Capability of the Direct Dimethyl Ether Synthesis Process for the Conversion of Carbon Dioxide
Abstract
Featured Application
Abstract
1. Introduction
2. Experimental
2.1. Catalyst Preparation and Characterization
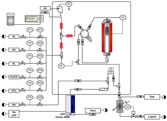
2.2. Reaction Equipment and Product Analysis
2.3. Reaction Indices
3. Results and Discussion
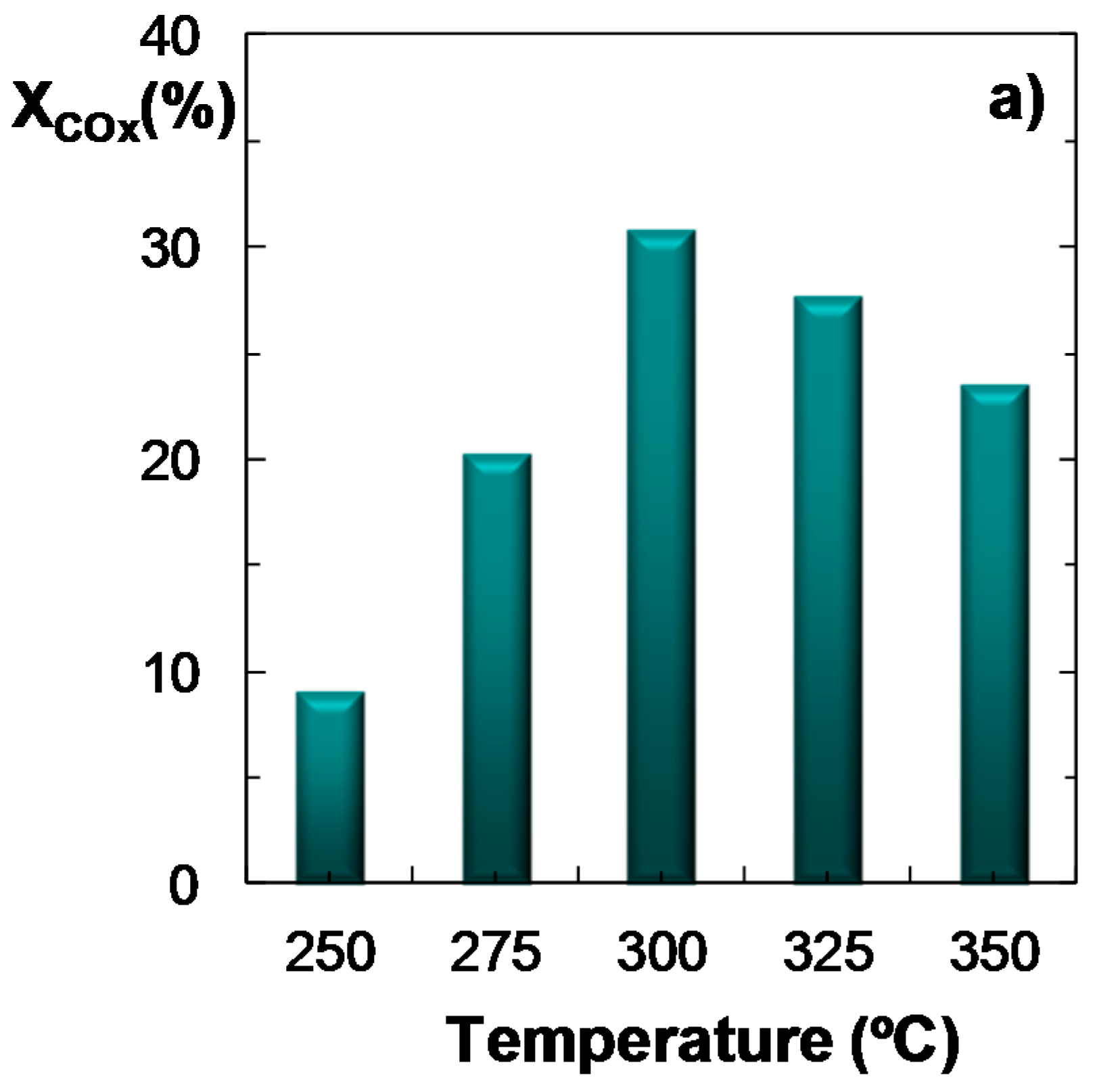
3.1. Effect of Temperature
3.2. Effect of Pressure
3.3. Effect of Space Time
3.4. Effect of H2/COx Molar Ratio in the Feed
3.5. Effect of CO2/CO Molar Ratio in the Feed
4. Conclusions
Author Contributions
Acknowledgments
Conflicts of Interest
Nomenclature
| B/L | Brönsted/Lewis sites ratio. |
| , | COx (CO + CO2) and CO2 molar flow rates in the feed, respectively, mol h−1. |
| Fi, | Molar flow rates of the i component and COx (CO + CO2) in the reactor outlet stream, respectively, molC h−1. |
| ni | Number of carbon atoms of the i component. |
| SBET | BET specific surface area, m2 g−1. |
| Si | Selectivity of product i, Equation (8). |
| STD | Syngas to DME process. |
| Vmicropore, Vp | Micropore volume and total pore volume, respectively, cm3 g−1. |
| , | COx (CO + CO2) and CO2 conversions, respectively, Equations (6) and (9). |
| Yi | Yield of the i component, Equation (7). |
References
- Arcoumanis, C.; Bae, C.; Crookes, R.; Kinoshita, E. The potential of di-methyl ether (DME) as an alternative fuel for compression-ignition engines: A review. Fuel 2008, 87, 1014–1030. [Google Scholar] [CrossRef]
- Kim, M.Y.; Yoon, S.H.; Ryu, B.W.; Lee, C.S. Combustion and emission characteristics of DME as an alternative fuel for compression ignition engines with a high pressure injection system. Fuel 2008, 87, 2779–2786. [Google Scholar] [CrossRef]
- Marchionna, M.; Patrini, R.; Sanfilippo, D.; Migliavacca, G. Fundamental investigations on di-methyl ether (DME) as LPG substitute or make-up for domestic uses. Fuel Process. Technol. 2008, 89, 1255–1261. [Google Scholar] [CrossRef]
