Synthesis, Characterization and Photocatalytic Activity of Nanocrystalline First Transition-Metal (Ti, Mn, Co, Ni and Zn) Oxisde Nanofibers by Electrospinning
Abstract
1. Introduction
2. Materials and Methods
2.1. Materials
2.2. Preparation of Nanocrystalline First Transition-Metal (Ti, Mn, Co, Ni and Zn) Oxide Nanofibers
2.3. Photocatalytic Tests of Nanocrystalline Metal Oxide Nanofibers
2.4. Characterization
3. Results and Discussion
3.1. Morphologies of Nanofibers before and after Calcination
3.2. FTIR Characterization of TiO2, Mn2O3, Co3O4, NiO and ZnO Nanofibers
3.3. XRD Characterization of TiO2, Mn2O3, Co3O4, NiO and ZnO Nanofibers
3.4. N2 Adsorption-Desorption Isotherms and Pore Size Distribution of TiO2, Mn2O3, Co3O4, NiO and ZnO Nanofibers
3.5. Possible Mechanism Analysis of Metal. Oxide Nanofibers
3.6. Photocatalytic Activities of Metal Oxide Nanofibers
4. Conclusions
Author Contributions
Funding
Conflicts of Interest
References
- Lee, S.K.; Park, Y.; Kim, J. Thermoresponsive Behavior of Magnetic Nanoparticle Complexed pNIPAm-co-AAc Microgels. Appl. Sci. 2018, 8, 1984. [Google Scholar] [CrossRef]
- Huang, Y.W.; Wu, C.H.; Aronstam, R.S. Toxicity of transition metal oxide nanoparticles: Recent insights from in vitro studies. Materials 2010, 3, 4842–4859. [Google Scholar] [CrossRef] [PubMed]
- Uppuluri, R.; Sen, A.G.; Rosas, A.S.; Mallouk, T.E. Soft chemistry of ion-exchangeable layered metal oxides. Chem. Soc. Rev. 2018, 47, 2401–2430. [Google Scholar] [CrossRef] [PubMed]
- Sun, M.H.; Huang, S.Z.; Chen, L.H.; Li, Y.; Yang, X.Y.; Yuan, Z.Y.; Su, B.L. Applications of hierarchically structured porous materials from energy storage and conversion, catalysis, photocatalysis, adsorption, separation, and sensing to biomedicine. Chem. Soc. Rev. 2016, 45, 3479–3563. [Google Scholar] [CrossRef] [PubMed]
- Shen, Y.F. Carbothermal synthesis of metal-functionalized nanostructures for energy and environmental applications. J. Mater. Chem. A 2015, 3, 13114–13188. [Google Scholar] [CrossRef]
- Orozco, R.D.M.; López, R.A.; González, V.R. Hydrogen-gas sensors based on graphene functionalized palladium nanoparticles: Impedance response as a valuable sensor. New J. Chem. 2015, 39, 8044–8054. [Google Scholar] [CrossRef]
- Hlekelele, L.; Franklyn, P.J.; Dziike, F.; Durbach, S.H. Novel synthesis of Ag decorated TiO2 anchored on zeolites derived from coal fly ash for the photodegradation of bisphenol-A. New J. Chem. 2018, 42, 1902–1912. [Google Scholar] [CrossRef]
