
- Catalan, G.; Scott, J.F. Physics and Applications of Bismuth Ferrite. Adv. Mater. 2009, 21, 2463. [Google Scholar] [CrossRef]
- Goodenough, J.B. Magnetism and the Chemical Bond; Wiley: New York, NY, USA, 1963. [Google Scholar]
- Zhao, H.; Kimura, H.; Cheng, Z.; Wang, X.; Ozawa, K.; Nishida, T. Magnetic properties of La doped Bi2FeMnO6 ceramic and film. J. Appl. Phys. 2010, 108, 093903. [Google Scholar] [CrossRef]
- Du, Y.; Cheng, Z.X.; Dou, S.X.; Wang, X.L.; Zhao, H.Y.; Kimura, H. Magnetic properties of Bi2FeMnO6: A multiferroic material with double-perovskite structure. Appl. Phys. Lett. 2010, 97, 122502. [Google Scholar] [CrossRef]
- Bi, L.; Taussig, A.R.; Kim, H.; Wang, L.; Dionne, G.F.; Bono, D.; Persson, K.; Ceder, G.; Ross, C.A. Structural, magnetic, and optical properties of BiFeO3 and Bi2FeMnO6 epitaxial thin films: An experimental and first-principles study. Phys. Rev. B 2008, 78, 104106. [Google Scholar] [CrossRef]
- Cortie, D.L.; Stampfl, A.P.J.; Klose, F.; Du, Y.; Wang, X.L.; Zhao, H.Y.; Kimura, H.; Cheng, Z.X. The magnetic structure of an epitaxial BiMn0.5Fe0.5O3 thin film on SrTiO3 (001) studied with neutron diffraction. Appl. Phys. Lett. 2012, 101, 172404. [Google Scholar] [CrossRef]
- Liu, P.; Chen, Z.X.; Du, Y.; Feng, L.Y.; Fang, H.; Wang, X.L.; Dou, S.X. Anisotropy of crystal growth mechanisms, dielectricity, and magnetism of multiferroic Bi2FeMnO6 thin films. J. Appl. Phys. 2013, 113, 17D904. [Google Scholar] [CrossRef]
- Xu, X.S.; Ihlefeld, J.F.; Lee, J.H.; Ezekoye, O.K.; Vlahos, E.; Ramesh, R.; Gopalan, V.; Pan, X.Q.; Schlom, D.G.; Musfeldt, J.L. Tunable band gap in Bi(Fe1−xMnx)O3 films. Appl. Phys. Lett. 2010, 96, 192901. [Google Scholar] [CrossRef]
- Yoshimatsu, K.; Nogami, K.; Watarai, K.; Horiba, K.; Kumigashira, H.; Sakata, O.; Oshima, T.; Ohtomo, A. Synthesis and magnetic properties of double-perovskite oxide La2MnFeO6 thin Films. Phys. Rev. B 2015, 91, 054421. [Google Scholar] [CrossRef]
- Basov, D.N.; Averitt, R.D.; van der Marel, D.; Dressel, M.; Haule, K. Electrodynamics of correlated electron materials. Rev. Mod. Phys. 2011, 83, 471. [Google Scholar] [CrossRef]
- Kong, D.; Ao, G.; Gao, Y.; Chang, Q.; Ye, H. Ultrafast third-order optical nonlinearities in DMSO. Chin. Opt. Lett. 2012, 10, 111601. [Google Scholar] [CrossRef]
- Jin, Z.; Ma, H.; Li, G.; Xu, Y.; Ma, G.; Cheng, Z. Ultrafast dynamics of the Mn3+ d-d transition and spin-lattice interaction in YMnO3 film. Appl. Phys. Lett. 2012, 100, 021106. [Google Scholar] [CrossRef]
- Zhang, Z.; Jin, Z.; Pan, Q.; Xu, Y.; Lin, X.; Ma, G.; Cheng, Z. Temperature dependent photoexcited carrier dynamics in multiferroic BiFeO3 film: A hidden phase transition. Appl. Phys. Lett. 2014, 104, 151902. [Google Scholar] [CrossRef]
- Lee, J.; Trugman, S.A.; Batista, C.D.; Zhang, C.L.; Talbayev, D.; Xu, X.S.; Cheong, S.-W.; Yarotski, D.A.; Taylor, A.J.; Prasankumar, R.P. Probing the Interplay between Quantum Charge Fluctuations and Magnetic Ordering in LuFe2O4. Sci. Rep. 2013, 3, 2654. [Google Scholar] [CrossRef]
- Pisarev, R.V.; Moskvin, A.S.; Kalashnikova, A.M.; Rasing, T. Charge transfer transitions in multiferroic BiFeO3 and related ferrite insulators. Phys. Rev. B 2009, 79, 235128. [Google Scholar] [CrossRef]