- Liu, H.; Iglesia, E. Selective one-step synthesis of dimethoxymethane via methanol or dimethyl ether oxidation on H3+nVnMo12-nPO40 Keggin structures. J. Phys. Chem. B 2003, 107, 10840–10847. [Google Scholar] [CrossRef]
- Li, X.; San, X.; Zhang, Y.; Ichii, T.; Meng, M.; Tan, Y.; Tsubaki, N. Direct synthesis of ethanol from dimethyl ether and syngas over combined H-Mordenite and Cu/ZnO catalysts. ChemSusChem 2010, 3, 1192–1199. [Google Scholar] [CrossRef] [PubMed]
- Al-Dughaither, A.S.; de Lasa, H. Neat dimethyl ether conversion to olefins (DTO) over HZSM-5: Effect of SiO2/Al2O3 on porosity, surface chemistry, and reactivity. Fuel 2014, 138, 52–64. [Google Scholar] [CrossRef]
- Pérez-Uriarte, P.; Ateka, A.; Gamero, M.; Aguayo, A.T.; Bilbao, J. Effect of the Operating Conditions in the Transformation of DME to olefins over a HZSM-5 Zeolite Catalyst. Ind. Eng. Chem. Res. 2016, 55, 6569–6578. [Google Scholar] [CrossRef]
- Faungnawakij, K.; Shimoda, N.; Viriya-empikul, N.; Kikuchi, R.; Eguchi, K. Limiting mechanisms in catalytic steam reforming of dimethyl ether. Appl. Catal. B Environ. 2010, 97, 21–27. [Google Scholar] [CrossRef]
- Vicente, J.; Gayubo, A.G.; Ereña, J.; Aguayo, A.T.; Olazar, M.; Bilbao, J. Improving the DME steam reforming catalyst by alkaline treatment of the HZSM-5 zeolite. Appl. Catal. B Environ. 2013, 130–131, 73–83. [Google Scholar] [CrossRef]
- Oar-Arteta, L.; Remiro, A.; Aguayo, A.T.; Bilbao, J.; Gayubo, A.G. Effect of Operating Conditions on Dimethyl Ether Steam Reforming over a CuFe2O4/γ-Al2O3 Bifunctional Catalyst. Ind. Eng. Chem. Res. 2015, 54, 9722–9732. [Google Scholar] [CrossRef]
- Dimethyl Ether (DME) Market Size, Share, Price, Report. 2024. Available online: https://www.gminsights.com (accessed on 4 April 2018).
- International DME Association. Available online: https://www.aboutdme.org/index.asp?bid=23 (accessed on 4 April 2018).