- Jiang, X.; Yu, L.; Yao, C.; Zhang, F.; Zhang, J.; Li, C. Synthesis and characterization of Gd2O3 hollow microspheres using a template-directed method. Materials 2016, 9, 323. [Google Scholar] [CrossRef]
- Wojnarowicz, J.; Chudoba, T.; Gierlotka, S.; Lojkowski, W. Effect of Microwave Radiation Power on the Size of Aggregates of ZnO NPs Prepared Using Microwave Solvothermal Synthesis. Nanomaterials 2018, 8, 343. [Google Scholar] [CrossRef]
- Schmidt, D.; Raab, N.; Santhanam, V.; Dittmann, R.; Noyong, M.; Simon, U. Resistive switching of sub-10 nm TiO2 nanoparticle self-assembled monolayers. Nanomaterials 2017, 7, 370. [Google Scholar] [CrossRef]
- Woo, H.S.; Chan, W.N.; Lee, J.H. Design of Highly Selective Gas Sensors via Physicochemical Modification of Oxide Nanowires: Overview. Sensors 2016, 16, 1531. [Google Scholar] [CrossRef] [PubMed]
- Purbia, R.; Paria, S. Yolk/shell nanoparticles: Classifications, synthesis, properties, and applications. Nanoscale 2015, 7, 19789–19873. [Google Scholar] [CrossRef] [PubMed]
- Lin, S.J.; Zhao, Y.; Xia, T.; Meng, H.; Ji, Z.X.; Liu, R.; George, S.; Xiong, S.J.; Wang, X.; Zhang, H.Y.; et al. High content screening in zebrafish speeds up hazard ranking of transition metal oxide nanoparticles. ACS Nano 2011, 5, 7284–7295. [Google Scholar] [CrossRef] [PubMed]
- Duan, Z.W.; He, H.L.; Liang, W.Y.; Wang, Z.Q.; He, L.; Zhang, X.H. Tensile, Quasistatic and Dynamic Fracture Properties of Nano-Al2O3-Modified Epoxy Resin. Materials 2018, 11, 905. [Google Scholar] [CrossRef] [PubMed]
- Guo, X.T.; Zhang, G.X.; Li, Q.; Xue, H.G.; Pang, H. Non-noble Metal-Transition Metal Oxide Materials for Electrochemical Energy Storage. Energy Storage Mater. 2018, 15, 171–201. [Google Scholar] [CrossRef]
- Xu, F.; HO, H.P. Light-activated metal oxide gas sensors: A review. Micromachines 2017, 8, 333. [Google Scholar] [CrossRef]
- Zhai, T.; Fang, X.; Liao, M.; Xu, X.; Zeng, H.; Yoshio, B.; Golberg, D. A comprehensive review of one-dimensional metal-oxide nanostructure photodetectors. Sensors 2009, 9, 6504. [Google Scholar] [CrossRef]
- Ditaranto, N.; Basoli, F.; Trombetta, M.; Cioffi, N.; Rainer, A. Electrospun Nanomaterials Implementing Antibacterial Inorganic Nanophases. Appl. Sci. 2018, 8, 1643. [Google Scholar] [CrossRef]
- Fu, Y.; Liu, L.; Cheng, R.; Cui, W. ECM decorated electrospun nanofiber for improving bone tissue regeneration. Polymers 2018, 10, 272. [Google Scholar] [CrossRef]
- Shafiei, M.; El-chami, I.; Rintoul, L.; Bahreyni, B. Morphology of electrospun poly(ethylene oxide) ultra-fine fibres with incorporated MoO3 nanoparticles. Mater. Des. 2017, 113, 76–83. [Google Scholar] [CrossRef]