- Pohl, M.; Pavlov, V.V.; Akimov, I.A.; Gridnev, V.N.; Pisarev, R.V.; Yakovlev, D.R.; Bayer, M. Ultrafast photoinduced linear and circular optical anisotropy in the multiferroic hexagonal manganite YMnO3. Phys. Rev. B 2013, 88, 195112. [Google Scholar] [CrossRef]
- Talbayev, D.; Lee, J.; Trugman, S.A.; Zhang, C.L.; Cheong, S.-W.; Averitt, R.D.; Taylor, A.J.; Prasankumar, R.P. Spin-dependent polaron formation dynamics in Eu0.75Y0.25MnO3 probed by femtosecond pump-probe spectroscopy. Phys. Rev. B 2015, 91, 064420. [Google Scholar] [CrossRef]
- Luo, C.W.; Wu, I.H.; Cheng, P.C.; Lin, J.-Y.; Wu, K.H.; Uen, T.M.; Juang, J.Y.; Kobayashi, T.; Chareev, D.A.; Volkova, O.S.; et al. Quasiparticle Dynamics and Phonon Softening in FeSe Superconductors. Phys. Rev. Lett. 2012, 108, 257006. [Google Scholar] [CrossRef]
- Xu, Y.; Jin, Z.; Li, G.; Zhang, Z.; Lin, X.; Ma, G.; Cheng, Z. Ultrafast spectroscopy of the Mn3+ d–d transition in YMnO3 film. Acta. Phys. Sin. 2012, 61, 519. [Google Scholar]
- Takayuki, H. Characteristics of Coherent Optical Phonons in a Hexagonal YMnO3 Thin Film. Appl. Sci. 2019, 9, 704. [Google Scholar]
- Moskvin, A.S.; Makhnev, A.A.; Nomerovannaya, L.V.; Loshkareva, N.N.; Balbashov, A.M. Interplay of p−d and d−d charge transfer transitions in rare-earth perovskite manganites. Phys. Rev. B 2010, 82, 035106. [Google Scholar] [CrossRef]
- Kovaleva, N.N.; Boris, A.V.; Bernhard, C.; Kulakov, A.; Pimenov, A.; Balbashov, A.M.; Khaliullin, G.; Keimer, B. Spin-Controlled Mott-Hubbard Bands in LaMnO3 Probed by Optical Ellipsometry. Phys. Rev. Lett. 2004, 93, 147204. [Google Scholar] [CrossRef]
- Khorsand, A.R.; Savoini, M.; Kirilyuk, A.; Kimel, A.V.; Tsukamoto, A.; Itoh, A.; Rasing, T. Element-Specific Probing of Ultrafast Spin Dynamics in Multisublattice Magnets with Visible Light. Phys. Rev. Lett. 2013, 110, 107205. [Google Scholar] [CrossRef]
- Lobad, A.I.; Taylor, A.J.; Kwon, C.; Trugman, S.A.; Gosnell, T.R. Laser induced dynamic spectral weight transfer in La0.7Ca0.3MnO3. Chem. Phys. 2000, 251, 227. [Google Scholar] [CrossRef]




© 2019 by the authors. Licensee MDPI, Basel, Switzerland. This article is an open access article distributed under the terms and conditions of the Creative Commons Attribution (CC BY) license (http://creativecommons.org/licenses/by/4.0/).
Share and Cite
Jia, T.; Zhang, Z.; Jin, Z.; Lin, X.; Ma, G.; Cheng, Z.; Du, J.; Leng, Y. Element Selected Spin-Dependent d-d Charge Transfer Transitions in Bi2FeMnO6 Film: An Ultrafast Pump-Probe Study. Appl. Sci. 2019, 9, 2884. https://doi.org/10.3390/app9142884
Jia T, Zhang Z, Jin Z, Lin X, Ma G, Cheng Z, Du J, Leng Y. Element Selected Spin-Dependent d-d Charge Transfer Transitions in Bi2FeMnO6 Film: An Ultrafast Pump-Probe Study. Applied Sciences. 2019; 9(14):2884. https://doi.org/10.3390/app9142884
Chicago/Turabian StyleJia, Tingyuan, Zeyu Zhang, Zuanming Jin, Xian Lin, Guohong Ma, Zhenxiang Cheng, Juan Du, and Yuxin Leng. 2019. "Element Selected Spin-Dependent d-d Charge Transfer Transitions in Bi2FeMnO6 Film: An Ultrafast Pump-Probe Study" Applied Sciences 9, no. 14: 2884. https://doi.org/10.3390/app9142884
APA StyleJia, T., Zhang, Z., Jin, Z., Lin, X., Ma, G., Cheng, Z., Du, J., & Leng, Y. (2019). Element Selected Spin-Dependent d-d Charge Transfer Transitions in Bi2FeMnO6 Film: An Ultrafast Pump-Probe Study. Applied Sciences, 9(14), 2884. https://doi.org/10.3390/app9142884