- Bhattacharya, S.; Kabir, K.B.; Hein, K. Dimethyl ether synthesis from Victorian brown coal through gasification—Current status, and research and development needs. Prog. Energy Combust. Sci. 2013, 39, 577–605. [Google Scholar] [CrossRef]
- Olah, G.A.; Goeppert, A.; Prakash, G.K.S. Chemical recycling of carbon dioxide to methanol and dimethyl ether: From greenhouse gas to renewable, environmentally carbon neutral fuels and synthetic hydrocarbons. J. Org. Chem. 2009, 74, 487–498. [Google Scholar] [CrossRef] [PubMed]
- Yuan, Z.; Eden, M.R. Toward the development and deployment of large-scale carbon dioxide capture and conversion processes. Ind. Eng. Chem. Res. 2016, 55, 3383–3419. [Google Scholar] [CrossRef]
- Jia, G.; Tan, Y.; Han, Y. A comparative study on the thermodynamics of dimethyl ether synthesis from CO hydrogenation and CO2 hydrogenation. Ind. Eng. Chem. Res. 2006, 45, 1152–1159. [Google Scholar] [CrossRef]
- Sierra, I.; Ereña, J.; Aguayo, A.T.; Olazar, M.; Bilbao, J. Deactivation kinetics for direct dimethyl ether synthesis on a CuO-ZnO-Al2O3/g-Al2O3 Catalyst. Ind. Eng. Chem. Res. 2010, 49, 481–489. [Google Scholar] [CrossRef]
- De Falco, M.; Capocelli, M.; Centi, G. Dimethyl ether production from CO2 rich feedstocks in a one-step process: Thermodynamic evaluation and reactor simulation. Chem. Eng. J. 2016, 294, 400–409. [Google Scholar] [CrossRef]
- Ateka, A.; Pérez-Uriarte, P.; Gamero, M.; Ereña, J.; Aguayo, A.T.; Bilbao, J. A comparative thermodynamic study on the CO2 conversion in the synthesis of methanol and of DME. Energy 2017, 120, 796–804. [Google Scholar] [CrossRef]
- van der Spek, M.; Sanchez Fernandez, E.; Eldrup, N.H.; Skagestad, R.; Ramirez, A.; Faaij, A. Unravelling uncertainty and variability in early stage techno-economic assessments of carbon capture technologies. Int. J. Greenh. Gas Control 2017, 56, 221–236. [Google Scholar] [CrossRef]
- Leeson, D.; Mac Dowell, N.; Shah, N.; Petit, C.; Fennell, P.S. A Techno-economic analysis and systematic review of carbon capture and storage (CCS) applied to the iron and steel, cement, oil refining and pulp and paper industries, as well as other high purity sources. Int. J. Greenh. Gas Control 2017, 61, 71–84. [Google Scholar] [CrossRef]
- Escudero, A.I.; Espatolero, S.; Romeo, L.M. Oxy-combustion power plant integration in an oil refinery to reduce CO2 emissions. Int. J. Greenh. Gas Control 2016, 45, 118–129. [Google Scholar] [CrossRef]
- Aguayo, A.T.; Ereña, J.; Sierra, I.; Olazar, M.; Bilbao, J. Deactivation and regeneration of hybrid catalysts in the single-step synthesis of dimethyl ether from syngas and CO2. Catal. Today 2005, 106, 265–270. [Google Scholar] [CrossRef]
- Ereña, J.; Sierra, I.; Aguayo, A.T.; Ateka, A.; Olazar, M.; Bilbao, J. Kinetic modelling of dimethyl ether synthesis from (H2 + CO2) by considering catalyst deactivation. Chem. Eng. J. 2011, 174, 660–667. [Google Scholar] [CrossRef]
- Chen, W.H.; Lin, B.J.; Lee, H.M.; Huang, M.H. One-step synthesis of dimethyl ether from the gas mixture containing CO2 with high space velocity. Appl. Energy 2012, 98, 92–101. [Google Scholar] [CrossRef]
- Sun, J.; Yang, G.; Yoneyama, Y.; Tsubaki, N. Catalysis chemistry of dimethyl ether synthesis. ACS Catal. 2014, 4, 3346–3356. [Google Scholar] [CrossRef]
- Zhang, M.H.; Liu, Z.M.; Lin, G.D.; Zhang, H.B. Pd/CNT-promoted CuZrO2/HZSM-5 hybrid catalysts for direct synthesis of DME from CO2/H2. Appl. Catal. A 2013, 451, 28–35. [Google Scholar] [CrossRef]
- Liu, R.W.; Qin, Z.Z.; Ji, H.B.; Su, T.M. Synthesis of dimethyl ether from CO2 and H2 using a Cu-Fe-Zr/HZSM-5 catalyst system. Ind. Eng. Chem. Res. 2013, 52, 16648–16655. [Google Scholar] [CrossRef]