- Ramakrishnan, R.; Sundarrajan, S.; Rajen, J.; Ramakrishna, S. Nanostructured Ceramics by Electrospinning. J. Appl. Phys. 2007, 102, 111101. [Google Scholar]
- Yu, Z.; Fang, Y.; Huang, M.; Li, R.; Zhan, J.; Zhou, C.; He, G.; Xia, H. Preparation of a liquid boron-modified polycarbosilane and its ceramic conversion to dense SiC ceramics. Polym. Adv. Technol. 2011, 22, 2409–2414. [Google Scholar] [CrossRef]
- Jiang, Y.; Song, N.; Wang, C.; Pinna, N.; Lu, X. Facile synthesis of Fe3O4/nitrogen-doped carbon hybrid nanofibers as a robust peroxidase-like catalyst for sensitive colorimetric detection of ascorbic acid. J. Mater. Chem. B 2017, 5, 5499–5505. [Google Scholar] [CrossRef]
- Kim, J.H.; Lee, J.H.; Kim, J.Y.; Sang, S.K. Synthesis of aligned TiO2 nanofibers using electrospinning. Appl. Sci. 2018, 8, 309. [Google Scholar] [CrossRef]
- Xue, H.; Wang, T.; Gong, H.; Guo, H.; Fan, X.; Song, L.; Xia, W.; Feng, Y.; He, J. Co3O4 nanoparticle-decorated n-doped mesoporous carbon nanofibers as an efficient catalyst for oxygen reduction reaction. Catalysts 2017, 7, 189. [Google Scholar] [CrossRef]
- Wang, D.; Astruc, D. The recent development of efficient Earth-abundant transition-metal nanocatalysts. Chem. Soc. Rev. 2017, 46, 816. [Google Scholar] [CrossRef] [PubMed]
- Wujcik, E.K.; Aceto, S.R.; Heskett, D.; Bose, A. Synthesis of Co-Electrospun Lead Selenide Nanostructures within Anatase Titania Nanotubes for Advanced Photovoltaics. Fibers 2015, 3, 173–183. [Google Scholar] [CrossRef]
- Zhang, L.; Zhang, Q.H.; Xie, H.Y.; Guo, J.; Lyu, H.L.; Li, Y.G.; Sun, Z.G.; Wang, H.Z.; Guo, Z.H. Electrospun titania nanofibers segregated by graphene oxide for improved visible light photocatalysis. Appl. Catal. B Environ. 2017, 201, 470–478. [Google Scholar] [CrossRef]
- Liu, Y.; Liu, Y.; Zhang, C.; Tan, H.; Yan, X.; Wei, H.; Guo, Z. Hyperbranched polyester-stabilized nanotitania-coated vectran fibers with improved UV-blocking performance. Macromol. Mater. Eng. 2015, 300, 64–69. [Google Scholar] [CrossRef]
- Singh, P.; Mondal, K.; Sharma, A. Reusable electrospun mesoporous ZnO nanofiber mats for photocatalytic degradation of polycyclic aromatic hydrocarbon dyes in wastewater. J. Colloid Interface Sci. 2013, 394, 208–215. [Google Scholar] [CrossRef]
- Singh, N.; Mondal, K.; Misra, M.; Sharma, A.; Gupta, R.K. Quantum dot sensitized electrospun mesoporous titanium dioxide hollow nanofibers for photocatalytic applications. RSC Adv. 2016, 6, 48109–48119. [Google Scholar] [CrossRef]
- Matmin, J.; Affendi, I.; Ibrahim, S.I.; Endud, S. Additive-Free Rice Starch-Assisted Synthesis of Spherical Nanostructured Hematite for Degradation of Dye Contaminant. Nanomaterials 2018, 8, 702. [Google Scholar] [CrossRef]
- Chen, C.H.; Chen, S.H.; Kuo, C.Y.; Li, M.L.; Chen, J.P. Response of dermal fibroblasts to biochemical and physical cues in aligned polycaprolactone/silk fibroin nanofiber scaffolds for application in tendon tissue engineering. Nanomaterials 2017, 7, 219. [Google Scholar] [CrossRef] [PubMed]
- Lee, P.J.; Saion, E.; Alhada, N.M.; Soltani, N. A simple up-scalable thermal treatment method for synthesis of zno nanoparticles. Metals 2015, 5, 2383–2392. [Google Scholar] [CrossRef]
- Zheng, M.; Gu, M.; Jin, Y.; Jin, G. Preparation, structure and properties of TiO2-PVP hybrid films. Mat. Sci. Eng. B 2000, 77, 55–59. [Google Scholar] [CrossRef]
- Cao, H.; Wu, X.; Wang, G.; Yin, J.; Yin, G.; Zhang, F.; Liu, J.K. Biomineralization strategy to α-Mn2O3 hierarchical nanostructures. J. Phys. Chem. C 2012, 116, 21109–21115. [Google Scholar] [CrossRef]
- Kumar, M.; Subramania, A.; Balakrishnan, K. Preparation of electrospun Co3O4 nanofibers as electrode material for high performance asymmetric supercapacitors. Electrochim. Acta 2014, 149, 152–158. [Google Scholar] [CrossRef]
- Soleimanpour, A.M.; Khare, S.V.; Jayatissa, A.H. Enhancement of hydrogen gas sensing of nanocrystalline nickel oxide by pulsed-laser irradiation. ACS Appl. Mater. Inter. 2012, 4, 4651–4657. [Google Scholar] [CrossRef]
- Xiong, G.; Pal, U.; Serrano, J.G.; Ucer, K.B.; Williams, R.T. Photoluminesence and ftir study of ZnO nanoparticles: The impurity and defect perspective. Phys. Status Solidi 2010, 3, 3577–3581. [Google Scholar] [CrossRef]
- Gong, Y.; Wang, Y.; Sun, G.; Jia, T.; Jia, L.; Zhang, F.; Lin, L.; Zhang, B.; Cao, J.; Zhang, Z. Carbon nitride decorated ball-flower like Co3O4 hybrid composite: Hydrothermal synthesis and ethanol gas sensing application. Nanomaterials 2018, 8, 132. [Google Scholar] [CrossRef]
- Naseri, M.; Dehzangi, A.; Kamari, H.; See, A.; Abedi, M.; Salasi, R.; Goli-Kand, A.N.; Dianat, P.; Larki, F.; Abedini, A.; et al. Structure and physical properties of NiO/Co3O4 nanoparticles. Metals 2016, 6, 181. [Google Scholar] [CrossRef]
- Ran, J.; He, M.; Li, W.; Cheng, D.; Wang, X. Growing ZnO nanoparticles on polydopamine-templated cotton fabrics for durable antimicrobial activity and UV protection. Polymers 2018, 10, 495. [Google Scholar] [CrossRef]