- Bonura, G.; Cordaro, M.; Cannilla, C.; Arena, F.; Frusteri, F. The changing nature of the active site of Cu-Zn-Zr catalysts for the CO2 hydrogenation reaction to methanol. Appl. Catal. B Environ. 2014, 152–153, 152–161. [Google Scholar] [CrossRef]
- Bonura, G.; Cordaro, M.; Cannilla, C.; Mezzapica, A.; Spadaro, L.; Arena, F.; Frusteri, F. Catalytic behaviour of a bifunctional system for the one step synthesis of DME by CO2 hydrogenation. Catal. Today 2014, 228, 51–57. [Google Scholar] [CrossRef]
- Qin, Z.; Su, T.; Ji, H.; Jiang, Y.; Liu, R.; Chen, J. Experimental and theoretical study of the intrinsic kinetics for dimethyl ether synthesis from CO2 over Cu-Fe-Zr/HZSM-5. AIChE J. 2015, 61, 1613–1627. [Google Scholar] [CrossRef]
- Frusteri, F.; Cordaro, M.; Cannilla, C.; Bonura, G. Multifunctionality of Cu-ZnO-ZrO2/H-ZSM5 catalysts for the one-step CO2-to-DME hydrogenation reaction. Appl. Catal. B Environ. 2015, 162, 57–65. [Google Scholar] [CrossRef]
- Frusteri, F.; Bonura, G.; Cannilla, C.; Drago Ferrante, G.; Aloise, A.; Catizzone, E.; Migliori, M.; Giordano, G. Stepwise tuning of metal-oxide and acid sites of CuZnZr-MFI hybrid catalysts for the direct DME synthesis by CO2 hydrogenation. Appl. Catal. B Environ. 2015, 176–177, 522–531. [Google Scholar] [CrossRef]
- Ateka, A.; Sierra, I.; Ereña, J.; Bilbao, J.; Aguayo, A.T. Performance of CuO-ZnO-ZrO2 and CuO-ZnO-MnO as metallic functions and SAPO-18 as acid function of the catalyst for the synthesis of DME co-feeding CO2. Fuel Process. Technol. 2016, 152, 34–45. [Google Scholar] [CrossRef]
- Ateka, A.; Pérez-Uriarte, P.; Sánchez-Contador, M.; Ereña, J.; Aguayo, A.T.; Bilbao, J. Direct synthesis of dimethyl ether from syngas on CuO-ZnO-MnO/SAPO-18 bifunctional catalyst. Int. J. Hydrogen Energy 2016, 41, 18015–18026. [Google Scholar] [CrossRef]
- Ateka, A.; Pérez-Uriarte, P.; Sierra, I.; Ereña, J.; Bilbao, J.; Aguayo, A.T. Regenerability of the CuO-ZnO-MnO/SAPO-18 catalyst used in the synthesis of dimethyl ether in a single step. React. Kinet. Mech. Catal. 2016, 119, 655–670. [Google Scholar] [CrossRef]
- Lange, J.P. Methanol synthesis: A short review of technology improvements. Catal. Today 2001, 64, 3–8. [Google Scholar] [CrossRef]











| Catalyst | Physical Properties | Acid Properties | ||||
|---|---|---|---|---|---|---|
| SBET(m2 g−1) | Vmicropore(cm3 g−1) | Vp(cm3 g−1) | Acid Strength(kJ molNH3−1) | Total Acidity(mmolNH3 g−1) | B/L *at 150 °C | |
| CZMn | 121 | 0.002 | 0.284 | - | - | - |
| S-18 | 480 | 0.160 | 0.390 | 130 | 0.42 | 0.15 |
| CZMn/S-18 | 213 | 0.060 | 0.278 | 99 | 0.12 | - |
© 2018 by the authors. Licensee MDPI, Basel, Switzerland. This article is an open access article distributed under the terms and conditions of the Creative Commons Attribution (CC BY) license (http://creativecommons.org/licenses/by/4.0/).
Share and Cite
Ateka, A.; Ereña, J.; Sánchez-Contador, M.; Perez-Uriarte, P.; Bilbao, J.; Aguayo, A.T. Capability of the Direct Dimethyl Ether Synthesis Process for the Conversion of Carbon Dioxide. Appl. Sci. 2018, 8, 677. https://doi.org/10.3390/app8050677
Ateka A, Ereña J, Sánchez-Contador M, Perez-Uriarte P, Bilbao J, Aguayo AT. Capability of the Direct Dimethyl Ether Synthesis Process for the Conversion of Carbon Dioxide. Applied Sciences. 2018; 8(5):677. https://doi.org/10.3390/app8050677
Chicago/Turabian StyleAteka, Ainara, Javier Ereña, Miguel Sánchez-Contador, Paula Perez-Uriarte, Javier Bilbao, and Andrés T. Aguayo. 2018. "Capability of the Direct Dimethyl Ether Synthesis Process for the Conversion of Carbon Dioxide" Applied Sciences 8, no. 5: 677. https://doi.org/10.3390/app8050677
APA StyleAteka, A., Ereña, J., Sánchez-Contador, M., Perez-Uriarte, P., Bilbao, J., & Aguayo, A. T. (2018). Capability of the Direct Dimethyl Ether Synthesis Process for the Conversion of Carbon Dioxide. Applied Sciences, 8(5), 677. https://doi.org/10.3390/app8050677