- Chen, X.; Zhang, F.; Wang, Q.; Han, X.; Li, X.; Liu, J.Y.; Lin, H.M.; Qu, F.Y. The synthesis of ZnO/SnO2 porous nanofibers fordye adsorption and degradation. Dalton Trans. 2015, 44, 3034–3042. [Google Scholar] [CrossRef] [PubMed]
- Zeng, Q.X.; Xu, G.C.; Zhang, L.; Lin, H.; Lv, Y.; Jia, D.Z. Porous CuO nanofibers derived from a Cu-based coordination polymer as a photocatalyst for the degradation of rhodamine B. New J. Chem. 2018, 42, 7016–7024. [Google Scholar] [CrossRef]
- Zhao, B.; Deng, J.H.; Liang, L.Y.; Zuo, C.Y.X.; Bai, Z.Y.; Guo, X.Q.; Zhang, R. Lightweight porous Co3O4 and Co/CoO nanofibers with tunable impedance match and configuration-dependent microwave absorption properties. CrystEngComm 2017, 19, 6095–6106. [Google Scholar] [CrossRef]
- Kuchi, C.; Harish, G.S.; Reddy, P.S. Effect of polymer concentration, needle diameter and annealing temperature on TiO2-PVP composite nanofibers synthesized by electrospinning technique. Ceram. Int. 2018, 44, 5266–5272. [Google Scholar] [CrossRef]
- Santos, A.M.C.; Mota, M.F.; Leite, R.S.; Neves, G.A.; Medeiros, E.S.; Menezes, R.R. Solution blow spun titania nanofibers from solutions of high inorganic/organic precursor ratio. Ceram. Int. 2018, 44, 1681–1689. [Google Scholar] [CrossRef]
- Yar, A.; Haspulat, B.; Üstün, T.; Eskizeybek, V.; Avcı, A.; Kamış, H.; Achour, S. Electrospun TiO2/ZnO/PAN hybrid nanofiber membranes with efficient photocatalytic activity. RSC Adv. 2017, 7, 29806–29814. [Google Scholar] [CrossRef]
- Nasr, M.; Soussan, L.; Viter, R.; Eid, C.; Habchi, R.; Miele, P.; Bechelany, M. High photodegradation and antibacterial activity of BN-Ag/TiO2 composite nanofibers under visible light. New J. Chem. 2018, 42, 1250–1259. [Google Scholar] [CrossRef]
- Liang, Y.; Zhou, B.; Li, N.; Liu, L.; Xu, Z.; Li, F.; Li, J.; Mai, W.; Qian, X.; Wu, N. Enhanced dye photocatalysis and recycling abilities of semi-wrapped TiO2@carbon nanofibers formed via foaming agent driving. Ceram. Int. 2018, 44, 1711–1718. [Google Scholar] [CrossRef]
- Liu, L.; Liu, Z.; Yang, Y.; Geng, M.; Zou, Y.; Shahzad, M.B.; Dai, Y.; Qi, Y. Photocatalytic properties of Fe-doped ZnO electrospun nanofibers. Ceram. Int. 2018, 44, 19998–20005. [Google Scholar] [CrossRef]
- Li, J.; Zhao, F.; Zhang, L.; Zhang, M.; Jiang, H.; Li, S.; Li, J. Electrospun hollow ZnO/NiO heterostructures with enhanced photocatalytic activity. RSC Adv. 2015, 5, 67610–67616. [Google Scholar] [CrossRef]
- Zhang, Z.; Shao, C.; Li, X.; Wang, C.; Zhang, M.; Liu, Y. Electrospun nanofibers of p-type NiO/n-type ZnO heterojunctions with enhanced photocatalytic activity. ACS Appl. Mater. Interfaces 2010, 2, 2915–2923. [Google Scholar] [CrossRef] [PubMed]
- Yang, Z.M.; Hou, S.C.; Huang, G.F.; Duan, H.G.; Huang, W.Q. Electrospinning preparation of p-type NiO/n-type CeO2 heterojunctions with enhanced photocatalytic activity. Mater. Lett. 2014, 133, 109–112. [Google Scholar] [CrossRef]
- Chen, X.J.; Gao, Y.N.; Liu, P. Effects of Nano-TiO2 Mediated Photocatalysis on Microcystis aeruginosa Cells. Appl. Sci. 2018, 8, 2073. [Google Scholar] [CrossRef]
- Mathew, S.; Ganguly, P.; Rhatigan, S.; Kumaravel, V.; Byrne, C.; Hinder, S.J.; Bartlett, J.; Nolan, M.; Pillai, S.C. Cu-Doped TiO2: Visible Light Assisted Photocatalytic Antimicrobial Activity. Appl. Sci. 2018, 8, 2067. [Google Scholar] [CrossRef]
- Hwang, S.H.; Kim, Y.K.; Song, H.Y.; Lim, S.K.; Park, H. ZnO rods rooted on manifold carbon nanofiber paper as a scalable photocatalyst platform: The effects of ZnO morphology. RSC Adv. 2016, 6, 85521–85528. [Google Scholar] [CrossRef]
- Inoue, Y. Photocatalytic water splitting by RuO2-loaded metal oxides and nitrides with d0- and d10 -related electronic configurations. Energy Environ. Sci. 2009, 2, 364–386. [Google Scholar] [CrossRef]
- Kumar, S.G.; Rao, K.S.R.K. Zinc oxide based photocatalysis: Tailoring surfacebulk structure and related interfacial charge carrier dynamics for better environmental applications. RSC Adv. 2015, 5, 3306–3351. [Google Scholar] [CrossRef]









| Nanofibers | PVP/Ethanol (0.3 g/mL) | Organometallic Salt (g) | H2O (mL) | Acetic Acid (mL) |
|---|---|---|---|---|
| TiO2 | 14 | 3.0 | - | 2 |
| Mn2O3 | 14 | 2.0 | 2 | - |
| Co3O4 | 14 | 2.0 | 2 | - |
| NiO | 14 | 1.3 | 2 | - |
| ZnO | 14 | 1.5 | 2 | - |
| Nanofibers | TiO2 | Mn2O3 | Co3O4 | NiO | ZnO |
|---|---|---|---|---|---|
| Specific area (m2/g) | 121.445 | 18.600 | 52.717 | 393.645 | 57.219 |
| Pore volume (m3/g) | 0.079 | 0.072 | 0.082 | 0.328 | 0.081 |
| Pore diameter (nm) | 3.823 | 3.820 | 3.834 | 3.816 | 3.407 |
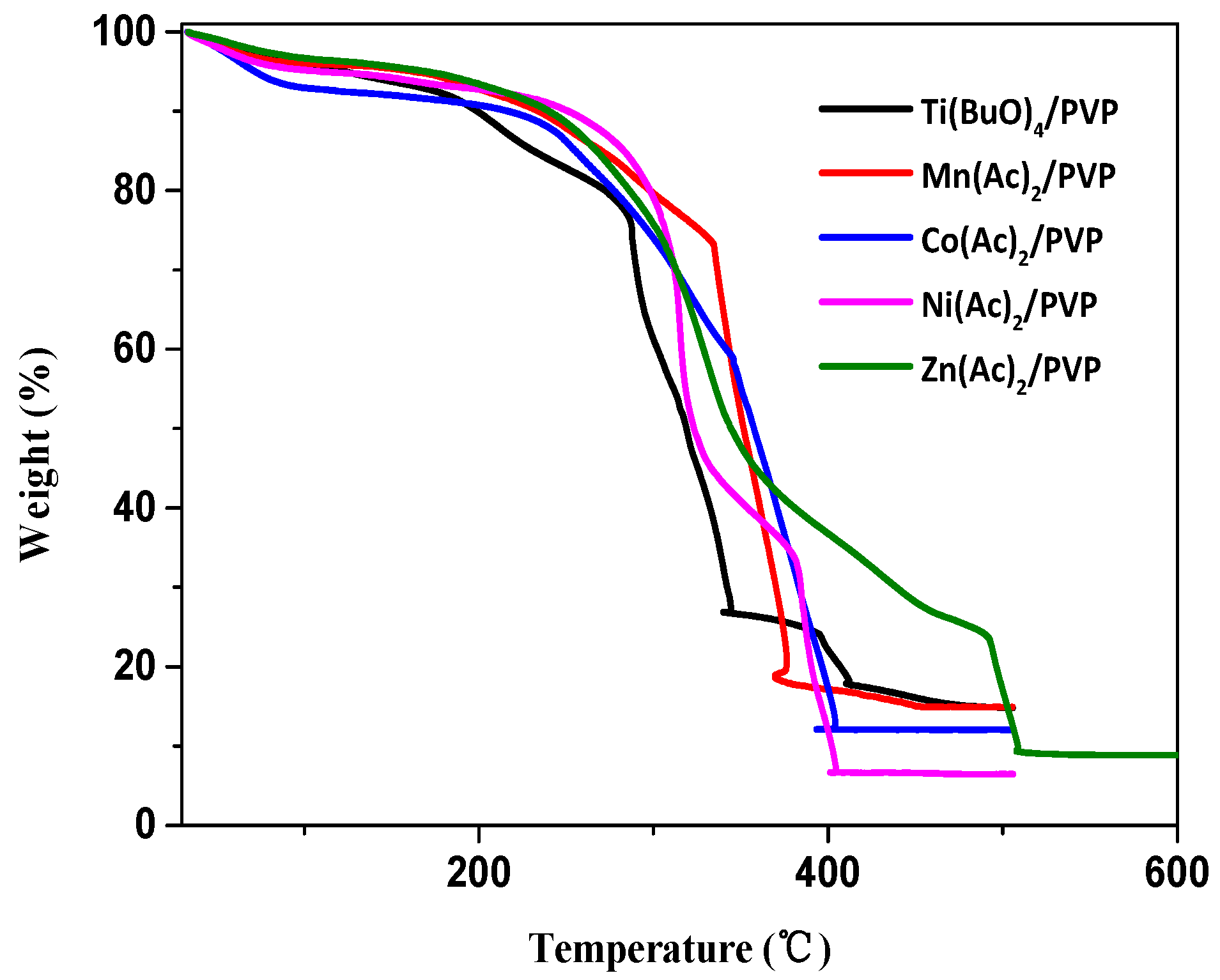
| Nanofibers | First Stage: Evaporation of Alcohol and Physisorbed Water | Second Stage 1: Decomposition of Acetate and a Fraction of PVP | Third Stage: Decomposition of Residual PVP and the Formation of Crystals | |||
|---|---|---|---|---|---|---|
| T (°C) | Weight Loss (%) | T (°C) | Weight Loss (%) | T (°C) | Weight Loss (%) | |
| Mn2O3 | 35–156 | 4.5 | 156–334 | 22.3 | 334–500 | 58.3 |
| Co3O4 | 35–173 | 8.5 | 173–344 | 32.3 | 344–500 | 47.2 |
| NiO | 35–180 | 6.8 | 180–328 | 45.9 | 328–500 | 40.8 |
| ZnO | 35–187 | 5.8 | 135–346 | 44.7 | 346–600 | 40.6 |
| TiO2 | 35–155 | 6.5 | 155–285 | 16.7 | 285–500 | 62.0 |
| Photocatalysts | Raw Materials (Concentration) | Dye | Light Source | Degradation (%) | Time (min) | Ref. |
|---|---|---|---|---|---|---|
| TiO2 nanofiber | Ti rods | Malachite green (10−5 M) | Ultraviolet lamp | 93% | 240 | [48] |
| TiO2 nanofiber | Titanium tetraisopropoxide/PVP | Methylene blue (20 mg/L) | Visible light, 150 W | 25% | 80 | [49] |
| TiO2@CNFs nanofiber | TiO2/polyacrylonitrile (PAN) | Rhodamine (10 mg/L) | Ultraviolet lamp, 25 0W | 98.2% | 60 | [50] |
| ZnO nanofiber | Zn(CH3COO)2·2H2O/polyvinyl alcohol (PVA) | Methylene blue (10 mg/L) | Mercury lamp, 5 0W | 50% | 360 | [51] |
| ZnO nanofiber | Zn rods | Malachite green (10−5 M) | Ultraviolet lamp | 91% | 240 | [48] |
| ZnO nanofiber | ZnCl2/PVP | Methylene blue (10 mg/L) | Ultraviolet lamp, 500 W | 98.6% | 100 | [43] |
| NiO nanofiber | Ni(CH3COO)2·4H2O/polyethersulfone (PES) | Methyl orange (10 mg/L) | Ultraviolet lamp, 12 W | 40% | 150 | [52] |
| NiO nanofiber | Ni(CH3COO)2·4H2O/PAN | Rhodamine B (10 mg/L) | Ultraviolet lamp, 50 W | 46.2% | 50 | [53] |
| NiO nanofiber | Ni(CH3COO)2/PVP | Methylene blue (10 mg/L) | Ultraviolet lamp, 300 W | 47.3% | 80 | [54] |
© 2018 by the authors. Licensee MDPI, Basel, Switzerland. This article is an open access article distributed under the terms and conditions of the Creative Commons Attribution (CC BY) license (http://creativecommons.org/licenses/by/4.0/).
Share and Cite
Chen, Y.; Lu, W.; Guo, Y.; Zhu, Y.; Lu, H.; Song, Y. Synthesis, Characterization and Photocatalytic Activity of Nanocrystalline First Transition-Metal (Ti, Mn, Co, Ni and Zn) Oxisde Nanofibers by Electrospinning. Appl. Sci. 2019, 9, 8. https://doi.org/10.3390/app9010008
Chen Y, Lu W, Guo Y, Zhu Y, Lu H, Song Y. Synthesis, Characterization and Photocatalytic Activity of Nanocrystalline First Transition-Metal (Ti, Mn, Co, Ni and Zn) Oxisde Nanofibers by Electrospinning. Applied Sciences. 2019; 9(1):8. https://doi.org/10.3390/app9010008
Chicago/Turabian StyleChen, Yu, Weipeng Lu, Yanchuan Guo, Yi Zhu, Haojun Lu, and Yeping Song. 2019. "Synthesis, Characterization and Photocatalytic Activity of Nanocrystalline First Transition-Metal (Ti, Mn, Co, Ni and Zn) Oxisde Nanofibers by Electrospinning" Applied Sciences 9, no. 1: 8. https://doi.org/10.3390/app9010008
APA StyleChen, Y., Lu, W., Guo, Y., Zhu, Y., Lu, H., & Song, Y. (2019). Synthesis, Characterization and Photocatalytic Activity of Nanocrystalline First Transition-Metal (Ti, Mn, Co, Ni and Zn) Oxisde Nanofibers by Electrospinning. Applied Sciences, 9(1), 8. https://doi.org/10.3390/app9010008

